Tuning the Properties of Dodecylpyridinium Metallosurfactants: The Role of Iron-Based Counterions
Abstract
1. Introduction
2. Results and Discussion
2.1. Crystal Structures
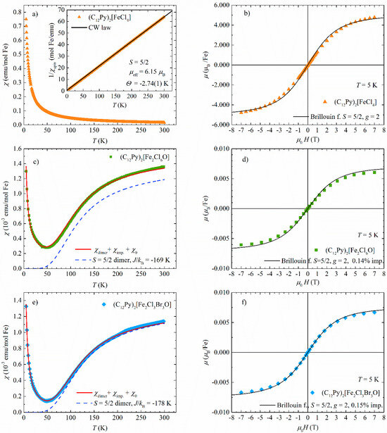
2.2. Magnetic Properties
2.3. Self-Assembly Properties
2.3.1. Solution Properties Below the cmc
2.3.2. Aggregation Properties
3. Materials and Methods
3.1. Materials
3.2. Synthesis of C12Py-Metallosurfactants
3.3. Methods
4. Conclusions
Supplementary Materials
Author Contributions
Funding
Institutional Review Board Statement
Informed Consent Statement
Data Availability Statement
Conflicts of Interest
References
- Metallosurfactants: From Fundamentals to Catalytic and Biomedical Applications, 1st ed.; Mehta, S., Kaur, R., Eds.; Wiley: Weinheim, Germany, 2022; ISBN 978-3-527-34868-8. [Google Scholar]
- Kumari, S.; Nehra, M.; Jain, S.; Dilbaghi, N.; Chaudhary, G.R.; Kim, K.-H.; Kumar, S. Metallosurfactant aggregates: Structures, properties, and potentials for multifarious applications. Adv. Colloid Interface Sci. 2024, 323, 103065. [Google Scholar] [CrossRef]
- Polarz, S.; Landsmann, S.; Klaiber, A. Hybrid Surfactant Systems with Inorganic Constituents. Angew. Chem. Int. Ed. 2014, 53, 946–954. [Google Scholar] [CrossRef] [PubMed]
- Wang, L.; Dong, S.; Hao, J. Recent progress of magnetic surfactants: Self-assembly, properties and functions. Curr. Opin. Colloid Interface Sci. 2018, 35, 81–90. [Google Scholar] [CrossRef]
- Kitchen, J.A.; White, N.G.; Gandolfi, C.; Albrecht, M.; Jameson, G.N.L.; Tallon, J.L.; Brooker, S. Room-temperature spin crossover and Langmuir–Blodgett film formation of an iron(ii) triazole complex featuring a long alkyl chain substituent: The tail that wags the dog. Chem. Commun. 2010, 46, 6464. [Google Scholar] [CrossRef]
- Kitchen, J.A.; White, N.G.; Jameson, G.N.L.; Tallon, J.L.; Brooker, S. Effect of Counteranion X on the Spin Crossover Properties of a Family of Diiron(II) Triazole Complexes [FeII2(PMAT)2](X)4. Inorg. Chem. 2011, 50, 4586–4597. [Google Scholar] [CrossRef] [PubMed]
- Asensio, Y.; Marras, S.; Spirito, D.; Gobbi, M.; Ipatov, M.; Casanova, F.; Mateo-Alonso, A.; Hueso, L.E.; Martín-García, B. Magnetic Properties of Layered Hybrid Organic-Inorganic Metal-Halide Perovskites: Transition Metal, Organic Cation and Perovskite Phase Effects. Adv. Funct. Mater. 2022, 32, 2207988. [Google Scholar] [CrossRef]
- Rubčić, M.; Herak, M.; Zagorec, L.; Domazet Jurašin, D. Transition Metal-Based Dimeric Metallosurfactants: From Organic–Inorganic Hybrid Structures and Low-Dimensional Magnets to Metallomicelles. Inorg. Chem. 2024, 63, 12218–12230. [Google Scholar] [CrossRef] [PubMed]
- Rabu, P.; Drillon, M. Layered Organic–Inorganic Materials: A Way towards Controllable Magnetism. Adv. Eng. Mater. 2003, 5, 189–210. [Google Scholar] [CrossRef]
- Neve, F.; Francescangeli, O.; Crispini, A.; Charmant, J. A2[MX4] Copper(II) Pyridinium Salts. From Ionic Liquids to Layered Solids to Liquid Crystals. Chem. Mater. 2001, 13, 2032–2041. [Google Scholar] [CrossRef]
- Chamorro, J.R.; McQueen, T.M.; Tran, T.T. Chemistry of Quantum Spin Liquids. Chem. Rev. 2021, 121, 2898–2934. [Google Scholar] [CrossRef]
- Shi, Z.; Dissanayake, S.; Corboz, P.; Steinhardt, W.; Graf, D.; Silevitch, D.M.; Dabkowska, H.A.; Rosenbaum, T.F.; Mila, F.; Haravifard, S. Discovery of quantum phases in the Shastry-Sutherland compound SrCu2(BO3)2 under extreme conditions of field and pressure. Nat. Commun. 2022, 13, 2301. [Google Scholar] [CrossRef] [PubMed]
- Sriram Shastry, B.; Sutherland, B. Exact ground state of a quantum mechanical antiferromagnet. Phys. BC 1981, 108, 1069–1070. [Google Scholar] [CrossRef]
- Neve, F.; Crispini, A.; Armentano, S.; Francescangeli, O. Synthesis, Structure, and Thermotropic Mesomorphism of Layered N -Alkylpyridinium Tetrahalopalladate(II) Salts. Chem. Mater. 1998, 10, 1904–1913. [Google Scholar] [CrossRef]
- Abouserie, A.; Zehbe, K.; Metzner, P.; Kelling, A.; Günter, C.; Schilde, U.; Strauch, P.; Körzdörfer, T.; Taubert, A. Alkylpyridinium Tetrahalidometallate Ionic Liquids and Ionic Liquid Crystals: Insights into the Origin of Their Phase Behavior. Eur. J. Inorg. Chem. 2017, 2017, 5640–5649. [Google Scholar] [CrossRef]
- Madaan, P.; Tyagi, V.K. Quaternary Pyridinium Salts: A Review. J. Oleo Sci. 2008, 57, 197–215. [Google Scholar] [CrossRef]
- Neve, F.; Francescangeli, O.; Crispini, A. Crystal architecture and mesophase structure of long-chain N-alkylpyridinium tetrachlorometallates. Inorganica Chim. Acta 2002, 338, 51–58. [Google Scholar] [CrossRef]
- Wagay, T.A.; Ismail, K.; Askari, H. Assessment of the aggregation and adsorption behavior of newly synthesized tetradecylpyridinium-based metallosurfactants and their interaction with bovine serum albumin. New J. Chem. 2020, 44, 15018–15030. [Google Scholar] [CrossRef]
- Kaur, G.; Garg, P.; Kaur, B.; Chaudhary, G.R.; Kumar, S.; Dilbaghi, N.; Hassan, P.A.; Gawali, S.L. Cationic double chained metallosurfactants: Synthesis, aggregation, cytotoxicity, antimicrobial activity and their impact on the structure of bovine serum albumin. Soft Matter 2018, 14, 5306–5318. [Google Scholar] [CrossRef]
- Kaur, G.; Kumar, S.; Dilbaghi, N.; Bhanjana, G.; Guru, S.K.; Bhushan, S.; Jaglan, S.; Hassan, P.A.; Aswal, V.K. Hybrid surfactants decorated with copper ions: Aggregation behavior, antimicrobial activity and anti-proliferative effect. Phys. Chem. Chem. Phys. 2016, 18, 23961–23970. [Google Scholar] [CrossRef]
- Kaur, G.; Garg, P.; Kaur, B.; Chaudhary, G.R.; Kumar, S.; Dilbaghi, N.; Hassan, P.A.; Aswal, V.K. Synthesis, thermal and surface activity of cationic single chain metal hybrid surfactants and their interaction with microbes and proteins. Soft Matter 2019, 15, 2348–2358. [Google Scholar] [CrossRef]
- Drew, M.G.B.; McKee, V.; Nelson, S.M. Crystal and molecular structure and some properties of pyridinium µ-oxo-bis[trichioroferrate(III)]–pyridine. J. Chem. Soc. Dalton Trans. 1978, 80–84. [Google Scholar] [CrossRef]
- Girma, K.B.; Lorenz, V.; Blaurock, S.; Edelmann, F.T. Coordination chemistry of acrylamide 6: Formation and structural characterization of [Fe(O-OC(NH2)CHCH2)6][Fe2OCl6]. Inorganica Chim. Acta 2008, 361, 346–348. [Google Scholar] [CrossRef]
- Chang, J.-C.; Ho, W.-Y.; Sun, I.-W.; Chou, Y.-K.; Hsieh, H.-H.; Wu, T.-Y.; Liang, S.-S. Synthesis and properties of new (μ-oxo)bis[trichloroferrate(III)] dianion salts incorporated with dicationic moiety. Polyhedron 2010, 29, 2976–2984. [Google Scholar] [CrossRef]
- Lledós, A.; Moreno-Mañas, M.; Sodupe, M.; Vallribera, A.; Mata, I.; Martínez, B.; Molins, E. Bent and Linear Forms of the (μ-Oxo)bis[trichloroferrate(III)] Dianion: An Intermolecular Effect—Structural, Electronic and Magnetic Properties. Eur. J. Inorg. Chem. 2003, 2003, 4187–4194. [Google Scholar] [CrossRef]
- Busi, S.; Lahtinen, M.; Sillanpää, R.; Rissanen, K. A linear Fe–O–Fe unit in bis(dibenzyldimethylammonium) μ-oxo-bis[tribromoferrate(III)]. Acta Crystallogr. C 2006, 62, m458–m460. [Google Scholar] [CrossRef]
- Petridis, D.; Terzis, A. Synthesis and characterization of [Fe2OX6]2tau; (X = Cl, Br, I) complexes. Crystal and molecular structure of (BzPh3P)2 [Fe2OCl6]. Inorganica Chim. Acta 1986, 118, 129–134. [Google Scholar] [CrossRef]
- Scarrow, R.C.; Maroney, M.J.; Palmer, S.M.; Que, L.; Roe, A.L.; Salowe, S.P.; Stubbe, J. EXAFS studies of binuclear iron proteins: Hemerythrin and ribonucleotide reductase. J. Am. Chem. Soc. 1987, 109, 7857–7864. [Google Scholar] [CrossRef]
- Stenkamp, R.E.; Sieker, L.C.; Jensen, L.H. Binuclear iron complexes in methemerythrin and azidomethemerythrin at 2.0-.ANG. resolution. J. Am. Chem. Soc. 1984, 106, 618–622. [Google Scholar] [CrossRef]
- Larson, V.; Battistella, B. High-valent metal-oxo species: Iron and Manganese Oxo Complexes, Oxo Wall and Beyond. Nat. Rev. Chem. 2020, 4, 404–419. [Google Scholar] [CrossRef]
- Yang, L.; Powell, D.R.; Houser, R.P. Structural variation in copper(I) complexes with pyridylmethylamide ligands: Structural analysis with a new four-coordinate geometry index, τ4. Dalton Trans. 2007, 955–964. [Google Scholar] [CrossRef]
- Groom, C.R.; Bruno, I.J.; Lightfoot, M.P.; Ward, S.C. The Cambridge Structural Database. Acta Crystallogr. Sect. B Struct. Sci. Cryst. Eng. Mater. 2016, 72, 171–179. [Google Scholar] [CrossRef] [PubMed]
- A search was performed using a CSD version 5.43 (update March 2022).
- Wang, K.; Prior, T.J.; Hughes, D.L.; Arbaoui, A.; Redshaw, C. Coordination chemistry of [2 + 2] Schiff-base macrocycles derived from the dianilines [(2-NH2C6H4)2X] (X = CH2CH2, O): Structural studies and ROP capability towards cyclic esters. Dalton Trans. 2021, 50, 8057–8069. [Google Scholar] [CrossRef]
- Maithufi, N.; Otto, S. The bis(acetonitrile-κN)bis[N,N-bis(diphenylphosphanyl)ethanamine-κ2P,P′]iron(II) tetrabromidoferrate(II) and μ-oxido-bis[tribromidoferrate(III)] complex salts. Acta Crystallogr. C 2011, 67, m279–m283. [Google Scholar] [CrossRef] [PubMed]
- Gusakovskaya, I.G.; Pirumova, S.I.; Golovina, N.I.; Trofimova, R.F.; Shilov, G.V.; Ovanesyan, N.S.; Lavrent’eva, E.A. Zhurnal Obshchei Khimii 1999, 69, 185.
- Acoording to a CSD search (ref. 8) Fe–Cl distances in [Fe2X6O]2− anions (X = Cl, Br) range between 2.11(1) Å (refcode ECIDUP) and 2.34(1) Å (refcode ROLMUA03), while Fe–Br ones range between 2.33(2) Å (refcode AWIDEQ) and 2.395(3) Å (refcode ESUKEL).
- Mugiraneza, S.; Hallas, A.M. Tutorial: A beginner’s guide to interpreting magnetic susceptibility data with the Curie-Weiss law. Commun. Phys. 2022, 5, 95. [Google Scholar] [CrossRef]
- Goodenough, J.B. Theory of the Role of Covalence in the Perovskite-Type Manganites [La, M (II)] MnO3. Phys. Rev. 1955, 100, 564–573. [Google Scholar] [CrossRef]
- Kanamori, J. Superexchange interaction and symmetry properties of electron orbitals. J. Phys. Chem. Solids 1959, 10, 87–98. [Google Scholar] [CrossRef]
- Anderson, P.W. New Approach to the Theory of Superexchange Interactions. Phys. Rev. 1959, 115, 2–13. [Google Scholar] [CrossRef]
- O’Connor, C.J. Magnetochemistry—Advances in Theory and Experimentation. In Progress in Inorganic Chemistry; Lippard, S.J., Ed.; Wiley: Hoboken, NJ, USA, 1982; Volume 29, pp. 203–283. ISBN 978-0-471-09370-1. [Google Scholar]
- Haselhorst, G.; Wieghardt, K.; Keller, S.; Schrader, B. The (.mu.-oxo)bis[trichloroferrate(III)] dianion revisited. Inorg. Chem. 1993, 32, 520–525. [Google Scholar] [CrossRef]
- Robinson, R.A.; Stokes, R.H. Electrolyte Solutions, 2nd ed.; Dover Publications: Mineola, NY, USA, 2002; ISBN 978-0-486-42225-1. [Google Scholar]
- Sikirić, M.; Primožič, I.; Talmon, Y.; Filipović-Vinceković, N. Effect of the spacer length on the association and adsorption behavior of dissymmetric gemini surfactants. J. Colloid Interface Sci. 2005, 281, 473–481. [Google Scholar] [CrossRef]
- Zana, R. Alkanediyl-α,ω-bis(dimethylalkylammonium bromide) Surfactants. J. Colloid Interface Sci. 2002, 246, 182–190. [Google Scholar] [CrossRef]
- Quagliotto, P.; Barolo, C.; Barbero, N.; Barni, E.; Compari, C.; Fisicaro, E.; Viscardi, G. Synthesis and Characterization of Highly Fluorinated Gemini Pyridinium Surfactants. Eur. J. Org. Chem. 2009, 2009, 3167–3177. [Google Scholar] [CrossRef]
- Quagliotto, P.; Barbero, N.; Barolo, C.; Artuso, E.; Compari, C.; Fisicaro, E.; Viscardi, G. Synthesis and properties of cationic surfactants with tuned hydrophylicity. J. Colloid Interface Sci. 2009, 340, 269–275. [Google Scholar] [CrossRef]
- Kaur, R.; Gupta, S.; Mehta, S.K.; Imai, Y.; Takiue, T.; Matsubara, H.; Aratono, M. Probing the self-aggregation behavior and counter ion distribution of a copper surfactant complex. New J. Chem. 2014, 38, 3925–3932. [Google Scholar] [CrossRef]
- Advanced Inorganic Chemistry, 6th ed.; Cotton, F.A., Wilkinson, G., Murillo, C.A., Bochmann, M., Eds.; A Wiley-Interscience Publication: New York, NY, USA; Weinheim, Germany, 1999; ISBN 978-0-471-19957-1. [Google Scholar]
- Rosen, M.J.; Dahanayake, M.; Cohen, A.W. Relationship of structure to properties in surfactants. 11. surface and thermodynamic properties of N-dodecyl-pyridinium bromide and chloride. Colloids Surf. 1982, 5, 159–172. [Google Scholar] [CrossRef]
- Thakur, R.A.; Dar, A.A.; Rather, G.M. Investigation of the micellar growth of 1-dodecylpyridinium chloride in aqueous solution of phenol. J. Mol. Liq. 2007, 136, 83–89. [Google Scholar] [CrossRef]
- Bhat, M.A.; Dar, A.A.; Amin, A.; Rather, G.M. Co- and Counterion Effect on the Micellization Characteristics of Dodecylpyridinium Chloride. J. Dispers. Sci. Technol. 2008, 29, 514–520. [Google Scholar] [CrossRef]
- Fujio, K.; Ikeda, S. Size of Micelles of 1-Dodecylpyridinium Chloride in Aqueous NaCl Solutions. Bull. Chem. Soc. Jpn. 1992, 65, 1406–1410. [Google Scholar] [CrossRef]
- Kulkarni, C.V. Lipid crystallization: From self-assembly to hierarchical and biological ordering. Nanoscale 2012, 4, 5779. [Google Scholar] [CrossRef]
- González-Pérez, A.; Varela, L.M.; García, M.; Rodríguez, J.R. Sphere to rod transitions in homologous alkylpyridinium salts: A Stauff-Klevens-type equation for the second critical micelle concentration. J. Colloid Interface Sci. 2006, 293, 213–221. [Google Scholar] [CrossRef]
- Israelachvili, J.N.; Mitchell, D.J.; Ninham, B.W. Theory of self-assembly of hydrocarbon amphiphiles into micelles and bilayers. J. Chem. Soc. Faraday Trans. 2 1976, 72, 1525. [Google Scholar] [CrossRef]
- Nagarajan, R. Molecular Packing Parameter and Surfactant Self-Assembly: The Neglected Role of the Surfactant Tail. Langmuir 2002, 18, 31–38. [Google Scholar] [CrossRef]
- González, Y.I.; Nakanishi, H.; Stjerndahl, M.; Kaler, E.W. Influence of pH on the Micelle-to-Vesicle Transition in Aqueous Mixtures of Sodium Dodecyl Benzenesulfonate with Histidine. J. Phys. Chem. B 2005, 109, 11675–11682. [Google Scholar] [CrossRef]
- Pachón Gómez, E.M.; Fernando Silva, O.; Der Ohannesian, M.; Núñez Fernández, M.; Oliveira, R.G.; Fernández, M.A. Micelle-to-vesicle transition of lipoamino Gemini surfactant induced by metallic salts and its effects on antibacterial activity. J. Mol. Liq. 2022, 353, 118793. [Google Scholar] [CrossRef]
- Sein, A.; Engberts, J.B.F.N. Micelle to Lamellar Aggregate Transition of an Anionic Surfactant in Dilute Aqueous Solution Induced by Alkali Metal Chloride and Tetraalkylammonium Chloride Salts. Langmuir 1995, 11, 455–465. [Google Scholar] [CrossRef]
- Ghosh, S.; Dey, J. Interaction of sodium N-lauroylsarcosinate with N-alkylpyridinium chloride surfactants: Spontaneous formation of pH-responsive, stable vesicles in aqueous mixtures. J. Colloid Interface Sci. 2011, 358, 208–216. [Google Scholar] [CrossRef]
- Cusano, I.; Ionita, I.; Gonzalez, P.R.; Danino, D.; Grizzuti, N.; Pasquino, R. Drug-induced transitions from micelles to vesicles in ionic surfactant solutions. Colloids Surf. A Physicochem. Eng. Asp. 2024, 690, 133793. [Google Scholar] [CrossRef]
- Diffraction CrysAlisPro Software System, version 1.171.43.105a; Rigaku: Oxford, UK, 2020.
- Sheldrick, G.M. SHELXT—Integrated space-group and crystal-structure determination. Acta Crystallogr. Sect. Found. Adv. 2015, 71, 3–8. [Google Scholar] [CrossRef]
- Sheldrick, G.M. Crystal structure refinement with SHELXL. Acta Crystallogr. Sect. C Struct. Chem. 2015, 71, 3–8. [Google Scholar] [CrossRef]
- Dolomanov, O.V.; Bourhis, L.J.; Gildea, R.J.; Howard, J.A.K.; Puschmann, H. OLEX2: A complete structure solution, refinement and analysis program. J. Appl. Crystallogr. 2009, 42, 339–341. [Google Scholar] [CrossRef]
- Spek, A.L. Single-crystal structure validation with the program PLATON. J. Appl. Crystallogr. 2003, 36, 7–13. [Google Scholar] [CrossRef]
- Macrae, C.F.; Sovago, I.; Cottrell, S.J.; Galek, P.T.A.; McCabe, P.; Pidcock, E.; Platings, M.; Shields, G.P.; Stevens, J.S.; Towler, M.; et al. Mercury 4.0: From visualization to analysis, design and prediction. J. Appl. Crystallogr. 2020, 53, 226–235. [Google Scholar] [CrossRef] [PubMed]
- Zana, R. Ionization of Cationic Micelles: Effect of the Detergent Structure. J. Colloid Interface Sci. 1980, 78, 330–337. [Google Scholar] [CrossRef]









| (C12Py)2[Fe2Cl6O] | (C12Py)2[Fe2Cl3Br3O] | |
|---|---|---|
| ∠(Fe–O–Fe) | 175.8° | 180° |
| J (meV) | −14.6 | −15.4 |
| J (cm−1) | −117.5 | −123.6 |
| Compound | cac1/mM | cac2/mM | β |
|---|---|---|---|
| C12PyCl | - | 18 | 0.60 |
| (C12Py)[FeCl4] | 2.6 | 12 | - |
| (C12Py)2[Fe2Cl6O] | 2.7 | 11 | 0.39 |
| (C12Py)2[Fe2Cl3Br3O] | 2.6 | 12 | 0.39 |
Disclaimer/Publisher’s Note: The statements, opinions and data contained in all publications are solely those of the individual author(s) and contributor(s) and not of MDPI and/or the editor(s). MDPI and/or the editor(s) disclaim responsibility for any injury to people or property resulting from any ideas, methods, instructions or products referred to in the content. |
© 2025 by the authors. Licensee MDPI, Basel, Switzerland. This article is an open access article distributed under the terms and conditions of the Creative Commons Attribution (CC BY) license (https://creativecommons.org/licenses/by/4.0/).
Share and Cite
Rubčić, M.; Herak, M.; Ivančić, A.; Topić, E.; Beriša, E.; Bujak, I.T.; Domazet Jurašin, D. Tuning the Properties of Dodecylpyridinium Metallosurfactants: The Role of Iron-Based Counterions. Int. J. Mol. Sci. 2025, 26, 2540. https://doi.org/10.3390/ijms26062540
Rubčić M, Herak M, Ivančić A, Topić E, Beriša E, Bujak IT, Domazet Jurašin D. Tuning the Properties of Dodecylpyridinium Metallosurfactants: The Role of Iron-Based Counterions. International Journal of Molecular Sciences. 2025; 26(6):2540. https://doi.org/10.3390/ijms26062540
Chicago/Turabian StyleRubčić, Mirta, Mirta Herak, Ana Ivančić, Edi Topić, Emma Beriša, Ivana Tartaro Bujak, and Darija Domazet Jurašin. 2025. "Tuning the Properties of Dodecylpyridinium Metallosurfactants: The Role of Iron-Based Counterions" International Journal of Molecular Sciences 26, no. 6: 2540. https://doi.org/10.3390/ijms26062540
APA StyleRubčić, M., Herak, M., Ivančić, A., Topić, E., Beriša, E., Bujak, I. T., & Domazet Jurašin, D. (2025). Tuning the Properties of Dodecylpyridinium Metallosurfactants: The Role of Iron-Based Counterions. International Journal of Molecular Sciences, 26(6), 2540. https://doi.org/10.3390/ijms26062540

