Genetic Polymorphisms (ApaI, FokI, BsmI, and TaqI) of the Vitamin D Receptor (VDR) Influence the Natural History and Phenotype of Crohn’s Disease
Abstract
1. Introduction
2. Results
2.1. Patient Characteristics
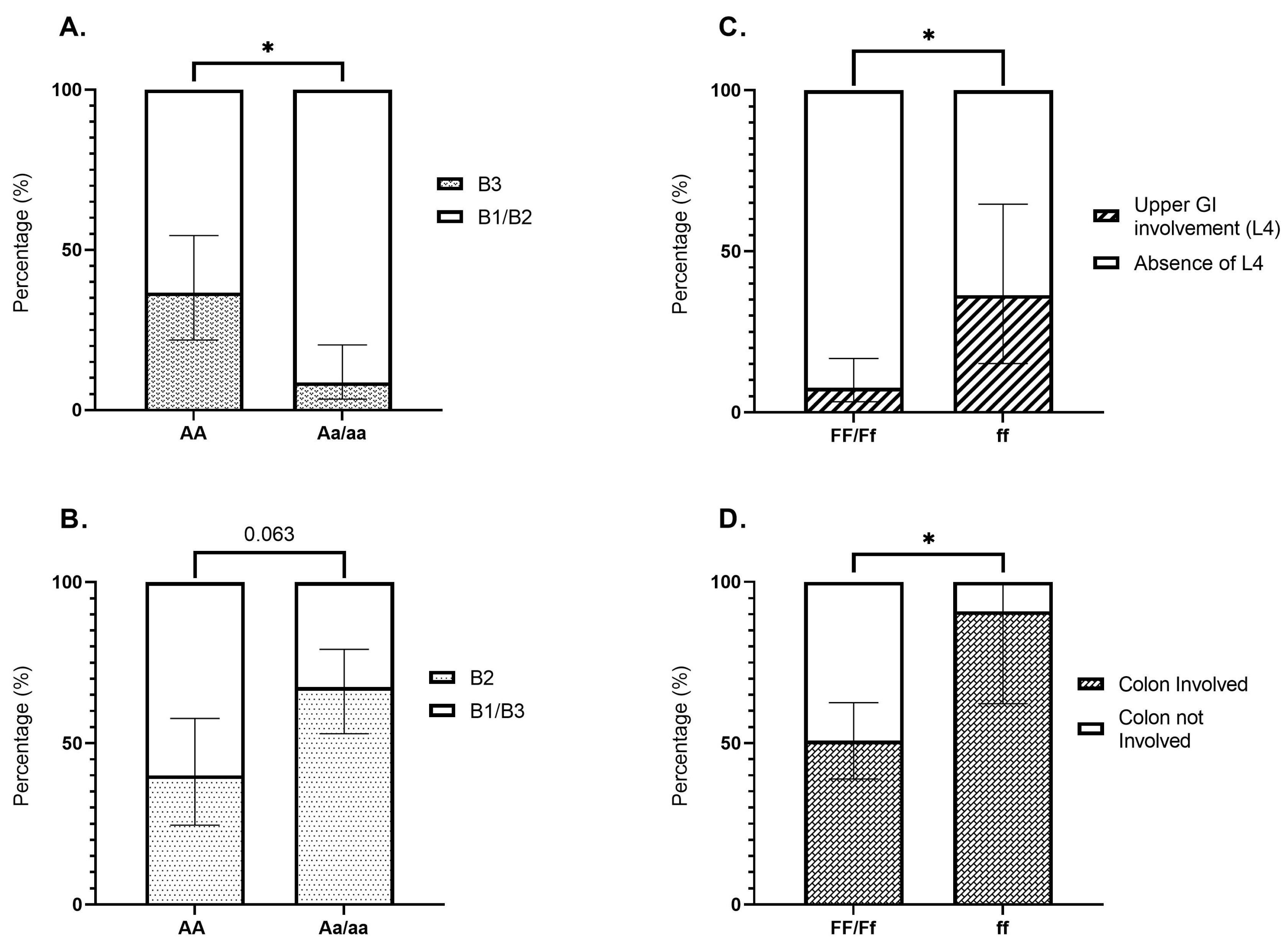
2.2. The Relationship Between Disease Characteristics and VDR SNPs
2.3. The Influence of VDR SNPs on Treatment Parameters in IBD
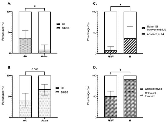
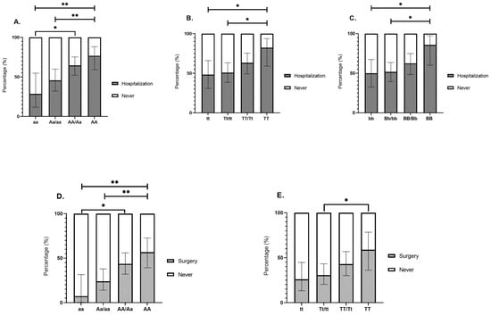
2.4. VDR Polymorphisms and the Risk for IBD-Related Hospitalization
2.5. VDR Polymorphisms and the Risk for IBD-Related Surgery
2.6. Linkage Disequilibrium and Haplotype Analysis
3. Discussion
4. Materials and Methods
4.1. Study Design and Participants
4.2. Clinical, Laboratory, and Endoscopic Evaluation
4.3. Disease Phenotype
4.4. Outcomes and Definitions
4.5. VDR Genotyping
4.6. Sample Size Consideration
4.7. Statistics
Supplementary Materials
Author Contributions
Funding
Institutional Review Board Statement
Informed Consent Statement
Data Availability Statement
Conflicts of Interest
References
- Fletcher, J.; Cooper, S.C.; Ghosh, S.; Hewison, M. The role of vitamin D in inflammatory bowel disease: Mechanism to management. Nutrients 2019, 11, 1019. [Google Scholar] [CrossRef] [PubMed]
- Aggeletopoulou, I.; Marangos, M.; Assimakopoulos, S.F.; Mouzaki, A.; Thomopoulos, K.; Triantos, C. Vitamin D and microbiome: Molecular interaction in inflammatory bowel disease pathogenesis. Am. J. Pathol. 2023, 193, 656–668. [Google Scholar] [CrossRef] [PubMed]
- Aggeletopoulou, I.; Tsounis, E.P.; Mouzaki, A.; Triantos, C. Exploring the role of vitamin D and the vitamin D receptor in the composition of the gut microbiota. Front. Biosci. (Landmark. Ed.) 2023, 28, 116. [Google Scholar] [CrossRef] [PubMed]
- Vernia, F.; Valvano, M.; Longo, S.; Cesaro, N.; Viscido, A.; Latella, G. Vitamin D in inflammatory bowel diseases. Mechanisms of action and therapeutic implications. Nutrients 2022, 14, 269. [Google Scholar] [CrossRef] [PubMed]
- Gubatan, J.; Chou, N.D.; Nielsen, O.H.; Moss, A.C. Systematic review with meta-analysis: Association of vitamin D status with clinical outcomes in adult patients with inflammatory bowel disease. Aliment. Pharmacol. Ther. 2019, 50, 1146–1158. [Google Scholar] [CrossRef] [PubMed]
- Garg, M.; Royce, S.G.; Tikellis, C.; Shallue, C.; Sluka, P.; Wardan, H.; Hosking, P.; Monagle, S.; Thomas, M.; Lubel, J.S.; et al. The intestinal vitamin D receptor in inflammatory bowel disease: Inverse correlation with inflammation but no relationship with circulating vitamin D status. Therap. Adv. Gastroenterol. 2019, 12, 1756284818822566. [Google Scholar] [CrossRef] [PubMed]
- Younis, N.; Zarif, R.; Mahfouz, R. Inflammatory bowel disease: Between genetics and microbiota. Mol. Biol. Rep. 2020, 47, 3053–3063. [Google Scholar] [CrossRef] [PubMed]
- Hughes, D.J.; McManus, R.; Neary, P.; O’morain, C.; O’sullivan, M. Common variation in the vitamin D receptor gene and risk of inflammatory bowel disease in an Irish case–control study. Eur. J. Gastroenterol. Hepatol. 2011, 23, 807–812. [Google Scholar] [CrossRef]
- Naderi, N.; Farnood, A.; Habibi, M.; Derakhshan, F.; Balaii, H.; Motahari, Z.; Agah, M.R.; Firouzi, F.; Rad, M.G.; Aghazadeh, R. Association of vitamin D receptor gene polymorphisms in Iranian patients with inflammatory bowel disease. J. Gastroenterol. Hepatol. 2008, 23, 1816–1822. [Google Scholar] [CrossRef]
- Simmons, J.; Mullighan, C.; Welsh, K.; Jewell, D. Vitamin D receptor gene polymorphism: Association with Crohn’s disease susceptibility. Gut 2000, 47, 211–214. [Google Scholar] [CrossRef]
- Dresner-Pollak, R.; Ackerman, Z.; Eliakim, R.; Karban, A.; Chowers, Y.; Fidder, H.H. The Bsm I vitamin D receptor gene polymorphism is associated with ulcerative colitis in Jewish Ashkenazi patients. Genet. Test. 2004, 8, 417–420. [Google Scholar] [CrossRef] [PubMed]
- Uitterlinden, A.G.; Fang, Y.; Van Meurs, J.B.; Pols, H.A.; Van Leeuwen, J.P. Genetics and biology of vitamin D receptor polymorphisms. Gene 2004, 338, 143–156. [Google Scholar] [CrossRef]
- Miyamoto, K.-I.; Kesterson, R.A.; Yamamoto, H.; Taketani, Y.; Nishiwaki, E.; Tatsumi, S.; Inoue, Y.; Morita, K.; Takeda, E.; Pike, J.W. Structural organization of the human vitamin D receptor chromosomal gene and its promoter. Mol. Endocrinol. 1997, 11, 1165–1179. [Google Scholar] [CrossRef] [PubMed]
- Agliardi, C.; Guerini, F.R.; Bolognesi, E.; Zanzottera, M.; Clerici, M. VDR Gene Single Nucleotide Polymorphisms and Autoimmunity: A Narrative Review. Biology 2023, 12, 916. [Google Scholar] [CrossRef] [PubMed]
- Wang, L.; Wang, Z.; Hu, J.; Fan, R.; Zhou, J.; Zhong, J. Polymorphisms of the vitamin D receptor gene and the risk of inflammatory bowel disease: A meta-analysis. Genet. Mol. Res. 2014, 13, 2598–2610. [Google Scholar] [CrossRef]
- Cho, Y.A.; Lee, J.; Oh, J.H.; Chang, H.J.; Sohn, D.K.; Shin, A.; Kim, J. Vitamin D receptor Fok I polymorphism and the risks of colorectal cancer, inflammatory bowel disease, and colorectal adenoma. Sci. Rep. 2018, 8, 12899. [Google Scholar] [CrossRef]
- Xue, L.N.; Xu, K.Q.; Zhang, W.; Wang, Q.; Wu, J.; Wang, X.Y. Associations between vitamin D receptor polymorphisms and susceptibility to ulcerative colitis and Crohn’s disease: A meta-analysis. Inflamm. Bowel. Dis. 2013, 19, 54–60. [Google Scholar] [CrossRef] [PubMed]
- Triantos, C.; Aggeletopoulou, I.; Mantzaris, G.J.; Mouzaki, A. Molecular basis of vitamin D action in inflammatory bowel disease. Autoimmun. Rev. 2022, 21, 103136. [Google Scholar] [CrossRef] [PubMed]
- Shirwaikar Thomas, A.; Criss, Z.K.; Shroyer, N.F.; Abraham, B.P. Vitamin D receptor gene single nucleotide polymorphisms and association with vitamin D levels and endoscopic disease activity in inflammatory bowel disease patients: A pilot study. Inflamm. Bowel. Dis. 2021, 27, 1263–1269. [Google Scholar] [CrossRef] [PubMed]
- Xia, S.L.; Lin, X.X.; Guo, M.D.; Zhang, D.G.; Zheng, S.Z.; Jiang, L.J.; Jin, J.; Lin, X.Q.; Ding, R.; Jiang, Y. Association of vitamin D receptor gene polymorphisms and serum 25-hydroxyvitamin D levels with Crohn’s disease in Chinese patients. J. Gastroenterol. Hepatol. 2016, 31, 795–801. [Google Scholar] [CrossRef]
- Cusato, J.; Cafasso, C.; Antonucci, M.; Palermiti, A.; Manca, A.; Caviglia, G.P.; Vernero, M.; Armandi, A.; Saracco, G.M.; D’Avolio, A. Correlation between Polymorphisms of Vitamin D Metabolism Genes and Perianal Disease in Crohn’s Disease. Biomedicines 2024, 12, 320. [Google Scholar] [CrossRef] [PubMed]
- Gisbert-Ferrándiz, L.; Llau, J.; Ortiz-Masia, D.; Cosín-Roger, J.; Macias-Ceja, D.C.; Hinojosa, J.; Calatayud, S.; Barrachina, M.D. ApaI Polymorphism in the Vitamin D Receptor Gene Decreases the Risk of Perianal Fistulas in Crohn’s Disease. Nutrients 2024, 16, 3485. [Google Scholar] [CrossRef] [PubMed]
- Gisbert-Ferrándiz, L.; Salvador, P.; Ortiz-Masiá, D.; Macías-Ceja, D.C.; Orden, S.; Esplugues, J.V.; Calatayud, S.; Hinojosa, J.; Barrachina, M.D.; Hernández, C. A single nucleotide polymorphism in the vitamin d receptor gene is associated with decreased levels of the protein and a penetrating pattern in Crohn’s disease. Inflamm. Bowel. Dis. 2018, 24, 1462–1470. [Google Scholar] [CrossRef]
- Charoenngam, N.; Shirvani, A.; Kalajian, T.A.; Song, A.; Holick, M.F. The effect of various doses of oral vitamin D3 supplementation on gut microbiota in healthy adults: A randomized, double-blinded, dose-response study. Anticancer Res. 2020, 40, 551–556. [Google Scholar] [CrossRef] [PubMed]
- Ooi, J.H.; Li, Y.; Rogers, C.J.; Cantorna, M.T. Vitamin D regulates the gut microbiome and protects mice from dextran sodium sulfate–induced colitis. J. Nutr. 2013, 143, 1679–1686. [Google Scholar] [CrossRef]
- Gonzalez-Soltero, R.; Tabone, M.; Larrosa, M.; Bailen, M.; Bressa, C. VDR gene TaqI (rs731236) polymorphism affects gut microbiota diversity and composition in a Caucasian population. Front. Nutr. 2024, 11, 1423472. [Google Scholar] [CrossRef]
- González Soltero, R.; Bressa, C.; Tabone, M.; Clemente, S.; Larrosa, M.; Bailén, M. Associations between Vitamin D Receptor (VDR) Polymorphisms and Gut Microbiota in a Spanish Population Sample. Biol. Life Sci. Forum 2023, 29, 4. [Google Scholar] [CrossRef]
- Al-Daghri, N.M.; Guerini, F.R.; Al-Attas, O.S.; Alokail, M.S.; Alkharfy, K.M.; Draz, H.M.; Agliardi, C.; Costa, A.S.; Saulle, I.; Mohammed, A.K. Vitamin D receptor gene polymorphisms are associated with obesity and inflammosome activity. PLoS ONE 2014, 9, e102141. [Google Scholar] [CrossRef] [PubMed]
- Heist, R.S.; Zhou, W.; Wang, Z.; Liu, G.; Neuberg, D.; Su, L.; Asomaning, K.; Hollis, B.W.; Lynch, T.J.; Wain, J.C. Circulating 25-hydroxyvitamin D, VDR polymorphisms, and survival in advanced non–small-cell lung cancer. J. Clin. Oncol. 2008, 26, 5596–5602. [Google Scholar] [CrossRef] [PubMed]
- Tsounis, E.P.; Tourkochristou, E.; Sapsani, A.; Aggeletopoulou, I.; Lourida, T.; Ζisimopoulos, Κ.; Tzikopoulos, T.; Diamantopoulou, G.; Tsintoni, A.; Thomopoulos, K. The role of vitamin D receptor polymorphisms in the course of chronic hepatitis C infection. Ann. Gastroenterol. 2022, 35, 203. [Google Scholar] [CrossRef]
- Guerini, F.R.; Agliardi, C.; Oreni, L.; Groppo, E.; Bolognesi, E.; Zanzottera, M.; Caputo, D.; Rovaris, M.; Clerici, M. Vitamin D receptor gene polymorphism predicts the outcome of multidisciplinary rehabilitation in multiple sclerosis patients. Int. J. Mol. Sci. 2023, 24, 13379. [Google Scholar] [CrossRef]
- Roth, D.E.; Soto, G.; Arenas, F.; Bautista, C.T.; Ortiz, J.; Rodriguez, R.; Cabrera, L.; Gilman, R.H. Association between vitamin D receptor gene polymorphisms and response to treatment of pulmonary tuberculosis. J. Infect. Dis. 2004, 190, 920–927. [Google Scholar] [CrossRef]
- García-Martín, E.; Agúndez, J.A.; Maestro, M.L.; Suárez, A.; Vidaurreta, M.; Martínez, C.; Fernández-Pérez, C.; Ortega, L.; Ladero, J.M. Influence of vitamin D-related gene polymorphisms (CYP27B and VDR) on the response to interferon/ribavirin therapy in chronic hepatitis C. PLoS ONE 2013, 8, e74764. [Google Scholar] [CrossRef] [PubMed]
- Chen, X.; Jiang, L.; Han, W.; Bai, X.; Ruan, G.; Guo, M.; Zhou, R.; Liang, H.; Yang, H.; Qian, J. Artificial neural network analysis-based immune-related signatures of primary non-response to infliximab in patients with ulcerative colitis. Front. Immunol. 2021, 12, 742080. [Google Scholar] [CrossRef]
- Usategui-Martín, R.; De Luis-Román, D.-A.; Fernández-Gómez, J.M.; Ruiz-Mambrilla, M.; Pérez-Castrillón, J.-L. Vitamin D receptor (VDR) gene polymorphisms modify the response to vitamin D supplementation: A systematic review and meta-analysis. Nutrients 2022, 14, 360. [Google Scholar] [CrossRef] [PubMed]
- Mohamed, N.A.; Abdel-Rehim, A.S. Influence of vitamin D receptor gene FokI and ApaI polymorphisms on glucocorticoid response in patients with asthma. Int. Forum. Allergy Rhinol. 2020, 10, 556–563. [Google Scholar] [CrossRef] [PubMed]
- Torres, J.; Bonovas, S.; Doherty, G.; Kucharzik, T.; Gisbert, J.P.; Raine, T.; Adamina, M.; Armuzzi, A.; Bachmann, O.; Bager, P. ECCO guidelines on therapeutics in Crohn’s disease: Medical treatment. J. Crohn’s Colitis 2020, 14, 4–22. [Google Scholar] [CrossRef] [PubMed]
- Raine, T.; Bonovas, S.; Burisch, J.; Kucharzik, T.; Adamina, M.; Annese, V.; Bachmann, O.; Bettenworth, D.; Chaparro, M.; Czuber-Dochan, W. ECCO guidelines on therapeutics in ulcerative colitis: Medical treatment. J. Crohn’s Colitis 2022, 16, 2–17. [Google Scholar] [CrossRef]
- Best, W.R.; Becktel, J.M.; Singleton, J.W.; Kern, F., Jr. Development of a Crohn’s disease activity index: National Cooperative Crohn’s Disease Study. Gastroenterology 1976, 70, 439–444. [Google Scholar] [CrossRef] [PubMed]
- Harvey, R.; Bradshaw, J. A simple index of Crohn’s-disease activity. Lancet 1980, 315, 514. [Google Scholar] [CrossRef]
- Schroeder, K.W.; Tremaine, W.J.; Ilstrup, D.M. Coated oral 5-aminosalicylic acid therapy for mildly to moderately active ulcerative colitis. N. Engl. J. Med. 1987, 317, 1625–1629. [Google Scholar] [CrossRef] [PubMed]
- Daperno, M.; D’Haens, G.; Van Assche, G.; Baert, F.; Bulois, P.; Maunoury, V.; Sostegni, R.; Rocca, R.; Pera, A.; Gevers, A. Development and validation of a new, simplified endoscopic activity score for Crohn’s disease: The SES-CD. Gastrointest. Endosc. 2004, 60, 505–512. [Google Scholar] [CrossRef] [PubMed]
- Satsangi, J.; Silverberg, M.; Vermeire, S.; Colombel, F. The Montreal classification of inflammatory bowel disease: Controversies, consensus, and implications. Gut 2006, 55, 749–753. [Google Scholar] [CrossRef] [PubMed]
- Gomollón, F.; Dignass, A.; Annese, V.; Tilg, H.; Van Assche, G.; Lindsay, J.O.; Peyrin-Biroulet, L.; Cullen, G.J.; Daperno, M.; Kucharzik, T. 3rd European evidence-based consensus on the diagnosis and management of Crohn’s disease 2016: Part 1: Diagnosis and medical management. J. Crohn’s Colitis 2017, 11, 3–25. [Google Scholar] [CrossRef] [PubMed]
- Dignass, A.; Eliakim, R.; Magro, F.; Maaser, C.; Chowers, Y.; Geboes, K.; Mantzaris, G.; Reinisch, W.; Colombel, J.-F.; Vermeire, S.; et al. Second European evidence-based consensus on the diagnosis and management of ulcerative colitis part 1: Definitions and diagnosis. J. Crohn’s Colitis 2012, 6, 965–990. [Google Scholar] [CrossRef] [PubMed]
- Yong, Y.; He, L. SHEsis, a powerful software platform for analyses of linkage disequilibrium, haplotype construction, and genetic association at polymorphism loci. Cell Res. 2005, 15, 97. [Google Scholar] [CrossRef]
- Shen, J.; Li, Z.; Chen, J.; Song, Z.; Zhou, Z.; Shi, Y. SHEsisPlus, a toolset for genetic studies on polyploid species. Sci. Rep. 2016, 6, 24095. [Google Scholar] [CrossRef]
- Benjamini, Y.; Hochberg, Y. Controlling the false discovery rate: A practical and powerful approach to multiple testing. J. R. Stat. Soc. Ser. B 1995, 57, 289–300. [Google Scholar] [CrossRef]



| Crohn’s Disease (n = 76) | Ulcerative Colitis (n = 68) | Sig. | |
|---|---|---|---|
| Age (years) | 43 (34–54) | 46 (35.5–60) | 0.339 |
| Years from diagnosis | 9 (3–16) | 10 (4.5–18) | 0.65 |
| Gender (female) | 34 (44.7%) | 34 (50%) | 0.527 |
| Smoker (current or former) | 44 (57.9%) | 25 (36.7%) | 0.011 * |
| Family history of IBD | 5 (6.6%) | 3 (4.4%) | 0.571 |
| Extraintestinal manifestations | 21 (2 7.6%) | 20 (29.4%) | 0.813 |
| Coexisting auto-immune conditions | 7 (9.2%) | 7 (10.3%) | 0.827 |
| Body mass index (kg/m2) | 24.3 (21.7–28.1) | 24.8 (22.4–27.5) | 0565 |
| Hemoglobin (g/dL) | 13.7 (12.7–14.5) | 13.3 (11.5–14.6) | 0.3 |
| WBC (cells × 109/L) | 6.85 (5.8–9.31) | 6.95 (5.06–9.3) | 0.463 |
| Platelets (cells × 109/L) | 297 (235–364) | 277 (224–367) | 0.545 |
| CRP (mg/L) | 6.3 (2–17) | 3.5 (2–12) | 0.246 |
| ESR (mm/h) | 22 (9.5–32) | 20 (6.5–33) | 0.627 |
| Albumin (g/dL) | 4.2 (4–4.5) | 4.1 (3.7–4.5) | 0.367 |
| CDAI | 61 (37–111) | n/a | |
| HBI | 2 (1–3) | n/a | |
| SES-CD | 3 (2–6) | n/a | |
| Mayo Endoscopic Score | 0 (0–2) | n/a | |
| Full Mayo Score | 3 (0–7) | n/a | |
| IBD-related hospitalization | 44 (57.9%) | 35 (51.4%) | 0.438 |
| IBD-related surgery | 28 (36.8%) | 6 (8.8%) | <0.001 * |
| Follow-up (years) | 9 (3–16) | 10 (4.5–18) | 0.65 |
| Montreal Classification | |||
| Age at diagnosis | |||
| ≤16 (A1) | 7 (9.2%) | 7 (10.3%) | 0.942 |
| 17–40 (A2) | 46 (60.5%) | 42 (61.8%) | |
| >40 (A3) | 23 (30.3%) | 19 (27.9%) | |
| Location (CD) | |||
| Terminal Ileum (L1) | 33 (43.4%) | n/a | |
| Colon (L2) | 9 (11.8%) | ||
| Ileo-colonic (L3) | 34 (44.7%) | ||
| Upper GI modifier (L4) | 9 (11.8%) | ||
| Behavior (CD) | |||
| Non-stricturing non-penetrating (B1) | 18 (23.7%) | n/a | |
| Stricturing (B2) | 43 (56.6%) | ||
| Penetrating (B3) | 15 (19.7%) | ||
| Perianal disease modifier (p) | 21 (27.6%) | ||
| Extent (UC) | |||
| Ulcerative proctitis (E1) | 8 (11.8%) | n/a | |
| Left-sided UC (E2) | 32 (47%) | ||
| Extensive UC (E3) | 28 (41.2%) | ||
| Severity (UC) | |||
| Clinical remission (S0) | 9 (13.2%) | n/a | |
| Mild (S1) | 29 (42.7%) | ||
| Moderate (S2) | 21 (30.9%) | ||
| Severe (S3) | 9 (13.2%) |
| SNP Name (SNP ID) | Codification of Nucleotide Change | Genotypes | Crohn’s Disease | Testing for HWE in CD χ2 (Sig.) | Ulcerative Colitis | Testing for HWE in UC χ2 (Sig.) | Test for SNPs Distribution CD vs. UC χ2 (Sig.) |
|---|---|---|---|---|---|---|---|
| ApaI (rs2228570) | A > C A > a | aa | 14 (18.4%) | 1.073 (p > 0.05) | 13 (19.1%) | 0.01 (p > 0.05) | 0.01 (p > 0.05) |
| Aa | 32 (42.1%) | 33 (48.5%) | |||||
| AA | 30 (39.5%) | 22 (32.4%) | |||||
| BsmI (rs1544410) | A > G B > b | bb | 28 (36.9%) | 0.414 (p > 0.05) | 26 (38.2%) | 2.14 (p > 0.05) | 1.98 (p > 0.05) |
| Bb | 34 (44.7%) | 35 (51.5%) | |||||
| BB | 14 (18.4%) | 7 (10.3%) | |||||
| TaqI (rs731236) | C > T T > t | tt | 27 (35.5%) | 1.555 (p > 0.05) | 25 (36.8%) | 0.233 (p > 0.05) | 2.16 (p > 0.05) |
| Tt | 32 (42.1%) | 34 (50%) | |||||
| TT | 17 (22.4%) | 9 (13.2%) | |||||
| FokI (rs2228570) | C > T F > f | ff | 11 (14.5%) | 0.114 (p > 0.05) | 5 (7.4%) | 0.099 (p > 0.05) | 3.9 (p > 0.05) |
| Ff | 34 (44.7%) | 25 (36.7%) | |||||
| FF | 31 (40.8%) | 38 (55.9%) |
| Behavior (CD) | Perianal Disease (CD) | Upper GI Involvement (CD) | Colon Involvement (CD) | Extent (UC) | Severity (UC) | ||||||||||||||||
|---|---|---|---|---|---|---|---|---|---|---|---|---|---|---|---|---|---|---|---|---|---|
| B1 | B2 | B3 | Sig. | Yes | No | Sig. | Yes | No | Sig. | Yes | No | Sig. | E1 | E2 | E3 | Sig. | S0/S1 | S2/S3 | Sig. | ||
| ApaI | aa | 2 | 11 | 1 | 0.028 * | 4 | 10 | 0.904 | 2 | 12 | 0.909 | 10 | 4 | 0.463 | 1 | 6 | 6 | 0.813 | 8 | 5 | 0.487 |
| Aa | 9 | 20 | 3 | 8 | 24 | 4 | 28 | 17 | 15 | 3 | 17 | 13 | 16 | 17 | |||||||
| AA | 7 | 12 | 11 | 9 | 21 | 3 | 27 | 16 | 14 | 4 | 9 | 9 | 14 | 8 | |||||||
| BsmI | bb | 7 | 17 | 4 | 0.532 | 9 | 19 | 0.749 | 3 | 25 | 0.944 | 17 | 11 | 0.827 | 4 | 11 | 11 | 0.918 | 16 | 10 | 0.652 |
| Bb | 9 | 19 | 6 | 8 | 26 | 4 | 30 | 18 | 16 | 3 | 18 | 14 | 19 | 16 | |||||||
| BB | 2 | 7 | 5 | 4 | 10 | 2 | 12 | 8 | 6 | 1 | 3 | 3 | 3 | 4 | |||||||
| TaqI | tt | 6 | 17 | 4 | 0.796 | 9 | 18 | 0.525 | 3 | 24 | 0.986 | 16 | 11 | 0.874 | 4 | 11 | 10 | 0.634 | 16 | 9 | 0.564 |
| Tt | 8 | 18 | 6 | 9 | 23 | 4 | 28 | 17 | 15 | 2 | 17 | 15 | 17 | 17 | |||||||
| TT | 4 | 8 | 5 | 3 | 14 | 2 | 15 | 10 | 7 | 2 | 4 | 3 | 5 | 4 | |||||||
| FokI | ff | 2 | 7 | 2 | 0.876 | 3 | 8 | 0.138 | 4 | 7 | 0.024 * | 10 | 1 | 0.043 * | 1 | 3 | 1 | 0.544 | 3 | 2 | 0.539 |
| Ff | 9 | 17 | 8 | 13 | 21 | 3 | 31 | 18 | 16 | 4 | 9 | 12 | 16 | 9 | |||||||
| FF | 7 | 19 | 5 | 5 | 26 | 2 | 29 | 15 | 16 | 3 | 20 | 15 | 19 | 19 | |||||||
| Crohn’s Disease (n = 76) | Ulcerative Colitis (n = 68) | Sig. | |
|---|---|---|---|
| 5-ASA | 10 (13.2%) | 39 (57.4%) | <0.001 * |
| Immunomodulator experienced | 18 (23.7%) | 16 (23.5%) | 0.99 |
| Current immunomodulator | 7 (9.2%) | 7 (10.3%) | 0.99 |
| Azathioprine | 4 (5.3%) | 4 (5.9%) | |
| Methotrexate | 3 (3.9%) | 3 (4.4%) | |
| Biologic experienced | 63 (82.9%) | 46 (67.6%) | 0.051 |
| Current biologic | 62 (81.6%) | 45 (66.2%) | 0.038 * |
| Infliximab | 28 (36.8%) | 24 (35.3%) | |
| Adalimumab | 15 (19.7%) | 3 (4.4%) | |
| Golinumab | 0 (0%) | 1 (1.5%) | |
| Anti-IL12/23 agent | 13 (17.1%) | 4 (5.9%) | |
| Vedolizumab | 6 (7.9%) | 13 (19.1%) | |
| Steroid-refractory or steroid-dependent disease | 20 (26.3%) | 29 (42.6%) | 0.052 |
| Univariate Analysis | OR (95% CI) | Multivariate Analysis Model 1 | aOR (95% CI) | Model 2 | aOR (95% CI) | Model 3 | aOR (95% CI) | |
|---|---|---|---|---|---|---|---|---|
| Age | 0.328 | 1.015 (0.98–1.05) | ||||||
| Years from diagnosis | 0.095 | 1.05 (0.99–1.1) | 0.173 | 1.04 (0.98–1.11) | ||||
| Gender, male | 0.749 | 1.16 (0.47–2.9) | ||||||
| Active smoker | 0.236 | 1.77 (0.69–4.54) | ||||||
| Body mass index | 0.696 | 1.02 (0.93–1.11) | ||||||
| Behavior | 0.004 ** | 6.71 (1.85–24.35) | 0.004 ** | 6.71 (1.85–24.35) | 0.002 ** | 8.65 (2.28–32.88) | ||
| B2 vs. B1 | 0.024 * | 3.98 (1.2–13.19) | ||||||
| B3 vs. B1 | 0.002 ** | 16.9 (2.76–103.38) | ||||||
| B2/B3 vs. B1 | 0.005 ** | 5.34 (1.66–17.16) | ||||||
| Perianal disease | 0.662 | 1.26 (0.45–3.52) | ||||||
| Treatment with biologics | 0.127 | 2.6 (0.76–8.87) | ||||||
| CDAI | 0.572 | 1.002 (0.99–1.01) | ||||||
| HBI | 0.996 | 1.001 (0.82–1.22) | ||||||
| SES-CD | 0.342 | 1.12 (0.89–1.4) | ||||||
| ApaI | 0.007 ** | 4.86 (1.54–15.32) | 0.007 ** | 4.86 (1.54–15.32) | 0.013 * | 0.17 (0.04–0.69) | ||
| AA vs. Aa/aa | 0.009 * | 3.91 (1.4–10.91) | ||||||
| AA vs. aa | 0.004 * | 8.21 (1.96–34.51) | ||||||
| aa vs. AA/Aa | 0.02 * | 0.22 (0.06–0.78) | ||||||
| BsmI | 0.665 | 1.61 (0.19–13.79) | 0.781 | 1.36 (0.16–11.81) | 0.798 | 1.33 (0.15–11.48) | ||
| BB vs. Bb/bb | 0.032 * | 5.63 (1.16–27.25) | ||||||
| BB vs. bb | 0.036 * | 6 (1.12–31.88) | ||||||
| bb vs. BB/Bb | 0.289 | 0.6 (0.23–1.54) | ||||||
| TaqI | 0.282 | 2.61 (0.46–14.98) | 0.403 | 2.12 (0.36–12.3) | 0.044 * | 4.79 (1.04–21.98) | ||
| TT vs. Tt/tt | 0.028 * | 4.51 (1.17–17.36) | ||||||
| TT vs. tt | 0.03 * | 5.03 (1.17–21.59) | ||||||
| tt vs. TT/Tt | 0.204 | 0.54 (0.21–1.4) | ||||||
| FokI | ||||||||
| FF vs. Ff/ff | 0.654 | 0.81 (0.32–2.04) | ||||||
| FF vs. ff | 0.777 | 0.82 (0.2–3.33) | ||||||
| ff vs. FF/Ff | 0.677 | 1.32 (0.35–4.97) |
| IBD-Related Hospitalization | IBD-Related Surgery | |||||||
|---|---|---|---|---|---|---|---|---|
| Univariate Analysis | OR (95% CI) | Multivariate Analysis † | aOR (95% CI) | Univariate Analysis | OR (95% CI) | Multivariate Analysis ‡ | aOR (95% CI) | |
| Age | 0.682 | 0.994 (0.96–1.02) | 0.1 | 1.05 (0.99–1.11) | ||||
| Years from diagnosis | 0.917 | 0.998 (0.95–1.05) | 0.022 * | 1.09 (1.01–1.17) | 0.037 * | 1.09 (1.01–1.17) | ||
| Gender, male | 0.467 | 1.43 (0.55–3.7) | 0.401 | 0.47 (0.08–2.75) | ||||
| Active smoker | 0.849 | 1.13 (0.34–3.78) | 0.873 | 0.83 (0.09–7.81) | ||||
| Body mass index | 0.102 | 1.16 (0.97–1.38) | 0.428 | 0.85 (0.56–1.28) | ||||
| Extent (Ε3 vs. E2/E1) | 0.08 | 2.44 (0.9–6.59) | 0.369 | 1.67 (0.55–5.09) | 0.647 | 1.48 (0.28–7.93) | ||
| Severity (S2/S3 vs. S0/S1) | 0.085 | 2.38 (0.89–6.35) | 0.134 | 2.26 (0.78–6.58) | 0.26 | 2.77 (0.47–16.27) | ||
| Treatment with biologics | 0.002 ** | 6.38 (1.98–20.48) | 0.002 ** | 6.38 (1.98–20.48) | 0.404 | 2.56 (0.28–23.36) | ||
| Full Mayo Score | 0.361 | 1.07 (0.93–1.24) | 0.291 | 1.15 (0.89–1.48) | ||||
| Mayo Endoscopic Score | 0.698 | 1.09 (0.7–1.72) | 0.567 | 1.24 (0.59–2.59) | ||||
| ApaI | 0.272 | 0.52 (0.17–1.66) | ||||||
| AA vs. Aa/aa | 0.089 | 0.402 (0.14–1.15) | 0.404 | 0.39 (0.04–3.56) | ||||
| AA vs. aa | 0.154 | 0.36 (0.09–1.47) | 0.295 | 0.26 (0.02–3.22) | ||||
| aa vs. AA/Aa | 0.422 | 1.66 (0.48–5.71) | 0.365 | 2.32 (0.38–14.28) | ||||
| BsmI | ||||||||
| BB vs. Bb/bb | 0.632 | 0.68 (0.14–3.3) | 0.596 | 1.87 (0.19–18.73) | ||||
| BB vs. bb | 0.487 | 0.55 (0.1–2.97) | 0.596 | 2 (0.15–25.92) | ||||
| bb vs. BB/Bb | 0.42 | 1.5 (0.56–4.02) | 0.796 | 0.79 (0.13–4.66) | ||||
| TaqI | ||||||||
| TT vs. Tt/tt | 0.793 | 1.21 (0.3–4.95) | 0.796 | 1.35 (0.14–13.09) | ||||
| TT vs. tt | 0.816 | 0.83 (0.18–3.88) | 0.943 | 0.92 (0.08–10.14) | ||||
| tt vs. TT/Tt | 0.285 | 1.73 (0.64–4.69) | 0.486 | 1.82 (0.34–9.78) | ||||
| FokI | 0.058 | 9.95 (0.93–106.79) | ||||||
| FF vs. Ff/ff | 0.785 | 0.88 (0.34–2.28) | 0.26 | 0.36 (0.06–2.12) | ||||
| FF vs. ff | 0.676 | 0.68 (0.1–4.45) | 0.033 * | 0.08 (0.01–0.82) | ||||
| ff vs. FF/Ff | 0.693 | 1.45 (0.23–9.3) | 0.029 * | 9.83 (1.26–76.84) | ||||
| Univariate Analysis | OR (95% CI) | Multivariate Analysis Model 1 | aOR (95% CI) | Model 2 | aOR (95% CI) | Model 3 | aOR (95% CI) | |
|---|---|---|---|---|---|---|---|---|
| Age | 0.046 * | 1.03 (1.001–1.07) | 0.051 | 1.04 (1–1.08) | 0.033 * | 1.05 (1.004–1.09) | 0.04 * | 1.05 (1.002–1.09) |
| Years from diagnosis | 0.13 | 1.04 (0.98–1.09) | ||||||
| Gender, male | 0.239 | 0.57 (0.22–1.46) | ||||||
| Active smoker | 0.053 | 2.68 (0.99–7.28) | 0.106 | 2.97 (0.8–11.1) | ||||
| Body mass index | 0.901 | 0.99 (0.91–1.08) | ||||||
| Behavior | 0.008 ** | 20.75 (2.25–191.8) | 0.008 ** | 23.4 (2.28–240.6) | 0.004 ** | 23.85 (2.69–211.6) | ||
| B2 vs. B1 | 0.02 * | 12.24 (1.49–100.5) | ||||||
| B3 vs. B1 | 0.005 * | 25.5 (2.6–245.8) | ||||||
| B2/B3 vs. B1 | 0.011 * | 14.8 (1.85–118.7) | ||||||
| Perianal disease | 0.89 | 0.93 (0.33–2.62) | ||||||
| Treatment with biologics | 0.095 | 3.86 (0.79–18.91) | 0.426 | 2.12 (0.34–13.38) | ||||
| CDAI | 0.583 | 1.002 (0.99–1.01) | ||||||
| HBI | 0.418 | 1.048 (0.89–1.32) | ||||||
| SES-CD | 0.461 | 1.077 (0.88–1.31) | ||||||
| ApaI | 0.002 ** | 6.1 (1.9–19.59) | 0.024 * | 4.22 (1.21–14.7) | 0.014 * | 0.055 (0.006–0.56) | ||
| AA vs. Aa/aa | 0.005 ** | 4.16 (1.55–11.2) | ||||||
| AA vs. aa | 0.01 ** | 17 (1.96–147.2) | ||||||
| aa vs. AA/Aa | 0.031 * | 0.1 (0.12–0.81) | ||||||
| BsmI | ||||||||
| BB vs. Bb/bb | 0.263 | 1.95 (0.61–6.31) | ||||||
| BB vs. bb | 0.18 | 2.5 (0.66–9.46) | ||||||
| bb vs. BB/Bb | 0.256 | 0.56 (0.21–1.52) | ||||||
| TaqI | 0.55 | 1.63 (0.33–8.14) | 0.649 | 1.48 (0.27–7.96) | 0.085 | 3.57 (0.84–15.15) | ||
| TT vs. Tt/tt | 0.038 * | 3.25 (1.07–9.91) | ||||||
| TT vs. tt | 0.033 * | 4.08 (1.2–14.89) | ||||||
| tt vs. TT/Tt | 0.147 | 0.47 (0.17–1.31) | ||||||
| FokI | ||||||||
| FF vs. Ff/ff | 0.79 | 1.15 (0.45–2.95) | ||||||
| FF vs. ff | 0.696 | 0.76 (0.19–3.04) | ||||||
| ff vs. FF/Ff | 0.524 | 1.52 (0.42–5.53) |
Disclaimer/Publisher’s Note: The statements, opinions and data contained in all publications are solely those of the individual author(s) and contributor(s) and not of MDPI and/or the editor(s). MDPI and/or the editor(s) disclaim responsibility for any injury to people or property resulting from any ideas, methods, instructions or products referred to in the content. |
© 2025 by the authors. Licensee MDPI, Basel, Switzerland. This article is an open access article distributed under the terms and conditions of the Creative Commons Attribution (CC BY) license (https://creativecommons.org/licenses/by/4.0/).
Share and Cite
Kafentzi, T.; Tsounis, E.P.; Tourkochristou, E.; Avramopoulou, E.; Aggeletopoulou, I.; Geramoutsos, G.; Sotiropoulos, C.; Pastras, P.; Thomopoulos, K.; Theocharis, G.; et al. Genetic Polymorphisms (ApaI, FokI, BsmI, and TaqI) of the Vitamin D Receptor (VDR) Influence the Natural History and Phenotype of Crohn’s Disease. Int. J. Mol. Sci. 2025, 26, 1848. https://doi.org/10.3390/ijms26051848
Kafentzi T, Tsounis EP, Tourkochristou E, Avramopoulou E, Aggeletopoulou I, Geramoutsos G, Sotiropoulos C, Pastras P, Thomopoulos K, Theocharis G, et al. Genetic Polymorphisms (ApaI, FokI, BsmI, and TaqI) of the Vitamin D Receptor (VDR) Influence the Natural History and Phenotype of Crohn’s Disease. International Journal of Molecular Sciences. 2025; 26(5):1848. https://doi.org/10.3390/ijms26051848
Chicago/Turabian StyleKafentzi, Theodora, Efthymios P. Tsounis, Evanthia Tourkochristou, Evdoxia Avramopoulou, Ioanna Aggeletopoulou, Georgios Geramoutsos, Christos Sotiropoulos, Ploutarchos Pastras, Konstantinos Thomopoulos, Georgios Theocharis, and et al. 2025. "Genetic Polymorphisms (ApaI, FokI, BsmI, and TaqI) of the Vitamin D Receptor (VDR) Influence the Natural History and Phenotype of Crohn’s Disease" International Journal of Molecular Sciences 26, no. 5: 1848. https://doi.org/10.3390/ijms26051848
APA StyleKafentzi, T., Tsounis, E. P., Tourkochristou, E., Avramopoulou, E., Aggeletopoulou, I., Geramoutsos, G., Sotiropoulos, C., Pastras, P., Thomopoulos, K., Theocharis, G., & Triantos, C. (2025). Genetic Polymorphisms (ApaI, FokI, BsmI, and TaqI) of the Vitamin D Receptor (VDR) Influence the Natural History and Phenotype of Crohn’s Disease. International Journal of Molecular Sciences, 26(5), 1848. https://doi.org/10.3390/ijms26051848

