Different Gut Microbiome Profiles in Patients with Transthyretin Amyloidosis with and Without Cardiac Involvement
Abstract
1. Introduction
The Gut Microbiome
- Group 1 (G1)—ATTR amyloidosis patients with cardiac involvement
- Group 2 (G2)—ATTR amyloidosis patients without cardiac involvement
- Group 3 (G3)—Control group with similar living and eating habits to the patient groups
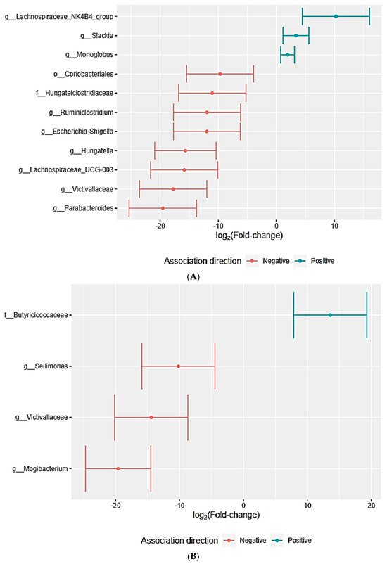
2. Results
2.1. Alpha Diversity
2.2. Beta Diversity
2.3. Relative Abundance and Taxonomic Composition
2.4. Correlation with Complementary Exams
2.4.1. Clinical Questionnaire Correlations
2.4.2. Laboratory Markers: BNP and Troponin
2.4.3. Echocardiographic Parameters
2.4.4. Genotype
2.4.5. 6 Min Walk Test
3. Discussion
Correlation Between the Most Abundant Taxa and Complementary Assessments
4. Material and Methods
4.1. Study Population
4.2. Inclusion Criteria
- Diagnosis of wild-type transthyretin amyloidosis (ATTRwt) and patients with a hereditary form (ATTRv) documented by a pathogenic transthyretin mutation
- All the following criteria have been met to define cardiac involvement by ATTR amyloidosis: evidence of cardiac thickening by echocardiography or magnetic resonance imaging with measurement of the interventricular septum at end-diastole (SIVd) > 12 mm; myocardial scintigraphy with technetium pyrophosphate indicating levels 2 or 3 of uptake in the absence of circulating immunoglobulins; in the presence of uncertain significant hypergammaglobulinemia (MGUS), confirmation of the ATTR in the tissue through immunohistochemistry (IHC) or mass spectrometry was necessary
4.3. Exclusion Criteria
- Individuals with a history of inflammatory bowel disease
- Those experiencing persistent diarrhea for more than two weeks in the two months before fecal collection
- Individuals who have used antibiotics, prebiotics, and probiotic supplements in the two months before collection
4.4. Automatic Sequencing and Bioinformatics Analysis
4.5. Transthoracic Echocardiogram
4.6. Complementary Laboratory Tests
4.7. 6 Min Walk Test
4.8. Clinical Questionnaire
4.9. Statistical Analysis
5. Conclusions
Author Contributions
Funding
Institutional Review Board Statement
Informed Consent Statement
Data Availability Statement
Acknowledgments
Conflicts of Interest
References
- Jiang, X.; Buxbaum, J.N.; Kelly, J.W. The V122I cardiomyopathy variant of transthyretin increases the velocity of rate-limiting tetramer dissociation, resulting in accelerated amyloidosis. Proc. Natl. Acad. Sci. USA 2001, 98, 14943–14948. [Google Scholar] [CrossRef] [PubMed]
- Ruberg, F.L.; Berk, J.L. Transthyretin (TTR) Cardiac Amyloidosis. Circulation 2012, 126, 1286–1300. [Google Scholar] [CrossRef] [PubMed]
- Gallo, A.; Macerola, N.; Favuzzi, A.M.; Nicolazzi, M.A.; Gasbarrini, A.; Montalto, M. The Gut in Heart Failure: Current Knowledge and Novel Frontiers. Med. Princ. Pract. 2022, 31, 203–214. [Google Scholar] [CrossRef]
- Qin, J.; Li, R.; Raes, J.; Arumugam, M.; Burgdorf, K.S.; Manichanh, C.; Nielsen, T.; Pons, N.; Levenez, F.; Yamada, T.; et al. A human gut microbial gene catalogue established by metagenomic sequencing. Nature 2010, 464, 59–65. [Google Scholar] [CrossRef] [PubMed]
- Shen, J.; Obin, M.S.; Zhao, L. The gut microbiota, obesity and insulin resistance. Mol. Asp. Med. 2013, 34, 39–58. [Google Scholar] [CrossRef]
- Sommer, F.; Anderson, J.M.; Bharti, R.; Raes, J.; Rosenstiel, P. The resilience of the intestinal microbiota influences health and disease. Nat. Rev. Microbiol. 2017, 15, 630–638. [Google Scholar] [CrossRef]
- Smith, P.M.; Howitt, M.R.; Panikov, N.; Michaud, M.; Gallini, C.A.; Bohlooly, Y.M.; Glickman, J.N.; Garrett, W.S. The Microbial Metabolites, Short-Chain Fatty Acids, Regulate Colonic Treg Cell Homeostasis. Science 2013, 341, 569–573. [Google Scholar] [CrossRef] [PubMed]
- Chao, A. Nonparametric Estimation of the Number of Classes in a Population. Scand. J. Stat. 1984, 11, 265–270. Available online: https://www.jstor.org/stable/4615964 (accessed on 2 November 2020).
- Shannon, C.E. A Mathematical Theory of Communication. Bell Syst. Technol. J. 1948, 27, 379–423. [Google Scholar] [CrossRef]
- Manor, O.; Dai, C.L.; Kornilov, S.A.; Smith, B.; Price, N.D.; Lovejoy, J.C.; Gibbons, S.M.; Magis, A.T. Health and disease markers correlate with gut microbiome composition across thousands of people. Nat Commun. 2020, 11, 5206. [Google Scholar] [CrossRef] [PubMed]
- Magne, F.; Gotteland, M.; Gauthier, L.; Zazueta, A.; Pesoa, S.; Navarrete, P.; Balamurugan, R. The Firmicutes/Bacteroidetes Ratio: A Relevant Marker of Gut Dysbiosis in Obese Patients? Nutrients 2020, 12, 1474. [Google Scholar] [CrossRef] [PubMed]
- Adak, A.; Khan, M.R. An insight into gut microbiota and its functionalities. Cell. Mol. Life Sci. 2019, 76, 473–493. [Google Scholar] [CrossRef]
- Risely, A. Applying the core microbiome to understand host–microbe systems. J. Anim. Ecol. 2020, 89, 1549–1558. [Google Scholar] [CrossRef] [PubMed]
- Neu, A.T.; Allen, E.E.; Roy, K. Defining and quantifying the core microbiome: Challenges and prospects. Proc. Natl. Acad. Sci. USA 2021, 118, e2104429118. [Google Scholar] [CrossRef]
- Carapetis, J.R.; Steer, A.C.; Mulholland, E.K.; Weber, M. The global burden of group A streptococcal diseases. Lancet Infect. Dis. 2005, 5, 685–694. [Google Scholar] [CrossRef]
- Cunningham, M.W. Pathogenesis of Group A Streptococcal Infections. Clin. Microbiol. Rev. 2000, 13, 470–511. [Google Scholar] [CrossRef] [PubMed]
- Gupta, A.; Madani, R.; Mukhtar, H. Streptococcus bovis endocarditis, a silent sign for colonic tumour. Color. Dis. 2010, 12, 164–171. [Google Scholar] [CrossRef]
- Yang, M.; Bi, W.; Zhang, Z. Gut microbiota and risk of endocarditis: A bidirectional Mendelian randomization study. Front. Microbiol. 2024, 15, 1320095. Available online: https://www.frontiersin.org/journals/microbiology/articles/10.3389/fmicb.2024.1320095/full (accessed on 19 June 2024). [CrossRef] [PubMed]
- Chaudhary, P.P.; Conway, P.L.; Schlundt, J. Methanogens in humans: Potentially beneficial or harmful for health. Appl. Microbiol. Biotechnol. 2018, 102, 3095–3104. [Google Scholar] [CrossRef] [PubMed]
- Simões, M.V.; Fernandes, F.; Marcondes-Braga, F.G.; Scheinberg, P.; de Barros Correia, E.; Rohde, L.E.P.; Bacal, F.; Alves, S.M.M.; Mangini, S.; Biolo, A.; et al. Posicionamento sobre Diagnóstico e Tratamento da Amiloidose Cardíaca—2021. Arq. Bras. Cardiol. 2021, 117, 561–598. [Google Scholar] [CrossRef] [PubMed]
- Souza, G.S.; Sardá, F.A.H.; Giuntini, E.B.; Gumbrevicius, I.; de Morais, M.B.; de Menezes, E.W. Translation and validation of the brazilian portuguese version of the gastrointestinal symptom rating scale (gsrs) questionnaire. Arq. Gastroenterol. 2016, 53, 146–151. [Google Scholar] [CrossRef] [PubMed]








| Clinical Characteristics of Patients * | ||||
|---|---|---|---|---|
| Group 1 (n = 20) | Group 2 (n = 19) | Group 3 (n = 21) | p Value | |
| Age (year) | 73.8 ± 9.1 | 42.58 ± 10.87 | 55.26 ± 20.68 | <0.05 |
| Sex (M/F) | 17/3 | 12/7 | 3/18 | <0.05 |
| Systolic blood pressure (mmHg) | 119.33 ± 18.14 | 128.26 ± 17.95 | 124.71 ± 10.62 | 0.210 |
| Diastolic blood pressure (mmHg) | 74.52 ± 12.67 | 84.32 ± 11.23 | 77.19 ± 6.8 | 0.010 |
| Mean blood pressure (mmHg) | 89.14 ± 13.63 | 98.58 ± 12.14 | 92.71 ± 6.81 | 0.030 |
| Heart rate (bpm) | 72.67 ± 11.93 | 70.42 ± 9.86 | 74.05 ± 10.46 | 0.570 |
| Oximetry (%) | 96.19 ± 1.99 | 97.47 ± 1.07 | 97.38 ± 0.92 | 0.008 |
| Weight (kg) | 67.14 ± 10.18 | 73.84 ± 15.38 | 70.33 ± 10.05 | 0.220 |
| Height (cm) | 165.76 ± 5.44 | 168.42 ± 7.77 | 163.29 ± 6.73 | 0.060 |
| Body mass index (kg/m2) | 24.4 ± 3.1 | 25.67 ± 4.91 | 26.37 ± 3.14 | 0.240 |
| Clinical questionnaire score | 26.48 ± 8.66 | 24.74 ± 9.60 | 25.62 ± 7.3 | 0.810 |
| Walking test distance 6 min (M) | 355.52 ± 77.28 | 422.23 ± 115.65 | 0.589 | |
| Hypertension | 8 (40%) | 2 (10.53%) | 3 (14.89%) | 0.097 |
| Diabetes | 8 (40%) | 0 | 4 (19.05%) | 0.008 |
| Dyslipidemia | 7 (35%) | 1 (5.26%) | 4 (19.05%) | 0.067 |
| Group 1 (n = 20) | Group 2 (n = 19) | p Value | ||
| BNP (pg/mL) | 484.26 ± 309.42 | 21.37 ± 20.76 | 0.033 | |
| Troponin (ng/L) | 46.93 ± 45.39 | 7.42 ± 10.95 | 0.228 | |
| Echocardiographic characteristics of patients ** | ||||
| Group 1 (n = 20) | Group 2 (n = 19) | p Value | ||
| LVEF (%) 1 | 45.05 ± 12.26 | 59.16 ± 3.06 | 0.166 | |
| LV mass index (g/m2) | 172.16 ± 40.06 | 73.84 ± 15.85 | 0.002 | |
| GLSLV (%) 2 | 8.97 ± 2.94 | 17.71 ± 1.90 | 0.002 | |
| LA volume 3 (mL/m2) | 58.15 ± 13.34 | 28.63 ± 3.92 | 0.003 | |
| RA volume 4 (mL/m2) | 41.7 ± 17.55 | 19.74 ± 4.95 | 0.077 | |
| RV basal diameter 5 (mm) | 37.4 ± 6.13 | 34.37 ± 5.25 | 0.405 | |
| PASP (mmHg) 6 | 44.88 ± 11.94 | 24.40 ± 2.53 | 0.017 | |
| RV area in diastole | 17.98 ± 9.48 | 19.20 ± 5.83 | 0.913 | |
| FAC (%) 7 | 34.7 ± 9.46 | 46.56 ± 10.85 | 0.184 | |
| S Wave RV (m/s) | 6.69 ± 2.87 | 11.17 ± 2.23 | 0.056 | |
| TAPSE 8 | 12.88 ± 4.97 | 20.89 ± 3.36 | 0.067 | |
Disclaimer/Publisher’s Note: The statements, opinions and data contained in all publications are solely those of the individual author(s) and contributor(s) and not of MDPI and/or the editor(s). MDPI and/or the editor(s) disclaim responsibility for any injury to people or property resulting from any ideas, methods, instructions or products referred to in the content. |
© 2025 by the authors. Licensee MDPI, Basel, Switzerland. This article is an open access article distributed under the terms and conditions of the Creative Commons Attribution (CC BY) license (https://creativecommons.org/licenses/by/4.0/).
Share and Cite
Rissato, J.H.; de Melo Pereira, N.; Romero, C.E.; del Cisne Jadán Luzuriaga, G.; Kerges Bueno, B.V.; Fonseca Cafezeiro, C.R.; de Alencar Neto, A.C.; Borges, T.S.; Freitas Carvalhal, S.; Ramires, F.J.A.; et al. Different Gut Microbiome Profiles in Patients with Transthyretin Amyloidosis with and Without Cardiac Involvement. Int. J. Mol. Sci. 2025, 26, 1689. https://doi.org/10.3390/ijms26041689
Rissato JH, de Melo Pereira N, Romero CE, del Cisne Jadán Luzuriaga G, Kerges Bueno BV, Fonseca Cafezeiro CR, de Alencar Neto AC, Borges TS, Freitas Carvalhal S, Ramires FJA, et al. Different Gut Microbiome Profiles in Patients with Transthyretin Amyloidosis with and Without Cardiac Involvement. International Journal of Molecular Sciences. 2025; 26(4):1689. https://doi.org/10.3390/ijms26041689
Chicago/Turabian StyleRissato, João Henrique, Natalia de Melo Pereira, Cristhian Espinoza Romero, Georgina del Cisne Jadán Luzuriaga, Bruno Vaz Kerges Bueno, Caio Rebouças Fonseca Cafezeiro, Aristóteles Comte de Alencar Neto, Thaís Sousa Borges, Suenia Freitas Carvalhal, Félix Jose Alvarez Ramires, and et al. 2025. "Different Gut Microbiome Profiles in Patients with Transthyretin Amyloidosis with and Without Cardiac Involvement" International Journal of Molecular Sciences 26, no. 4: 1689. https://doi.org/10.3390/ijms26041689
APA StyleRissato, J. H., de Melo Pereira, N., Romero, C. E., del Cisne Jadán Luzuriaga, G., Kerges Bueno, B. V., Fonseca Cafezeiro, C. R., de Alencar Neto, A. C., Borges, T. S., Freitas Carvalhal, S., Ramires, F. J. A., Nastari, L., Mady, C., & Fernandes, F. (2025). Different Gut Microbiome Profiles in Patients with Transthyretin Amyloidosis with and Without Cardiac Involvement. International Journal of Molecular Sciences, 26(4), 1689. https://doi.org/10.3390/ijms26041689

