The Factors Associated with the Blood–Brain Barrier Dysfunction in Tick-Borne Encephalitis
Abstract
1. Introduction
2. Results
2.1. Study Group
2.2. Blood–Brain Barrier Function
2.3. Concentrations of the Soluble Mediators
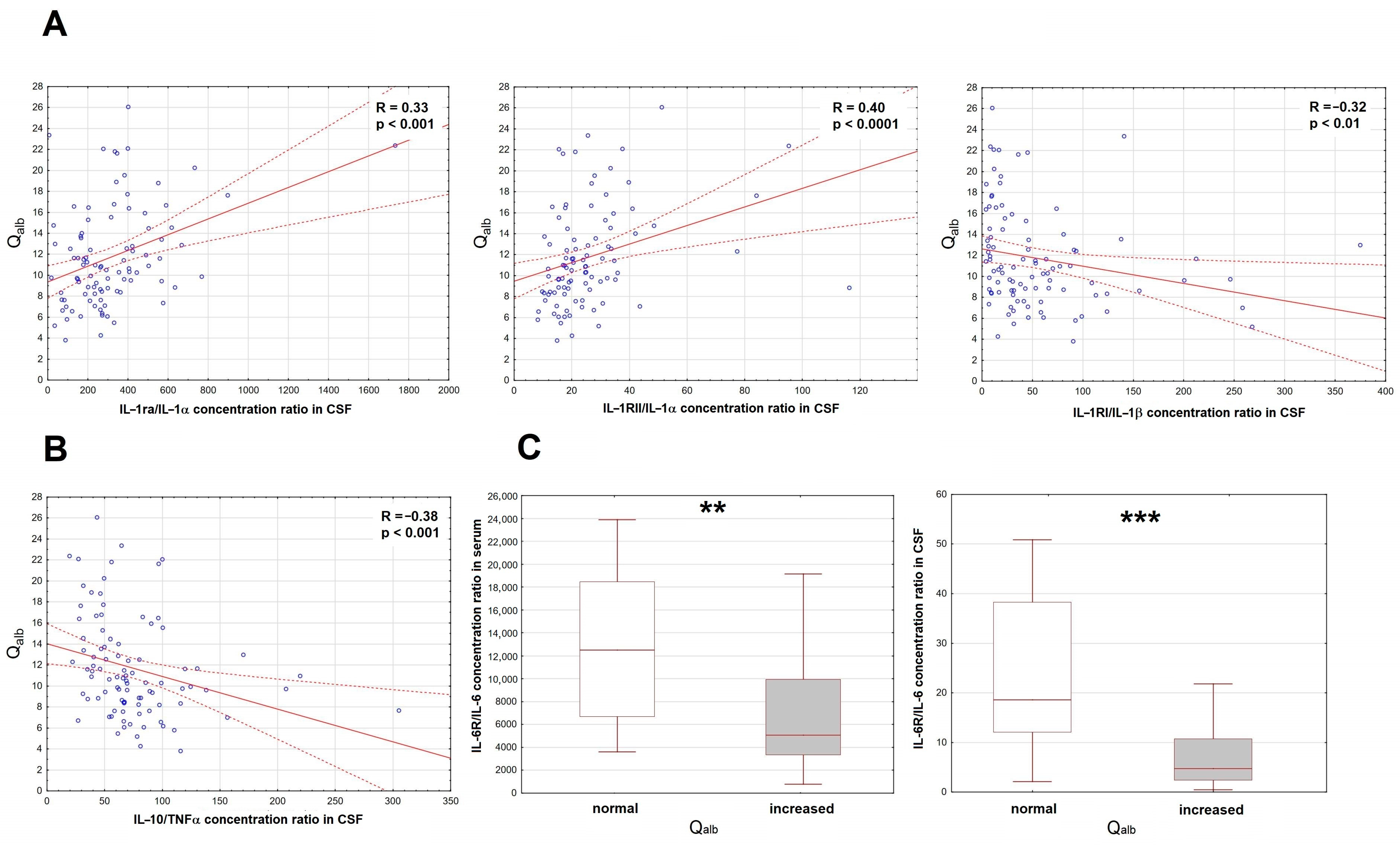
2.3.1. Proinflammatory Cytokines and Their Soluble Antagonists
2.3.2. Matrix Metalloproteinases
2.3.3. VEGF, Adhesion Molecules and Selectins
2.3.4. Additional Cytokines and Final Multivariate Regression Analysis
2.4. The Genetic Analysis
3. Discussion
4. Materials and Methods
4.1. Patient Recruitment
4.2. Material and Basic Laboratory Examinations
4.3. Micro-Bead Assay
4.4. Genotyping
4.5. Data Analysis
5. Conclusions
Author Contributions
Funding
Institutional Review Board Statement
Informed Consent Statement
Data Availability Statement
Conflicts of Interest
Appendix A

Appendix B
| N = 96 | R = 0.60666832; R2= 0.36804645; Adjusted R2= 0.34026827; F = 13.249; p < 0.00000; SE of Estimate = 3.8735 | ||||
|---|---|---|---|---|---|
| β | β SE | b | b SE | p | |
| Free parameter | 1.857970 | 1.670239 | 0.269 | ||
| TNFα in CSF | 0.589526 | 0.100246 | 0.591526 | 0.100586 | <10−6 |
| IL1-RI in CSF | 0.360412 | 0.089731 | 0.093910 | 0.023380 | <0.001 |
| MMP8 in serum | 0.238308 | 0.084190 | 0.000097 | 0.000034 | <0.01 |
| MIF in CSF | −0.204854 | 0.098476 | −0.000063 | 0.000030 | <0.05 |

| N = 83 | R= 0.88266882; R2 = 0.77910424; Adjusted R2 = 0.74842428; F = 25.395; p < 0.0000; SE of Estimate = 2.3356 | ||||
|---|---|---|---|---|---|
| β | β SE | b | b SE | p | |
| Free parameter | 3.095392 | 1.051678 | <0.01 | ||
| sVCAM-1 in CSF | 0.362972 | 0.069781 | 0.000007 | 0.000001 | <10−5 |
| L-selectin in CSF | 0.354030 | 0.067946 | 0.000077 | 0.000015 | <10−5 |
| P-selectin in CSF | 0.221643 | 0.064324 | 0.008976 | 0.002605 | <0.001 |
| MMP8 in serum | 0.193163 | 0.060886 | 0.000106 | 0.000033 | <0.01 |
| IL-28A in serum | 0.171075 | 0.062259 | 0.003968 | 0.001444 | <0.01 |
| IFNγ in serum | 0.166918 | 0.069668 | 0.209407 | 0.087402 | <0.05 |
| MMP7 in CSF | 0.162504 | 0.059987 | 0.014411 | 0.005320 | <0.01 |
| MIF in serum | 0.077664 | 0.058618 | 0.000137 | 0.000103 | =0.189 |
| IL-15 in serum | −0.174043 | 0.068555 | −0.479573 | 0.188902 | <0.05 |
| IL12p70 in serum | −0.262003 | 0.065528 | −0.274700 | 0.068703 | <0.001 |

Appendix C
| Gene | Polymorphism | Genotype | Frequency [n (%)] | |
|---|---|---|---|---|
| in a Full Cohort (n = 214) | in a Soluble Mediator Study Group (n = 89) | |||
| TLR3 | rs3775291 | C/C T/C T/T | 93 (43.5%) 108 (50.5%) 13 (6.1%) | 40 (44.9%) 48 (53.9%) 1 (1.1%) |
| rs5743305 | A/A T/A T/T | 32 (15.0%) 85 (39.7%) 97 (45.3%) | 10 (11.2%) 39 (43.8%) 40 (44.9%) | |
| TLR4 | rs4986790 | A/A A/G G/G | 184 (86.0%) 29 (13.6%) 1 (0.5%) | 74 (65.9%) 15 (16.9%) 0 (0.0%) |
| MIF | rs755622 | G/G G/C C/C | 137 (64.0%) 72 (33.6%) 5 (2.3%) | 60 (67.4%) 28 (31.5%) 1 (1.1%) |
| TNF | rs1800629 | G/G A/G A/A | 173 (80.8%) 36 (16.8%) 5 (2.3%) | 73 (82.0%) 12 (13.5%) 4 (4.5%) |
| TNFRSF1A | rs767455 | C/C C/T T/T | 53 (24.8%) 118 (55.1%) 43 (20.1%) | 23 (25.9%) 48 (53.9%) 18 (20.0%) |
| rs4149570 | C/C A/C A/A | 86 (40.2%) 102 (47.7%) 26 (12.1%) | 41 (46.1%) 36 (40.4%) 12 (13.5%) | |
| TNFRSF1B | rs1061622 | T/T G/T G/G | 134 (62.6%) 66 (32.8%) 14 (6.6%) | 51 (57.3%) 26 (29.2%) 8 (9.0%) |
| rs3397 | T/T T/C C/C | 73 (34.1%) 109 (50.9%) 32 (15.0%) | 29 (32.6%) 46 (51.7%) 14 (15.7%) | |
| IL10 | rs1800896 | T/T T/C C/C | 68 (31.8%) 105 (49.1%) 41 (19.2%) | 26 (29.2%) 41 (46.1%) 22 (19.6%) |
| rs1800872 | G/G T/G T/T | 119 (55.6%) 85 (39.7%) 10 (4.7%) | 56 (62.9%) 29 (32.6%) 4 (4.5%) | |
| Gene | Polymorphism | Genotype | Qalb Median (Quartiles) |
|---|---|---|---|
| TLR3 | rs3775291 | C/C T/C T/T | 10.85 (8.37–13.99) 10.17 (7.54–13.46) 10.17 (7.54–14.15) |
| rs5743305 | A/A T/A T/T | 10.67 (7.52–11.56) 11.28 (8.23–13.99) 10.85 (7.93–14.46) | |
| TLR4 | rs4986790 | A/A A/G G/G | 10.52 (7.93–13.81) 10.64 (8.66–16.65) NC |
| MIF | rs755622 | G/G G/C C/C | 10.22 (7.77–14.79) 10.91 (8.08–13.39) 10.60 (10.00–12.25) |
| TNF | rs1800629 | G/G A/G A/A | 10.71 (7.77–14.31) 10.40 (8.55–12.10) 9.55 (7.98–11.98) |
| TNFRSF1A | rs767455 | C/C C/T T/T | 10.67 (8.52–14.31) 9.84 (7.50–13.43) 11.61 (8.87–14.83) |
| rs4149570 | C/C A/C A/A | 10.27 (8.42–13.99) 10.84 (7.61–13.40) 11.95 (8.37–14.47) | |
| TNFRSF1B | rs1061622 | T/T G/T G/G | 10.77 (8.19–14.47) 10.40 (7.67–13.36) 10.68 (7.93–13.87) |
| rs3397 | T/T T/C C/C | 10.50 (7.52–14.80) 10.85 (8.39–13.91) 9.51 (7.99–12.28) | |
| IL10 | rs1800896 | T/T T/C C/C | 10.85 (7.61–14.73) 9.86 (7.99–12.91) 10.84 (8.24–13.46) |
| rs1800872 | G/G T/G T/T | 10.84 (8.24–13.99) 9.68 (7.45–12.98) 14.73 (10.85–18.07) |
Appendix D


References
- Banks, W.A.; Erickson, M.A. The blood-brain barrier and immune function and dysfunction. Neurobiol. Dis. 2010, 37, 26–32. [Google Scholar] [CrossRef] [PubMed]
- Engelhardt, B. The blood-central nervous system barriers actively control immune cell entry into central nervous system. Curr. Pharm. Des. 2008, 14, 1555–1565. [Google Scholar] [CrossRef]
- Reese, T.S.; Karnovski, M.J. Fine structural localization of a blood-brain barrier to exogenous peroxidase. J. Cell Biol. 1967, 34, 207–217. [Google Scholar] [CrossRef] [PubMed]
- Savarin, C.; Stohlman, S.A.; Rietsch, A.M.; Butchi, N.; Ransohoff, R.M.; Bergmann, C.C. MMP9 deficiency does not decrease blood-brain barrier disruption, but increases astrocyte MMP3 expression during viral encephalomyelitis. Glia 2011, 59, 1770–1781. [Google Scholar] [CrossRef] [PubMed]
- Toft-Hansen, H.; Buist, R.; Sun, X.J.; Schellenberg, A.; Peeling, J.; Owens, T. Metalloproteinases control brain inflammation induced by pertussis toxin in mice overexpressing the chemokine CCL2 in the central nervous system. J. Immunol. 2006, 177, 7242–7249. [Google Scholar] [CrossRef]
- Verma, S.; Nakaoke, R.; Dohgu, S.; Banks, W.A. Release of cytokines by brain endothelial cells: A polarized response to lipopolysaccharide. Brain Behav. Immunol. 2006, 20, 449–455. [Google Scholar] [CrossRef]
- Verma, S.; Lo, Y.; Chapagain, M.; Lum, S.; Kumar, M.; Gurjav, U.; Luo, H.; Nakatsuka, A.; Nerurkar, V.R. West Nile virus infection modulates human brain microvascular endothelial cells tight junction proteins and cell adhesion molecules: Transmigration across the in vitro blood-brain barrier. Virology 2009, 385, 425–433. [Google Scholar] [CrossRef] [PubMed]
- Pustijanac, E.; Buršić, M.; Talapko, J.; Škrlec, I.; Meštrović, T.; Lišnjić, D. Tick-borne encephalitis virus: A comprehensive review of transmission, pathogenesis, epidemiology, clinical manifestations, diagnosis, and prevention. Microorganisms 2023, 11, 1634. [Google Scholar] [CrossRef] [PubMed]
- Chiffi, G.; Grandgirard, D.; Leib, S.L.; Chrdle, A.; Rüžek, D. Tick-borne encephalitis: A comprehensive review of the epidemiology, virology, and clinical picture. Rev. Med. Virol. 2023, 33, e2470. [Google Scholar] [CrossRef] [PubMed]
- National Institute of Public Health–National Research Institute. Available online: https://wwwold.pzh.gov.pl/oldpage/epimeld/index_p.html (accessed on 1 January 2025).
- Růžek, D.; Salát, J.; Singh, S.K.; Kopecký, J. Breakdown of the blood-brain barrier during tick-borne encephalitis in mice is not dependent on CD8+ T-cells. PLoS ONE 2011, 6, e20472. [Google Scholar] [CrossRef] [PubMed]
- Daniels, B.P.; Holman, D.W.; Cruz-Orengo, L.; Jujjavarapu, H.; Durrant, D.M.; Klein, R.S. Viral pathogen-associated molecular patterns regulate blood-brain barrier integrity via competing innate cytokine signals. MBio 2014, 5, e01476. [Google Scholar] [CrossRef]
- Kaiser, R.; Holzmann, H. Laboratory findings in tick-borne encephalitis–correlation with clinical outcome. Infection 2000, 28, 78–84. [Google Scholar] [CrossRef] [PubMed]
- Grygorczuk, S.; Parczewski, M.; Świerzbińska, R.; Czupryna, P.; Moniuszko, A.; Dunaj, J.; Kondrusik, M.; Pancewicz, S. The increased concentration of macrophage migration inhibitory factor in serum and cerebrospinal fluid of patients with tick-borne encephalitis. J. Neuroinflamm. 2017, 14, 126. [Google Scholar] [CrossRef] [PubMed]
- Hayasaka, D.; Nagata, N.; Fujii, Y.; Hasagawa, H.; Sata, T.; Suzuki, R.; Gould, E.A.; Takashima, I.; Koike, S. Mortality following peripheral infection with Tick-borne encephalitis virus results from a combination of central nervous system pathology, systemic inflammatory and stress responses. Virology 2009, 390, 139–150. [Google Scholar] [CrossRef] [PubMed]
- Grygorczuk, S.; Dunaj-Małyszko, J.; Czupryna, P.; Sulik, A.; Toczyłowski, K.; Siemieniako-Werszko, A.; Żebrowska, A.; Pancewicz, S.; Moniuszko-Malinowska, A. The detectability of the viral RNA in blood and cerebrospinal fluid of patients with tick-borne encephalitis. Int. J. Mol. Sci. 2022, 23, 9332. [Google Scholar] [CrossRef] [PubMed]
- Palus, M.; Mancova, M.; Sirmarova, J.; Elsterova, J.; Perner, J.; Ruzek, D. Tick-borne encephalitis virus infects human brain microvascular endothelial cells without compromising blood-brain barrier integrity. Virology 2017, 507, 110–122. [Google Scholar] [CrossRef] [PubMed]
- Roe, K.; Orillo, B.; Verma, S. west Nile virus-induces cell adhesion molecules on human brain microvascular endothelial cells regulate leukocyte adhesion and modulate permeability of the in vitro blood-brain barrier model. PLoS ONE 2014, 9, e102598. [Google Scholar] [CrossRef] [PubMed]
- Arjona, A.; Foellmer, H.G.; Town, T.; Leng, L.; McDonald, C.; Wang, T.; Wong, S.J.; Montgomery, R.R.; Bucala, R. Abrogation of macrophage migration inhibitory factor decreases West Nile virus lethality by limiting vial neuroinvasion. J. Clin. Investig. 2007, 117, 3059–3066. [Google Scholar] [CrossRef] [PubMed]
- Wang, T.; Town, T.; Alexopoulou, L.; Anderson, J.F.; Fikrig, E.; Flavell, R.A. Toll-like receptor 3 mediated West Nile virus entry into the brain causing lethal encephalitis. Nat. Med. 2004, 10, 1366–1373. [Google Scholar] [CrossRef]
- Han, Y.W.; Choi, J.Y.; Uyangaa, E.; Kim, S.B.; Kim, J.H.; Kim, B.S.; Kim, K.; Eo, S.K. Distinct dictation of Japanese encephalitis virus-induced neuroinflammation and lethality via triggering TLR3 and TLR4 signal pathways. PLoS Pathog. 2014, 10, e1004319. [Google Scholar] [CrossRef] [PubMed]
- Argaw, A.T.; Gurfein, B.T.; Zhang, Y.; Zameer, A.; John, G.R. VEGF-mediated disruption of endothelial CLN-5 promotes blood-brain barrier breakdown. Proc. Natl. Acad. Sci. USA 2009, 106, 1977–1982. [Google Scholar] [CrossRef] [PubMed]
- Stone, K.P.; Kastin, A.J.; Pan, W. NKκB is an unexpected major mediator of interleukin-15 signaling in cerebral endothelia. Cell. Physiol. Biochem. 2011, 28, 115–124. [Google Scholar] [CrossRef] [PubMed]
- Palus, M.; Žampachová, E.; Elsterová, J.; Růžek, D. Serum matrix metalloproteinase-9 and tissue inhibitor of metalloproteinase-1 levels in patients with tick-borne encephalitis. J. Infect. 2014, 68, 165–169. [Google Scholar] [CrossRef] [PubMed]
- Chang, C.-Y.; Li, J.-R.; Chen, W.-Y.; Ou, Y.-C.; Lai, C.-Y.; Hu, Y.-H.; Wu, C.-C.; Chang, C.-J.; Chen, C.-J. Disruption of in vitro endothelial barrier integrity by Japanese encephalitis virus-infected astrocytes. Glia 2015, 63, 1915–1932. [Google Scholar] [CrossRef] [PubMed]
- Dawes, B.E.; Gao, J.; Atkins, C.; Nelson, J.T.; Johnson, K.; Wu, P.; Freiberg, A.N. Human and neural stem cell-derived neuron/astrocyte co-cultures respond to La Crosse virus infection with proinflammatory cytokines and chemokines. J. Neuroinflamm. 2018, 15, 315. [Google Scholar] [CrossRef] [PubMed]
- Crocker, S.J.; Milner, R.; Pham-Mitchell, N.; Campbell, I.L. Cell and agonist-specific regulation of genes for matrix metalloproteinases and their tissue inhibitors by primary glial cells. J. Neurochem. 2006, 98, 812–823. [Google Scholar] [CrossRef]
- Palus, M.; Bílý, T.; Elsterová, J.; Langhansová, H.; Salát, J.; Vancová, M.; Růžek, D. Infection and injury of human astrocytes by tick-borne encephalitis virus. J. Gen. Virol. 2014, 95, 2411–2426. [Google Scholar] [CrossRef]
- Ashraf, U.; Ding, Z.; Deng, S.; Ye, J.; Cao, S.; Chen, Z. Pathogenicity and virulence of Japanese encephalitis virus: Neuroinflammation and neuronal cell damage. Virulence 2021, 12, 968–980. [Google Scholar] [CrossRef] [PubMed]
- Shukla, V.; Shakya, A.K.; Dhole, T.N.; Misra, U.K. Upregulated expression of matrix metalloproteinases and tissue inhibitors of matrix metalloproteinases in BALB/c mouse brain challenged with Japanese encephalitis virus. Neuroimmunomodulation 2012, 19, 241–254. [Google Scholar] [CrossRef]
- Roe, K.; Kumar, M.; Lum, S.; Orillo, B.; Nerurkar, V.R.; Verma, S. West Nile virus-induced disruption of the blood-brain barrier in mice is characterized by the degradation of the junctional complex proteins and increase in multiple matrix metalloproteinases. J. Gen. Virol. 2012, 93, 1193–1203. [Google Scholar] [CrossRef]
- Lind, L.; Eriksson, K.; Grahn, A. Chemokines and matrix metalloproteinases in cerebrospinal fluid of patients with central nervous system complications caused by varicella-zoster virus. J. Neuroinflamm. 2019, 16, 42. [Google Scholar] [CrossRef]
- Hu, Y.; Zheng, Y.; Wang, T.; Jiao, L.; Luo, Y. VEGF, a key factor for blood brain barrier injury after cerebral ischemic stroke. Aging Dis. 2022, 13, 647–654. [Google Scholar] [CrossRef] [PubMed]
- Bogovič, P.; Logar, M.; Avšič-Županc, T.; Strle, F.; Lotrič-Furlan, S. Quantitative evaluation of the severity of acute illness in adult patients with tick-borne encephalitis. BioMed Res. Int. 2014, 2014, 841027. [Google Scholar] [CrossRef] [PubMed]
- Welte, T.; Reagan, K.; Fang, H.; Machain-Williams, C.; Zheng, X.; Mendell, N.; Chang, G.J.; Wu, P.; Blair, C.D.; Wang, T. Toll-like receptor 7-induced immune response to cutaneous West Nile virus infection. J. Gen. Virol. 2009, 90, 2660–2668. [Google Scholar] [CrossRef] [PubMed]
- Michael, B.D.; Griffiths, M.J.; Granerod, J.; Brown, D.; Keir, G.; Wnęk, G.; Cox, D.J.; Rishma Vidyasagar, R.; Borrow, R.; Laura, M.; et al. The interleukin-1 balance during encephalitis is associated with clinical severity, blood-brain barrier permeability, neuroimaging changes and disease outcome. J. Infect. Dis. 2016, 213, 1651–1660. [Google Scholar] [CrossRef]
- Wu, X.; Pan, W.; He, Y.; Hsuchou, H.; Kastin, A.J. Cerebral interleukin-15 shows upregulation and beneficial effects in experimental autoimmune encephalomyelitis. J. Neuroimmunol. 2010, 223, 65–72. [Google Scholar] [CrossRef] [PubMed]
- Li, Z.; Han, J.; Ren, H.; Ma, C.-G.; Shi, F.-D.; Liu, Q.; Li, M. astrocyte interleukin-15 reduces pathology of neuromyelitis optica in mice. Front. Immunol. 2018, 9, 523. [Google Scholar]
- Palus, M.; Formanová, P.; Salát, J.; Žampachová, E.; Elsterová, J.; Růžek, D. Analysis of serum levels of cytokines, chemokines, growth factors, and monoamine neurotransmitters in patients with tick-borne encephalitis: Identification of novel inflammatory markers with implications for pathogenesis. J. Med. Virol. 2015, 87, 885–892. [Google Scholar] [CrossRef]
- Bogovič, P.; Lusa, L.; Korva, M.; Pavletič, M.; Resman Rus, K.; Lotrič-Furman, S.; Avšič-Županc, T.; Strle, K.; Strle, F. Inflammatory immune responses in the pathogenesis of tick-borne encephalitis. J. Clin. Med. 2019, 8, 731. [Google Scholar] [CrossRef] [PubMed]
- Komatsu, T.; Ireland, D.D.C.; Chung, N.; Doré, A.; Yoder, M.; Shoshkes Reiss, C. Regulation of the BBB during viral encephalitis: Roles of IL-12 and NOS. Nitric Oxide 1999, 3, 327–339. [Google Scholar] [CrossRef] [PubMed]
- Marušić, M.; Kopitar, A.N.; Korva, M.; Knap, N.; Bogovič, P.; Strle, F.; Ihan, A.; Avšič-Županc, T. Dendritic cell activation and cytokine response in vaccine breakthrough TBE patients after in vitro stimulation with TBEV. Front. Immunol. 2023, 14, 841027. [Google Scholar] [CrossRef] [PubMed]
- Wang, P.; Dai, J.; Bai, F.; Kong, F.K.; Wong, S.J.; Montgomery, R.R.; Madri, J.A.; Fikrig, E. Matrix metalloproteinase 9 facilitates West Nile virus entry onto the brain. J. Virol. 2008, 82, 8978–8985. [Google Scholar] [CrossRef] [PubMed]
- Buhler, L.A.; Samara, R.; Guzman, F.; Wilson, C.L.; Krizanac-Bengez, L.; Janigro, D.; Ethell, D.W. Matrix metalloproteinase-7 facilitates immune access to the CNS in experimental autoimmune encephalomyelitis. BMC Neurosci. 2009, 10, 17. [Google Scholar] [CrossRef]
- Makis, A.; Shipway, D.; Hatzimichael, E.; Galanakis, E.; Pshezhetskiy, D.; Chaliasos, N.; Stebbing, J.; Siamopoulou, A. Cytokine and adhesion molecule expression evolves between the neutrophilic and lymphocytic phases of viral meningitis. J. Interf. Cytokine Res. 2009, 30, 661–665. [Google Scholar] [CrossRef] [PubMed]
- Bührer, C.; Herold, R.; Stibenz, D.; Henze, G.; Obladen, M. Cerebrospinal fluid soluble L-selectin (sCD62L) in meningoencephalitis. Arch. Dis. Child. 1996, 74, 288–292. [Google Scholar] [CrossRef] [PubMed][Green Version]
- European Commission. Commission Implementing Decision (EU) 2018/945 of 22 June 2018 on the Communicable Diseases and Related Special Health Issues to Be Covered by Epidemiological Surveillance as Well as Relevant Case Definitions. 2018. Available online: https://eur-lex.europa.eu/legal-content/en/TXT/?uri=CELEX%3A32018D0945 (accessed on 21 January 2025).
- Dorta-Contreras, A.J. Reibergrams, useful tools for neuroimmunological studies. Physiol. Mini-Rev. 2019, 12, 26–39. [Google Scholar]





| Pleocytosis (cells/μL) | Albumin (mg/dL) | Qalb | |||
|---|---|---|---|---|---|
| Total | Lymphocytes | Neutrophils | |||
| TBE (n = 100) | 94.5 [57.5–160.0] | 56.7 [32.4–80.0] | 14.4 [7.4–32.9] | 43.53 [34.18–55.08] | 10.57 [8.44–13.85] |
| Stratified according to presentation: | |||||
| M (n = 49) | 90.0 [60.0–185.0] | 54.4 [33.2–102.0] | 14.3 [8.4–24.0] | 43.26 [32.03–54.34] | 10.30 [8.19–12.56] |
| ME (n = 46) | 94.0 [56.0–135.0] | 55.0 [26.6–77.4] | 14.6 [6.6–32.9] | 45.65 [35.63–57.63] | 10.85 [8.62–15.92] |
| MEM (n = 5) | 157.5 [114.0–340.0] | 83.3 [53.4–116.1] | 29.4 [9.1–246.2] | 53.36 [40.84–56.79] | 13.54 [8.84–16.56] |
| Stratified according to the severity in a quantitative scale a: | |||||
| mild a (n = 20) | 84.5 [55.0–129.0] | 46.5 [25.1–85.3] | 14.4 [8.1–32.9] | 43.11 [35.91–50.44] | 10.57 [8.74–11.64] |
| moderate a (n = 76) | 95.5 [57.5–160.0] | 59.1 [32.6–90.2] | 13.9 [6.6–26.7] | 44.85 [34.18–54.97] | 10.52 [8.39–13.85] |
| severe a (n = 4) | 130 [86.5–340.0] | 55.0 [49.7–81.3] | 37.9 [18.7–246.2] | 51.71 [36.3–67.9] | 12.61 [8.10–17.58] |
| CSF Parameter | Correlation with Qalb a | Statistical Significance |
|---|---|---|
| total pleocytosis | 0.281 | p < 0.01 |
| lymphocytes | 0.250 | p < 0.05 |
| neutrophils | 0.029 | NS |
| Parameter | Number of TBE Samples | Median [Quartiles] | Increase Compared to Controls a p | Correlation with Qalb R (p) |
|---|---|---|---|---|
| MIF in serum | 94 | 2493.1 [1746.9–3856.8] | decreased; p < 10−5 | NS |
| MIF in CSF | 98 | 21,548 [14,487–30,721] | p < 10−6 | R = 0.246 (p < 0.05) |
| TNFα in serum | 98 | 4.08 [2.66–6.15] | decreased; p < 0.05 | NS |
| TNFα in CSF | 99 | 6.71 [4.82–9.57] | p < 10−6 | R = 0.451 (p < 10−5) |
| TNF-RI in serum | 96 | 1835.2 [1569.5–2172.2] | p < 10−6 | R = 0.351 (p < 0.001) |
| TNF-RI in CSF | 98 | 2270.6 [1770.0–2965.4] | p < 10−5 | R = 0.444 (p < 10−5) |
| TNF-RII in serum | 96 | 2713.3 [2080.6–3391.4] | NS | NS |
| TNF-RII in CSF | 98 | 2284.3 [1781.7–3147.2] | p < 10−6 | R = 0.494 (p < 10−6) |
| IL-1α in serum | 95 | 0.46 [0.00–7.03] | decreased; p < 10−6 | NS |
| IL-1α in CSF | 95 | 16.59 [14.09–20.05] | p < 10−6 | R = 0.399 (p < 10−4) |
| IL-1β in serum | 98 | 0.26 [0.09–0.61] | decreased; p < 0.001 | R = 0.256 (p < 0.05) |
| IL-1β in CSF | 99 | 1.53 [0.84–4.06] | p < 10−5 | R = 0.408 (p < 10−4) |
| IL-1ra in serum | 95 | 781.57 [566.23–1137.0] | p < 10−6 | R = 0.255 (p < 0.05) |
| IL-1ra in CSF | 95 | 4621.3 [2665.6–8189.9] | p < 10−6 | R = 0.423 (p < 10−4) |
| IL-1RI in serum | 98 | 1571.6 [1333.7–1829.9] | NS | NS |
| IL-1RI in CSF | 99 | 56.21 [45.19–71.40] | NS | R = 0.246 (p < 0.05) |
| IL-1RII in serum | 96 | 6944.5 [5523.6–8004.7] | p = 0.098 | R = 0.271 (p < 0.01) |
| IL-1RII in CSF | 98 | 348.10 [250.63–469.24] | p < 10−6 | R = 0.549 (p < 10−6) |
| IL-6 in serum | 98 | 4.84 [2.70–7.57] | p < 10−6 | R = 0.281 (p < 0.01) |
| IL-6 in CSF | 99 | 341.70 [169.55–753.84] | p < 10−6 | R = 0.327 (p < 0.001) |
| IL-6Rα in serum | 96 | 30,060 [24,655–34,576] | decreased; p < 10−5 | NS |
| IL-6Rα in CSF | 98 | 2431.2 [1890.7–3192.8] | NS | NS |
| IL-10 in serum | 95 | 79.32 [55.00–130.86] | p < 0.05 | NS |
| IL-10 in CSF | 95 | 471.79 [402.53–509.39] | p < 10−6 | R = 0.392 (p < 10−4) |
| IL-12p70 in serum | 95 | 2.39 [0.00–6.39] | decreased; p < 10−5 | NS |
| IL-12p70 in CSF | 95 | 17.39 [12.89–22.27] | p < 10−6 | R = 0.332 (p < 0.01) |
| TGFβ in serum | 95 | 82,104 [59,220–102,021] | p < 0.05 | NS |
| TGFβ in CSF | 97 | 4137.0 [3310.2–5236.3] | p < 10−6 | R = 0.329 (p < 0.01) |
| MMP1 in serum | 98 | 3430.8 [2064.1–5507.6] | p < 0.05 | NS |
| MMP1 in CSF | 99 | 0.00 [0.00–5.51] | p < 0.05 | NS |
| MMP2 in serum | 98 | 85,746 [65,726–99,819] | p < 0.05 | NS |
| MMP2 in CSF | 100 | 13,407 [11,303–15,135] | p < 0.001 | R = 0.222 (p < 0.05) |
| MMP3 in serum | 98 | 13,388 [9267.5–19,738] | NS | R = 0.206 (p < 0.05) |
| MMP3 in CSF | 99 | 485.45 [344.55–697.10] | p < 0.001 | R = 0.257 (p < 0.05) |
| MMP7 in serum | 98 | 2954.1 [2270.1–3910.4] | decreased; p < 10−4 | NS |
| MMP7 in CSF | 99 | 0.00 [0.00–74.20] | NS | R = 0.221 (p < 0.05) |
| MMP8 in serum | 96 | 8307.4 [4381.2–15,461.4] | p < 0.001 | R = 0.364 (p < 0.001) |
| MMP8 in CSF | 98 | 1501.8 [822.85–3337.0] | p < 10−6 | R = 0.281 (p < 0.01) |
| MMP9 in serum | 98 | 464,697 [329,169–644,743] | p < 10−6 | R = 0.350 (p < 0.001) |
| MMP9 in CSF | 100 | 617.82 [300.80–1144.7] | p < 10−6 | NS |
| MMP12 in serum | 98 | 38.44 [27.52–48.36] | decreased; p < 10−6 | NS |
| MMP12 in CSF | 99 | 0.00 [0.00–9.08] | decreased; p < 0.01 | R = −0.299 (p < 0.01) |
| sVCAM-1 in serum | 98 | 1,334,600 [894,706–1,792,300] | p < 10−6 | NS |
| sVCAM-1 in CSF | 99 | 458,393 [334,108–631,634] | p < 10−6 | R = 0.475 (p < 10−6) |
| sPECAM-1 in serum | 98 | 17,783 [12,262–22,083] | decreased; p < 10−6 | NS |
| sPECAM-1 in CSF | 99 | 0.00 [0.00–156.28] | p < 0.05 | NS |
| sICAM-1 in serum | 98 | 342,310 [260,654–579,716] | NS | R = 0.244 (p < 0.05) |
| sICAM-1 in CSF | 99 | 15,426 [10,638–24,143] | p < 10−5 | R = 0.419 (p < 10−4) |
| VEGF in serum | 95 | 274.56 [146.17–393.13] | p < 0.05 | NS |
| VEGF in CSF | 95 | 50.67 [43.23–67.00] | p < 0.05 | R = 0.229 (p < 0.05) |
| E-selectin in serum | 98 | 25,107 [9632–37,008] | decreased; p < 0.01 | NS |
| E-selectin in CSF | 99 | 236.31 [167.91–352.17] | p < 10−6 | R = 0.309 (p < 0.01) |
| L-selectin in serum | 98 | 871,769 [708,576–1,011,200] | p < 0.001 | NS |
| L-selectin in CSF | 100 | 30,460 [21,733–46,597] | p < 10−6 | R = 0.627 (p < 10−6) |
| P-selectin in serum | 98 | 40,144 [33,664–47,361] | decreased; p < 10−6 | NS |
| P-selectin in CSF | 98 | 15.78 [0.00–110.32] | p < 0.01 | R = 0.478 (p < 10−6) |
| IFNα1 in serum | 96 | 0.00 [0.00–0.00] | NS | NS |
| IFNα1 in CSF | 98 | 0.79 [0.00–2.13] | NS | R = 0.349 (p < 0.001) |
| IFNγ in serum | 94 | 2.81 [1.77–4.54] | p < 10−5 | R = 0.373 (p < 0.001) |
| IFNγ in CSF | 95 | 86.10 [41.71–206.91] | p < 10−6 | R = 0.327 (p < 0.01) |
| IL-28A in serum | 95 | 354.47 [201.12–504.07] | decreased; p < 0.05 | NS |
| IL28A in CSF | 98 | 1562.9 [1431.5–1730.2] | p < 10−5 | NS |
| IL28B in CSF | 98 | 69.18 [0.00–107.31] | p < 0.01 | R = 0.336 (p < 0.001) |
| G-CSF in serum | 95 | 13.26 [3.80–25.52] | p < 0.001 | NS |
| G-CSF in CSF | 95 | 1094.3 [508.59–1870.7] | p < 10−6 | 0.310 (p < 0.01) |
| GM-CSF in CSF | 99 | 0.23 [0.00–0.54] | p < 10−4 | R = 0.374 (p < 0.001) |
| IL-2 in serum | 95 | 0.00 [0.00–0.80] | decreased; p < 10−6 | NS |
| IL-2 in CSF | 95 | 3.95 [2.71–5.26] | p < 10−6 | R = 0.295 (p < 0.01) |
| IL-15 in serum | 97 | 2.78 [2.02–4.03] | p < 10−6 | NS |
| IL-15 in CSF | 99 | 9.81 [7.14–13.11] | p < 10−5 | R = 0.328 (p < 0.001) |
| IL-16 in serum | 95 | 197.28 [151.78–274.71] | p < 0.05 | NS |
| IL16 in CSF | 98 | 93.53 [57.76–132.98] | p < 10−6 | R = 0.346 (p < 0.001) |
| IL17F in CSF | 98 | 1.78 [0.00–5.06] | p < 0.001 | R = 0.413 (p < 10−4) |
| IL-18 in serum | 96 | 134.97 [103.77–174.89] | p < 0.05 | NS |
| IL-18 in CSF | 98 | 8.75 [6.47–12.01] | p < 10−5 | R = 0.481 (p < 10−5) |
| IL-22 in CSF | 88 | 9.58 [0.00–31.27] | p < 0.001 | R = 0.444 (p < 10−4) |
| IL23 in CSF | 98 | 822.48 [560.22–955.75] | p < 0.001 | NS |
| IL33 in CSF | 99 | 0.56 [0.38–0.77] | p < 0.001 | R = 0.380 (p < 0.001) |
| N = 83 | R = 0.90239172; R2 = 0.81431081; Adjusted R2 = 0.78554206; F = 28.305; p < 0.0000; SE of Estimate = 2.1536 | ||||
|---|---|---|---|---|---|
| β | β SE | b | b SE | p | |
| Free parameter | 5.541345 | 1.182264 | <0.0001 | ||
| L-selectin in CSF | 0.470627 | 0.061473 | 0.000102 | 0.000013 | <10−6 |
| sVCAM-1 in CSF | 0.310246 | 0.065830 | 0.000006 | 0.000001 | <0.0001 |
| MMP8 in serum | 0.237331 | 0.055236 | 0.000130 | 0.000030 | <0.0001 |
| P-selectin in CSF | 0.222327 | 0.059302 | 0.009041 | 0.002411 | <0.001 |
| IL-28A in serum | 0.150432 | 0.058221 | 0.003485 | 0.001349 | <0.05 |
| MMP7 in CSF | 0.126354 | 0.057924 | 0.012620 | 0.005785 | <0.05 |
| MIF in serum | 0.040728 | 0.054889 | 0.000072 | 0.000097 | p = 0.461 |
| IL-15 in serum | −0.140665 | 0.059938 | −0.383169 | 0.163271 | <0.05 |
| IL-6Rα/IL-6 in serum | −0.152763 | 0.056150 | −0.000080 | 0.000029 | <0.01 |
| TNFRII/TNFα in CSF | −0.195770 | 0.054986 | −0.003652 | 0.001026 | <0.001 |
| IL12p70 in serum | −0.279800 | 0.063017 | −0.298105 | 0.067139 | <0.0001 |
Disclaimer/Publisher’s Note: The statements, opinions and data contained in all publications are solely those of the individual author(s) and contributor(s) and not of MDPI and/or the editor(s). MDPI and/or the editor(s) disclaim responsibility for any injury to people or property resulting from any ideas, methods, instructions or products referred to in the content. |
© 2025 by the authors. Licensee MDPI, Basel, Switzerland. This article is an open access article distributed under the terms and conditions of the Creative Commons Attribution (CC BY) license (https://creativecommons.org/licenses/by/4.0/).
Share and Cite
Grygorczuk, S.; Czupryna, P.; Martonik, D.; Adamczuk, J.; Parfieniuk-Kowerda, A.; Grzeszczuk, A.; Pawlak-Zalewska, W.; Dunaj-Małyszko, J.; Mielczak, K.; Parczewski, M.; et al. The Factors Associated with the Blood–Brain Barrier Dysfunction in Tick-Borne Encephalitis. Int. J. Mol. Sci. 2025, 26, 1503. https://doi.org/10.3390/ijms26041503
Grygorczuk S, Czupryna P, Martonik D, Adamczuk J, Parfieniuk-Kowerda A, Grzeszczuk A, Pawlak-Zalewska W, Dunaj-Małyszko J, Mielczak K, Parczewski M, et al. The Factors Associated with the Blood–Brain Barrier Dysfunction in Tick-Borne Encephalitis. International Journal of Molecular Sciences. 2025; 26(4):1503. https://doi.org/10.3390/ijms26041503
Chicago/Turabian StyleGrygorczuk, Sambor, Piotr Czupryna, Diana Martonik, Justyna Adamczuk, Anna Parfieniuk-Kowerda, Anna Grzeszczuk, Wioletta Pawlak-Zalewska, Justyna Dunaj-Małyszko, Kaja Mielczak, Miłosz Parczewski, and et al. 2025. "The Factors Associated with the Blood–Brain Barrier Dysfunction in Tick-Borne Encephalitis" International Journal of Molecular Sciences 26, no. 4: 1503. https://doi.org/10.3390/ijms26041503
APA StyleGrygorczuk, S., Czupryna, P., Martonik, D., Adamczuk, J., Parfieniuk-Kowerda, A., Grzeszczuk, A., Pawlak-Zalewska, W., Dunaj-Małyszko, J., Mielczak, K., Parczewski, M., & Moniuszko-Malinowska, A. (2025). The Factors Associated with the Blood–Brain Barrier Dysfunction in Tick-Borne Encephalitis. International Journal of Molecular Sciences, 26(4), 1503. https://doi.org/10.3390/ijms26041503

