Optimizing Therapeutics for Intratumoral Cancer Treatments: Antiproliferative Vanadium Complexes in Glioblastoma
Abstract
1. Introduction
2. Results
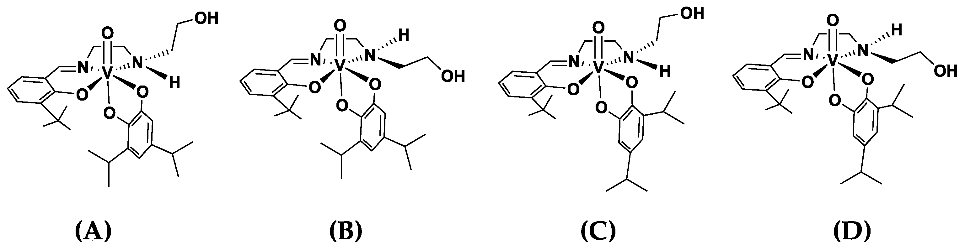
2.1. Development of V(V) HSHED Complexes
2.1.1. Di and Tri-Substituted Catechols
2.1.2. New Oxovanadium Schiff Base Complexes
2.2. Compound Characterization
Characterization of Solution Structures Using Multinuclear NMR Spectroscopy
2.3. New Vanadium Schiff Base Catecholate Complex Stability
2.3.1. Stability of Complexes in Cell Culture Media
2.3.2. Antiproliferative Properties of Oxovanadium Schiff Base Catecholate Complexes
3. Discussion
4. Materials and Methods
4.1. Experimental
4.1.1. General Materials and Methods
4.1.2. General Synthesis
4.2. NMR Spectroscopy
4.3. FTIR Spectroscopy
4.4. Mass Spectrometry
4.5. Stability Studies of V(V) Complexes Under Cell Culture Conditions
4.6. Cell Culture and Viability Assays
5. Conclusions
6. Patents
Supplementary Materials
Author Contributions
Funding
Institutional Review Board Statement
Informed Consent Statement
Data Availability Statement
Acknowledgments
Conflicts of Interest
References
- Rong, L.; Li, N.; Zhang, Z. Emerging therapies for glioblastoma: Current state and future directions. J. Exp. Clin. Cancer Res. 2022, 41, 142. [Google Scholar] [CrossRef] [PubMed]
- van Solinge, T.S.; Nieland, L.; Chiocca, E.A.; Broekman, M.L.D. Advances in local therapy for glioblastoma—Taking the fight to the tumour. Nat. Rev. Neurol. 2022, 18, 221–236. [Google Scholar] [CrossRef]
- Seker-Polat, F.; Degirmenci, N.P.; Solaroglu, I.; Bagci-Onder, T. Tumor cell infiltration into the brain in glioblastoma: From mechanisms to clinical perspectives. Cancers 2022, 14, 443. [Google Scholar] [CrossRef] [PubMed]
- Schaff, L.R.; Mellinghoff, I.K. Glioblastoma and other primary brain malignancies in adults: A review. JAMA 2023, 329, 574–587. [Google Scholar] [CrossRef] [PubMed]
- Erthal, L.C.S.; Shi, Y.; Sweeney, K.J.; Gobbo, O.L.; Ruiz-Hernandez, E. Nanocomposite formulation for a sustained release of free drug and drug-loaded responsive nanoparticles: An approach for a local therapy of glioblastoma multiforme. Sci. Rep. 2023, 13, 5094. [Google Scholar] [CrossRef] [PubMed]
- Wang, Y.; Bastiancich, C.; Newland, B. Injectable local drug delivery systems for glioblastoma: A systematic review and meta-analysis of progress to date. Biomater. Sci. 2023, 11, 1553–1566. [Google Scholar] [CrossRef]
- Obrador, E.; Moreno-Murciano, P.; Oriol-Caballo, M.; López-Blanch, R.; Pineda, B.; Gutiérrez-Arroyo, J.; Loras, A.; Gonzalez-Bonet, L.; Martinez-Cadenas, C.; Estrela, J.; et al. Glioblastoma therapy: Past, present and future. Int. J. Mol. Sci. 2024, 25, 2529. [Google Scholar] [CrossRef] [PubMed]
- Angom, R.S.; Nakka, N.M.R.; Bhattacharya, S. Advances in Glioblastoma Therapy: An Update on Current Approaches. Brain Sci. 2023, 13, 1536. [Google Scholar] [CrossRef]
- Constance, B. 10-Year Glioblastoma Survivor: Get Busy Living; MD Anderson Cancer Center: Houston, TX, USA, 2019. [Google Scholar]
- Havasi, A.; Cainap, S.S.; Havasi, A.T.; Cainap, C. Ovarian cancer—insights into platinum resistance and overcoming it. Medicina 2023, 59, 544. [Google Scholar] [CrossRef] [PubMed]
- Yang, L.; Xie, H.-J.; Li, Y.-Y.; Wang, X.; Liu, X.-X.; Mai, J. Molecular mechanisms of platinum-based chemotherapy resistance in ovarian cancer (Review). Oncol. Rep. 2022, 47, 82. [Google Scholar] [CrossRef] [PubMed]
- Zhang, C.; Nance, E.A.; Mastorakos, P.; Chisholm, J.; Berry, S.; Eberhart, C.; Tyler, B.; Brem, H.; Suk, J.S.; Hanes, J. Convection enhanced delivery of cisplatin-loaded brain penetrating nanoparticles cures malignant glioma in rats. J. Control. Release 2017, 263, 112–119. [Google Scholar] [CrossRef]
- Levina, A.; Vieira, A.P.; Wijetunga, A.; Kaur, R.; Koehn, J.T.; Crans, D.C.; Lay, P.A. A short-lived but highly cytotoxic vanadium(V) complex as a potential drug lead for brain cancer treatment by intratumoral injections. Angew. Chem. Int. Ed. Engl. 2020, 59, 15834–15838. [Google Scholar] [CrossRef]
- Zhang, C.; Xu, C.; Gao, X.; Yao, Q. Platinum-based drugs for cancer therapy and anti-tumor strategies. Theranostics 2022, 12, 2115–2132. [Google Scholar] [CrossRef]
- Romani, A.M. Cisplatin in cancer treatment. Biochem. Pharmacol. 2022, 206, 115323. [Google Scholar] [CrossRef]
- Johnstone, T.C.; Suntharalingam, K.; Lippard, S.J. The next generation of platinum drugs: Targeted Pt(II) agents, nanoparticle delivery, and Pt(IV) prodrugs. Chem. Rev. 2016, 116, 3436–3486. [Google Scholar] [CrossRef] [PubMed]
- Teixeira-Guedes, C.; Brás, A.R.; Teixeira, R.G.; Valente, A.; Preto, A. Ruthenium(II)–cyclopentadienyl-derived complexes as new emerging anti-colorectal cancer drugs. Pharmaceutics 2022, 14, 1293. [Google Scholar] [CrossRef]
- Ji, P.; Wang, P.; Chen, H.; Xu, Y.; Ge, J.; Tian, Z.; Yan, Z. Potential of copper and copper compounds for anticancer applications. Pharmaceuticals 2023, 16, 234. [Google Scholar] [CrossRef] [PubMed]
- Wang, X.; Zhou, M.; Liu, Y.; Si, Z. Cope with copper: From copper linked mechanisms to copper-based clinical cancer therapies. Cancer Lett. 2023, 561, 216157. [Google Scholar] [CrossRef] [PubMed]
- Meier-Menches, S.M.; Gerner, C.; Berger, W.; Hartinger, C.G.; Keppler, B.K. Structure–activity relationships for ruthenium and osmium anticancer agents—Towards clinical development. Chem. Soc. Rev. 2018, 47, 909–928. [Google Scholar] [CrossRef]
- Zhang, P.; Sadler, P.J. Advances in the design of organometallic anticancer complexes. J. Organomet. Chem. 2017, 839, 5–14. [Google Scholar] [CrossRef]
- Bruijnincx, P.C.A.; Sadler, P.J. New trends for metal complexes with anticancer activity. Curr. Opin. Chem. Biol. 2008, 12, 197–206. [Google Scholar] [CrossRef] [PubMed]
- Huang, H.; Wang, J.; Zhang, J.; Cai, J.; Pi, J.; Xu, J.-F. Inspirations of cobalt oxide nanoparticle based anticancer therapeutics. Pharmaceutics 2021, 13, 1599. [Google Scholar] [CrossRef] [PubMed]
- Thota, S.; Rodrigues, D.A.; Crans, D.C.; Barreiro, E.J. Ru(II) compounds: Next-generation anticancer metallotherapeutics? J. Med. Chem. 2018, 61, 5805–5821. [Google Scholar] [CrossRef] [PubMed]
- Gasser, G.; Ott, I.; Metzler-Nolte, N. Organometallic anticancer compounds. J. Med. Chem. 2011, 54, 3–25. [Google Scholar] [CrossRef] [PubMed]
- Pessoa, J.C.; Etcheverry, S.; Gambino, D. Vanadium compounds in medicine. Coord. Chem. Rev. 2015, 301–302, 24–48. [Google Scholar] [CrossRef]
- Zarogoulidis, P.; Darwiche, K.; Celikoglu, F.; Turner, F.; Zarogoulidis, K.; Spyratos, D.; Simoff, M.; Pivert, P.L.; Goldberg, E.P.; Hohenforst-Schmidt, W.; et al. Intratumoral chemotherapy for lung cancer: Re-challenge current targeted therapies. Drug Des. Dev. Ther. 2013, 7, 571–583. [Google Scholar] [CrossRef] [PubMed]
- Levina, A.; Crans, D.C.; Lay, P.A. Advantageous reactivity of unstable metal complexes: Potential applications of metal-based anticancer drugs for intratumoral injections. Pharmaceutics 2022, 14, 790. [Google Scholar] [CrossRef] [PubMed]
- Omland, S.H.; Ejlertsen, J.S.; Krustrup, D.; Christensen, R.L.; Svane, I.M.; Olesen, U.H.; Hædersdal, M. Feasibility of intratumoral anti-PD1 as treatment of human basal cell carcinoma: An explorative study with adjuvant ablative fractional laser. Cancers 2022, 14, 5815. [Google Scholar] [CrossRef]
- Hirooka, Y.; Kasuya, H.; Ishikawa, T.; Kawashima, H.; Ohno, E.; Villalobos, I.B.; Naoe, Y.; Ichinose, T.; Koyama, N.; Tanaka, M.; et al. A Phase I clinical trial of EUS-guided intratumoral injection of the oncolytic virus, HF10 for unresectable locally advanced pancreatic cancer. BMC Cancer 2018, 18, 596. [Google Scholar] [CrossRef]
- de Brito, R.V.; Mancini, M.W.; Palumbo, M.d.N.; de Moraes, L.H.O.; Rodrigues, G.J.; Cervantes, O.; Sercarz, J.A.; Paiva, M.B. The rationale for “laser-induced thermal therapy (LITT) and intratumoral cisplatin” approach for cancer treatment. Int. J. Mol. Sci. 2022, 23, 5934. [Google Scholar] [CrossRef]
- Norouzi, M.; Nazari, B.; Miller, D.W. Injectable hydrogel-based drug delivery systems for local cancer therapy. Drug Discov. Today 2016, 21, 1835–1849. [Google Scholar] [CrossRef] [PubMed]
- Souri, M.; Elahi, S.; Soltani, M. Intratumoral implantable drug delivery system for targeted localized chemotherapy in breast cancer. J. Drug Deliv. Sci. Technol. 2024, 94, 105519. [Google Scholar] [CrossRef]
- Ferretti, V.A.; León, I.E. An overview of vanadium and cell signaling in potential cancer treatments. Inorganics 2022, 10, 47. [Google Scholar] [CrossRef]
- Sharfalddin, A.A.; Al-Younis, I.M.; Mohammed, H.A.; Dhahri, M.; Mouffouk, F.; Abu Ali, H.; Anwar, J.; Qureshi, K.A.; Hussien, M.A.; Alghrably, M.; et al. Therapeutic properties of vanadium complexes. Inorganics 2022, 10, 244. [Google Scholar] [CrossRef]
- Xu, S.; Liu, H.; Li, X.; Zhao, J.; Wang, J.; Crans, D.C.; Yang, X. Approaches to selective and potent inhibition of glioblastoma by vanadyl complexes: Inducing mitotic catastrophe and methuosis. J. Inorg. Biochem. 2024, 257, 112610. [Google Scholar] [CrossRef] [PubMed]
- Levina, A.; Uslan, C.; Murakami, H.; Crans, D.C.; Lay, P.A. Substitution kinetics, albumin and transferrin affinities, and hypoxia all affect the biological activities of anticancer vanadium(V) complexes. Inorg. Chem. 2023, 62, 17804–17817. [Google Scholar] [CrossRef] [PubMed]
- Thompson, K.H.; Orvig, C. Vanadium in diabetes: 100 years from Phase 0 to Phase I. J. Inorg. Biochem. 2006, 100, 1925–1935. [Google Scholar] [CrossRef]
- Crans, D.C.; Kostenkova, K. Open questions on the biological roles of first-row transition metals. Commun. Chem. 2020, 3, 104. [Google Scholar] [CrossRef] [PubMed]
- Van Cleave, C.; Crans, D.C. The first-row transition metals in the periodic table of medicine. Inorganics 2019, 7, 111. [Google Scholar] [CrossRef]
- Metelo, A.M.; Arias-Ramos, N.; Lopez-Larrubia, P.; Castro, M.M.C.A. Metabolic effects of VO(dmpp)2—An ex vivo 1H-HRMAS NMR study to unveil its pharmacological properties. New J. Chem. 2019, 43, 17841–17849. [Google Scholar] [CrossRef]
- Ferraro, G.; Paolillo, M.; Sciortino, G.; Pisanu, F.; Garribba, E.; Merlino, A. Implications of protein interaction in the speciation of potential VIVO–pyridinone drugs. Inorg. Chem. 2023, 62, 8407–8417. [Google Scholar] [CrossRef] [PubMed]
- Da Silva, J.A.L.; Guedes da Silva, M.F.C.; Sutradhar, M.; Pombeiro, A.J.L. Amavadin and Related Complexes as Oxidation Cat-alysts. In Vanadium Catalysis; The Royal Society of Chemistry: London, UK, 2020; pp. 12–34. [Google Scholar]
- Zhang, C.X.; Lippard, S.J. New metal complexes as potential therapeutics. Curr. Opin. Chem. Biol. 2003, 7, 481–489. [Google Scholar] [CrossRef]
- Noblía, P.; Vieites, M.; Parajón-Costa, B.S.; Baran, E.J.; Cerecetto, H.; Draper, P.; González, M.; Piro, O.E.; Castellano, E.E.; Azqueta, A.; et al. Vanadium(V) complexes with salicylaldehyde semicarbazone derivatives bearing in vitro anti-tumor activity toward kidney tumor cells (TK-10): Crystal structure of [VVO2(5-bromosalicylaldehyde semicarbazone)]. J. Inorg. Biochem. 2005, 99, 443–451. [Google Scholar] [CrossRef]
- Noblía, P.; Baran, E.J.; Otero, L.; Draper, P.; Cerecetto, H.; González, M.; Piro, O.E.; Castellano, E.E.; Inohara, T.; Adachi, Y.; et al. New vanadium(V) complexes with salicylaldehyde semicarbazone derivatives: Synthesis, characterization, and in vitro insulin-mimetic activity—crystal structure of [VvO2(salicylaldehyde semicarbazone)]. Eur. J. Inorg. Chem. 2004, 2004, 322–328. [Google Scholar] [CrossRef]
- Dinda, R.; Garribba, E.; Sanna, D.; Crans, C.C.; Costa, J. Hydrolysis, ligand exchange, and redox properties of vanadium, compounds: Implications of solution transformation on biological, therapeutic, and environmental applications. Chem. Rev. 2025. [Google Scholar] [CrossRef] [PubMed]
- Faneca, H.; Figueiredo, V.; Tomaz, I.; Gonçalves, G.; Avecilla, F.; de Lima, M.P.; Geraldes, C.F.; Pessoa, J.C.; Castro, M.M.C. Vanadium compounds as therapeutic agents: Some chemical and biochemical studies. J. Inorg. Biochem. 2009, 103, 601–608. [Google Scholar] [CrossRef]
- Pessoa, J.C.; Correia, I. Misinterpretations in evaluating interactions of vanadium complexes with proteins and other biological targets. Inorganics 2021, 9, 17. [Google Scholar] [CrossRef]
- Guo, Z.; Sadler, P.J. Metals in medicine. Angew. Chem. Int. Ed. 1999, 38, 1512–1531. [Google Scholar] [CrossRef]
- De Sousa-Coelho, A.L.; Fraqueza, G.; Aureliano, M. Repurposing therapeutic drugs complexed to vanadium in cancer. Pharmaceuticals 2023, 17, 12. [Google Scholar] [CrossRef]
- Bishayee, A.; Waghray, A.; Patel, M.A.; Chatterjee, M. Vanadium in the detection, prevention and treatment of cancer: The in vivo evidence. Cancer Lett. 2010, 294, 12. [Google Scholar] [CrossRef]
- Nunes, P.; Yildizhan, Y.; Adiguzel, Z.; Marques, F.; Pessoa, J.C.; Acilan, C.; Correia, I. Copper(II) and oxidovanadium(IV) complexes of chromone Schiff bases as potential anticancer agents. JBIC J. Biol. Inorg. Chem. 2022, 27, 89–109. [Google Scholar] [CrossRef] [PubMed]
- Sutradhar, M.; Pombeiro, A.J. Coordination chemistry of non-oxido, oxido and dioxidovanadium(IV/V) complexes with azine fragment ligands. Coord. Chem. Rev. 2014, 265, 89–124. [Google Scholar] [CrossRef]
- Levina, A.; Lay, P.A. Stabilities and biological activities of vanadium drugs: What is the nature of the active species? Chem.–Asian J. 2017, 12, 1692–1699. [Google Scholar] [CrossRef] [PubMed]
- Levina, A.; Crans, D.C.; Lay, P.A. Speciation of metal drugs, supplements and toxins in media and bodily fluids controls in vitro activities. Coord. Chem. Rev. 2017, 352, 473–498. [Google Scholar] [CrossRef]
- Treviño, S.; Díaz, A.; Sánchez-Lara, E.; Sanchez-Gaytan, B.L.; Perez-Aguilar, J.M.; González-Vergara, E. Vanadium in biological action: Chemical, pharmacological aspects, and metabolic implications in diabetes mellitus. Biol. Trace Element Res. 2019, 188, 68–98. [Google Scholar] [CrossRef]
- Gourdon, L.; Cariou, K.; Gasser, G. Phototherapeutic anticancer strategies with first-row transition metal complexes: A critical review. Chem. Soc. Rev. 2022, 51, 1167–1195. [Google Scholar] [CrossRef] [PubMed]
- Thompson, K.H.; Lichter, J.; LeBel, C.; Scaife, M.C.; McNeill, J.H.; Orvig, C. Vanadium treatment of type 2 diabetes: A view to the future. J. Inorg. Biochem. 2008, 103, 554–558. [Google Scholar] [CrossRef]
- Rehder, D. The potentiality of vanadium in medicinal applications. Future Med. Chem. 2012, 4, 1823–1837. [Google Scholar] [CrossRef] [PubMed]
- Kostenkova, K.; Scalese, G.; Gambino, D.; Crans, D.C. Highlighting the roles of transition metals and speciation in chemical biology. Curr. Opin. Chem. Biol. 2022, 69, 102155. [Google Scholar] [CrossRef] [PubMed]
- Dario, B.S.; Neto, F.F.; Portes, M.C.; Fazzi, R.B.; da Silva, D.R.; Peterson, E.J.; Farrell, N.P.; Castelli, S.; Desideri, A.; Petersen, P.A.D.; et al. DNA binding, cytotoxic effects and probable targets of an oxindolimine–vanadyl complex as an antitumor agent. New J. Chem. 2019, 43, 17831–17840. [Google Scholar] [CrossRef]
- Konkankit, C.C.; Marker, S.C.; Knopf, K.M.; Wilson, J.J. Anticancer activity of complexes of the third row transition metals, rhenium, osmium, and iridium. Dalton Trans. 2018, 47, 9934–9974. [Google Scholar] [CrossRef] [PubMed]
- Lima, S.; Banerjee, A.; Sahu, G.; Patra, S.A.; Sahu, K.; Sasamori, T.; Sciortino, G.; Garribba, E.; Dinda, R. New mixed ligand oxidovanadium(IV) complexes: Solution behavior, protein interaction and cytotoxicity. J. Inorg. Biochem. 2022, 233, 111853. [Google Scholar] [CrossRef]
- Hannon, M.J. Metal-based anticancer drugs: From a past anchored in platinum chemistry to a post-genomic future of diverse chemistry and biology. Pure Appl. Chem. 2007, 79, 2243–2261. [Google Scholar] [CrossRef]
- Murakami, H.A.; Uslan, C.; Haase, A.A.; Koehn, J.T.; Vieira, A.P.; Gaebler, D.J.; Hagan, J.; Beuning, C.N.; Proschogo, N.; Levina, A.; et al. Vanadium chloro-substituted Schiff base catecholate complexes are reducible, lipophilic, water stable, and have anticancer activities. Inorg. Chem. 2022, 61, 20757–20773. [Google Scholar] [CrossRef] [PubMed]
- Haase, A.A.; Markham, S.A.; Murakami, H.A.; Hagan, J.; Kostenkova, K.; Koehn, J.T.; Uslan, C.; Beuning, C.N. Brandenburg, L.; Zadrozny, J.M.; Levina, A.; Lay P.A.; Crans, D.C. Halogenated non-innocent vanadium(V) Schiff base complexes: Chemical and anti-proliferative properties. New J. Chem. 2024, 48, 12893–12911. [Google Scholar] [CrossRef]
- Crans, D.C.; Smee, J.J.; Gaidamauskas, E.; Yang, L. The chemistry and biochemistry of vanadium and the biological activities exerted by vanadium compounds. Chem. Rev. 2004, 104, 849–902. [Google Scholar] [CrossRef]
- Kowol, C.R.; Nagy, N.V.; Jakusch, T.; Roller, A.; Heffeter, P.; Keppler, B.K.; Enyedy, A. Vanadium(IV/V) complexes of Triapine and related thiosemicarbazones: Synthesis, solution equilibrium and bioactivity. J. Inorg. Biochem. 2015, 152, 62–73. [Google Scholar] [CrossRef]
- E Castillo-Blum, S.; Barba-Behrens, N. Coordination chemistry of some biologically active ligands. Coord. Chem. Rev. 2000, 196, 3–30. [Google Scholar] [CrossRef]
- Pessoa, J.C.; Santos, M.F.; Correia, I.; Sanna, D.; Sciortino, G.; Garribba, E. Binding of vanadium ions and complexes to proteins and enzymes in aqueous solution. Coord. Chem. Rev. 2021, 449, 214192. [Google Scholar] [CrossRef]
- Pessoa, J.C.; Garribba, E.; Santos, M.F.A.; Santos-Silva, T. Vanadium and proteins: Uptake, transport, structure, activity and function. Coord. Chem. Rev. 2015, 301-302, 49–86. [Google Scholar] [CrossRef]
- Adão, P.; Pessoa, J.C.; Henriques, R.T.; Kuznetsov, M.L.; Avecilla, F.; Maurya, M.R.; Kumar, U.; Correia, I. Synthesis, characterization, and application of vanadium−salan complexes in oxygen transfer reactions. Inorg. Chem. 2009, 48, 3542–3561. [Google Scholar] [CrossRef] [PubMed]
- Ross, A.; Soares, D.C.; Covelli, D.; Pannecouque, C.; Budd, L.; Collins, A.; Robertson, N.; Parsons, S.; De Clercq, E.; Kennepohl, P.; et al. Oxovanadium(IV) cyclam and bicyclam complexes: Potential CXCR4 receptor antagonists. Inorg. Chem. 2010, 49, 1122–1132. [Google Scholar] [CrossRef] [PubMed]
- Kostenkova, K.; Levina, A.; Walters, D.A.; Murakami, H.A.; Lay, P.A.; Crans, D.C. Vanadium(V) pyridine-containing Schiff base catecholate complexes are lipophilic, redox-active and selectively cytotoxic in glioblastoma (T98G) cells. Chem. A Eur. J. 2023, 29, e202302271. [Google Scholar] [CrossRef] [PubMed]
- Kaim, W.; Schwederski, B. Non-innocent ligands in bioinorganic chemistry—An overview. Coord. Chem. Rev. 2010, 254, 1580–1588. [Google Scholar] [CrossRef]
- Baell, J.B.; Holloway, G.A. New substructure filters for removal of Pan assay interference compounds (PAINS) from screening libraries and for their exclusion in bioassays. J. Med. Chem. 2010, 53, 2719–2740. [Google Scholar] [CrossRef] [PubMed]
- Tacar, O.; Sriamornsak, P.; Dass, C.R. Doxorubicin: An update on anticancer molecular action, toxicity and novel drug delivery systems. J. Pharm. Pharmacol. 2013, 65, 157–170. [Google Scholar] [CrossRef]
- Muranova, A.; Shanina, E. Levodopa/Carbidopa/Entacapone Combination Therapy; StatPearls Publishing: Treasure Island, FL, USA, 2023. [Google Scholar]
- Brusselmans, K.; Vrolix, R.; Verhoeven, G.; Swinnen, J.V. Induction of cancer cell apoptosis by flavonoids is associated with their ability to inhibit fatty acid synthase activity. J. Biol. Chem. 2005, 280, 5636–5645. [Google Scholar] [CrossRef] [PubMed]
- Cory, H.; Passarelli, S.; Szeto, J.; Tamez, M.; Mattei, J. The role of polyphenols in human health and food systems: A mini-review. Front. Nutr. 2018, 5, 87. [Google Scholar] [CrossRef]
- Ren, S.; Wang, R.; Komatsu, K.; Bonaz-Krause, P.; Zyrianov, Y.; McKenna, C.E.; Csipke, C.; Tokes, Z.A.; Lien, E.J. Synthesis, biological evaluation, and quantitative structure−activity relationship analysis of new Schiff bases of hydroxysemicarbazide as potential antitumor agents. J. Med. Chem. 2002, 45, 410–419. [Google Scholar] [CrossRef]
- More, M.S.; Joshi, P.G.; Mishra, Y.K.; Khanna, P.K. Metal complexes driven from Schiff bases and semicarbazones for biomedical and allied applications: A review. Mater. Today Chem. 2019, 14, 100195. [Google Scholar] [CrossRef]
- Kocherova, T.N.; Druzhkov, N.O.; Shavyrin, A.S.; Arsenyev, M.V.; Baranov, E.V.; Kuropatov, V.A.; Cherkasov, V.K. Isopropyl-substituted o-benzoquinones and oxanthrenequinones. Effect of steric shielding of alkyl substituents on reactivity. Russ. Chem. Bull. 2021, 70, 916–924. [Google Scholar] [CrossRef]
- Sayapin, Y.A.; Duong, N.B.; Gusakov, E.A.; Dorogan, I.V.; Tkachev, V.V.; Gorkovets, V.S.; Komissarov, V.N.; Duong, N.T.; Nguyen, D.D.; Shilov, G.V.; et al. Synthesis and structure of 5,7-diisopropyl-2-(quinolin-2-yl)-1,3-tropolone derivatives. Russ. Chem. Bull. 2016, 65, 2461–2468. [Google Scholar] [CrossRef]
- Griffin, E.; Levina, A.; Lay, P.A. Vanadium(V) tris-3,5-di-tert-butylcatecholato complex: Links between speciation and anti-proliferative activity in human pancreatic cancer cells. J. Inorg. Biochem. 2019, 201, 110815. [Google Scholar] [CrossRef] [PubMed]
- Cornman, C.R.; Colpas, G.J.; Hoeschele, J.D.; Kampf, J.; Pecoraro, V.L. Implications for the spectroscopic assignment of vanadium biomolecules: Structural and spectroscopic characterization of monooxovanadium(V) complexes containing catecholate and hydroximate based noninnocent ligands. J. Am. Chem. Soc. 1992, 114, 9925–9933. [Google Scholar] [CrossRef]
- Hall, M.D.; Telma, K.A.; Chang, K.-E.; Lee, T.D.; Madigan, J.P.; Lloyd, J.R.; Goldlust, I.S.; Hoeschele, J.D.; Gottesman, M.M. Say no to DMSO: Dimethylsulfoxide inactivates cisplatin, carboplatin, and other platinum complexes. Cancer Res. 2014, 74, 3913–3922. [Google Scholar] [CrossRef]









| Trial Number c | Drug (and Treatment Method) | Cancer Type | Phase | Participants |
|---|---|---|---|---|
| NCT04311762 d NCT04809103 d NCT00379665 d | Cisplatin (ITI) | stage IV lung non-small cell lung carcinoma, non-small cell lung | I I II | 9 10 25 |
| NCT05644249 | Cisplatin (PIPAC) | gastric | n/s | 37 |
| NCT05200650 d | Cisplatin-loaded gel (ITI) | head and neck | II | 20 |
| NCT04811703 NCT03875144 NCT02735928 d NCT04065139 NCT04047004 d NCT06295094 NCT05303714 NCT04779385 d NCT01809379 d NCT01854255 d | Cisplatin + doxorubicin (PIPAC) | ovarian peritoneal mesothelioma ovarian gastric adenocarcinoma gastric adenocarcinoma gastric peritoneal carcinomatosis peritoneal carcinomatosis recurrent ovarian peritoneal and gastric | I II n/s II I II III n/s II II | 15 66 40 66 20 264 98 50 69 35 |
| NCT04000906 | Cisplatin + nab-paclitaxel (PIPAC) | peritoneal carcinomatosis | I | 18 |
| NCT06430515 | Cisplatin, oxaliplatin | advanced solid | n/s | 200 |
| NCT02604784 d | Cisplatin, oxaliplatin, doxorubicin (PIPAC) | peritoneal carcinomatosis | I, II | 105 |
| NCT04781725 d NCT06358573 NCT03058289 d | INT230-6 (cisplatin + vinblastine) (ITI) | breast cancer triple-negative breast cancer skin tumors and body tumors | II II I, II | 90 54 110 |
| NCT01644955 d | Carboplatin (CED) | glioblastoma recurrent high-grade gliomas | I | 10 |
| NCT04391049 | Carboplatin and paclitaxel (ITI) | esophageal and gastroesophageal | I | 16 |
| NCT04541108 | Carboplatin (various formulations) (ITI) | intratumoral microdosing master protocol | n/s | 36 |
| NCT04913662 d NCT06091683 NCT03280511 NCT03172416 NCT02604784 d NCT04122885 d NCT03246321 d | Oxaliplatin (PIPAC) | peritoneal metastases peritoneal metastases from colorectal colon gastric peritoneal, ovarian, gastric, and colorectal ovarian, gastric, and colorectal colorectal | I II I I, II n/s II | 18 10 60 21 105 60 20 |
| NCT03294252 d | Oxaliplatin + L-Folinic acid (PIPAC) | nonresectable peritoneal metastases of digestive | II | 50 |
| Compound | t1/2 a | IC50, (T98G) b | IC50 (SVG p12) b |
|---|---|---|---|
| [VO(3-tBuHSHED)(DTB)] | 1.6 h | 1.5 ± 0.3 (A); 16 ± 2 (B) | 1.2 ± 0.3 (A); 22 ± 1 (B) |
| [VO(HSHED)(DTB)] | 31.5 s | 2.3 ± 0.2 (A); 20 ± 2 (B) | 3.6 ± 0.2 (A); 24 ± 1 (B) |
| [VO(3-tBuHSHED)(CAT)] | 53 s | 12 ± 1.5 (A); 5.2 ± 0.6 (B) | ND |
| [VO(HSHED)(CAT)] | 8.0 s | 11 ± 1 (A); 8.0 ± 0.6 (B) | ND |
| [VO(3-tBuHSHED)(TIPCAT)] | 4.5 h | 1.6 ± 0.1 (A); 33 ± 3 (B) | 3.4 ± 0.7 (A); 46 ± 5 (B) |
| [VO(3-tBuHSHED)(DIPCAT)] | 14.8 min | 9 ± 1 (A); 47 ± 4 (B) | 7 ± 2 (A); 40 ± 4 (B) |
| [VO(HSHED)(TIPCAT)] | 93 s | 14 ± 1 (A); 55 ± 4 (B) | 17 ± 1 (A); 55 ± 5 (B) |
| DTBH2 | ND c | 26 ± 3 (B) | ND |
| TIPCATH2 | ND | 54 ± 7 (B) | ND |
| DIPCATH2 | ND | 54 ± 8 (B) | ND |
| H2SHED | ND | >100 (B) | ND |
| 3-tBuH2SHED | ND | 70 ± 5 (B) | ND |
| Na3VO4 | ND | 40 ± 3 (B) | 48 ± 4 (B) |
| cisplatin | ND | 31 ± 1 (A) | 6.1 ± 0.4 (A) |
Disclaimer/Publisher’s Note: The statements, opinions and data contained in all publications are solely those of the individual author(s) and contributor(s) and not of MDPI and/or the editor(s). MDPI and/or the editor(s) disclaim responsibility for any injury to people or property resulting from any ideas, methods, instructions or products referred to in the content. |
© 2025 by the authors. Licensee MDPI, Basel, Switzerland. This article is an open access article distributed under the terms and conditions of the Creative Commons Attribution (CC BY) license (https://creativecommons.org/licenses/by/4.0/).
Share and Cite
Bates, A.C.; Klugh, K.L.; Galaeva, A.O.; Patch, R.A.; Manganaro, J.F.; Markham, S.A.; Scurek, E.; Levina, A.; Lay, P.A.; Crans, D.C. Optimizing Therapeutics for Intratumoral Cancer Treatments: Antiproliferative Vanadium Complexes in Glioblastoma. Int. J. Mol. Sci. 2025, 26, 994. https://doi.org/10.3390/ijms26030994
Bates AC, Klugh KL, Galaeva AO, Patch RA, Manganaro JF, Markham SA, Scurek E, Levina A, Lay PA, Crans DC. Optimizing Therapeutics for Intratumoral Cancer Treatments: Antiproliferative Vanadium Complexes in Glioblastoma. International Journal of Molecular Sciences. 2025; 26(3):994. https://doi.org/10.3390/ijms26030994
Chicago/Turabian StyleBates, Andrew C., Kameron L. Klugh, Anna O. Galaeva, Raley A. Patch, John F. Manganaro, Skyler A. Markham, Emma Scurek, Aviva Levina, Peter A. Lay, and Debbie C. Crans. 2025. "Optimizing Therapeutics for Intratumoral Cancer Treatments: Antiproliferative Vanadium Complexes in Glioblastoma" International Journal of Molecular Sciences 26, no. 3: 994. https://doi.org/10.3390/ijms26030994
APA StyleBates, A. C., Klugh, K. L., Galaeva, A. O., Patch, R. A., Manganaro, J. F., Markham, S. A., Scurek, E., Levina, A., Lay, P. A., & Crans, D. C. (2025). Optimizing Therapeutics for Intratumoral Cancer Treatments: Antiproliferative Vanadium Complexes in Glioblastoma. International Journal of Molecular Sciences, 26(3), 994. https://doi.org/10.3390/ijms26030994

