Next Article in Journal
The Quantum Brain: The Untold Story of Docosahexaenoic Acid’s Role in Brain Evolution, Biophysics, and Cognition
Previous Article in Journal
Modulating Cerebrospinal Fluid Composition in Neurodegenerative Processes: Modern Drug Delivery and Clearance Strategies
Previous Article in Special Issue
Synthesis and Transformation of Tricyclic KYNA Derivatives
 
 
Font Type:
Arial Georgia Verdana
Font Size:
Aa Aa Aa
Line Spacing:
Column Width:
Background:
Article

Synthesis of 1,3-Thiazine and 1,4-Thiazepine Derivatives via Cycloadditions and Ring Expansion

1
Institute of Pharmaceutical Chemistry, University of Szeged, Eötvös u. 6, H-6720 Szeged, Hungary
2
Department of Medical Chemistry, University of Szeged, Dóm tér 8, H-6720 Szeged, Hungary
3
HUN-REN-SZTE Biomimetic Systems Research Group, Dóm tér 8, H-6720 Szeged, Hungary
4
Department of Chemistry, University of Jyväskylä, FIN-40014 Jyväskylä, Finland
*
Author to whom correspondence should be addressed.
Int. J. Mol. Sci. 2025, 26(23), 11543; https://doi.org/10.3390/ijms262311543
Submission received: 28 October 2025 / Revised: 23 November 2025 / Accepted: 26 November 2025 / Published: 28 November 2025

Abstract

Non-cephem drugs with 1,3-thiazine-derived rings are very rare, although a number of bioactive 1,3-thiazine derivatives are known. Similarly, 1,4-thiazepine-derived drugs are rare, but many 1,4-thiazepine derivatives show interesting biological activities. Therefore, our aim was the synthesis of such N,S-heterocycles using a versatile and short (1–3 steps) literature method. First, a three-component reaction of a cycloalkene, a thioamide, and an aldehyde provided 5,6-dihydro-4H-1,3-thiazines. Afterwards, Staudinger ketene–imine cycloaddition with chloroketene resulted in β-lactam-fused 1,3-thiazinanes. Finally, treatment with sodium methoxide induced ring expansion, yielding 4,5,6,7-tetrahydro-1,4-thiazepines. This synthetic pathway generates 3–5 new chiral centers with the help of pericyclic reactions, and almost every cycloaddition proceeded in a diastereoselective manner. Two-dimensional NOESY as well as single-crystal X-ray diffraction enabled unequivocal determination of the stereochemistry of all synthesized compounds.

Graphical Abstract

1. Introduction

Azaheterocycles show outstanding structural diversity (azaheterocycles with various ring sizes, heteroatom patterns, substituent patterns, and saturation are readily available synthetically [1]), are widespread in nature (nucleobases [1], many B vitamins [1], numerous alkaloids [2], etc.), and in drugs [3,4,5]. Incorporation of an N-heterocycle into a molecule has considerable influence on important pharmaceutical parameters such as hydrogen bond donor/acceptor properties, lipophilicity, and solubility in water [5].
Within azaheterocycles, β-lactams are an important subfamily. Many important antibiotics (e.g., penicillins, cephalosporins, and carbapenems) contain a β-lactam ring, which has a key role in their bioactivity [6]. A number of β-lactamase inhibitors (drugs used to counter antibiotic resistance) [6] and the cholesterol-lowering drug ezetimibe [7] are also β-lactam derivatives. Some important β-lactam drugs are depicted in Figure 1.
Heterocycles with both nitrogen and sulfur atoms in the ring are also found in pharmaceuticals. The most common related heterocycles are (benzo)thiazoles, penicillins (β-lactam-fused thiazolidine core, see 1 as an example) [3,4,8,9]. Further examples are (benzo)thiophenes, phenothiazines, and cephems (β-lactam-fused dihydro-1,3-thiazine core, see 2 as an example) [3,4,8,9]. It caught our attention that while cephems are relatively common, other drugs with 1,3-thiazine-derived rings (Figure 2) are very rare [8,9,10], despite the fact that a number of 1,3-thiazine derivatives show interesting biological activities [11,12,13,14,15]. Interestingly, 1,4-thiazepine-derived ring systems show a similar tendency. Such motifs are rare in drugs (Figure 2) [8,9], although they are present in many bioactive compounds [16,17,18,19,20,21,22,23,24,25,26,27,28].
Fodor and coworkers reported that [2+2] cycloaddition of 5,6-dihydro-4H-1,3-thiazines and chloroketene yields chlorinated, β-lactam-fused 1,3-thiazinanes [29,30,31]. They also reported that treatment of the latter compounds (which show some structural similarities with cephems) with alkoxide ions provides 4,5,6,7-tetrahydro-1,4-thiazepines [30,31]. Recently, Peudru et al. improved this pathway by synthesizing the necessary dihydro-1,3-thiazines by the hetero-Diels–Alder reaction of alkenes and in situ generated N-thioacyl imines [32]. This modified pathway enables quick and efficient transformation of alkenes into various sulfur-containing azaheterocycles (Scheme 1).
Taking into account the increasing interest in the derivatives of 1,3-thiazines and 1,4-thiazepines, our aim was to use the synthetic method of Peudru et al. [32], utilizing various readily available cycloalkenes for access to novel N,S-heterocyclic compounds. We were also interested in the stereochemical outcomes of the reactions. Note that the hetero-Diels–Alder reaction creates three new stereocenters, and two additional centers are formed in the Staudinger ketene–imine cycloaddition.

2. Results and Discussion

The synthesis of 5,6-dihydro-4H-1,3-thiazines is a three-component, one-pot reaction (see Scheme 1). Thioamides and aldehydes, applied in constructing the N-thioacyl imine heterodienes, were chosen based on availability: thioacetamide (8a, R1 = Me), thiobenzamide (8b, R1 = Ph), and benzaldehyde (9a, R2 = Ph). [Some reactions were also performed with 4-chlorobenzaldehyde (9b, R2 = 4-chlorophenyl)]. The cycloalkane reaction partners were more diverse and included norbornadiene, indene, 1,5-cyclooctadiene, 1,3-cyclooctadiene, and 1,3-cyclohexadiene.
It was already mentioned briefly that [4+2] cycloaddition of alkenes and N-thioacyl imines generate three new chiral centers. Luckily, as long as the reaction is concerted in nature, there are only two possible pathways (Scheme 2). The exo attack is favored by steric repulsion between the reactants (it results in a less crowded transition state), while the endo approach is favored by attractive van der Waals or π–π interactions between the reagents and the reactants.
First, reactions of norbornadiene 10 were performed (Scheme 3). Utilizing the conditions described by Peudru et al. [1.2 mmol thioamide, 1 mmol aldehyde, 1.2 mmol alkene, 2 mmol BF3×OEt2, 1,2-dichloroethane, microwave heating for 10 min under 40 W (T ≤ 150 °C)], thiazine derivatives 11aa, 11ab, 11ba, and 11bb were obtained as single diastereoisomers in reasonable yields. Afterwards, we experimented with slight changes in the conditions. The results mostly agreed with those reported by Peudru et al. Dichloromethane provided results comparable to those of 1,2-dichloroethane, but its lower boiling point (42 °C) made its heating less convenient. Utilization of 2 mmol trifluoroacetic acid instead of BF3×OEt2 provided inferior yields. Without microwave heating (at RT), the reaction time lengthened to one day and the yield was somewhat lowered, but this setup was more convenient. Therefore, numerous hetero-Diels–Alder reactions were performed under these low-temperature conditions, with CH2Cl2 as the solvent. The most important results of the reactions with norbornadiene are summarized in Table 1.
Stereochemistry of the products depicted in Scheme 3 was determined with the help of 2D NOESY measurements. In the case of 11ba, single-crystal X-ray diffraction also corroborated the structure (Figure 3). Apparently, the reaction of N-thioacyl imines with norbornadiene is controlled by steric repulsion. Namely, the heterodiene approaches the olefin bond from the less hindered side (where the bridging methylene is found), and it performs an exo attack (Scheme 4).
We continued our experiments with indene. In this case, despite the non-symmetric olefin bond, the heterocyclic products were formed as single regio- and diastereoisomers (Scheme 5). The structure of the products was determined with the help of 2D NMR methods (including NOESY), and the structure of 13aa was corroborated by single-crystal X-ray diffraction (Figure 4).
The same regioselectivity was observed in other indene–heterodiene Diels–Alder reactions [33,34]. The regioselectivity can be explained by HOMO–LUMO interactions: the HOMO of indene has the highest coefficients at C-2 (this is the most nucleophilic atom) [35], while the most electrophilic atom of the N-thioacyl imine is the imine carbon (the electronegative nitrogen withdraws electrons from it via both –I and –M effects). Based on the stereochemistry, the heterodiene performs an endo attack. Presumably, energetically favorable π–π interactions between the π-electron systems of indene and N-thioacyl imine are responsible for orienting the heterodiene. The above considerations are summarized in Scheme 6.
Afterwards, reactions of 1,5-cyclooctadiene were investigated. In this case, stereoselectivity of the reaction depended on the substituents of the N-thioacyl imine. If R1 was methyl, only endo product 15aa was formed. If R1 was phenyl, however, the hetero-Diels–Alder reaction produced about a 3:2 mixture of endo product 15ba and exo product 16ba (Scheme 7). Stereochemistry of the products was determined by 2D NOESY (Scheme 7). Apparently, the less bulky N-thioacetyl imine (R1 = Me) can perform an endo attack on 1,5-cyclooctadiene without any difficulty. However, the bulkier N-thiobenzoyl imine (R1 = Ph) experiences more steric hindrance, which enables the exo attack to compete successfully with the endo attack (the exo attack proceeds through a less crowded transition state).
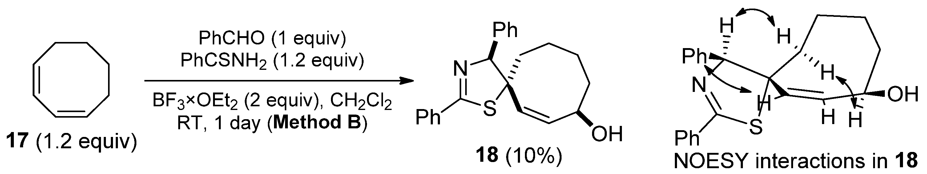
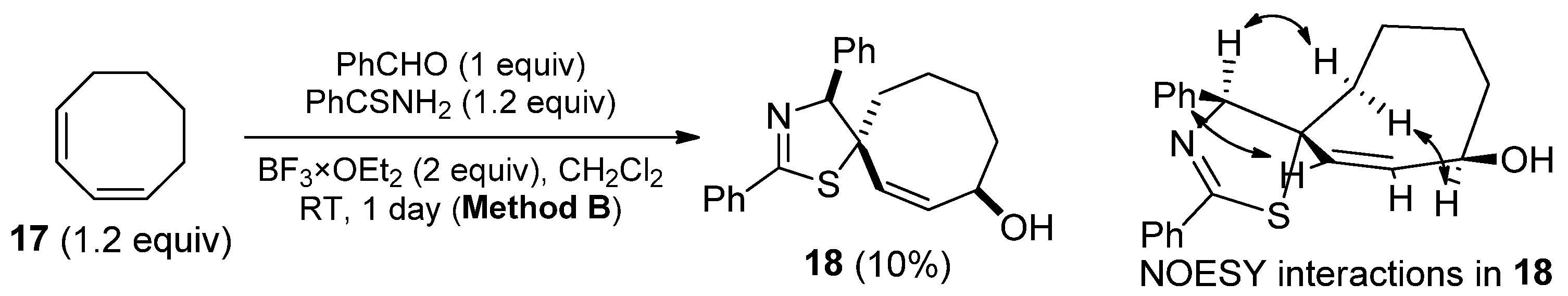
We were interested in extending the hetero-Diels–Alder reaction to conjugated dienes. First, 1,3-cyclooctadiene was reacted with benzaldehyde and thiobenzamide. At the end of the reaction (and after workup), TLC indicated the presence of a single product, but attempts to purify the reaction mixture via column chromatography on silica gel resulted in serious decomposition. In the end, from the various compounds which appeared in the fractions of the column, we were only able to isolate compound 18 in pure form. The structure of this molecule (determined by 2D NMR methods) was very surprising. In comparison to the expected fused-ring hetero-Diels–Alder product (chemical formula: C22H23NS), it contained an extra oxygen atom (chemical formula of 18: C22H23NOS), and it had a spirocyclic structure (Scheme 8). Compound 18 has three stereocenters (including a quaternary carbon center), but luckily, NOESY enabled determination of the configuration of all centers (Scheme 8). At first, we assumed that the conjugated nature of the olefin reactant may be responsible for this unexpected outcome. However, the transformation of 1,3-cyclohexadiene (another conjugated diene) proceeded normally, providing hetero-Diels–Alder products 20 under these conditions (see Scheme 9). In the end, apart from suspecting that the decomposition of the initial product is caused by the acidity of silica gel and that the source of the unexpected oxygen atom is probably the O2 content of air, we could not solve the formation mechanism of compound 18. This prompted us to discontinue investigating the reactions of 1,3-cyclooctadiene with other aldehydes and thioamides.
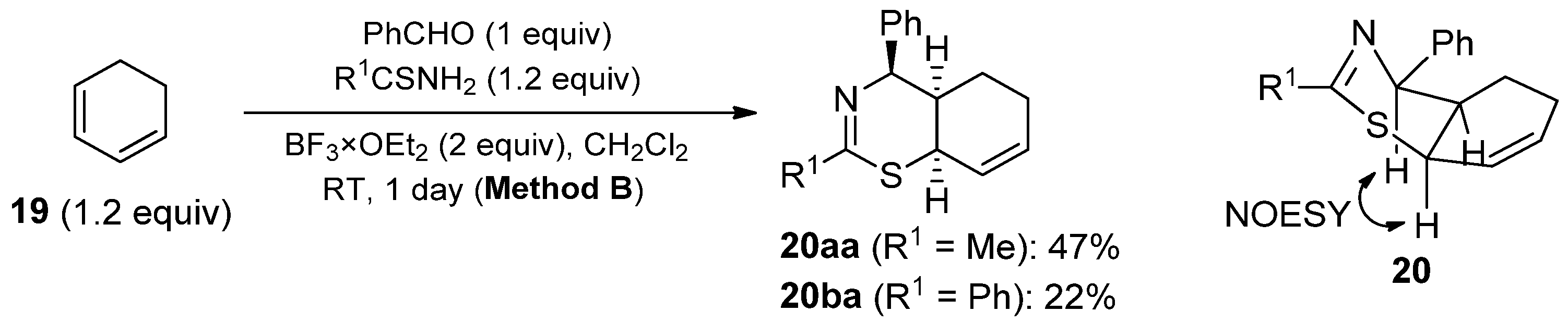
As mentioned above, there was a possibility that the puzzling formation of product 18 is connected to the conjugated diene nature of the alkene reactant. To test this hypothesis, we attempted the transformation of 1,3-cyclohexadiene. Interestingly, these reactions proceeded normally. Hetero-Diels–Alder products 20aa and 20ba formed with complete regio- and stereoselectivity (Scheme 9). Stereochemistry of the products was determined by 2D NOESY (Scheme 9).
The same regio- and stereoselectivity was observed in the hetero-Diels–Alder reactions of 1,3-cyclohexadiene and α-keto-β,γ-unsaturated phosphonates such as (E)-diethyl cinnamoylphosphonate [36]. The regioselectivity can be explained by HOMO–LUMO interactions: the HOMO of conjugated dienes has the highest coefficients at the ends of the conjugated system (these are the most nucleophilic atoms) [37], while the most electrophilic atom of the N-thioacyl imine is the imine carbon (the electronegative nitrogen withdraws electrons from it via both –I and –M effects). The endo stereoselectivity can be explained by the favorable π–π interactions between the conjugated electron systems of the heterodiene and the cyclodiene. These factors are summarized in Scheme 10.
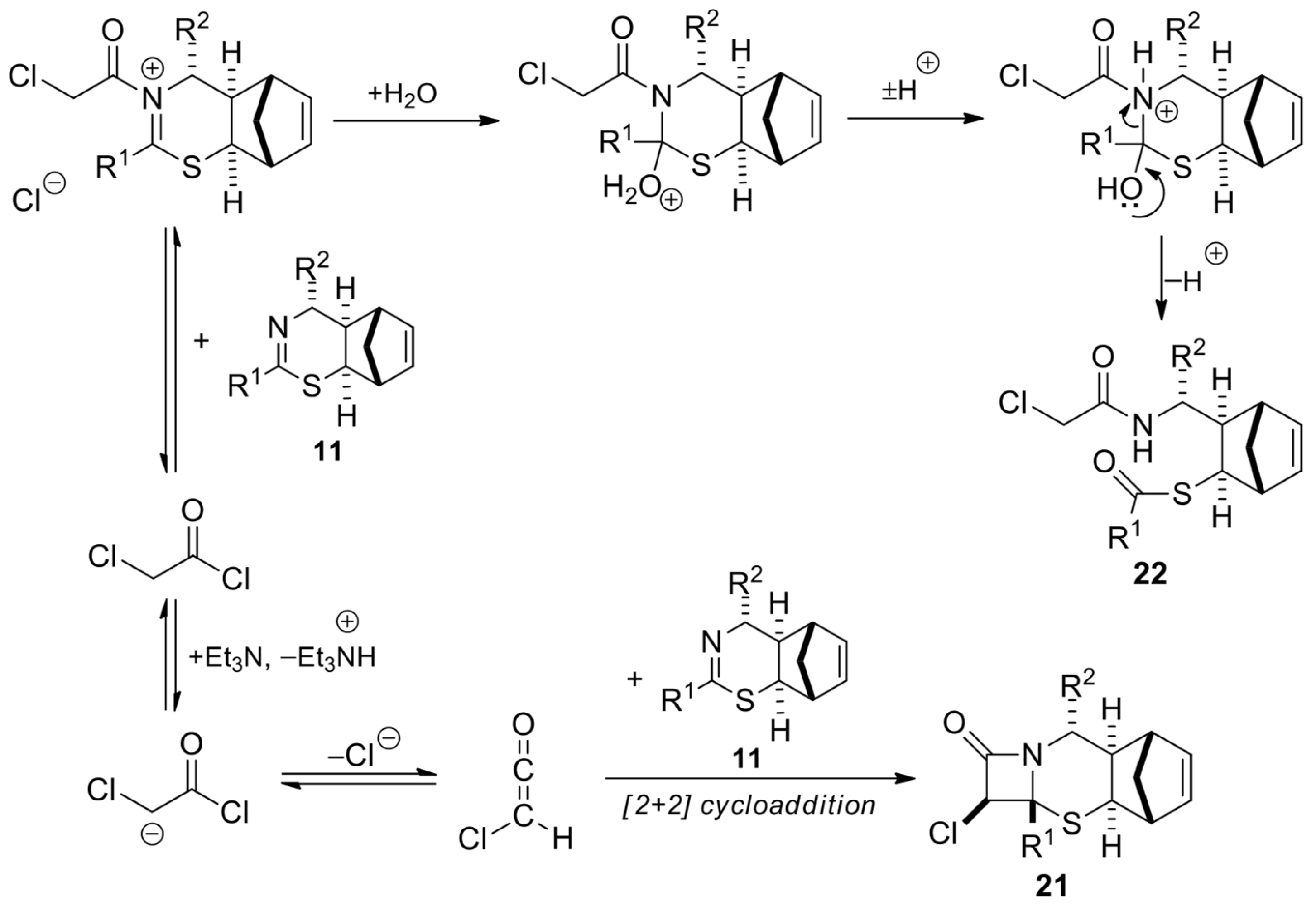
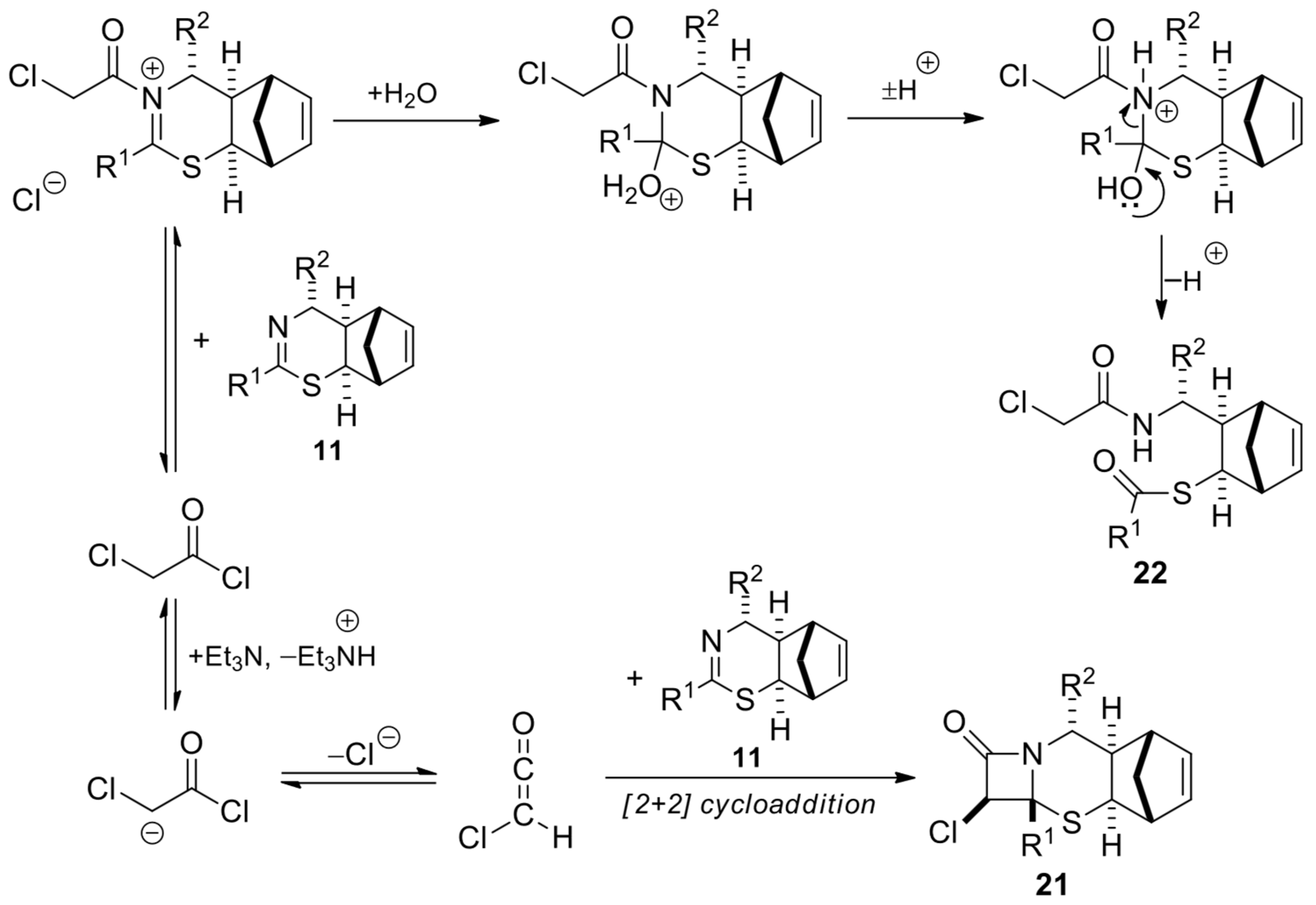
We continued with the transformation of norbornadiene-derived 5,6-dihydro-4H-1,3-thiazines to chlorinated β-lactam-fused 1,3-thiazines by treating them with chloroacetylchloride and triethylamine (these reagents generate chloroketene in situ) at 110 °C in anhydrous toluene. Mixed results were detected (Scheme 11). Compounds 11ba and 11bb provided the desired β-lactams 21ba and 21bb as single diastereoisomers (note that the Staudinger ketene–imine cycloaddition generates two new chiral centers). In contrast, compound 11ab provided a mixture of β-lactam 21ab (as a single diastereoisomer) and ring-opened thioester 22ab, while compound 22aa provided solely ring-opened thioester 22aa (Table 2).
The structure and stereochemistry of β-lactam 21bb were unequivocally established by single-crystal X-ray diffraction (Figure 5), whereas the stereochemistry of the other synthesized β-lactams was assigned by analogy (in the case of 21ab, 2D NOESY corroborates this assignment). The observed stereoselectivity of β-lactam formation (the Cl and the R1 groups are on the same side, and the ring-junction hydrogens are on the other side) is in agreement with literature data [38].
To explain the formation of the ring-opened thioesters, we have to consider that, under the reaction conditions, two processes compete for chloroacetylchloride (Scheme 12). N-Acylation of the dihydrothiazine derivative is probably rapid but reversible (similar to N-acylation of pyridine). Deprotonation of ClCH2COCl by Et3N is probably slow like all C–H deprotonations, but the resulting chloroketene can irreversibly perform [2+2] cycloaddition with the dihydrothiazine molecule. As long as water is absent, the irreversibility of the cycloaddition ensures that the β-lactam will be the sole product (although it may take some time). In the presence of water, however, the N-acylated dihydrothiazine derivative undergoes rapid and irreversible hydrolysis into the ring-opened thioester. (Note that imines are more nucleophilic than water, that is, chloroacetylchloride can N-acylate dihydrothiazine even in the presence of some water.) Although serious precautions were taken to keep the reaction mixtures anhydrous (utilization of CaCl2-filled drying tubes, use of anhydrous toluene as solvent, etc.), the observed product distribution strongly suggests that complete exclusion of water is difficult, and even minute amounts of humidity can interfere with β-lactam synthesis to a varying extent.
Finally, chlorinated β-lactam-fused 1,3-thiazines 21ba and 21bb were treated with NaOMe in MeOH. The ring expansion process was successfully triggered (see Scheme 1), providing the expected 4,5,6,7-tetrahydro-1,4-thiazepines 23ba and 23bb in good yields (Scheme 13).

3. Materials and Methods

3.1. General Methods

Chemicals were purchased from Molar Chemicals Ltd., Halásztelek, Hungary; Merck Ltd., Budapest, Hungary, and VWR International Ltd., Debrecen, Hungary. Solvents were used as received from the suppliers. Melting points were determined with a Kofler apparatus (Nagema, Dresden, Germany). TLC plates (TLC Silica gel 60 F254) and silica gel for column chromatography (technical grade, pore size 60 Å, 70–230 mesh) were purchased from Merck Ltd., Budapest, Hungary.
NMR spectra were acquired at room temperature on a Bruker Avance 400 spectrometer (Flextra-Lab Ltd., Budapest, Hungary) with 9.39 T magnetic field strength (1H frequency: 400.13 MHz, 13C frequency: 100.76 MHz, respectively), on a Bruker Avance Neo 500 spectrometer (Flextra-Lab Ltd., Budapest, Hungary) with 11.75 T magnetic field strength (1H frequency 500.20 MHz, 13C frequency 125.78 MHz), or on a Bruker Avance III 600 spectrometer (Flextra-Lab Ltd., Budapest, Hungary) with 14.10 T magnetic field (1H frequency 600.20 MHz, 13C frequency 150.92 MHz) in CDCl3 or D6-DMSO, using the deuterium signal of the solvent to lock the field. The 1H and 13C chemical shifts are given relative to TMS.
HRMS were acquired on a Thermo Scientific Q-Exactive Plus Orbitrap mass spectrometer (Thermo Fisher Scientific Inc., Budapest, Hungary) equipped with an electrospray ionization ion source.
Single-crystal data of compounds 11ba, 13aa, and 21bb were collected on a SuperNova, Dualflex, HyPix-Arc 100 diffractometer (Rigaku Oxford Diffraction, Wrocław, Poland) at 120(2) K. The crystal of 11ba was solved in the orthorhombic space group Pbca. The unit-cell parameters were as follows: a = 11.7009(2) Å, b = 15.6961(3) Å, c = 17.6878(4) Å, and V = 3248.53(10) Å3. The crystal of 13aa was solved in the monoclinic space group P21/n. The unit-cell parameters were as follows: a = 8.25120(7) Å, b = 16.50920(13) Å, c = 21.02664(18) Å, β = 94.1989(7)°, and V = 2856.58(4) Å3. The crystal of 21bb was solved in the monoclinic space group P21/c. The unit-cell parameters were as follows: a = 13.43125(18) Å, b = 6.82967(9) Å, c = 21.6001(3) Å, β = 98.5980(12)°, and V = 1959.13(4) Å3. The crystallographic parameters are given in Section 3 (“X-ray structure determinations”) of the Supporting Material [39,40,41,42,43].

3.2. General Methods for the Synthesis of Thiazines

Method A: In a 10 mL microwave reaction vial, 1.2 mmol thioamide, 1 mmol aldehyde, and 1.2 mmol cyclic olefin were dissolved in 10 mL 1,2-dichloroethane. To this mixture, 2 mmol (0.25 mL) boron trifluoride etherate (BF3×OEt2) was added dropwise at RT. After that, the vial was sealed and irradiated at 40 W power in a microwave reactor for 10 min (T ≤ 150 °C) with stirring. After cooling to room temperature, the reaction mixture was washed with 10 mL saturated aqueous NaHCO3 solution, then the aqueous phase was extracted with 3×15 mL dichloromethane. The combined organic phase was dried on Na2SO4. After the drying agent was filtered out, the resulting filtrate was evaporated and purified via column chromatography on silica gel. Sometimes, after column chromatography, recrystallization was also necessary to obtain a pure product.
Method B: Similar to Method A, but CH2Cl2 was used as a solvent, and the reaction mixture was stirred at RT for 24 h (microwave irradiation was omitted).

3.3. General Method for the Staudinger Ketene–Imine Cycloaddition of Thiazines

In a three-necked round-bottom flask, 3.0 mmol thiazine was dissolved in 30 mL anhydrous toluene. The stirred reaction mixture was heated to reflux. From two dropping funnels, a chloroacetylchloride solution (1.0 mmol ClCH2COCl dissolved in 10 mL anhydrous toluene) and a triethylamine solution (1.0 mmol Et3N dissolved in 10 mL anhydrous toluene) were added slowly (under about 1 h) to the reaction mixture under reflux. The “reagent addition step” described in the previous sentence was carried out three times. Then reflux was continued until the overall reaction time reached 4 h. After that, the reaction mixture was evaporated and purified via column chromatography on silica gel (eluent: n-hexane/EtOAc 10:1). The raw product was purified further via recrystallization.

3.4. General Method for the Ring Expansion of β-Lactam Condensed Thiazinanes

An amount of 0.16 mmol β-lactam condensed 1,3-thiazinane and 2 equiv NaOMe were dissolved in 2 mL methanol. Under an argon atmosphere, the reaction mixture was treated under reflux for 4 h. Afterwards, the reaction mixture was concentrated under reduced pressure. The residue was dissolved in 4 mL water and extracted with 4 × 10 mL CH2Cl2. The organic phase was dried on Na2SO4. After the drying agent was filtered out, the resulting filtrate was evaporated and purified via column chromatography on silica gel and subsequent recrystallization.

3.5. Characterization of Compounds

(4S*,4aR*,5S*,8R*,8aR*)-2-methyl-4-phenyl-4a,5,8,8a-tetrahydro-4H-5,8-methanobenzo[e][1,3]thiazine (11aa)
Formed diastereoselectively from thioacetamide (8a), benzaldehyde (9a), and norbornadiene (10) via General methods for the synthesis of thiazines. Purification: column chromatography (eluent: n-hexane/EtOAc 4:1) followed by crystallization. White powder yield as follows: 55% (Method A) or 45% (Method B). Rf = 0.6 (n-hexane/EtOAc 4:1). Mp. 88–89 °C.
1H NMR (500 MHz, CDCl3): δ (ppm) = 1.52–1.58 (m, 1H, H-9), 1.83–1.91 (m, 1H, H-4a), 2.32 (s, 3H, CH3), 2.37–2.43 (m, 1H, H-9), 2.58–2.62 (m, 1H, H-5), 2.86–2.90 (m, 1H, H-8), 3.05–3.09 (m, 1H, H-8a), 3.77–3.83 (m, 1H, H-4), 6.02–6.06 (m, 1H, H-7), 6.06–6.11 (m, 1H, H-6), 7.27–7.33 (m, 1H, Ar), and 7.35–7.42 (m, 4H, Ar).
13C NMR (125 MHz, CDCl3): δ (ppm) = 28.9, 43.3, 46.0, 46.2, 48.8, 50.5, 70.4, 127.1, 128.3, 128.5, 135.5, 139.4, 144.2, and 165.2.
HRMS calcd. for C16H18NS+ ([M+H]+): 256.1154. Found: 256.1150.
(4S*,4aR*,5S*,8R*,8aR*)-2-methyl-4-(4-chlorophenyl)-4a,5,8,8a-tetrahydro-4H-5,8-methanobenzo[e][1,3]thiazine (11ab)
Formed diastereoselectively from thioacetamide (8a), 4-chlorobenzaldehyde (9b), and norbornadiene (10) via General methods for the synthesis of thiazines. Purification: column chromatography (eluent: n-hexane/EtOAc 4:1). White solid yield as follows: 56% (Method A). Rf = 0.5 (n-hexane/EtOAc 4:1). Mp. 126–128 °C.
1H NMR (400 MHz, CDCl3): δ (ppm) = 1.52–1.59 (m, 1H, H-9), 1.77–1.86 (m, 1H, H-4a), 2.32 (d, J = 1.67 Hz, 3H, CH3), 2.34–2.40 (m, 1H, H-9), 2.53–2.59 (m, 1H, H-5), 2.86–2.92 (m, 1H, H-8), 3.03–3.10 (m, 1H, H-8a), 3.74–3.82 (m, 1H, H-4), 6.02–6.06 (m, 1H, H-7), 6.06–6.12 (m, 1H, H-6), 7.29–7.34 (m, 2H, Ar), and 7.34–7.40 (m, 2H, Ar).
13C NMR (125 MHz, CDCl3): δ (ppm) = 28.8, 43.2, 45.9, 46.1, 48.8, 50.6, 69.7, 128.7, 129.7, 132.9, 135.6, 139.2, 142.7, and 165.7.
HRMS calcd. for C16H17ClNS+ ([M+H]+): 290.0765. Found: 290.0762.
(4S*,4aR*,5S*,8R*,8aR*)-2,4-diphenyl-4a,5,8,8a-tetrahydro-4H-5,8-methanobenzo[e][1,3]thiazine (11ba)
Formed diastereoselectively from thiobenzamide (8b), benzaldehyde (9a), and norbornadiene (10) via General methods for the synthesis of thiazines. Purification: column chromatography (eluent: n-hexane/EtOAc 4:1) followed by crystallization. White powder yield as follows: 58% (Method A) or 50% (Method B). Rf = 0.6 (n-hexane/EtOAc 4:1). Mp. 130–134 °C.
1H NMR (500 MHz, CDCl3): δ (ppm) = 1.63 (d, J = 9.05 Hz, 1H, H-9), 1.97–2.03 (m, 1H, H-4a), 2.54 (d, J = 9.04 Hz, 1H, H-9), 2.68–2.72 (m, 1H, H-5), 2.99–3.04 (m, 1H, H-8), 3.16 (d, J = 7.78 Hz, 1H, H-8a), 4.11 (d, J = 10.83 Hz, 1H, H-4), 6.05–6.10 (m, 1H, H-7), 6.10–6.14 (m, 1H, H-6), 7.30–7.39 (m, 3H, Ar), 7.39–7.45 (m, 3H, Ar), 7.47–7.53 (m, 2H, Ar), and 7.98–8.04 (m, 2H, Ar).
13C NMR (125 MHz, CDCl3): δ (ppm) = 43.4, 46.1, 47.2, 48.9, 52.6, 71.4, 127.1, 127.6, 128.3, 128.4, 128.6, 130.8, 135.6, 138.3, 139.7, 144.4, and 165.6.
HRMS calcd. for C21H20NS+ ([M+H]+): 318.1311. Found: 318.1305.
(4S*,4aR*,5S*,8R*,8aR*)-4-(4-chlorophenyl)-2-phenyl-4a,5,8,8a-tetrahydro-4H-5,8-methanobenzo[e][1,3]thiazine (11bb)
Formed diastereoselectively from thiobenzamide (8b), 4-chlorobenzaldehyde (9b), and norbornadiene (10) via General methods for the synthesis of thiazines. Purification: column chromatography (eluent: n-hexane/EtOAc 20:1) followed by a second column chromatography (eluent: n-hexane/PhMe 3:1). Colorless oil yield as follows: 36% (Method A) or 28% (Method B). Rf = 0.6 (n-hexane/EtOAc 20:1).
1H NMR (500 MHz, CDCl3): δ (ppm) = 1.63 (d, J = 9.09 Hz, 1H, H-9), 1.91–1.98 (m, 1H, H-4a), 2.51 (d, J = 9.08 Hz, 1H, H-9), 2.64–2.69 (m, 1H, H-5), 2.99–3.04 (m, 1H, H-8), 3.13–3.18 (m, 1H, H-8a), 4.09 (d, J = 10.89 Hz, 1H, H-4), 6.06–6.10 (m, 1H, H-7), 6.10–6.15 (m, 1H, H-6), 7.34–7.41 (m, 4H, Ar), 7.41–7.46 (m, 3H, Ar), and 7.97–8.02 (m, 2H, Ar).
13C NMR (125 MHz, CDCl3): δ (ppm) = 43.4, 46.1, 47.1, 48.8, 52.7, 70.7, 127.5, 128.3, 128.5, 129.9, 130.9, 132.9, 135.7, 138.1, 139.5, 142.9, and 166.0.
HRMS calcd. for C21H19ClNS+ ([M+H]+): 352.8997. Found: 352.0917.
(4R*,4aR*,9bS*)-4-phenyl-2-methyl-4,4a,5,9b-tetrahydroindeno[2,1-e][1,3]thiazine (13aa)
Formed regio- and diastereoselectively from thioacetamide (8a), benzaldehyde (9a), and indene (12) via General methods for the synthesis of thiazines. Purification: column chromatography (eluent: n-hexane/EtOAc 4:1) followed by crystallization. White solid yield as follows: 57% (Method B). Rf = 0.4 (n-hexane/EtOAc 4:1). Mp. 124 °C.
1H NMR (500 MHz, CDCl3): δ (ppm) = 2.25 (d, J = 1.91 Hz, 3H, CH3), 2.39 (dd, J = 15.95 Hz, J = 7.53 Hz, 1H, H-5), 2.89 (dd, J = 15.89 Hz, J = 10.56 Hz, 1H, H-5), 3.18–3.26 (m 1H, H-4a), 4.60–4.65 (m, 1H, H-4), 4.98 (d, J = 8.13 Hz, 1H, H-9b), and 7.04–7.51 ppm (9H, m, Ar).
13C NMR (125 MHz, CDCl3) δ (ppm) = 28.6, 30.4, 44.1, 49.4, 62.7, 124.2, 125.3, 126.7, 127.0, 127.2, 128.1, 128.5, 142.0, 143.7, 144.5, and 163.0.
HRMS calcd. for C18H18NS+ ([M+H]+): 280.1154. Found: 280.1150.
(4R*,4aR*,9bS*)-2,4-diphenyl-4,4a,5,9b-tetrahydroindeno[2,1-e][1,3]thiazine (13ba)
Formed regio- and diastereoselectively from thiobenzamide (8b), benzaldehyde (9a), and indene (12) via General methods for the synthesis of thiazines. Purification: column chromatography (eluent: n-hexane/EtOAc 4:1) followed by crystallization. White solid yield as follows: 57% (Method B). Rf = 0.7 (n-hexane/EtOAc 4:1). Mp. 141–142 °C.
1H NMR (500 MHz, D6-DMSO): δ (ppm) = 2.42 (dd, J = 16.25 Hz, J = 7.87 Hz, 1H, H-5), 2.91 (dd, J = 15.95 Hz, J = 10.06 Hz, 1H, H-5), 3.55–3.63 (m, 1H, H-4a), 4.99–5.11 (m, 1H, H-4), 5.40 (d, J = 8.23 Hz, 1H, H-9b), 7.09–7.16 (m,1H, Ar), 7.16–7.24 (m, 2H, Ar), 7.33–7.40 (m, 1H, Ar), 7.41–7.51 (m, 5H, Ar), 7.52–7.59 (m, 1H, Ar), 7.64–7.70 (m, 2H, Ar), and 7.80–7.85 (m, 2H, Ar).
13C NMR (125 MHz, CDCl3): δ (ppm) = 30.8, 45.5, 50.4, 64.2, 124.6, 125.1, 126.7, 127.0, 127.4, 128.1, 128.2, 128.4, 130.6, 139.0, 142.0, 143.7, 144.5, and 164.0 ppm.
HRMS calcd. for C23H20NS+ ([M+H]+): 342.1311. Found: 342.1306.
(4R*,4aR*,10aR*,Z)-2-methyl-4-phenyl-4a,5,6,9,10,10a-hexahydro-4H-cycloocta[e][1,3]thiazine (15aa)
Formed from thioacetamide (8a), benzaldehyde (9a), and 1,5-cyclooctadiene (14) via General methods for the synthesis of thiazines. Purification: column chromatography (eluent: n-hexane/EtOAc 14:1) followed by crystallization. White solid yield as follows: 52% (Method B). Rf = 0.3 (n-hexane/EtOAc 14:1). Mp. 137–138 °C.
1H NMR (500 MHz, CDCl3): δ (ppm) = 0.92–1.03 (m, 1H, H-5), 1.51–1.62 (m, 1H, H-5), 1.73–1.88 (m, 2H, H-6 and H-10), 2.18–2.34 (m, 5H, CH3 and H-9 and H-10), 2.45–2.58 (m, 2H, H-4a and H-9), 2.58–2.69 (m, 1H, H-6), 3.97–4.04 (m, 1H, H-10a), 4.63–4.68 (m, 1H, H-4), 5.28–5.37 (m, 1H, H-7), 5.56–5.64 (m, 1H, H-8), 7.19–7.25 (m, 1H, Ar), and 7.30–7.40 (m, 4H, Ar).
13C NMR (125 MHz, CDCl3): δ (ppm) = 20.3, 23.8, 27.7, 28.8, 30.8, 34.1, 48.2, 66.6, 125.9, 126.1, 127.3, 128.1, 130.9, 143.6, and 158.9.
HRMS calcd. for C17H22NS+ ([M+H]+): 272.1467. Found: 272.1463.
(4R*,4aR*,10aR*,Z)-2,4-diphenyl-4a,5,6,9,10,10a-hexahydro-4H-cycloocta[e][1,3]thiazine (15ba)
Formed from thiobenzamide (8b), benzaldehyde (9a), and 1,5-cyclooctadiene (14) via General methods for the synthesis of thiazines. Purification: column chromatography (eluent: n-hexane/EtOAc 4:1), then a second round of column chromatography (eluent: n-hexane/EtOAc 14:1), and finally crystallization. White solid yield as follows: 32% (Method B). Rf = 0.5 (n-hexane/EtOAc 14:1). Mp. 69–72 °C.
1H NMR (500 MHz, CDCl3): δ (ppm) = 0.95–1.06 (m, 1H, H-5), 1.57–1.67 (m, 1H, H-5), 1.72–1.82 (m, 1H, H-6), 1.92–2.02 (m, 1H, H-10), 2.26–2.45 (m, 2H, H-9, H-10), 2.54–2.72 (m, 3H, H-4a, H-6, H-9), 4.09–4.16 (m, 1H, H-10a), 4.91 (d, J = 3.34 Hz, 1H, H-4), 5.30–5.41 (m, 1H, H-7), 5.59–5.68 (m, 1H, H-8), 7.23–7.26 (m, 1H, Ar), 7.34–7.47 (m, 5H, Ar), 7.47–7.52 (m, 2H, Ar), and 7.95–8.00 (m, 2H, Ar).
13C NMR (125 MHz, CDCl3): δ (ppm) = 20.7, 23.8, 28.8, 31.1, 34.2, 48.3, 66.8, 126.0, 126.4, 126.4, 127.3, 128.1, 128.3, 130.4, 130.9, 138.9, 143.6, and 159.2.
HRMS calcd. for C22H24NS+ ([M+H]+): 334.1624. Found: 334.1621.
(4S*,4aR*,10aR*,Z)-2,4-diphenyl-4a,5,6,9,10,10a-hexahydro-4H-cycloocta[e][1,3]thiazine (16ba)
Formed from thiobenzamide (8b), benzaldehyde (9a), and 1,5-cyclooctadiene (14) via General methods for the synthesis of thiazines. Purification: column chromatography (eluent: n-hexane/EtOAc 4:1), then a second round of column chromatography (eluent: n-hexane/EtOAc 14:1), and finally crystallization. White solid yield as follows: 22% (Method B). Rf = 0.3 (n-hexane/EtOAc 14:1). Mp. 116–118 °C.
1H NMR (500 MHz, CDCl3): δ (ppm) = 1.47–1.56 (m, 1H, H-5), 1.79–1.88 (m, 1H, H-10), 1.89–1.98 (m, 1H, H-9), 2.02–2.12 (m, 2H, H-5, H-6), 2.27–2.37 (m, 1H, H-10), 2.37–2.43 (m, 1H, H-4a), 2.48–2.57 (m, 1H, H-9), 2.67–2.79 (m, 1H, H-6), 3.38–3.47 (m, 1H, H-10a), 5.16 (d, J = 4.1 Hz, 1H, H-4), 5.53–5.67 (m, 2H, H-7, H-8), 7.16–7.21 (m, 2H, Ar), 7.22–7.27 (m, 1H, Ar), 7.30–7.36 (m, 2H, Ar), 7.37–7.46 (m, 3H, Ar), and 7.90–7.94 (m, 2H, Ar).
13C NMR (125 MHz, CDCl3): δ (ppm) = 25.4, 27.4, 28.9, 30.6, 36.3, 39.4, 66.9, 126.5, 126.9, 127.0, 127.1, 128.4, 128.5, 129.8, 130.6, 139.0, and 142.9.
HRMS calcd. for C22H24NS+ ([M+H]+): 334.1624. Found: 334.1620.
(4S*,5R*,8R*,Z)-2,4-diphenyl-1-thia-3-azaspiro[4.7]dodeca-2,6-dien-8-ol (18)
Formed from thiobenzamide (8b), benzaldehyde (9a), and 1,3-cyclooctadiene (17) via General methods for the synthesis of thiazines. Purification: column chromatography (eluent: n-hexane/EtOAc 7:2), then crystallization. White solid yield as follows: 10% (Method B). Rf = 0.3 (n-hexane/EtOAc 7:2). Mp. 160–165 °C.
1H NMR (600 MHz, D6-DMSO): δ (ppm) = 1.28–1.32 (m, 1H, H-9), 1.35–1.40 (m, 1H, H-10), 1.60–1.70 (m, 2H, H-10, H-11), 1.70–1.84 (m, 1H, H-9), 1.88–1.97 (m, 1H, H-11), 2.01–2.05 (m, 1H, H-12), 2.19–2.28 (m, 1H, H-12), 4.75–4.80 (m, 1H, H-8), 4.88 (d, J = 4.2 Hz, 1H, OH), 5.17–5.20 (m, 2H, H-6, H-7), 5.62 (s, 1H, H-4), 7.25–7.31 (m, 2H, Ar), 7.31–7.35 (m, 1H, Ar), 7.35–7.41 (m, 2H, Ar), 7.49–7.55 (m, 2H, Ar), 7.56–7.61 (m, 1H, Ar), and 7.82–7.89 (m, 2H, Ar).
13C NMR (150 MHz, D6-DMSO): δ (ppm) = 23.1, 23.5, 36.7, 42.2, 66.6, 68.4, 86.9, 127.2, 128.0, 128.3, 128.4, 128.9, 131.7, 132.8, 136.5, 136.9, and 166.9.
HRMS calcd. for C22H24NOS+ ([M+H]+): 350.1573. Found: 350.1568.
(4S*,4aS*,8aS*)-2-methyl-4-phenyl-4a,5,6,8a-tetrahydro-4H-benzo[e][1,3]thiazine (20aa)
Formed from thioacetamide (8a), benzaldehyde (9a), and 1,3-cyclohexadiene (19) via General methods for the synthesis of thiazines. Purification: column chromatography (eluent: n-hexane/EtOAc 4:1), then a second round of column chromatography (eluent: n-hexane/EtOAc 10:1), and finally crystallization. White solid yield as follows: 47% (Method B). Rf = 0.4 (n-hexane/EtOAc 10:1). Mp. 87–89 °C.
1H NMR (500 MHz, D6-DMSO): δ (ppm) = 1.23–1.42 (m, 2H, H-5), 1.85–1.97 (m, 1H, H-6), 2.03–2.17 (m, 2H, H-4a and H-6), 2.23–2.28 (m, 3H, CH3), 4.27–4.32 (m, 1H, H-8a), 4.47–4.51 (m, 1H, H-4), 5.64–5.70 (m, 1H, H-8), 5.77–5.83 (m, 1H, H-7), 7.23–7.29 (m, 1H, Ar), 7.34–7.40 (m, 2H, Ar), and 7.40–7.45 (m, 2H, Ar).
13C NMR (125 MHz, D6-DMSO): δ (ppm) = 15.5, 25.6, 27.9, 35.2, 41.5, 65.0, 125.8, 126.6, 127.5, 128.2, 130.0, 143.0, and 159.1.
HRMS calcd. for C15H18NS+ ([M+H]+): 244.1154. Found: 244.1153.
(4S*,4aS*,8aS*)-2,4-diphenyl-4a,5,6,8a-tetrahydro-4H-benzo[e][1,3]thiazine (20ba)
Formed from thiobenzamide (8b), benzaldehyde (9a), and 1,3-cyclohexadiene (19) via General methods for the synthesis of thiazines. Purification: column chromatography (eluent: n-hexane/EtOAc 20:1), and finally crystallization. White solid yield as follows: 22% (Method B). Rf = 0.3 (n-hexane/EtOAc 20:1). Mp. 98–99 °C.
1H NMR (500 MHz, D6-DMSO): δ (ppm) = 1.05–1.29 (m, 2H, H-5), 1.81–1.93 (m, 1H, H-6), 1.96–2.08 (m, 1H, H-6), 2.24–2.32 (m, 1H, H-4a), 4.55–4.63 (m, 1H, H-8a), 4.77 (d, J = 2.58 Hz, 1H, H-4), 5.76–5.83 (m, 2H, H-7 and H-8), 7.25–7.31 (m, 1H, Ar), 7.38–7.43 (m, 2H, Ar), 7.43–7.53 (m, 3H, Ar), 7.55–7.60 (m, 2H, Ar), and 7.84–7.89 (m, 2H, Ar).
13C NMR (125 MHz, D6-DMSO): δ (ppm) = 16.0, 25.5, 35.2, 41.4, 64.8, 126.5, 126.6, 126.9, 127.9, 128.5, 129.0, 130.1, 131.1, 139.1, 143.6, and 158.4.
HRMS calcd. for C20H20NS+ ([M+H]+): 306.1311. Found: 306.1306.
(2S*,2aR*,3aR*,4R*,7S*,7aR*,8S*)-2-chloro-8-(4-chlorophenyl)-2a-methyl-2,2a,3a,4,7a,8-hexahydro-4,7-methanoazeto[2,1-b]benzo[e][1,3]thiazin-1(7H)-one (21ab)
Formed from thiazine 11ab via General method for the Staudinger ketene–imine cycloaddition of thiazines. White solid yield as follows: 12%. Rf = 0.45 (n-hexane/EtOAc 10:1). Mp. 158–162 °C.
1H NMR (500 MHz, CDCl3): δ (ppm) = 1.51–1.58 (m, 1H, CH2), 1.70 (s, 3H, CH3), 2.19–2.24 (m, 1H, CH2), 2.41–2.45 (m, 1H, H-7), 2.49 (dd, J = 12.22 Hz, J = 7.29 Hz, 1H, H-7a), 2.79–2.83 (m, 1H, H-4), 3.15 (d, J = 7.23 Hz, 1H, H-3a), 3.97 (d, J = 12.27 Hz, 1H, H-8), 5.02 (s, 1H, H-2), 5.99–6.04 (m, 1H, H-5), 6.14–6.20 (m, 1H, H-6), and 7.37 (d, J = 8.19 Hz, 2H, Ar), 7.57 (d, J = 8.21 Hz, 2H, Ar).
13C NMR (125 MHz, CDCl3): δ (ppm) = 22.2, 41.8, 43.5, 44.2, 44.5, 47.6, 61.0, 67.0, 68.1, 128.9, 130.6, 133.9, 134.4, 134.7, 139.3, and 165.2.
HRMS calcd. for C18H18Cl2NOS+ ([M+H]+): 366.0481. Found: 366.0478.
(2R*,2aS*,3aR*,4R*,7S*,7aR*,8S*)-2-chloro-2a,8-diphenyl-2,2a,3a,4,7a,8-hexahydro-4,7-methanoazeto[2,1-b]benzo[e][1,3]thiazin-1(7H)-one (21ba)
Formed diastereoselectively from thiazine 11ba via General method for the Staudinger ketene–imine cycloaddition of thiazines. White solid yield as follows: 58%. Rf = 0.4 (n-hexane/EtOAc 10:1). Mp. 206–208 °C.
1H NMR (400 MHz, CDCl3): δ (ppm) = 1.46–1.49 (m, 1H, CH2), 2.14–2.24 (m, 1H, CH2), 2.41–2.46 (m, 1H, H-7a), 2.66–2.74 (m, 1H, H-7), 2.81–2.87 (m, 1H, H-4), 3.30 (d, J = 7.0 Hz, 1H, H-3a), 4.09–4.16 (m, 1H, H-8), 5.27 (s, 1H, H-2), 6.00–6.06 (m, 1H, H-5), 6.16–6.20 (m, 1H, H-6), 7.28–7.33 (m, 2H, Ar), 7.34–7.50 (m, 6H, Ar), and 7.70–7.77 (m, 2H, Ar).
13C NMR (125 MHz, CDCl3): δ (ppm) = 43.0, 43.5, 44.1, 44.5, 47.6, 63.3, 68.5, 73.6, 125.2, 128.6, 128.7, 128.8, 128.9, 129.5, 133.7, 136.0, 137.0, 139.7, and 165.5.
HRMS calcd. for C23H21ClNOS+ ([M+H]+): 394.1027. Found: 394.1025.
(2S*,2aR*,3aR*,4R*,7S*,7aR*,8S*)-2-chloro-2a-phenyl-8-(4-chlorophenyl)-2,2a,3a,4,7a,8-hexahydro-4,7-methanoazeto[2,1-b]benzo[e][1,3]thiazin-1(7H)-one (21bb)
Formed diastereoselectively from thiazine 11bb via General method for the Staudinger ketene–imine cycloaddition of thiazines. White solid yield as follows: 56%. Rf = 0.6 (n-hexane/EtOAc 10:1). Mp. 208–210 °C.
1H NMR (400 MHz, CDCl3): δ (ppm) = 1.46–1.52 (m, 1H, CH2), 2.13–2.18 (m, 1H, CH2), 2.39–2.43 (m, 1H, H-7a), 2.60–2.68 (m, 1H, H-7), 2.83–2-87 (m, 1H, H-4), 3.27–3.31 (m, 1H, H-3a), 4.06–4.13 (m, 1H, H-8), 5.27 (s, 1H, H-2), 6.01–6.06 (m, 1H, H-5), 6.16–6.21 (m, 1H, H-6), 7.25–7.30 (m, 2H, Ar), 7.34–7.48 (m, 5H, Ar), and 7.66–7.72 (m, 2H, Ar).
13C NMR (125 MHz, CDCl3): δ (ppm) = 42.9, 43.5, 44.3, 44.4, 47.6, 62.6, 68.4, 73.6, 125.2, 128.8, 128.9, 129.1, 130.9, 133.9, 134.6, 134.6, 136.8, 139.6, and 165.7.
HRMS calcd. for C23H20Cl2NOS+ ([M+H]+): 428.0637. Found: 428.0634.
S-((1R*,2R*,3R*,4S*)-3-((S*)-(2-chloroacetamido)(phenyl)methyl)bicyclo[2.2.1]hept-5-en-2-yl) ethanethioate (22aa)
Formed from thiazine 11aa via General method for the Staudinger ketene–imine cycloaddition of thiazines. White solid yield as follows: 46%. Rf = 0.3 (n-hexane/EtOAc 10:1). Mp. 215–216 °C.
1H NMR (500 MHz, CDCl3): δ (ppm) = 1.40–1.47 (m, 1H, H-7), 1.54–1.60 (m, 1H, H-7), 2.16 (dd, J = 11.23 Hz, J = 7.91 Hz, 1H, H-3), 2.22–2.26 (m, 1H, H-4), 2.32 (s, 3H, CH3), 2.87–2.91 (m, 1H, H-1), 3.65 (dd, J = 7.63 Hz, J = 1.21 Hz, 1H, H-2), 3.86 (s, 2H, ClCH2), 4.65 (dd, J = 11.41 Hz, J = 7.50 Hz, 1H, N-CH), 6.08–6.13 (m, 1H, H-5), 6.15–6.20 (m, 1H, H-6), 6.70 (d, J = 6.72 Hz, 1H, NH), 7.26–7.30 (m, 3H, Ar), and 7.32–7.38 (m, 2H, Ar).
13C NMR (125 MHz, CDCl3): δ (ppm) = 30.6, 42.5, 44.9, 45.0, 45.1, 47.8, 51.1, 57.3, 127.1, 127.7, 128.7, 136.2, 139.3, 141.8, 164.6, and 196.1.
HRMS calcd. for C18H21ClNO2S+ ([M+H]+): 350.0976. Found: 350.0974.
S-((1R*,2R*,3R*,4S*)-3-((S*)-(2-chloroacetamido)(4-chlorophenyl)methyl)bicyclo[2.2.1]hept-5-en-2-yl) ethanethioate (22ab)
Formed from thiazine 11ab via General method for the Staudinger ketene–imine cycloaddition of thiazines. White solid yield as follows: 25%. Rf = 0.75 (n-hexane/EtOAc 1:1). Mp. 175–178 °C.
1H NMR (500 MHz, CDCl3): δ (ppm) = 1.45 (d, J = 9.23 Hz, 1H, H-7), 1.53 (d, J = 9.22 Hz, 1H, H-7), 2.12 (dd, J = 11.33 Hz, J = 7.86 Hz, 1H, H-3), 2.20–2.25 (m, 1H, H-4), 2.32 (s, 3H, CH3), 2.87–2.93 (m, 1H, H-1), 3.61–3.67 (m, 1H, H-2), 3.85 (s, 2H, ClCH2), 4.60 (dd, J = 11.47 Hz, J = 7.09 Hz, 1H, N-CH), 6.08–6.14 (m, 1H, H-5), 6.16–6.21 (m, 1H, H-6), 6.69 (d, J = 6.55 Hz, 1H, NH), and 7.21 (d, J = 8.21 Hz, 2H, Ar), 7.32 (d, J = 8.23 Hz, 2H, Ar).
13C NMR (125 MHz, CDCl3): δ (ppm) = 30.6, 42.4, 44.9, 44.9, 45.1, 47.7, 51.0, 56.9, 128.5, 128.9, 133.5, 136.3, 139.2, 140.4, 164.8, and 196.1.
HRMS calcd. for C18H20Cl2NO2S+ ([M+H]+): 384.0586. Found: 384.0585.
(5S*,5aR*,6S*,9R*,9aR*)-3,5-diphenyl-4,5,5a,6,9,9a-hexahydro-6,9-methanobenzo[f][1,4]thiazepine-2-carboxylic acid methyl ester (23ba)
Formed from β-lactam 21ba via General method for the ring expansion of β-lactam condensed thiazinanes. (eluent of column chromatography: n-hexane/EtOAc 10:1). Yellow solid yield as follows: 60%. Rf = 0.2 (n-hexane/EtOAc 10:1). Mp. 121–122 °C.
1H NMR (500 MHz, CDCl3): δ (ppm) = 1.24–1.29 (m, 1H, CH2), 1.88–1.93 (m, 1H, CH2), 2.13–2.17 (m, 1H, H-6), 2.20–2.27 (m, 1H, H-5a), 2.96–3.00 (m, 1H, H-9), 3.44 (s, 3H, OCH3), 3.68–3.73 (m, 1H, H-9a), 4.16 (brs, 1H, NH), 6.04–6.10 (m, 2H, H-5 and H-7), 6.12–6.16 (m, 1H, H-8), 7.20–7.25 (m, 2H, Ar), 7.27–7.33 (m, 3H, Ar), 7.33–7.37 (m, 3H, Ar), and 7.37–7.43 (m, 2H, Ar).
13C NMR (125 MHz, CDCl3): δ (ppm) = 42.8, 45.5, 47.7, 49.1, 50.2, 51.4, 61.8, 89.9, 127.4, 127.5, 128.2, 128.6, 128.7, 129.4, 135.4, 138.1, 140.9, 141.7, 157.1, and 168.4.
HRMS calcd. for C24H24NO2S+ ([M+H]+): 390.1522. Found: 390.1520.
(5S*,5aR*,6S*,9R*,9aR*)-5-(4-chlorophenyl)-3-phenyl-4,5,5a,6,9,9a-hexahydro-6,9-methanobenzo[f][1,4]thiazepine-2-carboxylic acid methyl ester (23bb)
Formed from β-lactam 21bb via General method for the ring expansion of β-lactam condensed thiazinanes (eluent of column chromatography: n-hexane/EtOAc 10:1). Yellow solid yield as follows: 62%. Rf = 0.2 (n-hexane/EtOAc 10:1). Mp. 170–172 °C.
1H NMR (500 MHz, CDCl3): δ (ppm) = 1.25–1.30 (m, 1H, CH2), 1.86–1.91 (m, 1H, CH2), 2.12–2.16 (m, 1H, H-6), 2.19 (dd, J = 10.94 Hz, J = 7.16 Hz, 1H, H-5a), 2.96–3.00 (m, 1H, H-9), 3.43 (s, 3H, OCH3), 3.70 (d, J = 6.95 Hz, 1H, H-9a), 4.02 (broad doublet, J = 3.57 Hz, 1H, NH), 6.03–6.06 (m, 1H, H-5), 6.06–6.10 (m, 1H, H-7), 6.12–6.16 (m, 1H, H-8), 7.19–7.23 (m, 2H, Ar), 7.27–7.34 (m, 5H, Ar), and 7.35–7.41 (m, 2H, Ar).
13C NMR (125 MHz, CDCl3): δ (ppm) = 42.8, 45.4, 47.7, 49.1, 50.2, 51.4, 61.2, 90.4, 127.5, 128.3, 128.8, 128.9, 129.6, 134.4, 135.5, 138.0, 140.1, 140.7, 156.7, and 168.3.
HRMS calcd. for C24H23ClNO2S+ ([M+H]+): 424.1133. Found: 424.1129.

4. Conclusions

From readily available reagents, various N,S-heterocycles were prepared in a short synthetic pathway (1–3 steps). First, a three-component reaction of a cycloalkene, a thioamide, and an aldehyde provided 5,6-dihydro-4H-1,3-thiazines. Afterwards, Staudinger ketene–imine cycloaddition with chloroketene resulted in β-lactam-fused 1,3-thiazinanes. Finally, treatment with methoxide resulted in ring expansion, yielding 4,5,6,7-tetrahydro-1,4-thiazepines. Although the synthetic pathway generated 3–5 new chiral centers with the help of pericyclic reactions, almost every cycloaddition proceeded in a diastereoselective manner, and 2D NOESY as well as single-crystal X-ray diffraction enabled unequivocal determination of the stereochemistry of all synthesized compounds.
Based on our results and the findings of Peudru et al., the initial three-component reaction is applicable to various thioamides, aromatic aldehydes, and olefins. Therefore, in our opinion, the method described in this paper can be useful for the synthesis of a variety of N,S-heterocycles.

Supplementary Materials

The following supporting information can be downloaded at: https://www.mdpi.com/article/10.3390/ijms262311543/s1, SuppInfo_N_thioacyl_imines.docx (Experimental section, Characterization data, X-ray structure determinations, Copies of NMR spectra).

Author Contributions

M.P. and A.M.R. conceived and designed the experiments. M.P. and N.B. performed the experiments, wrote the experimental part, and participated in analysis of the NMR data. E.W. performed analysis of 2D NMR data. M.H. performed single-crystal X-ray diffraction. M.P. and A.M.R. discussed the results and contributed to the writing of the paper. All authors have read and agreed to the published version of the manuscript.

Funding

The authors gratefully acknowledge financial support from the Hungarian Research Foundation (OTKA No. K-138871) and from the Ministry of Human Capacities, Hungary grant, TKP-2021-EGA-32.

Institutional Review Board Statement

Not applicable.

Informed Consent Statement

Not applicable.

Data Availability Statement

The original contributions presented in this study are included in the article and Supplementary Materials. Further inquiries can be directed to the corresponding author.

Acknowledgments

High-resolution mass spectrometric analysis was performed by Róbert Berkecz. Project no. TKP-2021-EGA-32 was implemented with the support provided by the Ministry of Innovation and Technology of Hungary from the National Research, Development, and Innovation Fund, financed under the TKP-2021-EGA funding scheme.

Conflicts of Interest

The authors declare no conflicts of interest.

References

  1. Eicher, T.; Hauptmann, S.; Speicher, A. The Chemistry of Heterocycles: Structure, Reactions, Synthesis, and Applications, 3rd ed.; Wiley-VCH: Weinheim, Germany, 2012. [Google Scholar]
  2. Aniszewski, T. Alkaloids: Chemistry, Biology, Ecology, and Applications, 2nd ed.; Elsevier: Amsterdam, The Netherlands, 2015. [Google Scholar] [CrossRef]
  3. Vitaku, E.; Smith, D.T.; Njardarson, J.T. Analysis of the Structural Diversity, Substitution Patterns, and Frequency of Nitrogen Heterocycles among U.S. FDA Approved Pharmaceuticals. J. Med. Chem. 2014, 57, 10257–10274. [Google Scholar] [CrossRef] [PubMed]
  4. Marshall, C.M.; Federice, J.G.; Bell, C.N.; Cox, P.B.; Njardarson, J.T. An Update on the Nitrogen Heterocycle Compositions and Properties of U.S. FDA-Approved Pharmaceuticals (2013–2023). J. Med. Chem. 2024, 67, 11622–11655. [Google Scholar] [CrossRef] [PubMed]
  5. Gomtsyan, A. Heterocycles in drugs and drug discovery. Chem. Heterocycl. Comp. 2012, 48, 7–10. [Google Scholar] [CrossRef]
  6. Mora-Ochomogo, M.; Lohans, C.T. β-Lactam antibiotic targets and resistance mechanisms: From covalent inhibitors to substrates. RSC Med. Chem. 2021, 12, 1623–1639. [Google Scholar] [CrossRef]
  7. Śnieżek, M.; Stecko, S.; Panfil, I.; Furman, B.; Chmielewski, M. Total Synthesis of Ezetimibe, a Cholesterol Absorption Inhibitor. J. Org. Chem. 2013, 78, 7048–7057. [Google Scholar] [CrossRef]
  8. Scott, K.A.; Njardarson, J.T. Analysis of US FDA-Approved Drugs Containing Sulfur Atoms. Top Curr. Chem. (Z) 2018, 376, 5. [Google Scholar] [CrossRef]
  9. Kapoor, K.; Kaur, N.; Sohal, H.S.; Kaur, M.; Singh, K.; Kumar, A. Drugs and Their Mode of Action: A Review on Sulfur-Containing Heterocyclic Compounds. Polycycl. Aromat. Compd. 2025, 45, 136–175. [Google Scholar] [CrossRef]
  10. Ruiz-Colón, K.; Chavez-Arias, C.; Díaz-Alcalá, J.E.; Martínez, M.A. Xylazine intoxication in humans and its importance as an emerging adulterant in abused drugs: A comprehensive review of the literature. Forensic Sci. Int. 2014, 240, 1–8. [Google Scholar] [CrossRef]
  11. Koketsu, M.; Tanaka, K.; Takenaka, Y.; Kwong, C.D.; Ishihara, H. Synthesis of 1,3-thiazine derivatives and their evaluation as potential antimycobacterial agents. Eur. J. Pharm. Sci. 2002, 15, 307–310. [Google Scholar] [CrossRef]
  12. Matysiak, J. Synthesis, antiproliferative and antifungal activities of some 2-(2,4-dihydroxyphenyl)-4H-3,1-benzothiazines. Bioorg. Med. Chem. 2006, 14, 2613–2619. [Google Scholar] [CrossRef]
  13. Niewiadomy, A.; Matysiak, J.; Karpińska, M.M. Synthesis and Anticancer Activity of New 2-Aryl-4H-3,1-benzothiazines. Arch. Pharm. Chem. Life Sci. 2011, 11, 224–230. [Google Scholar] [CrossRef] [PubMed]
  14. Güschow, M.; Schlenk, M.; Gäb, J.; Paskaleva, M.; Alnouri, M.W.; Scolari, S.; Iqbal, J.; Müller, C.E. Benzothiazinones: A Novel Class of Adenosine Receptor Antagonists Structurally Unrelated to Xanthine and Adenine Derivatives. J. Med. Chem. 2012, 55, 3331–3341. [Google Scholar] [CrossRef] [PubMed]
  15. Li, J.; Fan, X.; Deng, J.; Liang, Y.; Ma, S.; Lu, Y.; Zhang, J.; Shi, T.; Tan, W.; Wang, Z. Design and synthesis of 1,3-benzothiazinone derivatives as potential anti-inflammatory agents. Bioorg. Med. Chem. 2020, 28, 115526. [Google Scholar] [CrossRef] [PubMed]
  16. Zhang, P.; Min, Z.; Gao, Y.; Bian, J.; Lin, X.; He, J.; Ye, D.; Li, Y.; Peng, C.; Cheng, Y.; et al. Discovery of Novel Benzothiazepinones as Irreversible Covalent Glycogen Synthase Kinase 3β Inhibitors for the Treatment of Acute Promyelocytic Leukemia. J. Med. Chem. 2021, 64, 7341–7358. [Google Scholar] [CrossRef]
  17. Nicolau, S.M.; de Diego, A.M.G.; Cortés, L.; Egea, J.; González, J.C.; Mosquera, M.; López, M.G.; Hernández-Guijo, J.M.; García, A.G. Mitochondrial Na+/Ca2+-exchanger blocker CGP37157 protects against chromaffin cell death elicited by veratridine. J. Pharmacol. Exp. Ther. 2009, 330, 844–854. [Google Scholar] [CrossRef]
  18. Mitronova, G.Y.; Quentin, C.; Belov, V.N.; Wegener, J.W.; Kiszka, K.A.; Lehnart, S.E. 1,4-Benzothiazepines with Cyclopropanol Groups and Their Structural Analogues Exhibit Both RyR2-Stabilizing and SERCA2a-Stimulating Activities. J. Med. Chem. 2023, 66, 15761–15775. [Google Scholar] [CrossRef]
  19. Kaneko, N.; Matsuda, R.; Hata, Y.; Shimamoto, K. Pharmacological characteristics and clinical applications of K201. Curr. Clin. Pharmacol. 2009, 4, 126–131. [Google Scholar] [CrossRef]
  20. Wong, B.S.; Camilleri, M. Elobixibat for the treatment of constipation. Expert Opin. Investig. Drugs 2013, 22, 277–284. [Google Scholar] [CrossRef]
  21. Magdalenić, K.; Ronse, U.; De Jonghe, S.; Persoons, L.; Schols, D.; De Munck, J.; Grootaert, C.; Van Camp, J.; D’hooghe, M. Synthesis and cancer cell cytotoxicity of 2-aryl-4-(4-aryl-2-oxobut-3-en-1-ylidene)-substituted benzothiazepanes. Phytochem. Lett. 2023, 55, 117–123. [Google Scholar] [CrossRef]
  22. Kaneko, N.; Loughrey, C.M.; Smith, G.; Matsuda, R.; Hasunuma, T.; Mark, P.B.; Toda, M.; Shinozaki, M.; Otani, N.; Kayley, S.; et al. A novel ryanodine receptor 2 inhibitor, M201-A, enhances natriuresis, renal function and lusi-inotropic actions: Preclinical and phase I study. Br. J. Pharmacol. 2024, 181, 3401–3419. [Google Scholar] [CrossRef]
  23. Free, R.B.; Nilson, A.N.; Boldizsar, N.M.; Doyle, T.B.; Rodriguiz, R.M.; Pogorelov, V.M.; Machino, M.; Lee, K.H.; Bertz, J.W.; Xu, J.; et al. Identification and Characterization of ML321: A Novel and Highly Selective D2 Dopamine Receptor Antagonist with Efficacy in Animal Models That Predict Atypical Antipsychotic Activity. ACS Pharmacol. Transl. Sci. 2023, 6, 151–170. [Google Scholar] [CrossRef] [PubMed]
  24. Barcan, G.A.; Kwon, D.-H.; Guo, J.; Kowalski, J.A.; Liu, L.; Nilson, M.; Sisko, J.; Wang, H.; Brown, T.A.; Gholipour-Ranjbar, H. A Sulfur-Controlled Approach to the Synthesis of Linerixibat. J. Org. Chem. 2023, 88, 3970–3974. [Google Scholar] [CrossRef] [PubMed]
  25. Zheng, X.; Gao, L.; Wang, L.; Liang, C.; Wang, B.; Liu, Y.; Feng, S.; Zhang, B.; Zhou, M.; Yu, X.; et al. Discovery of Ziresovir as a Potent, Selective, and Orally Bioavailable Respiratory Syncytial Virus Fusion Protein Inhibitor. J. Med. Chem. 2019, 62, 6003–6014. [Google Scholar] [CrossRef] [PubMed]
  26. Huang, Q.; Cai, D.; Yan, R.; Li, L.; Zong, Y.; Guo, L.; Mercier, A.; Zhou, Y.; Tang, A.; Henne, K.; et al. Preclinical Profile and Characterization of the Hepatitis B Virus Core Protein Inhibitor ABI-H0731. Antimicrob. Agents Chemother. 2020, 64, e01463-20. [Google Scholar] [CrossRef]
  27. Harris, P.A.; Berger, S.B.; Jeong, J.U.; Nagilla, R.; Bandyopadhyay, D.; Campobasso, N.; Capriotti, C.A.; Cox, J.A.; Dare, L.; Dong, X.; et al. Discovery of a First-in-Class Receptor Interacting Protein 1 (RIP1) Kinase Specific Clinical Candidate (GSK2982772) for the Treatment of Inflammatory Diseases. J. Med. Chem. 2017, 60, 1247–1261. [Google Scholar] [CrossRef]
  28. Kent, C.N.; Fulton, M.G.; Stillwell, K.J.; Dickerson, J.W.; Loch, M.T.; Rodriguez, A.L.; Blobaum, A.L.; Boutaud, O.; Rook, J.L.; Niswender, C.M.; et al. Discovery and optimization of a novel CNS penetrant series of mGlu4 PAMs based on a 1,4-thiazepane core with in vivo efficacy in a preclinical Parkinsonian model. Bioorg. Med. Chem. Lett. 2021, 37, 127838. [Google Scholar] [CrossRef]
  29. Fodor, L.; Szabó, J. Cycloaddition reactions of 1,3-benzothiazines–I. Reactions of 2-phenyl-4-H and 4-phenyl-2H-1,3-benzothiazine derivatives with substituted acetyl chlorides. Tetrahedron 1981, 37, 963–966. [Google Scholar] [CrossRef]
  30. Fodor, L.; Szabó, J.; Bernáth, G. Synthesis of 4,5-dihydro-1,4-benzothiazepine derivatives via ring expansion. Tetrahedron Lett. 1981, 22, 5077–5078. [Google Scholar] [CrossRef]
  31. Fodor, L.; Szabó, J.; Szűcs, E.; Bernáth, G.; Sohár, P.; Tamás, J. Ring transformations of 1,3-benzothiazine derivatives II. Conversion of 6α-aryl-7α-chloro-2,3(2′,3′-dialkoxybenzo)-1-thiaoctems into 2-carbomethoxy-3-aryl-7,8-dialkoxy-4,5-dihydro-1,4-benzothiazepines. Tetrahedron 1984, 40, 4089–4095. [Google Scholar] [CrossRef]
  32. Peudru, F.; Lohier, J.-F.; Gulea, M.; Reboul, V. Synthesis of 1,3-thiazines by a three-component reaction and their transformations into β-lactam-condensed 1,3-thiazine and 1,4-thiazepine derivatives. Phosphorus Sulfur Silicon Relat. Elem. 2016, 191, 220–229. [Google Scholar] [CrossRef]
  33. Weichert, A.; Hoffman, H.M.R. Synthesis and Reactions of α-Methylene-β-keto Sulfones. J. Org. Chem. 1991, 56, 4098–4112. [Google Scholar] [CrossRef]
  34. Hsiao, C.-C.; Raja, S.; Liao, H.-H.; Atodiresei, I.; Rueping, M. Ortho-Quinone Methides as Reactive Intermediates in Asymmetric Brønsted Acid Catalyzed Cycloadditions with Unactivated Alkenes by Exclusive Activation of the Electrophile. Angew. Chem. Int. Ed. 2015, 54, 5762–5765. [Google Scholar] [CrossRef] [PubMed]
  35. Edwards, W.D.; Du, M.; Royal, J.S.; McHale, J.L. Theoretical Study of the Charge-Transfer Spectrum of the Indene-Tetracyanoethylene Electron Donor-Acceptor Complex. J. Phys. Chem. 1990, 94, 5748–5752. [Google Scholar] [CrossRef]
  36. Hanessian, S.; Compain, P. Lewis acid promoted cyclocondensations of α-ketophosphonoenoates with dienes—From Diels–Alder to hetero Diels–Alder reactions. Tetrahedron 2002, 58, 6521–6529. [Google Scholar] [CrossRef]
  37. Clayden, J.; Greeves, N.; Warren, S.; Wothers, P. Organic Chemistry; Oxford University Press: Oxford, UK, 2009; p. 919. [Google Scholar]
  38. Sohár, P.; Szabó, J.; Simon, L.; Talpas, G.S.; Szűcs, E.; Bernáth, G. Synthesis and Steric Structure of Alicycle-Fused 1,3-Thiazine-β-lactams. Magn. Reson. Chem. 1991, 29, 687–692. [Google Scholar] [CrossRef]
  39. CrysAlisPro, version 1.171.38.41; Rigaku Oxford Diffraction Inc.: Yarnton, UK, 2015.
  40. CrysAlisPro, version 1.171.42.90a; Rigaku Oxford Diffraction Inc.: Yarnton, UK, 2023.
  41. Sheldrick, G.M. SHELXT—Integrated space-group and crystal-structure determination. Acta Crystallogr. A 2015, 71, 3–8. [Google Scholar] [CrossRef]
  42. Sheldrick, G.M. Crystal structure refinement with SHELXL. Acta Crystallogr. C 2015, 71, 3–8. [Google Scholar] [CrossRef]
  43. Hübschle, C.B.; Sheldrick, G.M.; Dittrich, B. ShelXle: A Qt graphical user interface for SHELXL. J. Appl. Cryst. 2011, 44, 1281–1284. [Google Scholar] [CrossRef]
Figure 1. Examples of β-lactam drugs.
Figure 1. Examples of β-lactam drugs.
Ijms 26 11543 g001
Figure 2. Drugs containing 1,3-thiazine- or 1,4-thiazepine-derived rings.
Figure 2. Drugs containing 1,3-thiazine- or 1,4-thiazepine-derived rings.
Ijms 26 11543 g002
Scheme 1. Transformation of alkenes into 5,6-dihydro-4H-1,3-thiazines, β-lactam-fused 1,3-thiazinanes, and 4,5,6,7-tetrahydro-1,4-thiazepines.
Scheme 1. Transformation of alkenes into 5,6-dihydro-4H-1,3-thiazines, β-lactam-fused 1,3-thiazinanes, and 4,5,6,7-tetrahydro-1,4-thiazepines.
Ijms 26 11543 sch001
Scheme 2. Relative configurations of the stereocenters generated by the hetero-Diels–Alder reaction. In the depicted conformation of N-thioacyl imines, steric repulsion between the large R groups and the big sulfur atom is minimized, and the heterodiene part is in the s-cis conformation required for the [4+2] cycloaddition.
Scheme 2. Relative configurations of the stereocenters generated by the hetero-Diels–Alder reaction. In the depicted conformation of N-thioacyl imines, steric repulsion between the large R groups and the big sulfur atom is minimized, and the heterodiene part is in the s-cis conformation required for the [4+2] cycloaddition.
Ijms 26 11543 sch002
Scheme 3. Synthesis of 5,6-dihydro-4H-1,3-thiazines from norbornadiene.
Scheme 3. Synthesis of 5,6-dihydro-4H-1,3-thiazines from norbornadiene.
Ijms 26 11543 sch003
Figure 3. X-ray structure of product 11ba.
Figure 3. X-ray structure of product 11ba.
Ijms 26 11543 g003
Scheme 4. Relative arrangement of norbornadiene and the heterodiene during cycloaddition.
Scheme 4. Relative arrangement of norbornadiene and the heterodiene during cycloaddition.
Ijms 26 11543 sch004
Scheme 5. Synthesis of 5,6-dihydro-4H-1,3-thiazines from indene.
Scheme 5. Synthesis of 5,6-dihydro-4H-1,3-thiazines from indene.
Ijms 26 11543 sch005
Figure 4. X-ray structure of product 13aa.
Figure 4. X-ray structure of product 13aa.
Ijms 26 11543 g004
Scheme 6. Explanation of the regio- and stereoselectivity of the hetero-Diels–Alder reaction of indene with N-thioacyl imines.
Scheme 6. Explanation of the regio- and stereoselectivity of the hetero-Diels–Alder reaction of indene with N-thioacyl imines.
Ijms 26 11543 sch006
Scheme 7. [4+2] Cycloaddition of 1,5-cyclooctadiene with N-thioacyl imines and key NOESY interactions in products 15 and 16.
Scheme 7. [4+2] Cycloaddition of 1,5-cyclooctadiene with N-thioacyl imines and key NOESY interactions in products 15 and 16.
Ijms 26 11543 sch007
Scheme 8. Attempted hetero-Diels–Alder reaction of 1,3-cyclooctadiene and key NOESY interactions in product 18.
Scheme 8. Attempted hetero-Diels–Alder reaction of 1,3-cyclooctadiene and key NOESY interactions in product 18.
Ijms 26 11543 sch008
Scheme 9. Synthesis of 5,6-dihydro-4H-1,3-thiazines 20 from 1,3-cyclohexadiene and key NOESY interactions in these products.
Scheme 9. Synthesis of 5,6-dihydro-4H-1,3-thiazines 20 from 1,3-cyclohexadiene and key NOESY interactions in these products.
Ijms 26 11543 sch009
Scheme 10. Explanation of the regio- and stereoselectivity of the hetero-Diels–Alder reaction of 1,3-cyclohexadiene with N-thioacyl imines.
Scheme 10. Explanation of the regio- and stereoselectivity of the hetero-Diels–Alder reaction of 1,3-cyclohexadiene with N-thioacyl imines.
Ijms 26 11543 sch010
Scheme 11. Staudinger ketene–imine cycloaddition of 5,6-dihydro-4H-1,3-thiazines 11.
Scheme 11. Staudinger ketene–imine cycloaddition of 5,6-dihydro-4H-1,3-thiazines 11.
Ijms 26 11543 sch011
Figure 5. X-ray structure of product 21bb.
Figure 5. X-ray structure of product 21bb.
Ijms 26 11543 g005
Scheme 12. Competing processes during Staudinger ketene–imine cycloaddition and the effect of water on the reaction.
Scheme 12. Competing processes during Staudinger ketene–imine cycloaddition and the effect of water on the reaction.
Ijms 26 11543 sch012
Scheme 13. Ring expansion of β-lactam-fused 1,3-thiazines 21ba and 21bb.
Scheme 13. Ring expansion of β-lactam-fused 1,3-thiazines 21ba and 21bb.
Ijms 26 11543 sch013
Table 1. Hetero-Diels–Alder reactions of norbornadiene and N-thioacyl imines.
Table 1. Hetero-Diels–Alder reactions of norbornadiene and N-thioacyl imines.
ProductR1R2Yields (Method A)Yields (Method B)
11aaMePh55%45%
11abMe4-Cl-Ph56%
11baPhPh58%50%
11bbPh4-Cl-Ph36%28%
Table 2. Reactions of compounds 16 with chloroketene.
Table 2. Reactions of compounds 16 with chloroketene.
SubstrateR1R2Yield of β-LactamYield of Thioester
11aaMePhnot formed46% 22aa
11abMe4-Cl-Ph12% 21ab25% 22ab
11baPhPh58% 21banot formed
11bbPh4-Cl-Ph56% 21bbnot formed
Disclaimer/Publisher’s Note: The statements, opinions and data contained in all publications are solely those of the individual author(s) and contributor(s) and not of MDPI and/or the editor(s). MDPI and/or the editor(s) disclaim responsibility for any injury to people or property resulting from any ideas, methods, instructions or products referred to in the content.

Share and Cite

MDPI and ACS Style

Palkó, M.; Becker, N.; Wéber, E.; Haukka, M.; Remete, A.M. Synthesis of 1,3-Thiazine and 1,4-Thiazepine Derivatives via Cycloadditions and Ring Expansion. Int. J. Mol. Sci. 2025, 26, 11543. https://doi.org/10.3390/ijms262311543

AMA Style

Palkó M, Becker N, Wéber E, Haukka M, Remete AM. Synthesis of 1,3-Thiazine and 1,4-Thiazepine Derivatives via Cycloadditions and Ring Expansion. International Journal of Molecular Sciences. 2025; 26(23):11543. https://doi.org/10.3390/ijms262311543

Chicago/Turabian Style

Palkó, Márta, Nóra Becker, Edit Wéber, Matti Haukka, and Attila Márió Remete. 2025. "Synthesis of 1,3-Thiazine and 1,4-Thiazepine Derivatives via Cycloadditions and Ring Expansion" International Journal of Molecular Sciences 26, no. 23: 11543. https://doi.org/10.3390/ijms262311543

APA Style

Palkó, M., Becker, N., Wéber, E., Haukka, M., & Remete, A. M. (2025). Synthesis of 1,3-Thiazine and 1,4-Thiazepine Derivatives via Cycloadditions and Ring Expansion. International Journal of Molecular Sciences, 26(23), 11543. https://doi.org/10.3390/ijms262311543

Note that from the first issue of 2016, this journal uses article numbers instead of page numbers. See further details here.

Article Metrics

Back to TopTop