Calcitriol Induces Paraoxonase 1 Expression in HepG2 Cells: Possible Involvement of VDR-Dependent and Alternative Pathways
Abstract
1. Introduction
2. Results
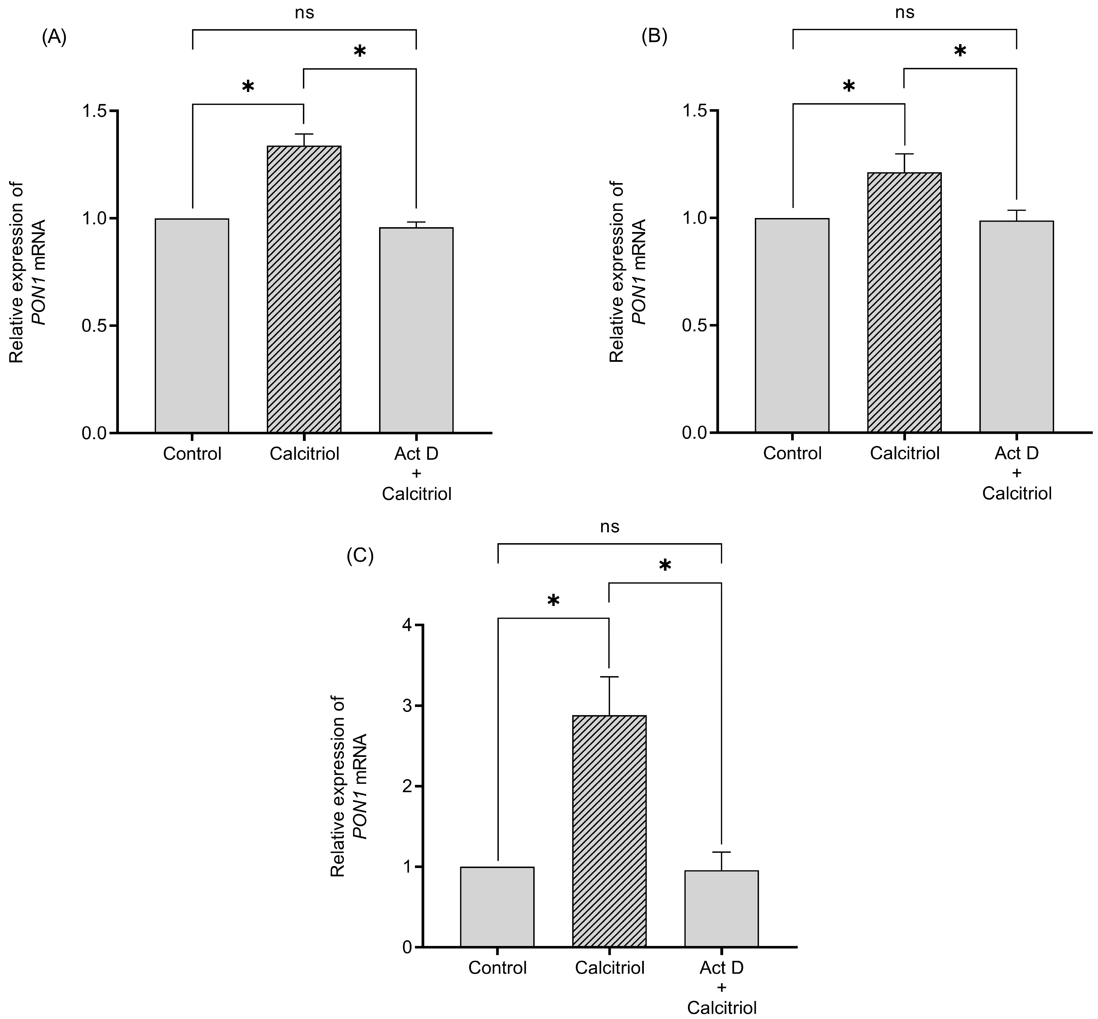
2.1. CYP3A4 and PON1 mRNA Expression Levels
2.2. PON1 Activity
2.3. Molecular Docking
2.4. Molecular Dynamics
3. Discussion
4. Material and Methods
4.1. Materials and Reagents
4.2. Cell Culture and Treatment
4.3. Cell Viability by Determination of Metabolic Capacity
4.4. Isolation of Total RNA
4.5. cDNA Synthesis
4.6. Analysis of CYP3A4 and PON1 mRNA Expression
Quantitative Real-Time Polymerase Chain Reaction (qRT-PCR)
4.7. PON1 Enzymatic Activity
4.8. Molecular Modeling
4.8.1. Structure Editing of Flexible Loop
4.8.2. Molecular Docking Study of Calcitriol
4.8.3. Molecular Dynamics Simulation of PON1–Calcitriol Complex
4.9. Statistical Analysis
Author Contributions
Funding
Institutional Review Board Statement
Informed Consent Statement
Data Availability Statement
Conflicts of Interest
References
- Furlong, C.E.; Marsillach, J.; Jarvik, G.P.; Costa, L.G. Paraoxonases-1, -2 and -3: What are their functions? Chem. Interact. 2016, 259, 51–62. [Google Scholar] [CrossRef]
- Précourt, L.-P.; Marcil, V.; Ntimbane, T.; Taha, R.; Lavoie, J.-C.; Delvin, E.; Seidman, E.G.; Beaulieu, J.-F.; Levy, E. Antioxidative properties of paraoxonase 2 in intestinal epithelial cells. Am. J. Physiol. Liver Physiol. 2012, 303, G623–G634. [Google Scholar] [CrossRef]
- Androutsopoulos, V.P.; Kanavouras, K.; Tsatsakis, A.M. Role of paraoxonase 1 (PON1) in organophosphate metabolism: Implications in neurodegenerative diseases. Toxicol. Appl. Pharmacol. 2011, 256, 418–424. [Google Scholar] [CrossRef]
- Paul, K.C.; Sinsheimer, J.S.; Cockburn, M.; Bronstein, J.M.; Bordelon, Y.; Ritz, B. Organophosphate pesticides and PON1 L55M in Parkinson’s disease progression. Environ. Int. 2017, 107, 75–81. [Google Scholar] [CrossRef] [PubMed]
- Kresanov, P.; Vasankari, T.; Ahotupa, M.; Kaikkonen, J.; Hutri-Kähönen, N.; Juonala, M.; Kähönen, M.; Lehtimäki, T.; Viikari, J.; Raitakari, O.T. Paraoxonase-1 and oxidized lipoprotein lipids. The Cardiovascular Risk in Young Finns Study. Atherosclerosis 2015, 241, 502–506. [Google Scholar] [CrossRef] [PubMed]
- González, F.E.M.; Ponce-Ruíz, N.; Rojas-García, A.E.; Bernal-Hernández, Y.Y.; Mackness, M.; Ponce-Gallegos, J.; Cardoso-Saldaña, G.; Jorge-Galarza, E.; Torres-Tamayo, M.; Medina-Díaz, I.M. PON1 concentration and high-density lipoprotein characteristics as cardiovascular biomarkers. Arch. Med. Sci. Atheroscler. Dis. 2019, 4, e47–e54. [Google Scholar] [CrossRef] [PubMed]
- Otocka-Kmiecik, A.; Orlowska-Majdak, M. The role of genetic (PON1 polymorphism) and environmental factors, especially physical activity, in antioxidant function of paraoxonase. Postepy Hig. Med. Dosw. 2009, 63, 668–677. [Google Scholar]
- Longo, A.; Veiga, G.B.; Cousen, M.I.S.; Karpinski, C.; Schneider, A.; Weber, B.; Bertoldi, E.G.; Borges, L.R.; Bertacco, R.T.A. Factors associated to serum paraoxonase 1 activity in patients with cardiovascular disease. Arq. Bras. Endocrinol. Metabol. 2021, 65, 676–683. [Google Scholar] [CrossRef]
- Fuhrman, B. Regulation of Hepatic Paraoxonase-1 Expression. J. Lipids 2012, 2012, 684010. [Google Scholar] [CrossRef]
- Ponce-Ruiz, N.; Rojas-García, A.; Barrón-Vivanco, B.; Elizondo, G.; Bernal-Hernández, Y.; Mejía-García, A.; Medina-Díaz, I. Transcriptional regulation of human paraoxonase 1 by PXR and GR in human hepatoma cells. Toxicol. Vitr. 2015, 30, 348–354. [Google Scholar] [CrossRef]
- Gouédard, C.; Koum-Besson, N.; Barouki, R.; Morel, Y. Opposite regulation of the human paraoxonase-1 Gene PON-1 by fenofibrate and statins. Mol. Pharmacol. 2003, 63, 945–956. [Google Scholar] [CrossRef] [PubMed]
- Wallace, B.D.; Betts, L.; Talmage, G.; Pollet, R.M.; Holman, N.S.; Redinbo, M.R. Structural and functional analysis of the human nuclear xenobiotic receptor PXR in complex with RXRα. J. Mol. Biol. 2013, 425, 2561–2577. [Google Scholar] [CrossRef] [PubMed]
- Gouédard, C.; Barouki, R.; Morel, Y. Dietary polyphenols increase paraoxonase 1 gene expression by an aryl hydrocarbon receptor-dependent mechanism. Mol. Cell. Biol. 2004, 24, 5209–5222. [Google Scholar] [CrossRef] [PubMed]
- Carlberg, C.; Campbell, M.J. Vitamin D receptor signaling mechanisms: Integrated actions of a well-defined transcription factor. Steroids 2013, 78, 127–136. [Google Scholar] [CrossRef]
- Elizondo, G.; Medina-Díaz, I.M. Induction of CYP3A4 by 1α,25-dyhydroxyvitamin D3 in HepG2 cells. Life Sci. 2003, 73, 141–149. [Google Scholar] [CrossRef]
- Ben-David, M.; Elias, M.; Filippi, J.-J.; Duñach, E.; Silman, I.; Sussman, J.L.; Tawfik, D.S. Catalytic Versatility and Backups in Enzyme Active Sites: The Case of Serum Paraoxonase 1. J. Mol. Biol. 2012, 418, 181–196. [Google Scholar] [CrossRef]
- Sierra-Campos, E.; Valdez-Solana, M.; Avitia-Domínguez, C.; Campos-Almazán, M.; Flores-Molina, I.; García-Arenas, G.; Téllez-Valencia, A. Effects of Moringa oleifera Leaf Extract on Diabetes-Induced Alterations in Paraoxonase 1 and Catalase in Rats Analyzed through Progress Kinetic and Blind Docking. Antioxidants 2020, 9, 840. [Google Scholar] [CrossRef]
- Costa, L.G.; Giordano, G.; Furlong, C.E. Pharmacological and dietary modulators of paraoxonase 1 (PON1) activity and expression: The hunt goes on. Biochem. Pharmacol. 2011, 81, 337–344. [Google Scholar] [CrossRef]
- Rajkovic, M.G.; Rumora, L.; Barisic, K. The paraoxonase 1, 2 and 3 in humans. Biochem. Medica 2011, 21, 122–130. [Google Scholar] [CrossRef]
- Grzegorzewska, A.E.; Adamska, P.; Iwańczyk-Skalska, E.; Ostromecka, K.; Niepolski, L.; Marcinkowski, W.; Mostowska, A.; Warchoł, W.; Żaba, C.; Jagodziński, P.P. Paraoxonase 1 concerning dyslipidaemia, cardiovascular diseases, and mortality in haemodialysis patients. Sci. Rep. 2021, 11, 6773. [Google Scholar] [CrossRef]
- Schrader, C.; Rimbach, G. Determinants of Paraoxonase 1 status: Genes, drugs and nutrition. Curr. Med. Chem. 2011, 18, 5624–5643. [Google Scholar] [CrossRef] [PubMed]
- Tao, L.J.; Seo, D.E.; Jackson, B.; Ivanova, N.B.; Santori, F.R. Nuclear Hormone Receptors and Their Ligands: Metabolites in Control of Transcription. Cells 2020, 9, 2606. [Google Scholar] [CrossRef] [PubMed]
- Ziglam, H.; Daniels, I.; Finch, R. Immunomodulating Activity of Rifampicin. J. Chemother. 2004, 16, 357–361. [Google Scholar] [CrossRef] [PubMed]
- Han, C.Y.; Chiba, T.; Campbell, J.S.; Fausto, N.; Chaisson, M.; Orasanu, G.; Plutzky, J.; Chait, A. Reciprocal and coordinate regulation of serum amyloid A vs. apolipoprotein A-I and paraoxonase-1 by inflammation in murine hepatocytes. Arter. Thromb. Vasc. Biol. 2006, 26, 1806–1813. [Google Scholar] [CrossRef]
- Taler-Verčič, A.; Goličnik, M.; Bavec, A. The Structure and Function of Paraoxonase-1 and Its Comparison to Paraoxonase-2 and -3. Molecules 2020, 25, 5980. [Google Scholar] [CrossRef]
- Ponce-Ruiz, N.; Murillo-González, F.E.; Rojas-García, A.E.; Bernal-Hernández, Y.Y.; Mackness, M.; Ponce-Gallegos, J.; Barrón-Vivanco, B.S.; Hernández-Ochoa, I.; González-Arias, C.A.; Ortega-Cervantes, L.; et al. Phenotypes and concentration of PON1 in cardiovascular disease: The role of nutrient intake. Nutr. Metab. Cardiovasc. Dis. 2020, 30, 40–48. [Google Scholar] [CrossRef]
- Sarandol, E.; Tas, S.; Serdar, Z.; Dirican, M. Effects of thiamine treatment on oxidative stress in experimental diabetes. Bratisl. Med. J. 2020, 121, 235–241. [Google Scholar] [CrossRef]
- Ardalić, D.; Stefanović, A.; Kotur-Stevuljević, J.; Vujović, A.; Spasić, S.; Spasojević-Kaliomanvska, V.; Jelić-Ivanović, Z.; Mandić-Marković, V.; Miković, Z.; Cerović, N. The influence of maternal smoking habits before pregnancy and antioxidative supplementation during pregnancy on oxidative stress status in a non-complicated pregnancy. Adv. Clin. Exp. Med. 2014, 23, 575–583. [Google Scholar] [CrossRef]
- Makariou, S.E.; Challa, A.; Siomou, E.; Tellis, C.; Tselepis, A.; Elisaf, M.; Liberopoulos, E. Vitamin D status and cardiometabolic risk factors in Greek adolescents with obesity—The effect of vitamin D supplementation: A pilot study. Arch. Med. Sci. Atheroscler. Dis. 2020, 5, 64–71. [Google Scholar] [CrossRef]
- Chehsmazar, E.; Zarrati, M.; Yazdani, B.; Razmpoosh, E.; Hosseini, A.F.; Shidfar, F. The effect of vitamin D supplementation on serum concentrations of dehydroepiandrosterone, paraoxonase 1, apolipoproteins, free fatty acid and insulin in vitamin D deficient obese and overweight individuals under a low-calorie diet program: A randomized controlled trial. Nutr. Food Sci. 2021, 51, 765–780. [Google Scholar] [CrossRef]
- Liu, T.; Zhang, L.; Joo, D.; Sun, S.-C. NF-κB signaling in inflammation. Signal Transduct. Target. Ther. 2017, 2, 17023. [Google Scholar] [CrossRef]
- Krishnan, A.V.; Feldman, D. Mechanisms of the anti-cancer and anti-inflammatory actions of vitamin D. Annu. Rev. Pharmacol. Toxicol. 2011, 51, 311–336. [Google Scholar] [CrossRef] [PubMed]
- Matilainen, J.M.; Husso, T.; Toropainen, S.; Seuter, S.; Turunen, M.P.; Gynther, P.; Ylä-Herttuala, S.; Carlberg, C.; Väisänen, S. Primary effect of 1α,25(OH)2D3 on IL-10 expression in monocytes is short-term down-regulation. Biochim. Biophys. Acta (BBA) Mol. Cell Res. 2010, 1803, 1276–1286. [Google Scholar] [CrossRef] [PubMed]
- Schottelius, A.J.G.; Mayo, M.W.; Sartor, R.B.; Baldwin, A.S. Interleukin-10 signaling blocks inhibitor of κB kinase activity and nuclear factor κB DNA binding. J. Biol. Chem. 1999, 274, 31868–31874. [Google Scholar] [CrossRef] [PubMed]
- Slominski, A.T.; Kim, T.-K.; Janjetovic, Z.; Slominski, R.M.; Li, W.; Jetten, A.M.; Indra, A.K.; Mason, R.S.; Tuckey, R.C. Biological Effects of CYP11A1-Derived Vitamin D and Lumisterol Metabolites in the Skin. J. Investig. Dermatol. 2024, 144, 2145–2161. [Google Scholar] [CrossRef]
- Qayyum, S.; Mohammad, T.; Slominski, R.M.; Hassan, I.; Tuckey, R.C.; Raman, C.; Slominski, A.T. Vitamin D and lumisterol novel metabolites can inhibit SARS-CoV-2 replication machinery enzymes. Am. J. Physiol. Metab. 2021, 321, E246–E251. [Google Scholar] [CrossRef]
- Lewoń-Mrozek, D.; Kurzynoga, J.; Jędrzejewski, P.; Kędzierska, K.; Partyka, A.; Kuriata-Kordek, M.; Ściskalska, M. Molecular Structure of Paraoxonase-1 and Its Modifications in Relation to Enzyme Activity and Biological Functions—A Comprehensive Review. Int. J. Mol. Sci. 2024, 25, 13129. [Google Scholar] [CrossRef]
- Huang, Y.; Wu, Z.; Riwanto, M.; Gao, S.; Levison, B.S.; Gu, X.; Fu, X.; Wagner, M.A.; Besler, C.; Gerstenecker, G.; et al. Myeloperoxidase, paraoxonase-1, and HDL form a functional ternary complex. J. Clin. Investig. 2013, 123, 3815–3828. [Google Scholar] [CrossRef]
- Muiz, M.; Ashok Prabhu, K.; Durga Rao, Y. Paraoxonase and vitamin D status in subjects with elevated LDL. Biomedicine 2022, 42, 252–255. [Google Scholar] [CrossRef]
- Arzumanian, V.A.; Kiseleva, O.I.; Poverennaya, E.V. The Curious Case of the HepG2 Cell Line: 40 Years of Expertise. Int. J. Mol. Sci. 2021, 22, 13135. [Google Scholar] [CrossRef]
- Garcia-Maldonado, E.; Huber, A.D.; Chai, S.C.; Nithianantham, S.; Li, Y.; Wu, J.; Poudel, S.; Miller, D.J.; Seetharaman, J.; Chen, T. Chemical manipulation of an activation/inhibition switch in the nuclear receptor PXR. Nat. Commun. 2024, 15, 4054. [Google Scholar] [CrossRef]
- Gotlieb, N.; Tachlytski, I.; Lapidot, Y.; Sultan, M.; Safran, M.; Ben-Ari, Z. Hepatitis B virus downregulates vitamin D receptor levels in hepatoma cell lines, thereby preventing vitamin D-dependent inhibition of viral transcription and production. Mol. Med. 2018, 24, 53. [Google Scholar] [CrossRef]
- Yang, S.; Ooka, M.; Margolis, R.J.; Xia, M. Liver three-dimensional cellular models for high-throughput chemical testing. Cell Rep. Methods 2023, 3, 100432. [Google Scholar] [CrossRef] [PubMed]
- Tyakht, A.V.; Ilina, E.N.; Alexeev, D.G.; Ischenko, D.S.; Gorbachev, A.Y.; Semashko, T.A.; Larin, A.K.; Selezneva, O.V.; Kostryukova, E.S.; Karalkin, P.A.; et al. RNA-Seq gene expression profiling of HepG2 cells: The influence of experimental factors and comparison with liver tissue. BMC Genom. 2014, 15, 1108. [Google Scholar] [CrossRef] [PubMed]
- Mosmann, T. Rapid colorimetric assay for cellular growth and survival: Application to proliferation and cytotoxicity assays. J. Immunol. Methods 1983, 65, 55–63. [Google Scholar] [CrossRef] [PubMed]
- Livak, K.J.; Schmittgen, T.D. Analysis of relative gene expression data using real-time quantitative PCR and the 2−ΔΔCT Method. Methods 2001, 25, 402–408. [Google Scholar] [CrossRef]
- Deakin, S.; Leviev, I.; Gomaraschi, M.; Calabresi, L.; Franceschini, G.; James, R.W. Enzymatically active paraoxonase-1 is located at the external membrane of producing cells and released by a high affinity, saturable, desorption mechanism. J. Biol. Chem. 2002, 277, 4301–4308. [Google Scholar] [CrossRef]
- Billecke, S.; Draganov, D.; Counsell, R.; Stetson, P.; Watson, C.; Hsu, C.; La Du, B.N. Human serum paraoxonase (PON1) isozymes Q and R hydrolyze lactones and cyclic carbonate esters. Drug Metab. Dispos. 2000, 28, 1335–1342. [Google Scholar] [CrossRef]
- Berman, H.; Henrick, K.; Nakamura, H. Announcing the worldwide Protein Data Bank. Nat. Struct. Mol. Biol. 2003, 10, 980. [Google Scholar] [CrossRef]
- Blaha-Nelson, D.; Krüger, D.M.; Szeler, K.; Ben-David, M.; Kamerlin, S.C.L. Active Site Hydrophobicity and the Convergent Evolution of Paraoxonase Activity in Structurally Divergent Enzymes: The Case of Serum Paraoxonase 1. J. Am. Chem. Soc. 2017, 139, 1155–1167. [Google Scholar] [CrossRef]
- Molecular Graphics and Analyses Performed with UCSF Chimera, Developed by the Resource for Biocomputing, Visualization, and Informatics at the University of California, San Francisco, with Support from NIH P41-GM103311. Available online: https://www.cgl.ucsf.edu/chimera/ (accessed on 16 August 2025).
- Pettersen, E.F.; Goddard, T.D.; Huang, C.C.; Couch, G.S.; Greenblatt, D.M.; Meng, E.C.; Ferrin, T.E. UCSF Chimera? A visualization system for exploratory research and analysis. J. Comput. Chem. 2004, 25, 1605–1612. [Google Scholar] [CrossRef]
- Šali, A.; Blundell, T.L. Comparative protein modelling by satisfaction of spatial restraints. J. Mol. Biol. 1993, 234, 779–815. [Google Scholar] [CrossRef]
- Molecular Operating Environment (MOE), 2022.02 Chemical Computing Group ULC,1010 Sherbooke St. West, Suite #910, Montreal, QC, Canada, H3A 2R7. 2022. Available online: https://www.chemcomp.com/ (accessed on 16 August 2025).
- Eberhardt, J.; Santos-Martins, D.; Tillack, A.F.; Forli, S. AutoDock Vina 1.2.0: New Docking Methods, Expanded Force Field, and Python Bindings. J. Chem. Inf. Model. 2021, 61, 3891–3898. [Google Scholar] [CrossRef] [PubMed]
- Trott, O.; Olson, A.J. AutoDock Vina: Improving the speed and accuracy of docking with a new scoring function, efficient optimization, and multithreading. J. Comput. Chem. 2010, 31, 455–461. [Google Scholar] [CrossRef] [PubMed]
- Phillips, J.C.; Braun, R.; Wang, W.; Gumbart, J.; Tajkhorshid, E.; Villa, E.; Chipot, C.; Skeel, R.D.; Kalé, L.; Schulten, K. Scalable molecular dynamics with NAMD. J. Comput. Chem. 2005, 26, 1781–1802. [Google Scholar] [CrossRef] [PubMed]
- Dodda, L.S.; Vilseck, J.Z.; Tirado-Rives, J.; Jorgensen, W.L. 1.14*CM1A-LBCC: Localized bond-charge corrected CM1A charges for condensed-phase simulations. J. Phys. Chem. B 2017, 121, 3864–3870. [Google Scholar] [CrossRef]
- Dodda, L.S.; de Vaca, I.C.; Tirado-Rives, J.; Jorgensen, W.L. LigParGen web server: An automatic OPLS-AA parameter generator for organic ligands. Nucleic Acids Res. 2017, 45, W331–W336. [Google Scholar] [CrossRef]
- Jorgensen, W.L.; Tirado-Rives, J. Potential energy functions for atomic-level simulations of water and organic and biomolecular systems. Proc. Natl. Acad. Sci. USA 2005, 102, 6665–6670. [Google Scholar] [CrossRef]
- Humphrey, W.; Dalke, A.; Schulten, K. VMD: Visual molecular dynamics. J. Mol. Graph. 1996, 14, 33–38. [Google Scholar] [CrossRef]







Disclaimer/Publisher’s Note: The statements, opinions and data contained in all publications are solely those of the individual author(s) and contributor(s) and not of MDPI and/or the editor(s). MDPI and/or the editor(s) disclaim responsibility for any injury to people or property resulting from any ideas, methods, instructions or products referred to in the content. |
© 2025 by the authors. Licensee MDPI, Basel, Switzerland. This article is an open access article distributed under the terms and conditions of the Creative Commons Attribution (CC BY) license (https://creativecommons.org/licenses/by/4.0/).
Share and Cite
Navarro-García, F.; Rojas-García, A.E.; Ávila-Villarreal, G.; Hidalgo-Figueroa, S.; Barrón-Vivanco, B.S.; González-Arias, C.A.; Bernal-Hernández, Y.Y.; Herrera-Moreno, J.F.; Elizondo, G.; Medina-Franco, J.L.; et al. Calcitriol Induces Paraoxonase 1 Expression in HepG2 Cells: Possible Involvement of VDR-Dependent and Alternative Pathways. Int. J. Mol. Sci. 2025, 26, 7948. https://doi.org/10.3390/ijms26167948
Navarro-García F, Rojas-García AE, Ávila-Villarreal G, Hidalgo-Figueroa S, Barrón-Vivanco BS, González-Arias CA, Bernal-Hernández YY, Herrera-Moreno JF, Elizondo G, Medina-Franco JL, et al. Calcitriol Induces Paraoxonase 1 Expression in HepG2 Cells: Possible Involvement of VDR-Dependent and Alternative Pathways. International Journal of Molecular Sciences. 2025; 26(16):7948. https://doi.org/10.3390/ijms26167948
Chicago/Turabian StyleNavarro-García, Fidel, Aurora E. Rojas-García, Gabriela Ávila-Villarreal, Sergio Hidalgo-Figueroa, Briscia S. Barrón-Vivanco, Cyndia A. González-Arias, Yael Y. Bernal-Hernández, José F. Herrera-Moreno, Guillermo Elizondo, José L. Medina-Franco, and et al. 2025. "Calcitriol Induces Paraoxonase 1 Expression in HepG2 Cells: Possible Involvement of VDR-Dependent and Alternative Pathways" International Journal of Molecular Sciences 26, no. 16: 7948. https://doi.org/10.3390/ijms26167948
APA StyleNavarro-García, F., Rojas-García, A. E., Ávila-Villarreal, G., Hidalgo-Figueroa, S., Barrón-Vivanco, B. S., González-Arias, C. A., Bernal-Hernández, Y. Y., Herrera-Moreno, J. F., Elizondo, G., Medina-Franco, J. L., & Medina-Díaz, I. M. (2025). Calcitriol Induces Paraoxonase 1 Expression in HepG2 Cells: Possible Involvement of VDR-Dependent and Alternative Pathways. International Journal of Molecular Sciences, 26(16), 7948. https://doi.org/10.3390/ijms26167948

