Shading Treatment Reduces Grape Sugar Content by Suppressing Photosynthesis-Antenna Protein Pathway Gene Expression in Grape Berries
Abstract
1. Introduction
2. Results
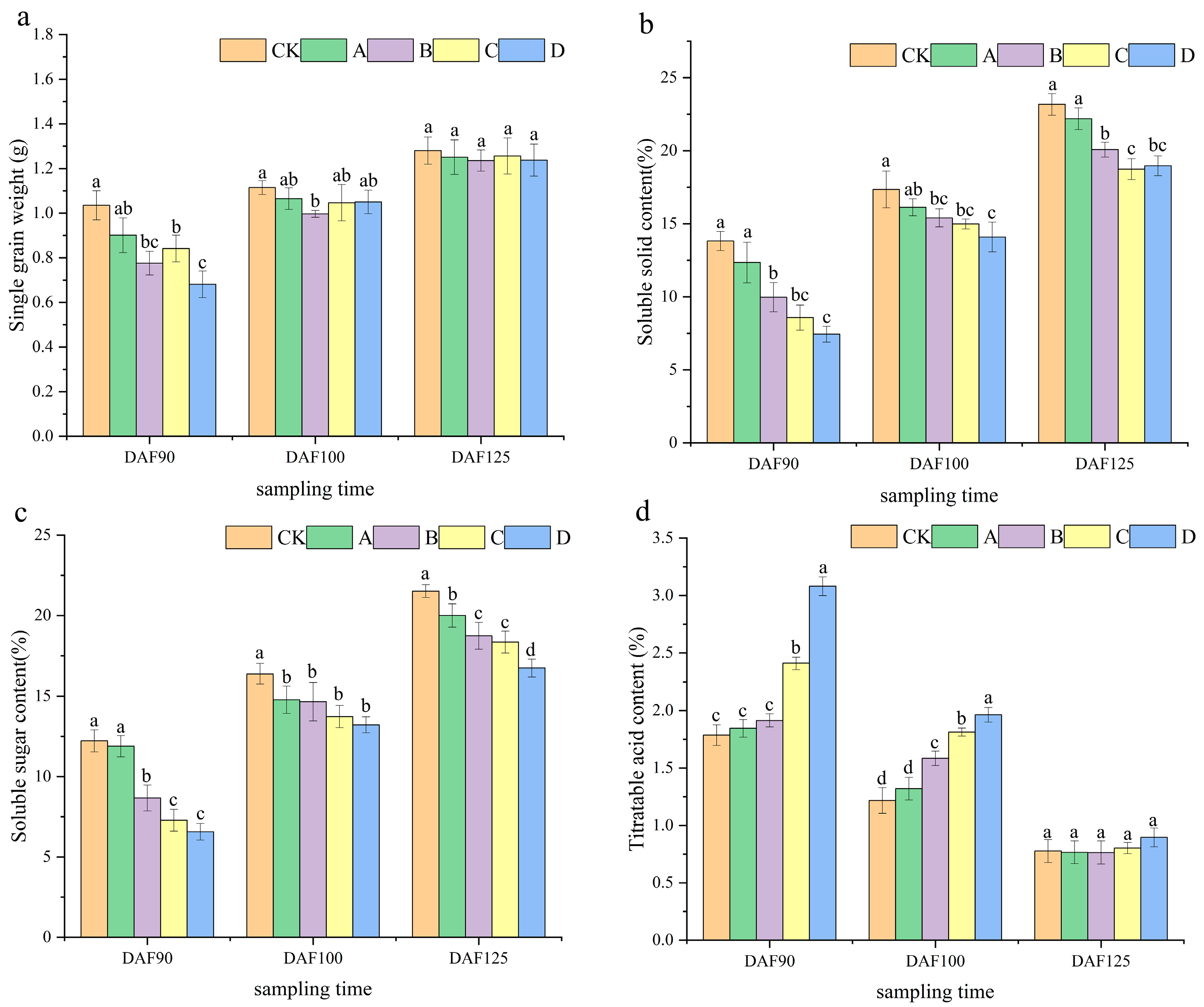
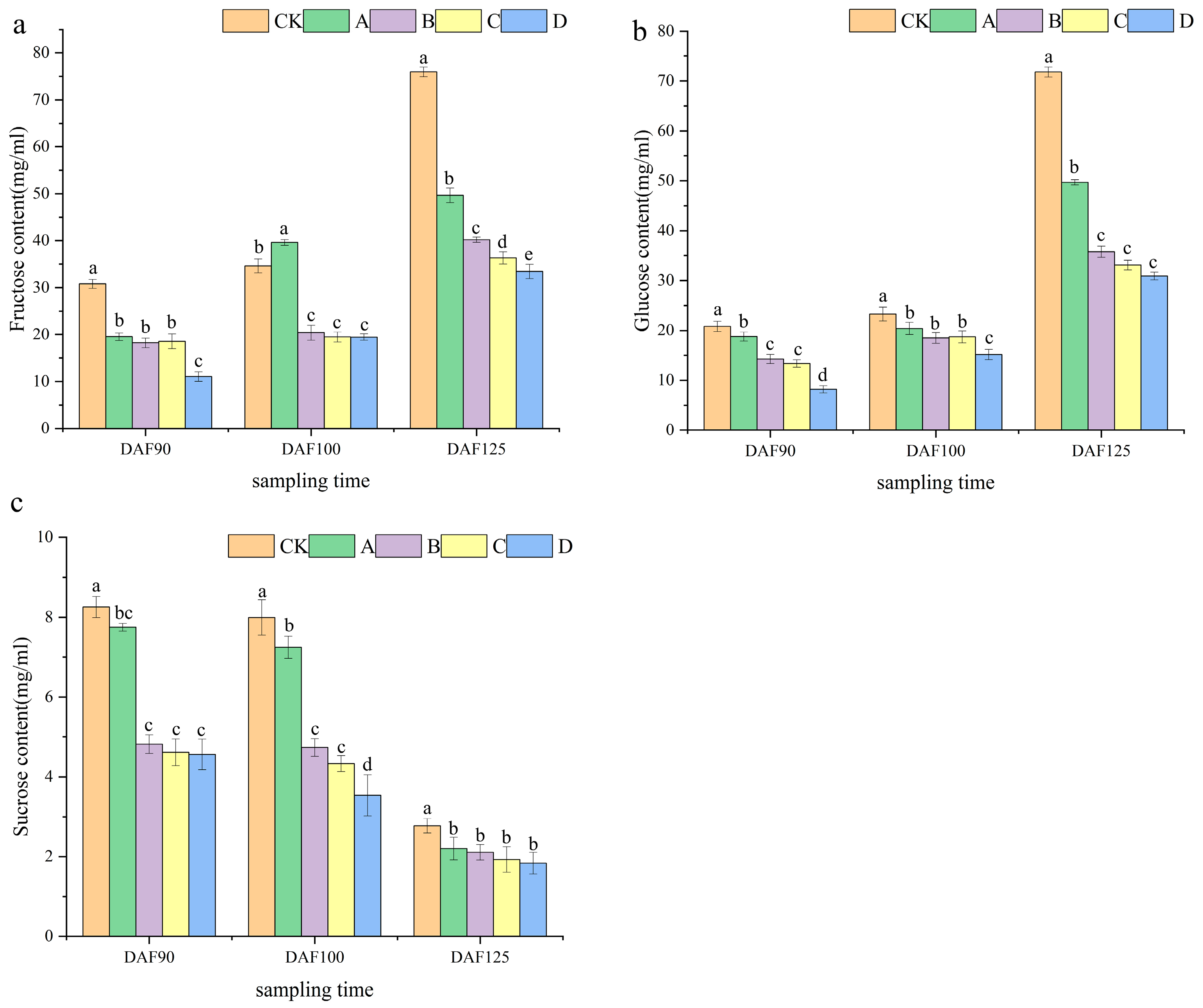
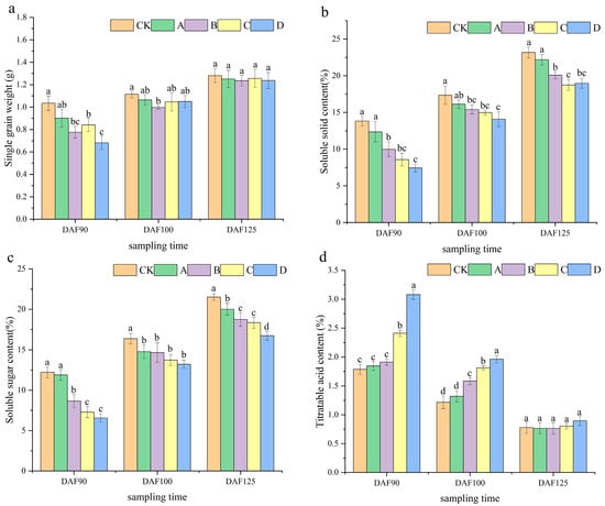
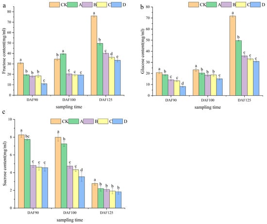
2.1. Analysis of Grape Berry Quality after Cluster Shading
2.2. Differential Gene Screening
2.3. Mechanism of Influence of Different Expression Groups of Proteins through the Photosynthesis-Antenna Protein Pathway on the Sugar Content in the Grape Cluster
2.4. Correlation Analysis between Berries’ Sugar Content and Differential Genes
2.5. Real-Time Fluorescence Quantitative PCR Analysis
3. Discussion
4. Methods
4.1. Plant Materials
4.2. Determination of Color Conversion Rate of Grape Berries
4.3. Determination of Grape Berries’ Color Value
4.4. Determination of Individual Grape Berries’ Weight
4.5. Determination of Soluble Solids and Soluble Sugar in Grape Berries
4.6. Determination of Acid Content in Grape Berries
4.7. Determination of Sugar Components in Grape Berries
4.8. Correlation Analysis of Sugar Content in Grape Berries and Differential Genes
4.9. RNA Extraction and qRT-PCR
4.10. Data Analysis
5. Conclusions
Supplementary Materials
Author Contributions
Funding
Institutional Review Board Statement
Informed Consent Statement
Data Availability Statement
Conflicts of Interest
References
- Qin, S.; Han, Z.; Chen, H.; Wang, H.; Guo, C. High-Quality Development of Chinese Agriculture under Factor Misallocation. Int. J. Environ. Res. Public Health 2022, 19, 9804. [Google Scholar] [CrossRef] [PubMed]
- Romero, I.; Vazquez Hernandez, M.; MaestroGaitan, I.; Escribano, M.I.; Merodio, C.; SanchezBallesta, M.T. Table Grapes during Postharvest Storage: A Review of the Mechanisms Implicated in the Beneficial Effects of Treatments Applied for Quality Retention. Int. J. Mol. Sci. 2020, 21, 9320. [Google Scholar] [CrossRef] [PubMed]
- Wang, Y.L.; Li, Y.K.; Sun, T.; Milne, E.; Yang, Y.J.; Liu, K.L.; Li, J.H.; Yan, P.Y.; Zhao, C.Y.; Li, S.; et al. Environmental impact of organic and conventional wine grape production, a case study from Wuwei wine region, Gansu Province, China. Ecol. Indic. 2023, 154, 110730. [Google Scholar] [CrossRef]
- OhanaLevi, N.; Netzer, Y. Long-Term Trends of Global Wine Market. Agriculture 2023, 13, 224. [Google Scholar] [CrossRef]
- Sabra, A.; Netticadan, T.; Wijekoon, C. Grape bioactive molecules, and the potential health benefits in reducing the risk of heart diseases. Food Chem. X 2021, 12, 100149. [Google Scholar] [CrossRef] [PubMed]
- Miao, H.X.; Jin, Z.Q.; Liu, W.X.; Liu, J.H.; Jia, C.H.; Zhang, J.B.; Xu, B.Y. Correlation between Resistant Starch Metabolism and Soluble Sugar Content of Banana Fruit. J. Plant Physiol. 2013, 49, 743–748. [Google Scholar]
- Li, W.M.; Chen, J.J.; Duan, Y.J.; Hu, H.G.; Pang, Z.C.; Hu, Y.L. Effects of anti-ethylene treatments on polysaccharide metabolism, fruit softening and their relationship with postharvest cracking of atemoya fruit. J. Plant Physiol. 2018, 54, 1727–1736. [Google Scholar]
- He, Y.; Chen, R.; Yang, Y.; Liang, J.C.; Zhang, H.; Deng, X.M.; Xi, R.C. Sugar Metabolism and Transcriptome Analysis Reveal Key Sugar Transporters during Camellia oleifera Fruit Development. Int. J. Mol. Sci. 2022, 23, 822. [Google Scholar] [CrossRef] [PubMed]
- Liu, H.F.; Wu, B.H.; Fan, P.G.; Li, S.H. Sugar and acid concentrations in 98 grape cultivars analyzed by principal component analysis. J. Sci. Food Agric. 2006, 86, 1526–1536. [Google Scholar] [CrossRef]
- Qazi, H.A.; Paranjpe, S.; Bhargava, S. Stem sugar accumulation in sweet sorghum—Activity and expression of sucrose metabolizing enzymes and sucrose transporters. J. Plant Physiol. 2014, 171, 1204. [Google Scholar] [CrossRef]
- Zheng, J.; Huang, C.; Yang, B.; Kallio, H.; Liu, P.; Ou, S. Regulation of phytochemicals in fruits and berries by environmental variation-Sugars and organic acids. J. Food Biochem. 2019, 43, e12642. [Google Scholar] [CrossRef] [PubMed]
- Lecourieux, F.; Kappel, C.; Lecourieux, D.; Serrano, A.; Torres, E.; Arce-Johnson, P.; Delrot, S. An update on sugar transport and signalling in grapevine. J. Exp. Bot. 2014, 65, 821–832. [Google Scholar] [CrossRef] [PubMed]
- Saavedra, T.; Gama, F.; Rodrigues, M.A.; Abadía, J.; de Varennes, A.; Pestana, M.; Da Silva, J.P.; Correia, P.J. Effects of foliar application of organic acids on strawberry plants. Plant Physiol. Biochem. 2022, 188, 12–20. [Google Scholar] [CrossRef] [PubMed]
- Ali, M.B.; Howard, S.; Chen, S.; Wang, Y.; Yu, O.; Kovacs, L.G.; Qiu, W. Berry skin development in Norton grape: Distinct patterns of transcriptional regulation and flavonoid biosynthesis. BMC Plant Biol. 2011, 11, 7. [Google Scholar] [CrossRef]
- Wang, M.J.; Song, P.H.; Lu, H.L.; Xiao, L.Z.; Liang, W.W.; Lu, Y.B.; Hu, X.X.; Ye, W.J. Influences of shading on fruit quality of two kinds of table grapes. J. Jiang Su Agric. Sci. 2022, 50, 162–166. [Google Scholar]
- Liu, X.; Yuan, M.; Dang, S.; Zhou, J.; Zhang, Y. Comparative transcriptomic analysis of transcription factors and hormones during flower bud differentiation in ‘Red Globe’ grape under red‒blue light. Sci. Rep. 2023, 13, 8932. [Google Scholar] [CrossRef] [PubMed]
- Xie, A.Q.; Lv, M.W.; Zhang, D.L.; Shi, Y.J.; Yang, L.J.; Yang, X.; Du, J.; Sun, L.M.; Sun, X. Effects of slight shading in summer on the leaf senescence and endogenous hormone and polyamine contents in herbaceous peony. Sci. Rep. 2023, 13, 18714. [Google Scholar] [CrossRef] [PubMed]
- Yang, M.; Liu, M.; Lu, J.; Yang, H. Effects of shading on the growth and leaf photosynthetic characteristics of three forages in an apple orchard on the Loess Plateau of eastern Gansu. China Peer J. 2019, 7, e7594. [Google Scholar] [CrossRef] [PubMed]
- Zhang, Z.; Qiao, D.; He, L.; Pan, Q.; Wang, S. Effects of vine top shading on the accumulation of C6/C9 compounds in ‘Cabernet Sauvignon’ (Vitis vinifera L.) grape berries in northwestern China. J. Sci. Food Agric. 2022, 102, 1862–1871. [Google Scholar] [CrossRef]
- Campbell, J.R.; Thomas, W.; Waterhouse, A.L.; Kennedy, J.A. Effect of Applied Shading During Fruit Ripening on Tannin Structure-Activity Relationships of Grape Skin Extracts. J. Sci. Food Agric. 2023, 104, 352–361. [Google Scholar] [CrossRef]
- Wei, Y.C.; Lu, X.; Bao, J.Y.; Zhang, C.C.; Yan, H.K.; Li, K.; Gong, M.; Li, S.; Ma, S. Identification and expression analysis of chlorophyll a/b binding protein gene family in grape (Vitis vinifera). Physiol. Mol. Biol. Plants 2022, 28, 1147–1158. [Google Scholar] [CrossRef] [PubMed]
- Broglie, R.; Bellemare, G.; Bartlett, S.G.; Chua, N.H.; Cashmore, A.R. Cloned DNA sequences complementary to mRNAs encoding precursors to the small subunit of ribulose-1,5-bisphosphate carboxylase and a chlorophyll a/b binding polypeptide. Proc. Natl. Acad. Sci. USA 1981, 78, 7304–7308. [Google Scholar] [CrossRef] [PubMed]
- Tobin, E.M.; Silverthorne, J. Light regulation of gene expression in higher plants. Annu. Rev. Plant Physiol. 1985, 36, 569–593. [Google Scholar] [CrossRef]
- Hey, D.; Grimm, B. ONE-HELIX PROTEIN2 (OHP2) Is Required for the Stability of OHP1 and Assembly Factor HCF244 and Is Functionally Linked to PSII Biogenesis. Plant Physiol. 2018, 177, 1453–1472. [Google Scholar] [CrossRef]
- Šantrůček, J.; Raghavendra, A.S. (Eds.) Photosynthesis: A Comprehensive Treatise; Cambridge University Press: Cambridge, UK, 2000; Volume 38, p. 530. [Google Scholar]
- Sun, R.Z.; Cheng, G.; Li, Q.; Zhu, Y.R.; Zhang, X.; Wang, Y.; He, Y.N.; Li, S.Y.; He, L.; Chen, W.; et al. Comparative physiological, metabolomic, and transcriptomic analyses reveal developmental stage-dependent effects of cluster bagging on phenolic metabolism in Cabernet Sauvignon grape berries. BMC Plant Biol. 2019, 19, 583. [Google Scholar] [CrossRef]
- Ma, Z.H.; Li, W.F.; Mao, J.; Li, W.; Zuo, C.W.; Zhao, X.; Dawuda, M.M.; Shi, X.Y.; Chen, B.H. Synthesis of light-inducible and light-independent anthocyanins regulated by specific genes in grape ‘Marselan’ (V. vinifera L.). Peer J. 2019, 7, e6521. [Google Scholar] [CrossRef]
- Caffarri, S.; Tibiletti, T.; Jennings, R.C.; Santabarbara, S. A comparison between plant photosystem I and photosystem II architecture and functioning. Curr. Protein Pept. Sci. 2014, 15, 296–331. [Google Scholar] [CrossRef]
- Ma, Y.T.; Zhao, X.J.; Dai, Q.Q.; Dong, J.L. Effects of Bagging with Opaque Paper on Peach Fruit Quality. J. Horiz. Sci. Technol. 2018, 3, 26–27+30. [Google Scholar]
- Nakajima, N.; Inoue, H.; Koshita, Y. Effects of exogenous methyl jasmonate and light condition on grape berry coloration and endogenous abscisic acid content. J. Pestic. Sci. 2021, 46, 322–332. [Google Scholar] [CrossRef]
- Wimalasiri, P.M.; Harrison, R.; Donaldson, I.; Kemp, B.; Tian, B. Timing of leaf removal modulates tannin composition and the level of anthocyanins and methoxypyrazines in Pinot noir grapes and wines. Food Res. Int. 2024, 178, 114003. [Google Scholar] [CrossRef]
- Keller, M.; Scheele-Baldinger, R.; Ferguson, J.C.; Tarara, J.M.; Mills, L.J. Inflorescence temperature influences fruit set, phenology, and sink strength of Cabernet Sauvignon grape berries. Front. Plant Sci. 2022, 13, 864892. [Google Scholar] [CrossRef] [PubMed]
- Miccichè, D.; de Rosas, M.I.; Ferro, M.V.; Di Lorenzo, R.; Puccio, S.; Pisciotta, A. Effects of artificial canopy shading on vegetative growth and ripening processes of cv. Nero d’Avola (Vitis vinifera L.). Front. Plant Sci. 2023, 14, 1210574. [Google Scholar] [CrossRef] [PubMed]
- Zhang, J.; Li, W.; Zhang, P.; Zhang, X.; Wang, J.; Wang, L.; Chen, K.; Fang, Y.; Zhang, K. Effect of Supplementary Light with Different Wavelengths on Anthocyanin Composition, Sugar Accumulation and Volatile Compound Profiles of Grapes. Foods 2023, 12, 4165. [Google Scholar] [CrossRef] [PubMed]
- Srivastava, K.K.; Soni, S.K.; Kumar, D.; Dwivedi, S.K. Effect of different bagging materials on guava fruit physiology and its quality attributes. Plant Physiol. Rep. 2023, 28, 238–246. [Google Scholar] [CrossRef]
- Xu, Y.H.; Liu, Y.F.; Li, W.Q.; Yang, C.N.; Lin, Y.J.; Wang, Y.Y.; Gan, Z.Y. The Effects of Bagging on Color Change and Chemical Composition in ‘Jinyan’ Kiwifruit (Actinidia chinensis). Horticulturae 2022, 8, 478. [Google Scholar] [CrossRef]
- Liu, L.; Shu, J.P.; Wei, H.J.; Zhang, R.; Sheng, H.; Yan, Y.H. De novo transcriptome analysis of the rare fern Monachosorum maximowiczii (Dennstaedtiaceae) endemic to East Asia. Biodivers. Sci. 2016, 24, 1325–1334. [Google Scholar] [CrossRef][Green Version]
- Cramer, G.R.; Cochetel, N.; Ghan, R.; Destrac-Irvine, A.; Delrot, S. A sense of place: Transcriptomics identifies environmental signatures in Cabernet Sauvignon berry skins in the late stages of ripening. BMC Plant Biol. 2020, 20, 41. [Google Scholar] [CrossRef] [PubMed]
- Song, H.; Lu, Q.; Hou, L.; Li, M. The genes crucial to carotenoid metabolism under elevated CO2 levels in carrot (Daucus carota L.). Sci. Rep. 2021, 11, 12073. [Google Scholar] [CrossRef]
- Song, Y.P.; Chen, Q.Q.; Ci, D.; Shao, X.N.; Zhang, D.Q. Effects of high temperature on photosynthesis and related gene expression in poplar. BMC Plant Biol. 2014, 14, 111. [Google Scholar] [CrossRef]
- Keller-Przybylkowicz, S.; Oskiera, M.; Liu, X.; Song, L.; Zhao, L.; Du, X.; Kruczynska, D.; Walencik, A.; Kowara, N.; Bartoszewski, G. Transcriptome Analysis of White- and Red-Fleshed Apple Fruits Uncovered Novel Genes Related to the Regulation of Anthocyanin Biosynthesis. Int. J. Mol. Sci. 2024, 25, 1778. [Google Scholar] [CrossRef]
- Levin, G.; Schuster, G. LHC-like Proteins: The guardians of photosynthesis. Int. J. Mol. Sci. 2023, 24, 2503. [Google Scholar] [CrossRef] [PubMed]
- Mozzo, M.; Mantelli, M.; Passarini, F.; Caffarri, S.; Croce, R.; Bassi, R. Functional analysis of Photosystem I light-harvesting complexes (Lhca) gene products of Chlamydomonas reinhardtii. BBA-Biomembranes 2010, 1797, 212–221. [Google Scholar] [CrossRef] [PubMed]
- Teramoto, H.; Ono, T.; Minagawa, J. Identification of Lhcb gene family encoding the light-harvesting chlorophyll-a/b proteins of photosystem II in Chlamydomonas reinhardtii. Plant Cell Physiol. 2001, 42, 849–856. [Google Scholar] [CrossRef] [PubMed]
- Zhang, Y.; Wang, P.F.; Mu, X.P.; Fu, H.B.; Du, J.J. Effects of Spraying Different Foliar Fertilizers on Sugar and Acid Contents of Nongda 4 Cerasus humilis Fruit. Shandong Agric. Sci. 2019, 51, 77–80. [Google Scholar]
- Bernárdez, M.; Miguélez ML, D.J.; Queijeiro, J. HPLC determination of sugars in varieties of chestnut fruits from Galicia (Spain). J. Food Compos. Anal. 2004, 17, 63–67. [Google Scholar] [CrossRef]






| Gene Name | CK1 | A1 | B1 | C1 | D1 | CK2 | A2 | B2 | C2 | D2 |
|---|---|---|---|---|---|---|---|---|---|---|
| VIT_12s0028g00320(Lhcb1) | 22.44 | 5.17 | 1.28 | 1.38 | 0.32 | 31.77 | 198.3 | 24.05 | 5.99 | 0.51 |
| VIT_19s0014g00160 (Lhcb1) | 6.37 | 1.31 | 2.07 | 0.67 | 0.11 | 24.2 | 152.1 | 75.2 | 61.23 | 4.57 |
| VIT_10s0003g02890 (Lhcb1) | 45.46 | 82.69 | 9.38 | 27.24 | 16.56 | 12.64 | 81.25 | 55.62 | 27.65 | 2.48 |
| VIT_10s0003g02900 (Lhcb1) | 2.56 | 2.77 | 0.66 | 1.58 | 1.43 | 0.19 | 2.26 | 1.72 | 1.53 | 0.001 |
| VIT_07s0005g02220 (Lhcb1) | 0.65 | 1.84 | 0.45 | 0.34 | 1.49 | 2.32 | 6.92 | 2.79 | 3.54 | 0.2 |
| VIT_12s0057g00630 (Lhcb2) | 288.1 | 271.81 | 166 | 213.16 | 225.26 | 260.39 | 498.7 | 230.66 | 320.38 | 29.48 |
| VIT_19s0014g03660 (Lhcb3) | 5.24 | 6.62 | 1.01 | 1.16 | 2.68 | 0.99 | 6.54 | 2.41 | 0.46 | 0.75 |
| VIT_08s0007g02190 (Lhcb4) | 198.8 | 195.84 | 89.87 | 116.97 | 64.33 | 63.1 | 185.61 | 89.35 | 76.43 | 9.02 |
| VIT_18s0089g01170 (Lhcb5) | 91.56 | 123.35 | 34.53 | 63.58 | 81.01 | 25.3 | 63.52 | 29.35 | 20.13 | 2.86 |
| VIT_12s0055g01110 (Lhcb6) | 9.04 | 10.49 | 2.94 | 3.46 | 3.81 | 3.58 | 16.64 | 10.63 | 7.4 | 1.73 |
| VIT_13s0019g04140 (Lhca1) | 46.18 | 38.13 | 4.45 | 12.18 | 18.74 | 12.16 | 38.17 | 13.26 | 3.18 | 0.31 |
| VIT_11s0016g00730 (Lhca2) | 1.69 | 1.99 | 0.82 | 0.26 | 5.98 | 0.15 | 1.51 | 0.24 | 0.67 | 0.001 |
| VIT_01s0010g03620 (Lhca2) | 100.03 | 77.35 | 39.86 | 45.95 | 59.26 | 36.47 | 113.92 | 35.2 | 44.08 | 6.01 |
| VIT_15s0024g00040 (Lhca3) | 85.94 | 84.83 | 52.12 | 65.8 | 67.72 | 13.58 | 63.26 | 25.95 | 37.01 | 5.42 |
| VIT_17s0000g06350 (Lhca4) | 12.69 | 30.96 | 4.53 | 7.19 | 10.68 | 3.95 | 19.12 | 9.16 | 7.82 | 0.08 |
| VIT_18s0001g10550 (Lhca5) | 0.22 | 0.22 | 0.08 | 0.19 | 2.4 | 0.001 | 0.16 | 0.09 | 0.001 | 0.001 |
Disclaimer/Publisher’s Note: The statements, opinions and data contained in all publications are solely those of the individual author(s) and contributor(s) and not of MDPI and/or the editor(s). MDPI and/or the editor(s) disclaim responsibility for any injury to people or property resulting from any ideas, methods, instructions or products referred to in the content. |
© 2024 by the authors. Licensee MDPI, Basel, Switzerland. This article is an open access article distributed under the terms and conditions of the Creative Commons Attribution (CC BY) license (https://creativecommons.org/licenses/by/4.0/).
Share and Cite
Nan, X.; Li, W.; Shao, M.; Cui, Z.; Wang, H.; Huo, J.; Chen, L.; Chen, B.; Ma, Z. Shading Treatment Reduces Grape Sugar Content by Suppressing Photosynthesis-Antenna Protein Pathway Gene Expression in Grape Berries. Int. J. Mol. Sci. 2024, 25, 5029. https://doi.org/10.3390/ijms25095029
Nan X, Li W, Shao M, Cui Z, Wang H, Huo J, Chen L, Chen B, Ma Z. Shading Treatment Reduces Grape Sugar Content by Suppressing Photosynthesis-Antenna Protein Pathway Gene Expression in Grape Berries. International Journal of Molecular Sciences. 2024; 25(9):5029. https://doi.org/10.3390/ijms25095029
Chicago/Turabian StyleNan, Xintong, Wenfang Li, Miao Shao, Zimeng Cui, Han Wang, Jiaxing Huo, Lizhen Chen, Baihong Chen, and Zonghuan Ma. 2024. "Shading Treatment Reduces Grape Sugar Content by Suppressing Photosynthesis-Antenna Protein Pathway Gene Expression in Grape Berries" International Journal of Molecular Sciences 25, no. 9: 5029. https://doi.org/10.3390/ijms25095029
APA StyleNan, X., Li, W., Shao, M., Cui, Z., Wang, H., Huo, J., Chen, L., Chen, B., & Ma, Z. (2024). Shading Treatment Reduces Grape Sugar Content by Suppressing Photosynthesis-Antenna Protein Pathway Gene Expression in Grape Berries. International Journal of Molecular Sciences, 25(9), 5029. https://doi.org/10.3390/ijms25095029

