Hydroxytyrosol, a Promising Supplement in the Management of Human Stroke: An Exploratory Study
Abstract
1. Introduction
2. Results
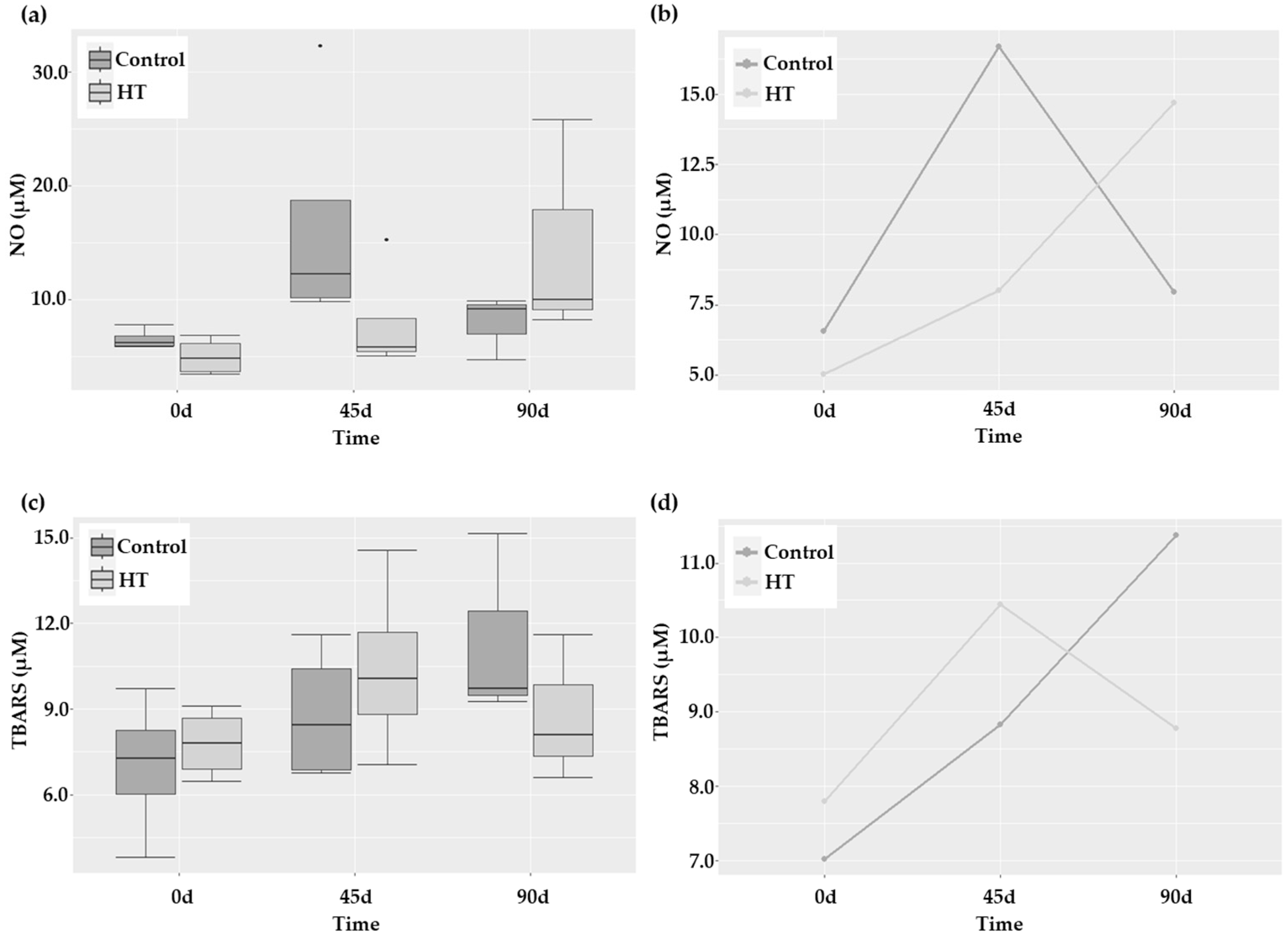
2.1. Biochemical and Oxidative-Stress-Related Parameters
2.2. Effect of HT on Blood Pressure
2.3. Effect of HT on Serum Proteome
2.4. Effect of HT on Neurological and Functional Outcomes after Stroke
3. Discussion
Limitations
4. Materials and Methods
4.1. Research Design
4.2. Subjects
4.3. Data Collection and Sampling
4.4. Evaluation of Neurological and Functional Outcomes
4.5. Determination of Biochemical Parameter and Oxidative Stress Level
4.6. Evaluation of Oxidative Stress
4.7. Proteomic Analysis
4.8. Ethics
4.9. Statistical Analysis
Author Contributions
Funding
Institutional Review Board Statement
Informed Consent Statement
Data Availability Statement
Acknowledgments
Conflicts of Interest
References
- Feigin, V.L.; Brainin, M.; Norrving, B.; Martins, S.; Sacco, R.L.; Hacke, W.; Fisher, M.; Pandian, J.; Lindsay, P. World Stroke Organization (WSO): Global Stroke Fact Sheet 2022. Int. J. Stroke 2022, 17, 18–29. [Google Scholar] [CrossRef] [PubMed]
- Informe Anual del Sistema Nacional de Salud 2020–2021. Available online: https://www.sanidad.gob.es/estadEstudios/estadisticas/sisInfSanSNS/tablasEstadisticas/InfAnualSNS2022/INFORME_ANUAL_2022.pdf (accessed on 15 March 2024).
- Pandya, R.S.; Mao, L.; Zhou, H.; Zhou, S.; Zeng, J.; Popp, A.J.; Wang, X. Central nervous system agents for ischemic stroke: Neuroprotection mechanisms. Cent. Nerv. Syst. Agents Med. Chem. 2011, 11, 81–97. [Google Scholar] [CrossRef] [PubMed]
- Beslow, L.A.; Smith, S.E.; Vossough, A.; Licht, D.J.; Kasner, S.E.; Favilla, C.G.; Halperin, A.R.; Gordon, D.M.; Jones, C.I.; Cucchiara, A.J.; et al. Hemorrhagic transformation of childhood arterial ischemic stroke. Stroke 2011, 42, 941–946. [Google Scholar] [CrossRef] [PubMed]
- O’Donnell, M.J.; Xavier, D.; Liu, L.; Zhang, H.; Chin, S.L.; Rao-Melacini, P.; Rangarajan, S.; Islam, S.; Pais, P.; McQueen, M.J.; et al. Risk factors for ischaemic and intracerebral haemorrhagic stroke in 22 countries (the INTERSTROKE study): A case-control study. Lancet 2010, 376, 112–123. [Google Scholar] [CrossRef] [PubMed]
- Georgakis, M.K.; Harshfield, E.L.; Malik, R.; Franceschini, N.; Langenberg, C.; Wareham, N.J.; Markus, H.S.; Dichgans, M. Diabetes Mellitus, Glycemic Traits, and Cerebrovascular Disease: A Mendelian Randomization Study. Neurology 2021, 96, e1732–e1742. [Google Scholar] [CrossRef] [PubMed]
- Gardener, H.; Wright, C.B.; Gu, Y.; Demmer, R.T.; Boden-Albala, B.; Elkind, M.S.; Sacco, R.L.; Scarmeas, N. Mediterranean-style diet and risk of ischemic stroke, myocardial infarction, and vascular death: The Northern Manhattan Study. Am. J. Clin. Nutr. 2011, 94, 1458–1464. [Google Scholar] [CrossRef]
- Aparicio-Soto, M.; Sanchez-Hidalgo, M.; Cardeno, A.; Rosillo, M.A.; Sanchez-Fidalgo, S.; Utrilla, J.; Martin-Lacave, I.; Alarcon-de-la-Lastra, C. Dietary extra virgin olive oil attenuates kidney injury in pristane-induced SLE model via activation of HO-1/Nrf-2 antioxidant pathway and suppression of JAK/STAT, NF-kappaB and MAPK activation. J. Nutr. Biochem. 2016, 27, 278–288. [Google Scholar] [CrossRef] [PubMed]
- Visioli, F.; Poli, A.; Gall, C. Antioxidant and other biological activities of phenols from olives and olive oil. Med. Res. Rev. 2002, 22, 65–75. [Google Scholar] [CrossRef] [PubMed]
- Bayram, B.; Ozcelik, B.; Grimm, S.; Roeder, T.; Schrader, C.; Ernst, I.M.; Wagner, A.E.; Grune, T.; Frank, J.; Rimbach, G. A diet rich in olive oil phenolics reduces oxidative stress in the heart of SAMP8 mice by induction of Nrf2-dependent gene expression. Rejuvenation Res. 2012, 15, 71–81. [Google Scholar] [CrossRef]
- George, P.M.; Steinberg, G.K. Novel Stroke Therapeutics: Unraveling Stroke Pathophysiology and Its Impact on Clinical Treatments. Neuron 2015, 87, 297–309. [Google Scholar] [CrossRef]
- Campbell, B.C.V.; De Silva, D.A.; Macleod, M.R.; Coutts, S.B.; Schwamm, L.H.; Davis, S.M.; Donnan, G.A. Ischaemic stroke. Nat. Rev. Dis. Primers 2019, 5, 70. [Google Scholar] [CrossRef] [PubMed]
- Gonzalez-Correa, J.A.; Navas, M.D.; Lopez-Villodres, J.A.; Trujillo, M.; Espartero, J.L.; De La Cruz, J.P. Neuroprotective effect of hydroxytyrosol and hydroxytyrosol acetate in rat brain slices subjected to hypoxia-reoxygenation. Neurosci. Lett. 2008, 446, 143–146. [Google Scholar] [CrossRef]
- Cabrerizo, S.; De La Cruz, J.P.; Lopez-Villodres, J.A.; Munoz-Marin, J.; Guerrero, A.; Reyes, J.J.; Labajos, M.T.; Gonzalez-Correa, J.A. Role of the inhibition of oxidative stress and inflammatory mediators in the neuroprotective effects of hydroxytyrosol in rat brain slices subjected to hypoxia reoxygenation. J. Nutr. Biochem. 2013, 24, 2152–2157. [Google Scholar] [CrossRef]
- De La Cruz, J.P.; Ruiz-Moreno, M.I.; Guerrero, A.; Reyes, J.J.; Benitez-Guerrero, A.; Espartero, J.L.; Gonzalez-Correa, J.A. Differences in the Neuroprotective Effect of Orally Administered Virgin Olive Oil (Olea europaea) Polyphenols Tyrosol and Hydroxytyrosol in Rats. J. Agric. Food Chem. 2015, 63, 5957–5963. [Google Scholar] [CrossRef] [PubMed]
- De La Cruz, J.P.; Ruiz-Moreno, M.I.; Guerrero, A.; Lopez-Villodres, J.A.; Reyes, J.J.; Espartero, J.L.; Labajos, M.T.; Gonzalez-Correa, J.A. Role of the catechol group in the antioxidant and neuroprotective effects of virgin olive oil components in rat brain. J. Nutr. Biochem. 2015, 26, 549–555. [Google Scholar] [CrossRef]
- Reyes, J.J.; Villanueva, B.; Lopez-Villodres, J.A.; De La Cruz, J.P.; Romero, L.; Rodriguez-Perez, M.D.; Rodriguez-Gutierrez, G.; Fernandez-Bolanos, J.; Gonzalez-Correa, J.A. Neuroprotective Effect of Hydroxytyrosol in Experimental Diabetes Mellitus. J. Agric. Food Chem. 2017, 65, 4378–4383. [Google Scholar] [CrossRef] [PubMed]
- Calahorra, J.; Shenk, J.; Wielenga, V.H.; Verweij, V.; Geenen, B.; Dederen, P.J.; Peinado, M.A.; Siles, E.; Wiesmann, M.; Kiliaan, A.J. Hydroxytyrosol, the Major Phenolic Compound of Olive Oil, as an Acute Therapeutic Strategy after Ischemic Stroke. Nutrients 2019, 11, 2430. [Google Scholar] [CrossRef]
- Barca, C.; Wiesmann, M.; Calahorra, J.; Wachsmuth, L.; Doring, C.; Foray, C.; Heiradi, A.; Hermann, S.; Peinado, M.A.; Siles, E.; et al. Impact of hydroxytyrosol on stroke: Tracking therapy response on neuroinflammation and cerebrovascular parameters using PET-MR imaging and on functional outcomes. Theranostics 2021, 11, 4030–4049. [Google Scholar] [CrossRef]
- Hochrainer, K.; Yang, W. Stroke Proteomics: From Discovery to Diagnostic and Therapeutic Applications. Circ. Res. 2022, 130, 1145–1166. [Google Scholar] [CrossRef]
- Brea, D.; Rodriguez-Gonzalez, R.; Sobrino, T.; Rodriguez-Yanez, M.; Blanco, M.; Castillo, J. Proteomic analysis shows differential protein expression in endothelial progenitor cells between healthy subjects and ischemic stroke patients. Neurol. Res. 2011, 33, 1057–1063. [Google Scholar] [CrossRef]
- Boehme, A.K.; McClure, L.A.; Zhang, Y.; Luna, J.M.; Del Brutto, O.H.; Benavente, O.R.; Elkind, M.S. Inflammatory Markers and Outcomes after Lacunar Stroke: Levels of Inflammatory Markers in Treatment of Stroke Study. Stroke 2016, 47, 659–667. [Google Scholar] [CrossRef] [PubMed]
- Katsanos, A.H.; Malhotra, K.; Ahmed, N.; Seitidis, G.; Mistry, E.A.; Mavridis, D.; Kim, J.T.; Veroniki, A.A.; Maier, I.; Matusevicius, M.; et al. Blood Pressure after Endovascular Thrombectomy and Outcomes in Patients with Acute Ischemic Stroke: An Individual Patient Data Meta-analysis. Neurology 2022, 98, e291–e301. [Google Scholar] [CrossRef] [PubMed]
- Diprose, W.K.; Wang, M.T.M.; McFetridge, A.; Sutcliffe, J.; Barber, P.A. Glycated hemoglobin (HbA1c) and outcome following endovascular thrombectomy for ischemic stroke. J. Neurointerv. Surg. 2020, 12, 30–32. [Google Scholar] [CrossRef] [PubMed]
- Santangelo, C.; Filesi, C.; Vari, R.; Scazzocchio, B.; Filardi, T.; Fogliano, V.; D’Archivio, M.; Giovannini, C.; Lenzi, A.; Morano, S.; et al. Consumption of extra-virgin olive oil rich in phenolic compounds improves metabolic control in patients with type 2 diabetes mellitus: A possible involvement of reduced levels of circulating visfatin. J. Endocrinol. Investig. 2016, 39, 1295–1301. [Google Scholar] [CrossRef] [PubMed]
- Binou, P.; Stergiou, A.; Kosta, O.; Tentolouris, N.; Karathanos, V.T. Positive contribution of hydroxytyrosol-enriched wheat bread to HbA(1)c levels, lipid profile, markers of inflammation and body weight in subjects with overweight/obesity and type 2 diabetes mellitus. Eur. J. Nutr. 2023, 62, 2165–2176. [Google Scholar] [CrossRef]
- Flint, A.C.; Conell, C.; Ren, X.; Banki, N.M.; Chan, S.L.; Rao, V.A.; Melles, R.B.; Bhatt, D.L. Effect of Systolic and Diastolic Blood Pressure on Cardiovascular Outcomes. N. Engl. J. Med. 2019, 381, 243–251. [Google Scholar] [CrossRef] [PubMed]
- Ikonomidis, I.; Katogiannis, K.; Chania, C.; Iakovis, N.; Tsoumani, M.; Christodoulou, A.; Brinia, E.; Pavlidis, G.; Thymis, J.; Tsilivarakis, D.; et al. Association of hydroxytyrosol enriched olive oil with vascular function in chronic coronary disease. Eur. J. Clin. Investig. 2023, 53, e13983. [Google Scholar] [CrossRef] [PubMed]
- Hara, T.; Fukuda, D.; Ganbaatar, B.; Pham, P.T.; Aini, K.; Rahadian, A.; Suto, K.; Yagi, S.; Kusunose, K.; Yamada, H.; et al. Olive mill wastewater and hydroxytyrosol inhibits atherogenesis in apolipoprotein E-deficient mice. Heart Vessel. 2023, 38, 1386–1394. [Google Scholar] [CrossRef]
- Hennekens, C.H.; Gaziano, J.M. Antioxidants and heart disease: Epidemiology and clinical evidence. Clin. Cardiol. 1993, 16 (Suppl. S1), I10–I13, discussion I13–I15. [Google Scholar] [CrossRef]
- Narne, P.; Pandey, V.; Phanithi, P.B. Role of Nitric Oxide and Hydrogen Sulfide in Ischemic Stroke and the Emergent Epigenetic Underpinnings. Mol. Neurobiol. 2019, 56, 1749–1769. [Google Scholar] [CrossRef]
- Paspalj, D.; Nikic, P.; Savic, M.; Djuric, D.; Simanic, I.; Zivkovic, V.; Jeremic, N.; Srejovic, I.; Jakovljevic, V. Redox status in acute ischemic stroke: Correlation with clinical outcome. Mol. Cell. Biochem. 2015, 406, 75–81. [Google Scholar] [CrossRef] [PubMed]
- Serrano-Ponz, M.; Rodrigo-Gasque, C.; Siles, E.; Martinez-Lara, E.; Ochoa-Callejero, L.; Martinez, A. Temporal profiles of blood pressure, circulating nitric oxide, and adrenomedullin as predictors of clinical outcome in acute ischemic stroke patients. Mol. Med. Rep. 2016, 13, 3724–3734. [Google Scholar] [CrossRef] [PubMed]
- Calahorra, J.; Martinez-Lara, E.; De Dios, C.; Siles, E. Hypoxia modulates the antioxidant effect of hydroxytyrosol in MCF-7 breast cancer cells. PLoS ONE 2018, 13, e0203892. [Google Scholar] [CrossRef] [PubMed]
- Yuan, S.; Tang, B.; Zheng, J.; Larsson, S.C. Circulating Lipoprotein Lipids, Apolipoproteins and Ischemic Stroke. Ann. Neurol. 2020, 88, 1229–1236. [Google Scholar] [CrossRef]
- Banfi, C.; Baetta, R.; Barbieri, S.S.; Brioschi, M.; Guarino, A.; Ghilardi, S.; Sandrini, L.; Eligini, S.; Polvani, G.; Bergman, O.; et al. Prenylcysteine oxidase 1, an emerging player in atherosclerosis. Commun. Biol. 2021, 4, 1109. [Google Scholar] [CrossRef]
- Plubell, D.L.; Fenton, A.M.; Rosario, S.; Bergstrom, P.; Wilmarth, P.A.; Clark, W.M.; Zakai, N.A.; Quinn, J.F.; Minnier, J.; Alkayed, N.J.; et al. High-Density Lipoprotein Carries Markers That Track with Recovery from Stroke. Circ. Res. 2020, 127, 1274–1287. [Google Scholar] [CrossRef]
- Sacks, F.M.; Alaupovic, P.; Moye, L.A.; Cole, T.G.; Sussex, B.; Stampfer, M.J.; Pfeffer, M.A.; Braunwald, E. VLDL, apolipoproteins B, CIII, and E, and risk of recurrent coronary events in the Cholesterol and Recurrent Events (CARE) trial. Circulation 2000, 102, 1886–1892. [Google Scholar] [CrossRef]
- Sidorov, E.V.; Xu, C.; Garcia-Ramiu, J.; Blair, A.; Ortiz-Garcia, J.; Gordon, D.; Chainakul, J.; Sanghera, D.K. Global Metabolomic Profiling Reveals Disrupted Lipid and Amino Acid Metabolism Between the Acute and Chronic Stages of Ischemic Stroke. J. Stroke Cerebrovasc. Dis. 2022, 31, 106320. [Google Scholar] [CrossRef]
- Escary, J.L.; Choy, H.A.; Reue, K.; Wang, X.P.; Castellani, L.W.; Glass, C.K.; Lusis, A.J.; Schotz, M.C. Paradoxical effect on atherosclerosis of hormone-sensitive lipase overexpression in macrophages. J. Lipid Res. 1999, 40, 397–404. [Google Scholar] [CrossRef]
- Qu, J.; Ko, C.W.; Tso, P.; Bhargava, A. Apolipoprotein A-IV: A Multifunctional Protein Involved in Protection against Atherosclerosis and Diabetes. Cells 2019, 8, 319. [Google Scholar] [CrossRef]
- van Lierop, Z.Y.; Noteboom, S.; Steenwijk, M.D.; van Dam, M.; Toorop, A.A.; van Kempen, Z.L.; Moraal, B.; Barkhof, F.; Uitdehaag, B.M.; Schoonheim, M.M.; et al. Neurofilament-light and contactin-1 association with long-term brain atrophy in natalizumab-treated relapsing-remitting multiple sclerosis. Mult. Scler. 2022, 28, 2231–2242. [Google Scholar] [CrossRef] [PubMed]
- Zhang, M.; Yu, Q.; Tang, W.; Wu, Y.; Lv, J.; Sun, L.; Shi, G.; Wu, M.; Qu, J.; Di, C.; et al. Epithelial exosomal contactin-1 promotes monocyte-derived dendritic cell-dominant T-cell responses in asthma. J. Allergy Clin. Immunol. 2021, 148, 1545–1558. [Google Scholar] [CrossRef] [PubMed]
- Li, S.J.; Ma, M.H.; Li, J.M.; Lu, X.Y.; Lu, C.B.; Zhou, S.F.; Zhang, L.X.; Li, M.Q.; Shao, T.Z.; Bai, S.P.; et al. CNTN1 Aggravates Neuroinflammation and Triggers Cognitive Deficits in Male Mice by Boosting Crosstalk between Microglia and Astrocytes. Aging Dis. 2023, 14, 1853–1869. [Google Scholar] [CrossRef] [PubMed]
- Papagiannis, A.; Gkolfinopoulou, C.; Tziomalos, K.; Dedemadi, A.G.; Polychronopoulos, G.; Milonas, D.; Savopoulos, C.; Hatzitolios, A.I.; Chroni, A. HDL cholesterol efflux capacity and phospholipid content are associated with the severity of acute ischemic stroke and predict its outcome. Clin. Chim. Acta 2023, 540, 117229. [Google Scholar] [CrossRef] [PubMed]
- Jin, R.C.; Mahoney, C.E.; Coleman Anderson, L.; Ottaviano, F.; Croce, K.; Leopold, J.A.; Zhang, Y.Y.; Tang, S.S.; Handy, D.E.; Loscalzo, J. Glutathione peroxidase-3 deficiency promotes platelet-dependent thrombosis in vivo. Circulation 2011, 123, 1963–1973. [Google Scholar] [CrossRef] [PubMed]
- Meng, R.; Li, Z.Y.; Ji, X.; Ding, Y.; Meng, S.; Wang, X. Antithrombin III associated with fibrinogen predicts the risk of cerebral ischemic stroke. Clin. Neurol. Neurosurg. 2011, 113, 380–386. [Google Scholar] [CrossRef] [PubMed]
- Praissman, J.L.; Live, D.H.; Wang, S.; Ramiah, A.; Chinoy, Z.S.; Boons, G.J.; Moremen, K.W.; Wells, L. B4GAT1 is the priming enzyme for the LARGE-dependent functional glycosylation of alpha-dystroglycan. eLife 2014, 3, e03943. [Google Scholar] [CrossRef] [PubMed]
- Zhang, X.; Yuan, H.; Lyu, J.; Meng, X.; Tian, Q.; Li, Y.; Zhang, J.; Xu, X.; Su, J.; Hou, H.; et al. Association of dementia with immunoglobulin G N-glycans in a Chinese Han Population. NPJ Aging Mech. Dis. 2021, 7, 3. [Google Scholar] [CrossRef] [PubMed]
- Gao, C.; Zhang, B.; Zhang, W.; Pu, S.; Yin, J.; Gao, Q. Serum prealbumin (transthyretin) predict good outcome in young patients with cerebral infarction. Clin. Exp. Med. 2011, 11, 49–54. [Google Scholar] [CrossRef]
- Ambrosius, W.; Michalak, S.; Kazmierski, R.; Andrzejewska, N.; Kozubski, W. Predictive value of serum transthyretin for outcome in acute ischemic stroke. PLoS ONE 2017, 12, e0179806. [Google Scholar] [CrossRef]
- Zhang, S.Q.; Peng, B.; Stary, C.M.; Jian, Z.H.; Xiong, X.X.; Chen, Q.X. Serum prealbumin as an effective prognostic indicator for determining clinical status and prognosis in patients with hemorrhagic stroke. Neural. Regen. Res. 2017, 12, 1097–1102. [Google Scholar] [PubMed]
- Isono, N.; Imamura, Y.; Ohmura, K.; Ueda, N.; Kawabata, S.; Furuse, M.; Kuroiwa, T. Transthyretin Concentrations in Acute Stroke Patients Predict Convalescent Rehabilitation. J. Stroke Cerebrovasc. Dis. 2017, 26, 1375–1382. [Google Scholar] [CrossRef] [PubMed]
- He, J.; Zhu, J.; Zhang, W.; Zhan, Z.; Fu, F.; Bao, Q. Association between serum transthyretin and intracranial atherosclerosis in patients with acute ischemic stroke. Front. Neurol. 2022, 13, 944413. [Google Scholar] [CrossRef] [PubMed]
- Guo, Q.; Lu, T.; Xu, H.; Luo, Q.; Liu, Z.; Jiang, S.; Pan, J.; Lin, S.; Lin, M.; Guo, F. Identification of immune-related genes contributing to head and neck squamous cell carcinoma development using weighted gene co-expression network analysis. Cancer Rep. 2023, 6, e1808. [Google Scholar] [CrossRef] [PubMed]
- Birjmohun, R.S.; Dallinga-Thie, G.M.; Kuivenhoven, J.A.; Stroes, E.S.; Otvos, J.D.; Wareham, N.J.; Luben, R.; Kastelein, J.J.; Khaw, K.T.; Boekholdt, S.M. Apolipoprotein A-II is inversely associated with risk of future coronary artery disease. Circulation 2007, 116, 2029–2035. [Google Scholar] [CrossRef] [PubMed]
- Prentice, R.L.; Paczesny, S.; Aragaki, A.; Amon, L.M.; Chen, L.; Pitteri, S.J.; McIntosh, M.; Wang, P.; Buson Busald, T.; Hsia, J.; et al. Novel proteins associated with risk for coronary heart disease or stroke among postmenopausal women identified by in-depth plasma proteome profiling. Genome Med. 2010, 2, 48. [Google Scholar] [CrossRef]
- Ribas, V.; Sanchez-Quesada, J.L.; Anton, R.; Camacho, M.; Julve, J.; Escola-Gil, J.C.; Vila, L.; Ordonez-Llanos, J.; Blanco-Vaca, F. Human apolipoprotein A-II enrichment displaces paraoxonase from HDL and impairs its antioxidant properties: A new mechanism linking HDL protein composition and antiatherogenic potential. Circ. Res. 2004, 95, 789–797. [Google Scholar] [CrossRef] [PubMed]
- Hage, V. The NIH stroke scale: A window into neurological status. Nurs. Spectr. 2011, 24, 44–49. [Google Scholar]
- Samuel, O.W.; Fang, P.; Chen, S.; Geng, Y.; Li, G. Activity recognition based on pattern recognition of myoelectric signals for rehabilitation. In Handbook of Large-Scale Distributed Computing in Smart Healthcare; Khan, S.U., Zomaya, A.Y., Abbas, A., Eds.; Springer International Publishing AG: Basel, Switzerland, 2017. [Google Scholar]
- Dominguez, R.; Vila, J.F.; Augustovski, F.; Irazola, V.; Castillo, P.R.; Rotta Escalante, R.; Brott, T.G.; Meschia, J.F. Spanish cross-cultural adaptation and validation of the National Institutes of Health Stroke Scale. Mayo Clin. Proc. 2006, 81, 476–480. [Google Scholar] [CrossRef]
- Banks, J.L.; Marotta, C.A. Outcomes validity and reliability of the modified Rankin scale: Implications for stroke clinical trials: A literature review and synthesis. Stroke 2007, 38, 1091–1096. [Google Scholar] [CrossRef]
- Montgomery, G.; McPhee, J.; Paasuke, M.; Sipila, S.; Maier, A.B.; Hogrel, J.Y.; Degens, H. Determinants of Performance in the Timed Up-and-Go and Six-Minute Walk Tests in Young and Old Healthy Adults. J. Clin. Med. 2020, 9, 1561. [Google Scholar] [CrossRef] [PubMed]
- Rossler, R.; Rommers, N.; Kim, E.K.; Iendra, L.; Sofios, A.; Giannouli, E.; Portegijs, E.; Rantanen, T.; Infanger, D.; Bridenbaugh, S.; et al. Timed up-and-go performance is associated with objectively measured life space in patients 3 months after ischemic stroke: A cross-sectional observational study. J. Neurol. 2023, 270, 1999–2009. [Google Scholar] [CrossRef] [PubMed]
- Wade, D.T. Measurement in neurological rehabilitation. Curr. Opin. Neurol. Neurosurg. 1992, 5, 682–686. [Google Scholar] [PubMed]
- Price, R.; Choy, N.L. Investigating the Relationship of the Functional Gait Assessment to Spatiotemporal Parameters of Gait and Quality of Life in Individuals with Stroke. J. Geriatr. Phys. Ther. 2019, 42, 256–264. [Google Scholar] [CrossRef]
- Cinnera, A.M.; Marrano, S.; De Bartolo, D.; Iosa, M.; Bisirri, A.; Leone, E.; Stefani, A.; Koch, G.; Ciancarelli, I.; Paolucci, S.; et al. Convergent Validity of the Timed Walking Tests with Functional Ambulatory Category in Subacute Stroke. Brain Sci. 2023, 13, 1089. [Google Scholar] [CrossRef] [PubMed]
- Faria, C.D.C.M.; Aguiar, L.T.; Lara, E.M.; Souza, L.A.C.E.; Martins, J.C.; Teixeira-Salmela, L.F. Dynamometry for the assessment of grip, pinch, and trunk strength in subjects with chronic stroke: Reliability and various sources of outcome values. Int. J. Phys. Med. Rehabil. 2013, 1, 8. [Google Scholar]
- Bernhardt, J.; Hayward, K.S.; Kwakkel, G.; Ward, N.S.; Wolf, S.L.; Borschmann, K.; Krakauer, J.W.; Boyd, L.A.; Carmichael, S.T.; Corbett, D.; et al. Agreed definitions and a shared vision for new standards in stroke recovery research: The Stroke Recovery and Rehabilitation Roundtable taskforce. Int. J. Stroke 2017, 12, 444–450. [Google Scholar] [CrossRef] [PubMed]
- Park, J.G.; Lee, K.W.; Kim, S.B.; Lee, J.H.; Kim, Y.H. Effect of Decreased Skeletal Muscle Index and Hand Grip Strength on Functional Recovery in Subacute Ambulatory Stroke Patients. Ann. Rehabil. Med. 2019, 43, 535–543. [Google Scholar] [CrossRef] [PubMed]
- Ademoyegun, A.B.; Mbada, C.E.; Sonuga, O.A.; Malomo, O.E.; Fatai, W.A.; Aghedo, I.A. Does grip strength of the less-affected side of ischemic stroke survivors influences performance of self-care activities? Bull. Fac. Phys. Ther. 2022, 27, 28. [Google Scholar] [CrossRef]
- Nasreddine, Z.S.; Phillips, N.A.; Bedirian, V.; Charbonneau, S.; Whitehead, V.; Collin, I.; Cummings, J.L.; Chertkow, H. The Montreal Cognitive Assessment, MoCA: A brief screening tool for mild cognitive impairment. J. Am. Geriatr. Soc. 2005, 53, 695–699. [Google Scholar] [CrossRef]
- Gallego, M.L.; Ferrándiz, M.H.; Garriga, O.T.; Nierga, I.P.; López-Pousa, S.; Franch, J.V. Validación del Montreal Cognitive Assessment (MoCA): Test de cribado para el deterioro cognitivo leve. Datos preliminares. Alzheimer. Real. Investig. Demenc. 2009, 43, 4–11. [Google Scholar]
- Lopez-Ramos, J.C.; Martinez-Romero, R.; Molina, F.; Canuelo, A.; Martinez-Lara, E.; Siles, E.; Peinado, M.A. Evidence of a decrease in nitric oxide-storage molecules following acute hypoxia and/or hypobaria, by means of chemiluminescence analysis. Nitric. Oxide 2005, 13, 62–67. [Google Scholar] [CrossRef]
- Peinado, M.A.; Lopez-Ramos, J.C.; Camacho, M.V.; Molina, F.J.; Martinez-Romero, R.; Hernandez, R.; Siles, E.; Martinez-Lara, E.; Del Moral, M.L.; Pedrosa, J.A.; et al. Age and sex-related serum changes in nitric oxide: Correlations with serological markers. Int. J. Cardiol. 2007, 121, 88–90. [Google Scholar] [CrossRef] [PubMed]
- Buege, J.A.; Aust, S.D. Microsomal lipid peroxidation. Methods Enzymol. 1978, 52, 302–310. [Google Scholar] [PubMed]
- Wisniewski, J.R.; Zougman, A.; Nagaraj, N.; Mann, M. Universal sample preparation method for proteome analysis. Nat. Methods 2009, 6, 359–362. [Google Scholar] [CrossRef] [PubMed]






| HT Treatment (n = 4) | Contro1 (n = 4) | p-Value | ||||||
|---|---|---|---|---|---|---|---|---|
| 0 d | 45 d | 90 d | 0 d | 45 d | 90 d | Time Effect | Group Effect | |
| Sex | Men | Men | ||||||
| Age (years) | 63.8 ± 9.3 | 74.8 ± 4.8 | ||||||
| BMI (kg/m2) | 37.4 ± 8.6 | 31.5 ± 3.1 | ||||||
| Glucose (mg/dL) | 98.8 ± 7.5 | 115.5 ± 13.2 | 101.0 ± 4.1 | 119.3 ± 2.4 | 115.5 ± 16.4 | 116.3 ± 17.9 | ||
| TAG (mg/dL) | 112.5 ± 60.0 | 92.8 ± 40.7 | 101.5 ± 37.5 | 137.0 ± 55.7 | 121.8 ± 45.3 | 138.5 ± 83.3 | ||
| HDL-C (mg/dL) | 44.0 ± 13.5 | 42.5 ± 9.3 | 39.3 ± 4.2 | 41.3 ± 15.2 | 38.8 ± 2.9 | 34.3 ± 8.8 | ||
| LDL-C (mg/dL) | 98.3 ± 45.5 | 70.8 ± 19.5 | 56.5 ± 15.6 | 100.0 ± 29.0 | 58.0 ± 10.4 | 47.8 ± 21.8 | 0.008 | |
| TC (mg/dL) | 165.0 ± 48.0 | 131.8 ± 23.1 | 116.0 ± 10.6 | 169.0 ± 39.6 | 121.3 ± 13.9 | 109.5 ± 21.8 | 0.07 | |
| HbA1c (%) | 0.06 ± 0.01 | 0.06 ± 0.01 | 0.06 ± 0.01 | 0.06 ± 0.01 | 0.06 ± 0.01 | 0.06 ± 0.01 | ||
| IL-6 (pg/mL) | 9.9 ± 10.7 | 4.8 ± 4.1 | 3.3 ± 15 | 73.6 ± 130.7 | 13.3 ± 18.4 | 12.2 ± 14.2 | ||
| NO (μM) | 4.7 ± 1.9 | 5.6 ± 0.5 | 14.7 ± 9.7 | 6.1 ± 0.3 | 11.5 ± 2.4 | 8.0 ± 2.8 | 0.010 | |
| TBARS (μM) | 7.8 ± 1.2 | 10.4 ± 3.1 | 8.8 ± 2.6 | 7.0 ± 2.5 | 8.8 ± 2.4 | 11.4 ± 3.3 | 0.063 | |
| SBP (mmHg) | 144.8 ± 34.8 | 128.8 ± 8.7 | 118.8 ± 10.3 | 163.3 ± 12.0 | 121.0 ± 8.4 | 120.5 ± 7.4 | 0.004 | |
| DBP (mmHg) | 81.5 ± 9.7 | 72.3 ± 3.2 | 60.3 ± 21.1 | 92.5 ± 10.9 | 67.5 ± 5.0 | 66.8 ± 10.4 | 0.001 | |
| NIHSS | 5.3 ± 1.5 | 0.5 ± 1.0 | 0.25 ± 0.5 | 8 ± 2.5 | 2.5 ± 2.7 | 2.0 ± 2.5 | 0.001 | |
| mRs | 13 ± 1.0 | 0.0 ± 0.0 | 0.3 ± 0.5 | 3.3 ± 15 | 1.5 ± 1.3 | 1.3 ± 1.0 | <0.001 | |
| TUG (s) | – | 12.8 ± 2.9 | 13.6 ± 6.9 | – | 14.3 ± 5.5 | 11.5 ± 2.7 | ||
| FAC | – | 3.75 ± 1.0 | 3.5 ± 2.4 | – | 4 ± 1.4 | 4 ± 1.4 | ||
| HGS non-paretic limb (kg) | – | 34.1 ± 4.3 | 34.3 ± 7.2 | – | 27.2 ± 3.0 | 29.4 ± 9.76 | ||
| HGS paretic limb (kg) | – | 22.9 ± 8.0 | 24.65 ± 9.7 | – | 14.6± 11.0 | 16.4 ± 13.2 | ||
| MoCA score | – | 24.8 ± 5.0 | 24.5 ± 8.0 | – | 20 ± 8.7 | 24.3 ± 6.0 | ||
| HT Treatment | |||||
|---|---|---|---|---|---|
| 45 vs. 0 | |||||
| Uniprot ID | Protein Name | Abbreviation | Gene | Fold Change | p Value |
| 000533 | Neural cell adhesion molecule L1-like protein | NC HL1 | CHL1 | 1.912 | 0.026 |
| Q9UGM5 | Fetuin-B | FETUB | FETUB | 1.359 | 0.045 |
| P07339 | Cathepsin D | CATD | CTSD | −1.169 | 0.012 |
| P04114 | Apolipoprotein B-100 | APOB | APOB | −1.655 | 0.014 |
| Q9UHG3 | Prenylcysteine oxidase | PCYOX | PCYOX1 | −1.716 | 0.030 |
| P02649 | Apolipoprotein E | APOE | APOE | −1.891 | 0.000 |
| O95445 | Apolipoprotein M | APOM | APOM | −1.968 | 0.039 |
| Q13740 | CD166 antigen | CD166 | ALCAM | −2.192 | 0.039 |
| Q005469 | Hormone- sensitive lipase | LIPS | LIPE | −3.229 | 0.041 |
| 90 vs. 45 | |||||
| Uniprot ID | PrSSotein name | Abbreviation | Gene | Fold change | p value |
| P02766v109B | Transthyretinv109B | TTR | TTR | 6.972 | 0.048 |
| Q8N1N4 | Keratin type I cytoskeletal 78 | K2C78 | KRT78 | 5.137 | 0.043 |
| 90 vs. 0 | |||||
| Uniprot ID | Protein name | Abbreviation | Gene | Fold change | p value |
| P55065 | Apolipoprotein A-IV | APC )A4 | APOA4 | 2.987 | 0.008 |
| P06727 | Glutaminyl-peptide cydotransferase | QPCT | QPCT | 2.189 | 0.023 |
| Q16769 | Keratin type I cytoskeletal 14 | K1C14 | KRT14 | 1.704 | 0.031 |
| P00558 | Fetuin-B | FETUB | FETUB | 1.554 | 0.038 |
| P02533 | Hyaluronan-binding protein 2 | HABP2 | HABP2 | 1.44 | 0.037 |
| Q14520 | Phosphoglycerate kinase | PGK1 | PGK1 | −1.268 | 0.030 |
| Q9UGM5 | Apolipoprotein M | APC DM | APC DM | −1.927 | 0.043 |
| P02654 | Apolipoprotein C-I | APOC 1 | APOC 1 | −2.624 | 0.042 |
| O95445 | Apolipoprotein C-IV | APOC 4 | APOC4 | −6.702 | 0.006 |
| CONTROL | |||||
| 45 vs. 0 | |||||
| Uniprot ID | Protein name | Abbreviation | Gene | Fold change | p value |
| P06727 | Apolipoprotein A-IV | APOA4 | APOA4 | 2.903 | 0.032 |
| O43505 | Beta-1 4-glucuronyltransferase 1 | B4GA1 | B4GAT1 | 2.274 | 0.002 |
| Q12860 | Contactin-1 | CNTN1 | CNTN1 | 2.107 | 0.037 |
| P01008 | Antithrombin-III | ANT3 | SERPINC1 | 1.495 | 0.040 |
| P06681 | Complement C2 | CO2 | C2 | 1.138 | 0.034 |
| P04180 | Phosphatidylcholine -sterol acyltransferase | LCAT | LCAT | −1.389 | 0.023 |
| P22352 | Glutathione peroxidase 3 | GPX3 | GPX3 | −1.572 | 0.042 |
| P04066 | Tissue alpha-L-fucosidase | FUCO | FUC A1 | −3.751 | 0.007 |
| 90 vs. 45 | |||||
| Uniprot ID | Protein name | Abbreviation | Gene | Fold change | p value |
| Q6YHK3 | CD109 antigen | CD109 | CD109 | 3.72 | 0.034 |
| O14818 | Proteasome subunit alpha type-7 | PSA7 | PSMA7 | 1.494 | 0.028 |
| P35542 | Serum amyloid A-4 protein | SAA4 | SAA4 | −1.404 | 0.030 |
| Q5TZA2 | Rootletin | CROCC | CROCC | −1.454 | 0.042 |
| O43505 | Beta-1 4-glucuronyltransferase 1 | B4GA1 | B4GAT1 | −2.695 | 0.029 |
| P00740 | Coagulation factor IX | FA9 | F9 | −3.156 | 0.024 |
| P16157 | Ankyrin-1 | ANK1 | ANK1 | −9.475 | 0.022 |
| 90 vs. 0 | |||||
| Uniprot ID | Protein name | Abbreviation | Gene | Fold change | p value |
| Q6YHK3 | CD109 antigen | CD109 | CD109 | 8.496 | 0.016 |
| A0A075B6H7 | Probable non-functional immunoglobulin kappa variable 3-7 | KV37 | IGKV3 | 7.943 | 0.044 |
| Q12860 | Contactin-1 | CNTN1 | CNTN1 | 6.574 | 0.020 |
| P06727 | Apolipoprotein A-IV | APOA4 | APC )A4 | 3.089 | 0.013 |
| P00352 | Retinal dehydrogenase 1 | AL1A1 | ALDH1A1 | 1.911 | 0.042 |
| P01008 | Antithrombin-III | ANT3 | SERPINC1 | 1.46 | 0.014 |
| P35542 | Serum amyloid A-4 | SAA4 | SAA4 | −1.805 | 0.025 |
| P02652 | Apolipoprotein A-II | APOA2 | APOA2 | −1.991 | 0.050 |
| P01591 | Immunoglobulin J chain | IGJ | JCHAIN | −2.23 | 0.025 |
| P02654 | Apolipoprotein C-I | APOC1 | APOC1 | −3.188 | 0.037 |
| P00740 | Coagulation factor IX | FA9 | F9 | −3.298 | 0.035 |
| A0A0C4DH67 | Immunoglobulin kappa variable 1-8 | KV108 | IGKV1 | −3.952 | 0.018 |
| O95445 | Apolipoprotein M | APOM | APOM | −3.984 | 0.030 |
| P04066 | Tissue alpha-L-fucosidase | FUCO | FUCA1 | −8.264 | 0.035 |
| Q03591 | Complement factor H-related protein 1 | FHR1 | CFHR1 | −26.803 | 0.050 |
Disclaimer/Publisher’s Note: The statements, opinions and data contained in all publications are solely those of the individual author(s) and contributor(s) and not of MDPI and/or the editor(s). MDPI and/or the editor(s) disclaim responsibility for any injury to people or property resulting from any ideas, methods, instructions or products referred to in the content. |
© 2024 by the authors. Licensee MDPI, Basel, Switzerland. This article is an open access article distributed under the terms and conditions of the Creative Commons Attribution (CC BY) license (https://creativecommons.org/licenses/by/4.0/).
Share and Cite
Naranjo, Á.; Álvarez-Soria, M.J.; Aranda-Villalobos, P.; Martínez-Rodríguez, A.M.; Martínez-Lara, E.; Siles, E. Hydroxytyrosol, a Promising Supplement in the Management of Human Stroke: An Exploratory Study. Int. J. Mol. Sci. 2024, 25, 4799. https://doi.org/10.3390/ijms25094799
Naranjo Á, Álvarez-Soria MJ, Aranda-Villalobos P, Martínez-Rodríguez AM, Martínez-Lara E, Siles E. Hydroxytyrosol, a Promising Supplement in the Management of Human Stroke: An Exploratory Study. International Journal of Molecular Sciences. 2024; 25(9):4799. https://doi.org/10.3390/ijms25094799
Chicago/Turabian StyleNaranjo, Ángela, M. Josefa Álvarez-Soria, Pilar Aranda-Villalobos, Ana M. Martínez-Rodríguez, Esther Martínez-Lara, and Eva Siles. 2024. "Hydroxytyrosol, a Promising Supplement in the Management of Human Stroke: An Exploratory Study" International Journal of Molecular Sciences 25, no. 9: 4799. https://doi.org/10.3390/ijms25094799
APA StyleNaranjo, Á., Álvarez-Soria, M. J., Aranda-Villalobos, P., Martínez-Rodríguez, A. M., Martínez-Lara, E., & Siles, E. (2024). Hydroxytyrosol, a Promising Supplement in the Management of Human Stroke: An Exploratory Study. International Journal of Molecular Sciences, 25(9), 4799. https://doi.org/10.3390/ijms25094799

