The Influence of the Variable Wettability Characteristics of Layers on the Transport of Nanoparticles in the Context of Drug Delivery in Skin Structures
Abstract
1. Introduction
2. Results
2.1. Transport of NanoCu through Filters with the Same Wettability
2.2. Transport of NanoCu through Alternating Wettability Filters
3. Discussion
3.1. Description of the Transport Process of Nanoparticles through Partitions with Different Wettability Characteristics
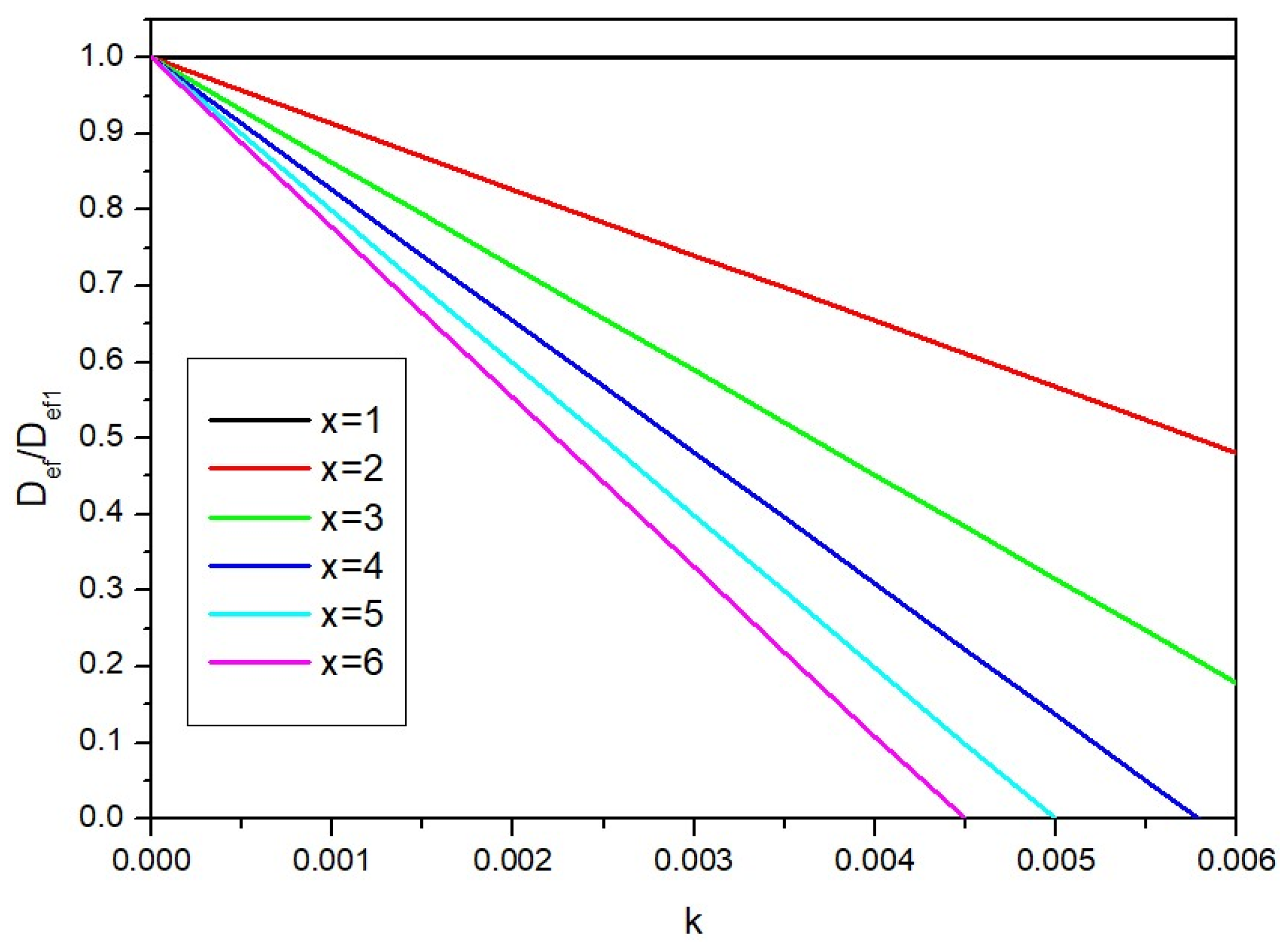
3.2. Mathematical Description of the Transport of Nanoparticles through Layers of Different Wettability—Determination of the Effective Diffusion Coefficient
4. Materials and Methods
4.1. Characterization of Experimental Media
4.2. Experimental Procedure
.5. Conclusions
Author Contributions
Funding
Institutional Review Board Statement
Informed Consent Statement
Data Availability Statement
Conflicts of Interest
References
- Zeb, A.; Arif, S.T.; Malik, M.; Shah, A.; Ud Din, F.; Qureshi, O.S.; Lee, E.S.; Lee, G.Y.; Kim, J.K. Potential of nanoparticulate carriers for improved drug delivery via skin. J. Pharm. Investig. 2019, 49, 485–517. [Google Scholar] [CrossRef]
- Richard, C.; Cassel, S.; Blanzat, M. Vesicular systems for dermal and transdermal drug delivery. RSC Adv. 2020, 11, 442–451. [Google Scholar] [CrossRef]
- Menon, G.K.; Cleary, G.W.; Lane, M.E. The structure and function of the stratum corneum. Int. J. Pharm. 2012, 435, 3–9. [Google Scholar] [CrossRef]
- Bolzinger, M.A.; Briançon, S.; Pelletier, J.; Chevalier, Y. Penetration of drugs through skin, a complex rate-controlling membrane. Curr. Op. Coll. Int. Sci. 2012, 17, 156–165. [Google Scholar] [CrossRef]
- Olejnik, A.; Semba, J.A.; Kulpa, A.; Danczak-Pazdrowska, A.; Dalibor Rybka, J.; Gornowicz-Porowska, J. 3D Bioprinting in Skin Related Research: Recent Achievements and Application Perspectives. ACS Synth. Biol. 2022, 11, 26–38. [Google Scholar] [CrossRef]
- Schneider, M.; Stracke, F.; Hansen, S.; Schaefer, U. Nanoparticles and their interaction with the dermal barrier. Dermato-Endocrinology 2009, 1, 197–206. [Google Scholar] [CrossRef]
- Haleem, A.; Javaid, M.; Singh, R.P.; Rab, S.; Suman, R. Applications of nanotechnology in medical field: A brief review. Glob. Health J. 2023, 7, 70–77. [Google Scholar] [CrossRef]
- Błaszczyk, M.M.; Sęk, J.P. The New Attempt at Modeling of the Three-Dimensional Geometry of the Epidermal Skin Layer and the Diffusion Processes of Nanomolecular Drug Carriers in Such Structures. Molecules 2023, 28, 205. [Google Scholar] [CrossRef]
- Błaszczyk, M.M.; Sęk, J.; Przybysz, Ł. The Combined Diffusion and Adsorption Concept for Prediction of Nanoparticles Transport through Dermal Layers Based on Experiments in Membranes. Int. J. Mol. Sci. 2022, 23, 6419. [Google Scholar] [CrossRef]
- Jeong, W.Y.; Kwon, M.; Choi, H.E.; Kim, K.S. Recent advances in transdermal drug delivery systems: A review. Biomater. Res. 2021, 25, 24. [Google Scholar] [CrossRef]
- Alkilani, A.Z.; McCrudden, M.T.C.; Donnelly, R.F. Transdermal Drug Delivery: Innovative Pharmaceutical Developments Based on Disruption of the Barrier Properties of the stratum corneum. Pharmaceutics 2015, 7, 438–470. [Google Scholar] [CrossRef]
- Brown, M.B.; Martin, G.P.; Jones, S.A.; Akomeah, F.K. Dermal and Transdermal Drug Delivery Systems: Current and Future Prospects. Drug Deliv. 2006, 13, 175–187. [Google Scholar] [CrossRef]
- Schmitt, T.; Neubert, R.H.H. State of the art in Stratum Corneum research: The biophysical properties of ceramides. Chem. Phys. Lipids 2018, 216, 91–103. [Google Scholar] [CrossRef]
- Fei, L.; Wang, C.; Zhao, R.; Du, L.; Fang, Z.; Guo, X.; Zhao, Z. Review of Stratum Corneum Impedance Measurement in Non-Invasive Penetration Application. Biosensors 2018, 8, 31. [Google Scholar] [CrossRef]
- Mitragotri, S.; Anissimov, Y.G.; Bunge, A.L.; Frasch, H.F.; Guy, R.H.; Hadgraft, J.; Kasting, G.B.; Lane, M.E.; Roberts, M.S. Mathematical models of skin permeability: An overview. Int. J. Pharm. 2011, 418, 115–129. [Google Scholar] [CrossRef]
- Anissimov, Y.G.; Jepps, O.G.; Dancik, Y.; Roberts, M.S. Mathematical and pharmacokinetic modelling of epidermal and dermal transport processes. Adv. Drug Deliv. Rev. 2013, 65, 169–190. [Google Scholar] [CrossRef]
- Lee, B.J.; Cheema, Y.; Bader, S.; Duncan, G.A. Shaping nanoparticle diffusion through biological barriers to drug delivery. JCIS Open 2021, 4, 100025. [Google Scholar] [CrossRef]
- Lai, K.; Wang, B.; Zhang, Y.; Zheng, Y. Computer simulation study of nanoparticle interaction with a lipid membrane under mechanical stress. Phys. Chem. Chem. Phys. 2013, 15, 270. [Google Scholar] [CrossRef]
- Foroozesh, J.; Kumar, S. Nanoparticles behaviors in porous media: Application to enhanced oil recovery. J. Mol. Liq. 2020, 316, 113876. [Google Scholar] [CrossRef]
- Rochowski, P.; Grzegorczyk, M.; Pogorzelski, S. A wettability-based approach for the monitoring of drug transport through biological membranes. J. Coll. Int. Sci. 2019, 555, 352–360. [Google Scholar] [CrossRef]
- Su, C.F.; Merlitz, H.; Rabbel, H.; Sommer, J.U. Nanoparticles of Various Degrees of Hydrophobicity Interacting with Lipid Membranes. J. Phys. Chem. Lett. 2017, 8, 4069–4076. [Google Scholar] [CrossRef]
- Wang, S.; Guo, H.; Li, Y.; Li, X. Penetration of nanoparticles across a lipid bilayer: Effects of particle stiffness and surface hydrophobicity. Nanoscale 2019, 11, 4025. [Google Scholar] [CrossRef]
- Verma, N.; Gajula, K.; Gupta, R.; Rai, B. Multiscale modeling of molecule transport through skin’s deeper layers. Comp. Toxicol. 2023, 26, 100267. [Google Scholar] [CrossRef]
- Chandrakala, V.; Aruna, V.; Angajala, G. Review on metal nanoparticles as nanocarriers: Current challenges and perspectives in drug delivery systems. Emerg. Mat. 2022, 5, 1593–1615. [Google Scholar] [CrossRef]
- Gawande, M.B.; Goswami, A.; Felpin, F.X.; Asefa, T.; Huang, X.; Silva, R.; Zou, X.; Zboril, R.; Rajender, S.; Varma, S. Cu and Cu-based nanoparticles: Synthesis and applications in catalysis. Chem. Rev. 2016, 116, 3722–3811. [Google Scholar] [CrossRef]
- Ranu, B.C.; Dey, R.; Chatterjee, T.; Ahammed, S. Copper nanoparticle-catalyzed carbon-carbon and carbon-heteroatom bond formation with a greener perspective. Chemsuschem 2012, 5, 22–44. [Google Scholar] [CrossRef]
- Bhanushali, S.; Ghosh, P.; Ganesh, A.; Cheng, W. 1D copper nanostructures: Progress, challenges and opportunities. Small 2015, 11, 1232–1252. [Google Scholar] [CrossRef]
- Crisan, M.C.; Teodora, M.; Lucian, M. Copper Nanoparticles: Synthesis and Characterization, Physiology, Toxicity and Antimicrobial Applications. Appl. Sci. 2022, 12, 141. [Google Scholar] [CrossRef]
- Woźniak-Budych, M.J.; Staszak, K.; Staszak, M. Copper and Copper-Based Nanoparticles in Medicine—Perspectives and Challenges. Molecules 2023, 28, 6687. [Google Scholar] [CrossRef]
- Zughaibi, T.A.; Mirza, A.A.; Suhail, M.; Jabir, N.R.; Zaidi, S.K.; Wasi, S.; Zawawi, A.; Tabrez, S. Evaluation of Anticancer Potential of Biogenic Copper Oxide Nanoparticles (CuO NPs) against Breast Cancer. J. Nanomat. 2022, 2022, 5326355. [Google Scholar] [CrossRef]
- Ingle, A.P.; Duran, N.; Rai, M. Bioactivity, mechanism of action, and cytotoxicity of copper-based nanoparticles: A review. Appl. Microbiol. Biotech. 2014, 98, 1001–1100. [Google Scholar] [CrossRef] [PubMed]
- Slavin, Y.N.; Asnis, J.; Häfeli, U.O.; Bach, H. Metal nanoparticles: Understanding the mechanisms behind antibacterial activity. J. Nanobiotech. 2017, 15, 65. [Google Scholar] [CrossRef] [PubMed]
- Verma, V.; Kaushik, D. Mupirocin Mounted copper nanoparticle offered augmented drug delivery against resistant bacteria. Indian J. Pharm. Educ. Res. 2020, 54, 637–646. [Google Scholar] [CrossRef]











| a | n | R2 | |
|---|---|---|---|
| HP | 0.0188 | 0.3249 | 0.981 |
| HF | 0.0078 | 0.4842 | 0.975 |
| HP+HF | 0.0052 | 0.4866 | 0.978 |
| HP3 | 0.0161 | 0.2673 | 0.974 |
| HF3 | 0.0044 | 0.4618 | 0.977 |
| HF-HP-HF | 0.0027 | 0.4841 | 0.969 |
| HP-HF-HP | 0.0004 | 0.7533 | 0.956 |
| HP-HF-HP-HF | 0.0012 | 0.4499 | 0.994 |
| HP-HF-HP-HF-HP | 0.0001 | 0.7170 | 0.963 |
| HP-HF-HP-HF-HP-HF | 0.0002 | 0.8841 | 0.984 |
| b | c | R2 | |
| (HP)n | 0.4959 | 0.0346 | 0.993 |
| (HF)n | 0.4506 | 0.0495 | 0.997 |
| (HFP)n | 0.4743 | 0.0793 | 0.984 |
| (HPF)n | 0.5394 | 0.0914 | 0.998 |
| k | R2 | ||
| (HF)n | 0.0032 | 0.994 | |
| (HP)n | 0.0036 | 0.995 | |
| (HFP)n | 0.0426 | 0.993 | |
| (HPF)n | 0.0428 | 0.981 | |
| Catalog No. | Mesh Size [μm] | Thread Diameter [μm] | Splice Density [n/cm] | Empty Area [%] | Splicing Method | |
|---|---|---|---|---|---|---|
| Hydrophilic | SEFAR NITEX03-1/1 | 1 | 75 | 186 | 0.8 | ![]() |
| Hydrophobic | SEFAR NITEX03-1/1/h | 1 | 75 | 186 | 0.8 |
Disclaimer/Publisher’s Note: The statements, opinions and data contained in all publications are solely those of the individual author(s) and contributor(s) and not of MDPI and/or the editor(s). MDPI and/or the editor(s) disclaim responsibility for any injury to people or property resulting from any ideas, methods, instructions or products referred to in the content. |
© 2024 by the authors. Licensee MDPI, Basel, Switzerland. This article is an open access article distributed under the terms and conditions of the Creative Commons Attribution (CC BY) license (https://creativecommons.org/licenses/by/4.0/).
Share and Cite
Błaszczyk, M.M.; Przybysz, Ł.; Budzyń, A. The Influence of the Variable Wettability Characteristics of Layers on the Transport of Nanoparticles in the Context of Drug Delivery in Skin Structures. Int. J. Mol. Sci. 2024, 25, 4665. https://doi.org/10.3390/ijms25094665
Błaszczyk MM, Przybysz Ł, Budzyń A. The Influence of the Variable Wettability Characteristics of Layers on the Transport of Nanoparticles in the Context of Drug Delivery in Skin Structures. International Journal of Molecular Sciences. 2024; 25(9):4665. https://doi.org/10.3390/ijms25094665
Chicago/Turabian StyleBłaszczyk, Mariola M., Łukasz Przybysz, and Aleksandra Budzyń. 2024. "The Influence of the Variable Wettability Characteristics of Layers on the Transport of Nanoparticles in the Context of Drug Delivery in Skin Structures" International Journal of Molecular Sciences 25, no. 9: 4665. https://doi.org/10.3390/ijms25094665
APA StyleBłaszczyk, M. M., Przybysz, Ł., & Budzyń, A. (2024). The Influence of the Variable Wettability Characteristics of Layers on the Transport of Nanoparticles in the Context of Drug Delivery in Skin Structures. International Journal of Molecular Sciences, 25(9), 4665. https://doi.org/10.3390/ijms25094665


