Molecular Dynamics Simulations of Different Nanoparticles at Substrates
Abstract
1. Introduction
2. Results and Discussion
2.1. Description of Studied Systems
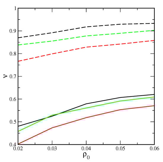
2.2. Adsorption of Nanoparticles on Solid Surfaces
- -
- , for inert particles and weaker surfaces;
- -
- , for inert particles and the strongest adsorbent;
- -
- , for attractive particles.
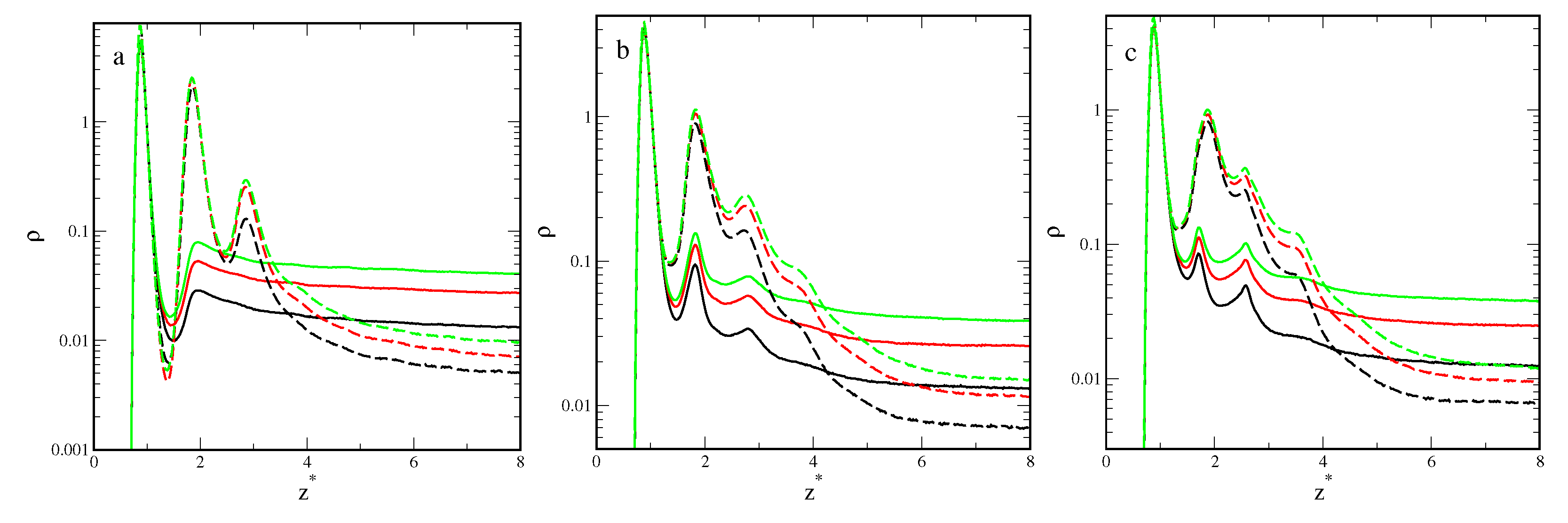
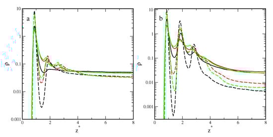
2.3. Structure of Surface Layer
2.4. Surface-Induced Assembly of Nanoparticles
3. Materials and Methods
3.1. Model of the Studied Systems
3.2. Simulation Protocol
3.3. Computed System Observables
4. Conclusions
- The shape of particles considerably affects the adsorption and the degree of the removal of the particles from the bulk phase;
- In good adsorption conditions, there are more rods than plates and more triangles than rectangles in the surface layer;
- For attractive particles, the degree of the removal of the particles considerably depends on the shape, and it is easier to remove rods from the environment than plates, while for inert particles, the shape effect is insignificant.
- For inert particles, monolayer adsorption occurs, while for attractive ones, the multilayer surface phase is formed;
- Surface layers built of plates considerably differ from those formed by the rods, they are thicker and more “rough”;
- Rods are adsorbed parallel to the surface, while the plates are slightly tilted relative to the substrate;
- All inert particles are randomly distributed over the surface of weak adsorbents, while on the strongest surface, plates form small ordered aggregates and rods assemble into larger patches;
- Attractive particles assemble into ordered islands in which rods form patches of smectic phase, rectangles lie parallel to each other, while triangles form “zippers” built of inversely oriented particles.
- Inert and attractive rods form quite large patches of smectic phase;
- Inert rectangles do not form any ordered structures, while attractive rectangles are glued together with the longer sides into short strings;
- Inert triangles assemble into small ordered patches, while attractive triangles form large islands of alternatively oriented stripes with vertexes located on a triangular lattice.
Author Contributions
Funding
Institutional Review Board Statement
Informed Consent Statement
Data Availability Statement
Conflicts of Interest
References
- Su, H.; Hurd Price, C.A.; Jing, L.; Tian, Q.; Liu, J.; Qian, K. Janus particles: Design, preparation, and biomedical applications. Mater. Today Bio 2019, 4, 100033. [Google Scholar] [CrossRef] [PubMed]
- Duan, Y.; Zhao, X.; Sun, M.; Hao, H. Research Advances in the Synthesis, Application, Assembly, and Calculation of Janus Materials. Ind. Eng. Chem. Res. 2021, 60, 1071–1095. [Google Scholar] [CrossRef]
- Moffitt, M.G. Self-Assembly of Polymer Brush-Functionalized Inorganic Nanoparticles: From Hairy Balls to Smart Molecular Mimics. J. Phys. Chem. Lett. 2013, 4, 3654–3666. [Google Scholar] [CrossRef]
- Pengo, P.; Şologan, M.; Pasquato, L.; Guida, F.; Pacor, S.; Tossi, A.; Stellacci, F.; Marson, D.; Boccardo, S.; Pricl, S.; et al. Gold nanoparticles with patterned surface monolayers for nanomedicine: Current perspectives. Eur. Biophys. J. 2017, 46, 749–771. [Google Scholar] [CrossRef] [PubMed]
- Bell, A.T. The Impact of Nanoscience on Heterogeneous Catalysis. Science 2003, 299, 1688–1691. [Google Scholar] [CrossRef] [PubMed]
- Lu, W.; Lieber, C. Nanoelectronics From the Bottom Up. Nat. Mater. 2007, 6, 841–850. [Google Scholar] [CrossRef] [PubMed]
- Wu, X.; Hao, C.; Kumar, J.; Kuang, H.; Kotov, N.A.; Liz-Marzán, L.M.; Xu, C. Environmentally responsive plasmonic nanoassemblies for biosensing. Chem. Soc. Rev. 2018, 47, 4677–4696. [Google Scholar] [CrossRef]
- Langer, R.; Weissleder, R. Nanotechnology. JAMA 2015, 313, 135–136. [Google Scholar] [CrossRef] [PubMed]
- Borówko, M.; Staszewski, T. Hybrid Nanoparticles at Fluid–Fluid Interfaces: Insight from Theory and Simulation. Int. J. Mol. Sci. 2023, 24, 4564. [Google Scholar] [CrossRef]
- Shi, S.; Russell, T.P. Nanoparticle Assembly at Liquid–Liquid Interfaces: From the Nanoscale to Mesoscale. Adv. Mater. 2018, 30, 1800714. [Google Scholar] [CrossRef] [PubMed]
- Thorkelsson, K.; Bai, P.; Xu, T. Self-assembly and applications of anisotropic nanomaterials: A review. Nano Today 2015, 10, 48–66. [Google Scholar] [CrossRef]
- Xu, W.; Li, Z.; Yin, Y. Colloidal Assembly Approaches to Micro/Nanostructures of Complex Morphologies. Small 2018, 14, 1801083. [Google Scholar] [CrossRef] [PubMed]
- Che, J.; Jawaid, A.; Grabowski, C.A.; Yi, Y.J.; Louis, G.C.; Ramakrishnan, S.; Vaia, R.A. Stability of Polymer Grafted Nanoparticle Monolayers: Impact of Architecture and Polymer-Substrate Interactions on Dewetting. ACS Macro Lett. 2016, 5, 1369–1374. [Google Scholar] [CrossRef] [PubMed]
- Che, J.; Park, K.; Grabowski, C.A.; Jawaid, A.; Kelley, J.; Koerner, H.; Vaia, R.A. Preparation of Ordered Monolayers of Polymer Grafted Nanoparticles: Impact of Architecture, Concentration, and Substrate Surface Energy. Macromolecules 2016, 49, 1834–1847. [Google Scholar] [CrossRef]
- Ethier, J.G.; Hall, L.M. Modeling individual and pairs of adsorbed polymer-grafted nanoparticles: Structure and entanglements. Soft Matter 2018, 14, 643–652. [Google Scholar] [CrossRef] [PubMed]
- Ethier, J.G.; Hall, L.M. Structure and Entanglement Network of Model Polymer-Grafted Nanoparticle Monolayers. Macromolecules 2018, 51, 9878–9889. [Google Scholar] [CrossRef]
- Ventura Rosales, I.E.; Rovigatti, L.; Bianchi, E.; Likos, C.N.; Locatelli, E. Shape control of soft patchy nanoparticles under confinement. Nanoscale 2020, 12, 21188–21197. [Google Scholar] [CrossRef] [PubMed]
- Borówko, M.; Sokołowski, S.; Staszewski, T.; Pizio, O. Adsorption of hairy particles with mobile ligands: Molecular dynamics and density functional study. J. Chem. Phys. 2018, 148, 044705. [Google Scholar] [CrossRef] [PubMed]
- Staszewski, T.; Borówko, M. Molecular dynamics simulations of mono-tethered particles at solid surfaces. Phys. Chem. Chem. Phys. 2018, 20, 20194–20204. [Google Scholar] [CrossRef]
- Staszewski, T.; Borówko, M.; Boguta, P. Adsorption of Polymer-Tethered Particles on Solid Surfaces. J. Phys. Chem. B 2022, 126, 1341–1351. [Google Scholar] [CrossRef] [PubMed]
- Borówko, M.; Staszewski, T. Shape Transformations and Self-Assembly of Hairy Particles under Confinement. Int. J. Mol. Sci. 2022, 23, 7919. [Google Scholar] [CrossRef] [PubMed]
- Dias, C.S.; Araújo, N.A.M.; Telo da Gama, M.M. Non-equilibrium adsorption of 2AnB patchy colloids on substrates. Soft Matter 2013, 9, 5616–5623. [Google Scholar] [CrossRef]
- Rosenthal, G.; Klapp, S.H.L. Ordering of amphiphilic Janus particles at planar walls: A density functional study. J. Chem. Phys. 2011, 134, 154707. [Google Scholar] [CrossRef] [PubMed]
- Rosenthal, G.; Klapp, S.H.L. Micelle and Bilayer Formation of Amphiphilic Janus Particles in a Slit-Pore. Int. J. Mol. Sci. 2012, 13, 9431–9446. [Google Scholar] [CrossRef] [PubMed]
- Kobayashi, Y.; Arai, N. Self-assembly of Janus nanoparticles with a hydrophobic hemisphere in nanotubes. Soft Matter 2016, 12, 378–385. [Google Scholar] [CrossRef] [PubMed]
- Baran, L.; Borówko, M.; Rżysko, W. Self-Assembly of Amphiphilic Janus Particles Confined between Two Solid Surfaces. J. Phys. Chem. C 2020, 124, 17556–17565. [Google Scholar] [CrossRef]
- Syafiuddin, A.; Salmiati, S.; Hadibarata, T.; Kueh, A.B.H.; Salim, M.R.; Zaini, M.A.A. Silver Nanoparticles in the Water Environment in Malaysia: Inspection, characterization, removal, modeling, and future perspective. Sci. Rep. 2018, 8, 986. [Google Scholar] [CrossRef]
- Borówko, M.; Staszewski, T. Adsorption on Ligand-Tethered Nanoparticles. Int. J. Mol. Sci. 2021, 22, 8810. [Google Scholar] [CrossRef]
- Li, Y.; Kröger, M.; Liu, W.K. Shape effect in cellular uptake of PEGylated nanoparticles: Comparison between sphere, rod, cube and disk. Nanoscale 2015, 7, 16631–16646. [Google Scholar] [CrossRef]
- Kavan, L.; Yum, J.H.; Grätzel, M. Graphene Nanoplatelets Outperforming Platinum as the Electrocatalyst in Co-Bipyridine-Mediated Dye-Sensitized Solar Cells. Nano Lett. 2011, 11, 5501–5506. [Google Scholar] [CrossRef] [PubMed]
- Lu, L.; Kobayashi, A.; Tawa, K.; Ozaki, Y. Silver Nanoplates with Special Shapes: Controlled Synthesis and Their Surface Plasmon Resonance and Surface-Enhanced Raman Scattering Properties. Chem. Mater. 2006, 18, 4894–4901. [Google Scholar] [CrossRef]
- Pal, S.; Tak, Y.K.; Song, J.M. Does the Antibacterial Activity of Silver Nanoparticles Depend on the Shape of the Nanoparticle? A Study of the Gram-Negative Bacterium Escherichia coli. Appl. Environ. Microbiol. 2007, 73, 1712–1720. [Google Scholar] [CrossRef] [PubMed]
- Millan, J.A.; Ortiz, D.; van Anders, G.; Glotzer, S.C. Self-Assembly of Archimedean Tilings with Enthalpically and Entropically Patchy Polygons. ACS Nano 2014, 8, 2918–2928. [Google Scholar] [CrossRef] [PubMed]
- Millan, J.A.; Ortiz, D.; Glotzer, S.C. Effect of shape on the self-assembly of faceted patchy nanoplates with irregular shape into tiling patterns. Soft Matter 2015, 11, 1386–1396. [Google Scholar] [CrossRef] [PubMed]
- Harper, E.S.; Marson, R.L.; Anderson, J.A.; van Anders, G.; Glotzer, S.C. Shape allophiles improve entropic assembly. Soft Matter 2015, 11, 7250–7256. [Google Scholar] [CrossRef] [PubMed]
- Dennis, F.; Gardner, J.S.E.; Smalyukh, I.I. Towards Reconfigurable Optical Metamaterials: Colloidal Nanoparticle Self-Assembly and Self-Alignment in Liquid Crystals. Mol. Cryst. Liq. Cryst. 2011, 545, 3/[1227]–21/[1245]. [Google Scholar] [CrossRef]
- Zhang, Y.W.; Sun, X.; Si, R.; You, L.P.; Yan, C.H. Single-Crystalline and Monodisperse LaF3 Triangular Nanoplates from a Single-Source Precursor. J. Am. Chem. Soc. 2005, 127, 3260–3261. [Google Scholar] [CrossRef] [PubMed]
- Ye, X.; Collins, J.; Kang, Y.; Chen, J.; Chen, D.; Yodh, A.; Murray, C. Morphologically controlled synthesis of colloidal upconversion nanophosphors and their shape-directed self-assembly. Proc. Natl. Acad. Sci. USA 2010, 107, 22430–22435. [Google Scholar] [CrossRef] [PubMed]
- Chen, P.Z.; Pollit, L.; Jones, L.; Gu, F.X. Functional Two- and Three-Dimensional Architectures of Immobilized Metal Nanoparticles. Chem 2018, 4, 2301–2328. [Google Scholar] [CrossRef]
- Kmiecik, S.; Gront, D.; Kolinski, M.; Wieteska, L.; Dawid, A.E.; Kolinski, A. Coarse-Grained Protein Models and Their Applications. Chem. Rev. 2016, 116, 7898–7936. [Google Scholar] [CrossRef] [PubMed]
- Leach, A. Molecular Modeling: Principles and Applications, 2nd ed.; Pearson Educated Limited: Harlow, UK, 2001. [Google Scholar]
- Roux, B.; Simonson, T. Implicit solvent models. Biophys. Chem. 1999, 78, 1–20. [Google Scholar] [CrossRef] [PubMed]
- Toxvaerd, S.; Dyre, J.C. Communication: Shifted forces in molecular dynamics. J. Chem. Phys. 2011, 134, 081102. [Google Scholar] [CrossRef] [PubMed]
- Abraham, F.F.; Singh, Y. The structure of a hard-sphere fluid in contact with a soft repulsive wall. J. Chem. Phys. 1977, 67, 2384–2385. [Google Scholar] [CrossRef]
- Plimpton, S. Fast Parallel Algorithms for Short-Range Molecular Dynamics. J. Comp. Phys. 1995, 117, 0021–9991. [Google Scholar] [CrossRef]
- Thompson, A.P.; Aktulga, H.M.; Berger, R.; Bolintineanu, D.S.; Brown, W.M.; Crozier, P.S.; in’ t Veld, P.J.; Kohlmeyer, A.; Moore, S.G.; Nguyen, T.D.; et al. LAMMPS—A flexible simulation tool for particle-based materials modeling at the atomic, meso, and continuum scales. Comp. Phys. Comm. 2022, 271, 108171. [Google Scholar] [CrossRef]
- Frenkel, D.; Smit, B. Understanding Molecular Simulation: From Algorithms to Applications, 2nd ed.; Academic Press: San Diego, CA, USA, 1996; Volume 50. [Google Scholar] [CrossRef]
- Lafitte, T.; Kumar, S.K.; Panagiotopoulos, A.Z. Self-assembly of polymer-grafted nanoparticles in thin films. Soft Matter 2014, 10, 786–794. [Google Scholar] [CrossRef]
- Stukowski, A. Visualization and analysis of atomistic simulation data with OVITO-the Open Visualization Tool. Model. Simul. Mater. Sci. Eng. 2010, 18, 015012. [Google Scholar] [CrossRef]









Disclaimer/Publisher’s Note: The statements, opinions and data contained in all publications are solely those of the individual author(s) and contributor(s) and not of MDPI and/or the editor(s). MDPI and/or the editor(s) disclaim responsibility for any injury to people or property resulting from any ideas, methods, instructions or products referred to in the content. |
© 2024 by the authors. Licensee MDPI, Basel, Switzerland. This article is an open access article distributed under the terms and conditions of the Creative Commons Attribution (CC BY) license (https://creativecommons.org/licenses/by/4.0/).
Share and Cite
Borówko, M.; Staszewski, T. Molecular Dynamics Simulations of Different Nanoparticles at Substrates. Int. J. Mol. Sci. 2024, 25, 4550. https://doi.org/10.3390/ijms25084550
Borówko M, Staszewski T. Molecular Dynamics Simulations of Different Nanoparticles at Substrates. International Journal of Molecular Sciences. 2024; 25(8):4550. https://doi.org/10.3390/ijms25084550
Chicago/Turabian StyleBorówko, Małgorzata, and Tomasz Staszewski. 2024. "Molecular Dynamics Simulations of Different Nanoparticles at Substrates" International Journal of Molecular Sciences 25, no. 8: 4550. https://doi.org/10.3390/ijms25084550
APA StyleBorówko, M., & Staszewski, T. (2024). Molecular Dynamics Simulations of Different Nanoparticles at Substrates. International Journal of Molecular Sciences, 25(8), 4550. https://doi.org/10.3390/ijms25084550

