Plasma Concentrations of Rosmarinic Acid in Patients on Antiretroviral Therapy: In Silico Exploration Based on Clinical Data
Abstract
1. Introduction
2. Results
2.1. Lemon Balm Extract and Quality Control Check
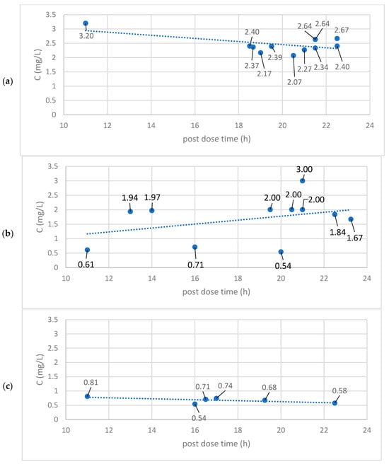
2.2. Plasma Concentrations of Rosmarinic Acid
2.3. In Silico Prediction of Interactions between Rosmarinic Acid and Antiretroviral Drugs
3. Discussion
4. Materials and Methods
4.1. Lemon Balm Extract and Quality Control Check
4.2. Patients
4.3. Study Design
4.4. Blood Samples and Plasma Analysis
4.5. Computational Analysis
4.5.1. Prediction of Activity Spectra for Substances (PASS)
4.5.2. Prediction of Interactions with Transport Proteins
4.5.3. Molecular Docking Analysis
5. Conclusions
Supplementary Materials
Author Contributions
Funding
Institutional Review Board Statement
Informed Consent Statement
Data Availability Statement
Acknowledgments
Conflicts of Interest
References
- Petersen, M.; Abdullah, Y.; Benner, J.; Eberle, D.; Gehlen, K.; Hucherig, S.; Janiak, V.; Kim, K.H.; Sander, M.; Weitzel, C.; et al. Evolution of rosmarinic acid biosynthesis. Phytochemistry 2009, 70, 1663–1679. [Google Scholar] [CrossRef] [PubMed]
- Petersen, M.; Simmonds, M.S. Rosmarinic acid. Phytochemistry 2003, 62, 121–125. [Google Scholar] [CrossRef] [PubMed]
- Hitl, M.; Kladar, N.; Gavarić, N.; Božin, B. Rosmarinic Acid–Human Pharmacokinetics and Health Benefits. Planta Med. 2021, 87, 273–282. [Google Scholar] [CrossRef] [PubMed]
- Noor, S.; Mohammad, T.; Rub, M.A.; Raza, A.; Azum, N.; Yadav, D.K.; Hassan, M.I.; Asiri, A.M. Biomedical features and therapeutic potential of rosmarinic acid. Arch. Pharm. Res. 2022, 45, 205–228. [Google Scholar] [CrossRef] [PubMed]
- Alam, M.A.; Subhan, N.; Hossain, H.; Hossain, M.; Reza, H.M.; Rahman, M.M.; Ullah, M.O. Hydroxycinnamic acid derivatives: A potential class of natural compounds for the management of lipid metabolism and obesity. Nutr. Metab. 2016, 13, 27. [Google Scholar] [CrossRef] [PubMed]
- Alagawany, M.; Abd El-Hack, M.E.; Farag, M.R.; Gopi, M.; Karthik, K.; Malik, Y.S.; Dhama, K. Rosmarinic acid: Modes of action, medicinal values and health benefits. Anim. Health Res. Rev. 2017, 18, 167–176. [Google Scholar] [CrossRef] [PubMed]
- Guan, H.; Luo, W.; Bao, B.; Cao, Y.; Cheng, F.; Yu, S.; Fan, Q.; Zhang, L.; Wu, Q.; Shan, M. A Comprehensive Review of Rosmarinic Acid: From Phytochemistry to Pharmacology and Its New Insight. Molecules 2022, 27, 3292. [Google Scholar] [CrossRef] [PubMed]
- Connelly, A.E.; Tucker, A.J.; Tulk, H.; Catapang, M.; Chapman, L.; Sheikh, N.; Yurchenko, S.; Fletcher, R.; Kott, L.S.; Duncan, A.M.; et al. High-rosmarinic acid spearmint tea in the management of knee osteoarthritis symptoms. J. Med. Food 2014, 17, 1361–1367. [Google Scholar] [CrossRef]
- Lee, J.; Jung, E.; Koh, J.; Kim, Y.S.; Park, D. Effect of rosmarinic acid on atopic dermatitis. J. Dermatol. 2008, 35, 768–771. [Google Scholar] [CrossRef]
- Osakabe, N.; Takano, H.; Sanbongi, C.; Yasuda, A.; Yanagisawa, R.; Inoue, K.; Yoshikawa, T. Anti-inflammatory and anti-allergic effect of rosmarinic acid (RA); inhibition of seasonal allergic rhinoconjunctivitis (SAR) and its mechanism. Biofactors 2004, 21, 127–131. [Google Scholar] [CrossRef]
- Takano, H.; Osakabe, N.; Sanbongi, C.; Yanagisawa, R.; Inoue, K.; Yasuda, A.; Natsume, M.; Baba, S.; Ichiishi, E.; Yoshikawa, T. Extract of Perilla frutescens enriched for rosmarinic acid, a polyphenolic phytochemical, inhibits seasonal allergic rhinoconjunctivitis in humans. Exp. Biol. Med. 2004, 229, 247–254. [Google Scholar] [CrossRef] [PubMed]
- Fazli, D.; Malekirad, A.A.; Pilevarian, A.A.; Salehi, H.; Zeraatpishe, A.; Rahzani, K.; Abdollahi, M. Effects of Melissa officinalis L. on oxidative status and biochemical parameters in occupationally exposed workers to aluminum: A before after Clinical Trial. Int. J. Pharmacol. 2012, 8, 455–458. [Google Scholar] [CrossRef]
- Nayebi, N.; Esteghamati, A.; Meysamie, A.; Khalili, N.; Kamalinejad, M.; Emtiazy, M.; Hashempur, M.H. The effects of a Melissa officinalis L. based product on metabolic parameters in patients with type 2 diabetes mellitus: A randomized double-blinded controlled clinical trial. J. Complement. Integr. Med. 2019, 16, 20180088. [Google Scholar] [CrossRef] [PubMed]
- Javid, A.Z.; Haybar, H.; Dehghan, P.; Haghighizadeh, M.H.; Mohaghegh, S.M.; Ravanbakhsh, M.; Mohammadzadeh, A. The effects of Melissa officinalis (lemon balm) in chronic stable angina on serum biomarkers of oxidative stress, inflammation and lipid profile. Asia Pac. J. Clin. Nutr. 2018, 27, 785–791. [Google Scholar] [PubMed]
- Asadi, A.; Shidfar, F.; Safari, M.; Malek, M.; Hosseini, A.F.; Rezazadeh, S.; Rajab, A.; Shidfar, S.; Hosseini, S. Safety and efficacy of Melissa officinalis (lemon balm) on ApoA–I, Apo B, lipid ratio and ICAM-1 in type 2 diabetes patients: A randomized, double-blinded clinical trial. Complement. Ther. Med. 2018, 40, 83–88. [Google Scholar] [CrossRef] [PubMed]
- Herrlinger, K.A.; Nieman, K.M.; Sanoshy, K.D.; Fonseca, B.A.; Lasrado, J.A.; Schild, A.L.; Maki, K.C.; Wesnes, K.A.; Ceddia, M.A. Spearmint Extract improves working memory in men and women with age-associated memory impairment. J. Altern. Complement. Med. 2018, 24, 37–47. [Google Scholar] [CrossRef] [PubMed]
- Scholey, A.; Gibbs, A.; Neale, C.; Perry, N.; Ossoukhova, A.; Bilog, V.; Kras, M.; Scholz, C.; Sass, M.; Buchwald-Werner, S. Anti-stress effects of lemon balm-containing foods. Nutrients 2014, 6, 4805–4821. [Google Scholar] [CrossRef]
- Noguchi-Shinohara, M.; Hamaguchi, T.; Sakai, K.; Komatsu, J.; Iwasa, K.; Horimoto, M.; Nakamura, H.; Yamada, M.; Ono, K. Effects of Melissa officinalis Extract Containing Rosmarinic Acid on Cognition in Older Adults Without Dementia: A Randomized Controlled Trial. J. Alzheimers Dis. 2023, 91, 805–814. [Google Scholar] [CrossRef]
- Bekut, M.; Brkic, S.; Kladar, N.; Dragovic, G.; Gavaric, N.; Bozin, B. Potential of selected Lamiaceae plants in anti(retro)viral therapy. Pharmacol. Res. 2018, 133, 301–314. [Google Scholar] [CrossRef]
- Koytchev, R.; Alken, R.G.; Dundarov, S. Balm mint extract (Lo-701) for topical treatment of recurring herpes labialis. Phytomedicine 1999, 6, 225–230. [Google Scholar] [CrossRef]
- World Health Organization (WHO). Folium Melissae. In WHO Monograph on Selected Medicinal Plants—Volume 2; WHO: Geneva, Switzerland, 2002; pp. 180–187. [Google Scholar]
- Kernou, O.N.; Azzouz, Z.; Madani, K.; Rijo, P. Application of Rosmarinic Acid with Its Derivatives in the Treatment of Microbial Pathogens. Molecules 2023, 28, 4243. [Google Scholar] [CrossRef] [PubMed]
- Baba, S.; Osakabe, N.; Natsume, M.; Yasuda, A.; Muto, Y.; Hiyoshi, K.; Takano, H.; Yoshikawa, T.; Terao, J. Absorption, metabolism, degradation and urinary excretion of rosmarinic acid after intake of Perilla frutescens extract in humans. Eur. J. Nutr. 2005, 44, 1–9. [Google Scholar] [CrossRef]
- Noguchi-Shinohara, M.; Ono, K.; Hamaguchi, T.; Iwasa, K.; Nagai, T.; Kobayashi, S.; Nakamura, H.; Yamada, M. Pharmacokinetics, safety and tolerability of Melissa officinalis extract which contained rosmarinic acid in healthy individuals: A randomized controlled trial. PLoS ONE 2015, 10, e0126422. [Google Scholar] [CrossRef] [PubMed]
- Nieman, K.M.; Sanoshy, K.D.; Bresciani, L.; Schild, A.L.; Kelley, K.; Lawless, A.; Ceddia, M.A.; Maki, K.C.; Del Rio, D.; Herrlinger, K.A. Tolerance, bioavailability, and potential cognitive health implications of a distinct aqueous spearmint extract. Funct. Food Health Dis. 2015, 5, 165–187. [Google Scholar] [CrossRef]
- Kim, S.B.; Kim, K.S.; Kim, D.D.; Yoon, I.S. Metabolic interactions of rosmarinic acid with human cytochrome P450 monooxygenases and uridine diphosphate glucuronosyltransferases. Biomed. Pharmacother. 2019, 110, 111–117. [Google Scholar] [CrossRef] [PubMed]
- Hassan, S.S.; Abbas, S.Q.; Ali, F.; Ishaq, M.; Bano, I.; Hassan, M.; Jin, H.Z.; Bungau, S.G. A Comprehensive in silico exploration of pharmacological properties, bioactivities, molecular docking, and anticancer potential of vieloplain F from Xylopia vielana Targeting B-Raf Kinase. Molecules 2022, 27, 917. [Google Scholar] [CrossRef] [PubMed]
- Pavlović, N.; Milošević, N.; Đanić, M.; Goločorbin-Kon, S.; Stanimirov, B.; Stankov, K.; Mikov, M. Antimetastatic Potential of Quercetin Analogues with Improved Pharmacokinetic Profile: A Pharmacoinformatic Preliminary Study. Anti-Cancer Agents Med. Chem. 2022, 22, 1407–1413. [Google Scholar] [CrossRef] [PubMed]
- Zhang, W.; Huai, Y.; Miao, Z.; Qian, A.; Wang, Y. Systems pharmacology for investigation of the mechanisms of action of traditional Chinese medicine in drug discovery. Front. Pharmacol. 2019, 10, 743. [Google Scholar] [CrossRef]
- Poroikov, V.V. Computer-aided drug design: From discovery of novel pharmaceutical agents to systems pharmacology. Biochem. Mosc. Suppl. Ser. B Biomed. Chem. 2020, 14, 216–227. [Google Scholar] [CrossRef]
- Peng, Y.; Cheng, Z.; Xie, F. Evaluation of pharmacokinetic drug–drug interactions: A review of the mechanisms, in vitro and in silico approaches. Metabolites 2021, 11, 75. [Google Scholar] [CrossRef]
- Lešnik, S.; Bren, U. Mechanistic Insights into Biological Activities of Polyphenolic Compounds from Rosemary Obtained by Inverse Molecular Docking. Foods 2021, 11, 67. [Google Scholar] [CrossRef]
- Smith, J.N.; Gaither, K.A.; Pande, P. Competitive metabolism of polycyclic aromatic hydrocarbons (PAHs): An assessment using in vitro metabolism and physiologically based pharmacokinetic (PBPK) modeling. Int. J. Environ. Res. Public Health 2022, 19, 8266. [Google Scholar] [CrossRef]
- Roy, C.; Ghosh, P. P-glycoprotein Mediated Enhanced Bioavailability of Novel Corona Virus Drugs through Immunomodulatory Herbs—In silico approach. Int. J. Pharm. Res. 2021, 13, 4375–4383. [Google Scholar]
- El-Sharawy, D.M.; Khater, S.I.; El Refaye, M.S.; Hassan, H.M.; AboulMagd, A.M.; Aboseada, M.A. Radiolabeling, biological distribution, docking and ADME studies of 99mTc-Ros as a promising natural tumor tracer. Appl. Radiat. Isot. 2022, 184, 110196. [Google Scholar] [CrossRef] [PubMed]
- Mairinger, S.; Hernández-Lozano, I.; Filip, T.; Sauberer, M.; Löbsch, M.; Stanek, J.; Wanek, T.; Sake, J.A.; Pekar, T.; Ehrhardt, C.; et al. Impact of P-gp and BCRP on pulmonary drug disposition assessed by PET imaging in rats. J. Control. Release 2022, 349, 109–117. [Google Scholar] [CrossRef] [PubMed]
- Muheem, A.; Nehal, N.; Sartaj, A.; Baboota, S.; Ali, J. Importance of P-gp inhibitors and nanoengineered approaches for effective delivery of anti-retroviral drugs across barriers in HIV management. J. Drug Deliv. Sci. Technol. 2023, 87, 104791. [Google Scholar]
- Berruet, N.; Sentenac, S.; Auchere, D.; Gimenez, F.; Farinotti, R.; Fernandez, C. Effect of efavirenz on intestinal p-glycoprotein and hepatic p450 function in rats. J. Pharm. Pharm. Sci. 2005, 8, 226–234. [Google Scholar] [PubMed]
- Mouly, S.; Lown, K.S.; Kornhauser, D.; Joseph, J.L.; Fiske, W.D.; Benedek, I.H.; Watkins, P.B. Hepatic but not intestinal CYP3A4 displays dose-dependent induction by efavirenz in humans. Clin. Pharmacol. Ther. 2002, 72, 1–9. [Google Scholar] [CrossRef] [PubMed]
- Fujimoto, H.; Higuchi, M.; Watanabe, H.; Koh, Y.; Ghosh, A.K.; Mitsuya, H.; Tanoue, N.; Hamada, A.; Saito, H. P-glycoprotein mediates efflux transport of darunavir in human intestinal Caco-2 and ABCB1 gene-transfected renal LLC-PK1 cell lines. Biol. Pharm. Bull. 2009, 32, 1588–1593. [Google Scholar] [CrossRef] [PubMed]
- Holmstock, N.; Mols, R.; Annaert, P.; Augustijns, P. In situ intestinal perfusion in knockout mice demonstrates inhibition of intestinal p-glycoprotein by ritonavir causing increased darunavir absorption. Drug Metab. Dispos. 2010, 38, 1407–1410. [Google Scholar] [CrossRef]
- Hoque, M.T.; Kis, O.; De Rosa, M.F.; Bendayan, R. Raltegravir permeability across blood-tissue barriers and the potential role of drug efflux transporters. Antimicrob. Agents Chemother. 2015, 59, 2572–2582. [Google Scholar] [CrossRef]
- Zembruski, N.C.; Büchel, G.; Jödicke, L.; Herzog, M.; Haefeli, W.E.; Weiss, J. Potential of novel antiretrovirals to modulate expression and function of drug transporters in vitro. J. Antimicrob. Chemother. 2011, 66, 802–812. [Google Scholar] [CrossRef] [PubMed]
- Dupuis, M.L.; Ascione, A.; Palmisano, L.; Vella, S.; Cianfriglia, M. Raltegravir does not revert efflux activity of MDR1-P-glycoprotein in human MDR cells. BMC Pharmacol. Toxicol. 2013, 14, 47. [Google Scholar] [CrossRef] [PubMed]
- Mora Lagares, L.; Minovski, N.; Novič, M. Multiclass classifier for P-glycoprotein substrates, inhibitors, and non-active compounds. Molecules 2019, 24, 2006. [Google Scholar] [CrossRef] [PubMed]
- Yang, X.; Peng, Y.; He, Y.; Huang, X.; Xu, A.; Bi, X.; Xie, Y. P-glycoprotein mediated interactions between Chinese materia medica and pharmaceutical drugs. Digit. Chin. Med. 2021, 4, 251–261. [Google Scholar] [CrossRef]
- Salaj, N.; Kladar, N.; Srdenovic Conic, B.; Jeremic, K.; Barjaktarović, J.; Hitl, M.; Gavarić, N.; Božin, B. Stabilization of sunflower and olive oils with savory (Satureja kitaibelii, Lamiaceae). J. Food Nutr. Res. 2020, 59, 259–271. [Google Scholar]
- De Oliveira, K.; de Oliveira, B. HPLC/DAD Determination of Rosmarinic Acid in Salvia officinalis: Sample Preparation Optimization by Factorial Design. J. Braz. Chem. Soc. 2013, 24, 85–91. [Google Scholar] [CrossRef]
- Bashary, R.; Khatik, G.L. Design, and facile synthesis of 1, 3 diaryl-3-(arylamino) propan-1-one derivatives as the potential alpha-amylase inhibitors and antioxidants. Bioorg. Chem. 2019, 82, 156–162. [Google Scholar] [CrossRef]
- Filimonov, D.A.; Lagunin, A.A.; Gloriozova, T.A.; Rudik, A.V.; Druzhilovskii, D.S.; Pogodin, P.V.; Poroikov, V.V. Prediction of the biological activity spectra of organic compounds using the PASS online web resource. Chem. Heterocycl. Compd. 2014, 50, 444–457. [Google Scholar] [CrossRef]
- Montanari, F.; Knasmüller, B.; Kohlbacher, S.; Hillisch, C.; Baierová, C.; Grandits, M.; Ecker, G.F. Vienna LiverTox workspace—A set of machine learning models for prediction of interactions profiles of small molecules with transporters relevant for regulatory agencies. Front. Chem. 2020, 7, 899. [Google Scholar] [CrossRef]
- Brecklinghaus, T.; Albrecht, W.; Kappenberg, F.; Duda, J.; Vartak, N.; Edlund, K.; Marchan, R.; Ghallab, A.; Cadenas, C.; Günther, G.; et al. The hepatocyte export carrier inhibition assay improves the separation of hepatotoxic from non-hepatotoxic compounds. Chem.-Biol. Interact. 2022, 351, 109728. [Google Scholar] [CrossRef]
- Universität Wien. Vienna LiverTox Workspace 2023. Available online: https://livertox.univie.ac.at/ (accessed on 15 September 2023).
- Thomsen, R.; Christensen, M.H. MolDock: A new technique for high-accuracy molecular docking. J. Med. Chem. 2006, 49, 3315–3321. [Google Scholar] [CrossRef]
- Alam, A.; Kowal, J.; Broude, E.; Roninson, I.; Locher, K.P. Structural insight into substrate and inhibitor discrimination by human P-glycoprotein. Science 2019, 363, 753–756. [Google Scholar] [CrossRef]


| Compound | Pa | Pi | Activity |
|---|---|---|---|
Rosmarinic acid![]() | 0.956 | 0.003 | Membrane integrity agonist |
| 0.938 | 0.003 | Feruloyl esterase inhibitor | |
| 0.921 | 0.002 | Antihypoxic | |
| 0.836 | 0.003 | Monophenol monooxygenase inhibitor | |
| 0.799 | 0.005 | Antidiabetic | |
| 0.804 | 0.020 | CYP2J substrate | |
| 0.787 | 0.011 | GST A substrate | |
| 0.779 | 0.004 | Reductant | |
| 0.785 | 0.012 | Membrane permeability inhibitor | |
| 0.766 | 0.004 | Pyruvate decarboxylase inhibitor | |
Efavirenz![]() | 0.898 | 0.003 | Antiviral (HIV) |
| 0.881 | 0.004 | Antiviral | |
| 0.879 | 0.001 | HIV-1 reverse transcriptase inhibitor | |
| 0.853 | 0.003 | Biliary tract disorder treatment | |
| 0.711 | 0.071 | Phobic disorder treatment | |
| 0.600 | 0.005 | Skeletal muscle relaxant | |
| 0.589 | 0.005 | DNA directed RNA polymerase inhibitor | |
| 0.556 | 0.017 | Prostate disorder treatment | |
| 0.521 | 0.041 | CYP3A1 substrate | |
| 0.490 | 0.016 | Muscle relaxant | |
Darunavir![]() | 0.878 | 0.003 | Antiviral (HIV) |
| 0.873 | 0.004 | Antiviral | |
| 0.834 | 0.002 | HIV-1 protease inhibitor | |
| 0.537 | 0.051 | CYP3A substrate | |
| 0.464 | 0.021 | P-glycoprotein substrate | |
| 0.539 | 0.106 | CDP-glycerol phosphotransferase inhibitor | |
| 0.477 | 0.067 | CYP3A4 substrate | |
| 0.423 | 0.024 | CYP2A11 substrate | |
| 0.402 | 0.040 | CYP2C19 inducer | |
| 0.412 | 0.100 | Anaphylatoxin receptor antagonist | |
Raltegravir![]() | 0.641 | 0.002 | HIV-1 integrase inhibitor |
| 0.528 | 0.006 | Antiviral | |
| 0.463 | 0.004 | Antiviral (HIV) | |
| 0.440 | 0.003 | Poly(ADP-ribose) polymerase 2 inhibitor | |
| 0.424 | 0.059 | PDGF receptor kinase inhibitor | |
| 0.288 | 0.005 | Gastrointestinal disorder treatment | |
| 0.323 | 0.045 | DNA polymerase I inhibitor | |
| 0.287 | 0.045 | Thiol protease inhibitor | |
| 0.282 | 0.046 | Raynaud’s phenomenon treatment | |
| 0.241 | 0.053 | Antineoplastic enhancer |
| CYPs Metabolizing Rosmarinic Acid | Influence of Efavirenz | Influence of Darunavir | Influence of Raltegravir |
|---|---|---|---|
| CYP2J (Pa 0.804, Pi 0.020) | / | / | / |
| CYP2J2 (Pa 0.693, Pi 0.035) | / | / | / |
| CYP4A11 (Pa 0.553, Pi 0.012) | substrate (Pa 0.311, Pi 0.122) | / | / |
| CYP4A (Pa 0.534, Pi 0.008) | substrate (Pa 0.346, Pi 0.051) | / | / |
| CYP2C12 (Pa 0.516, Pi 0.086) | / | / | / |
| CYP2C8 (Pa 0.411, Pi 0.063) | / | / | / |
| CYP2F1 (Pa 0.373, Pi 0.063) | / | / | / |
| CYP26A (Pa 0.303, Pi 0.004) | / | / | / |
| CYP2H (Pa 0.446, Pi 0.167) | / | substrate (Pa 0.424, Pi 0.190) | substrate (Pa 0.394, Pi 0.223) |
| CYP2D16 (Pa 0.358, Pi 0.098) | / | / | / |
| CYP2C6 (Pa 0.307, Pi 0.049) | / | / | / |
| CYP2A4 (Pa 0.324, Pi 0.093) | / | / | / |
| CYP2C (Pa 0.307, Pi 0.116) | / | substrate (Pa 0.351, Pi 0.094) | / |
| CYP3A2 (Pa 0.353, Pi 0.177) | substrate (Pa 0.453, Pi 0.104) | / | / |
| CYP3A4 (Pa 0.306, Pi 0.146) | substrate (Pa 0.390, Pi 0.093) | substrate (Pa 0.477, Pi 0.067) | / |
| Rosmarinic Acid | Efavirenz | Darunavir | Raltegravir | |
|---|---|---|---|---|
| P-glycoprotein | ||||
| transport | positive | negative | positive | negative |
| inhibition | negative | negative | negative | positive |
| BCRP | ||||
| transport | positive | positive | negative | positive |
| inhibition | negative | positive | negative | negative |
| BSEP | ||||
| transport | negative | positive | positive | negative |
| inhibition | negative | negative | positive | positive |
| MRP3 | ||||
| transport | negative | negative | negative | negative |
| inhibition | negative | negative | positive | positive |
| Ligand | MolDock Score (kcal mol−1) |
|---|---|
| Rosmarinic acid | −114.253 |
| Efavirenz | −97.532 |
| Darunavir | −157.616 |
| Raltegravir | −126.506 |
| Paclitaxel | −204.484 |
Disclaimer/Publisher’s Note: The statements, opinions and data contained in all publications are solely those of the individual author(s) and contributor(s) and not of MDPI and/or the editor(s). MDPI and/or the editor(s) disclaim responsibility for any injury to people or property resulting from any ideas, methods, instructions or products referred to in the content. |
© 2024 by the authors. Licensee MDPI, Basel, Switzerland. This article is an open access article distributed under the terms and conditions of the Creative Commons Attribution (CC BY) license (https://creativecommons.org/licenses/by/4.0/).
Share and Cite
Hitl, M.; Pavlović, N.; Brkić, S.; Dragović, G.; Srđenović-Čonić, B.; Kladar, N. Plasma Concentrations of Rosmarinic Acid in Patients on Antiretroviral Therapy: In Silico Exploration Based on Clinical Data. Int. J. Mol. Sci. 2024, 25, 2230. https://doi.org/10.3390/ijms25042230
Hitl M, Pavlović N, Brkić S, Dragović G, Srđenović-Čonić B, Kladar N. Plasma Concentrations of Rosmarinic Acid in Patients on Antiretroviral Therapy: In Silico Exploration Based on Clinical Data. International Journal of Molecular Sciences. 2024; 25(4):2230. https://doi.org/10.3390/ijms25042230
Chicago/Turabian StyleHitl, Maja, Nebojša Pavlović, Snežana Brkić, Gordana Dragović, Branislava Srđenović-Čonić, and Nebojša Kladar. 2024. "Plasma Concentrations of Rosmarinic Acid in Patients on Antiretroviral Therapy: In Silico Exploration Based on Clinical Data" International Journal of Molecular Sciences 25, no. 4: 2230. https://doi.org/10.3390/ijms25042230
APA StyleHitl, M., Pavlović, N., Brkić, S., Dragović, G., Srđenović-Čonić, B., & Kladar, N. (2024). Plasma Concentrations of Rosmarinic Acid in Patients on Antiretroviral Therapy: In Silico Exploration Based on Clinical Data. International Journal of Molecular Sciences, 25(4), 2230. https://doi.org/10.3390/ijms25042230





