Alkaloids from Waltheria spp. (Malvaceae): Chemosystematic Aspects, Biosynthesis, Total Synthesis, and Biological Activities
Abstract
1. Introduction
2. Traditional Medicine
3. Alkaloids from Waltheria
3.1. Quinolone Alkaloids
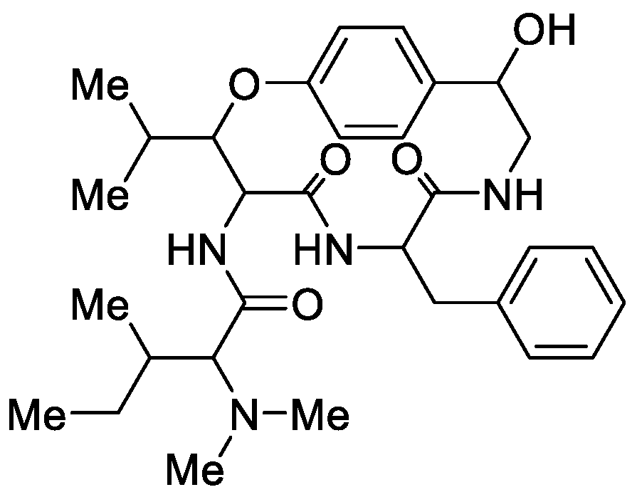
3.2. Cyclopeptide Alkaloids
4. Chemosystematic Aspects
5. Biosynthesis
5.1. Biosynthesis of 4-quinolone Alkaloids
5.2. Biosynthesis of Cyclopeptide Alkaloids
6. Total Synthesis
7. Pharmacological Properties of Alkaloids
8. Derivatives of 4-Quinolone Alkaloids
9. Other Applications
10. Conclusions
Supplementary Materials
Author Contributions
Funding
Conflicts of Interest
References
- WFO. The World Flora Online. Available online: http://www.worldfloraonline.org/taxon/wfo-4000040514 (accessed on 10 April 2023).
- Coutinho, T.S.; Colli-Silva, M.; Alves, M. Novelties in Brazilian Waltheria L. (Byttnerioideae, Malvaceae): Two New Species and One Re-Establishment. Acta Bot. Bras. 2020, 34, 449–459. [Google Scholar] [CrossRef]
- Coutinho, T.S.; Sader, M.A.; Pedrosa-harand, A.; Alves, M. Waltheria marielleae (Byttnerioideae, Malvaceae), a New Species from North-Eastern Brazil Supported by Morphological and Phylogenetic Evidence. Plant Ecol. Evol. 2022, 155, 353–362. [Google Scholar] [CrossRef]
- Coutinho, T.S.; Colli-Silva, M.; Pirani, J.R. Waltheria L. In Flora do Brasil 2020; Jardim Botânico do Rio de Janeiro: Rio de Janeiro, Brazil, 2024. [Google Scholar]
- Viegas, C.C.d.S.D.; Rodrigues, L.T.D.; Pires, H.F.O.; de Assis, T.S. Propriedades Bioativas in vitro e in vivo do Gênero Waltheria Pertencente à Família Malvaceae: Uma Revisão da Literatura. Res. Soc. Dev. 2022, 11, e19011427351. [Google Scholar] [CrossRef]
- Silva, R.; Domingos, L.; de Castro, G.; Laport, M.; Ferreira-Pereira, A.; Lima, M.; Cotinguiba, F. Leishmanicidal and Antimicrobial Activities of 4-Quinolone Alkaloids from Stems of the Medicinal Plant Waltheria indica (Malvaceae) and Their Chemotaxonomic Significance. J. Braz. Chem. Soc. 2022, 33, 1291–1298. [Google Scholar] [CrossRef]
- Zongo, F.; Ribuot, C.; Boumendjel, A.; Guissou, I. Botany, Traditional Uses, Phytochemistry and Pharmacology of Waltheria indica L. (Syn. Waltheria americana): A Review. J. Ethnopharmacol. 2013, 148, 14–26. [Google Scholar] [CrossRef]
- Lawal, I.O.; Rafiu, B.O.; Ale, J.E.; Majebi, O.E.; Aremu, A.O. Ethnobotanical Survey of Local Flora Used for Medicinal. Plants 2022, 11, 633. [Google Scholar] [CrossRef] [PubMed]
- Cretton, S.; Breant, L.; Pourrez, L.; Ambuehl, C.; Marcourt, L.; Ebrahimi, S.N.; Hamburger, M.; Perozzo, R.; Karimou, S.; Kaiser, M.; et al. Antitrypanosomal Quinoline Alkaloids from the Roots of Waltheria indica. J. Nat. Prod. 2014, 77, 2304–2311. [Google Scholar] [CrossRef] [PubMed]
- Monteillier, A.; Cretton, S.; Ciclet, O.; Marcourt, L.; Ebrahimi, S.N.; Christen, P.; Cuendet, M. Cancer Chemopreventive Activity of Compounds Isolated from Waltheria indica. J. Ethnopharmacol. 2017, 203, 214–225. [Google Scholar] [CrossRef] [PubMed]
- Cretton, S.; Bréant, L.; Pourrez, L.; Ambuehl, C.; Perozzo, R.; Marcourt, L.; Kaiser, M.; Cuendet, M.; Christen, P. Chemical Constituents from Waltheria indica Exert in vitro Activity against Trypanosoma brucei and T. cruzi. Fitoterapia 2015, 105, 55–60. [Google Scholar] [CrossRef]
- Laczko, R.; Chang, A.; Watanabe, L.; Petelo, M.; Kahaleua, K.; Bingham, J.P.; Csiszar, K. Anti-Inflammatory Activities of Waltheria indica Extracts by Modulating Expression of IL-1B, TNF-α, TNFRII and NF-ΚB in Human Macrophages. Inflammopharmacology 2019, 28, 525–540. [Google Scholar] [CrossRef]
- Waltheria indica. Available online: http://pza.sanbi.org/waltheria-indica (accessed on 10 July 2023).
- Crow, W.D.; Price, J.R. Alkaloids of the Australian Rutaceae: Melicope fareana. V. The Structure of the Alkaloids. Aust. J. Chem. 1949, 2, 282–306. [Google Scholar] [CrossRef]
- Hernández-Arteseros, J.A.; Barbosa, J.; Compañó, R.; Prat, M.D. Analysis of Quinolone Residues in Edible Animal Products. J. Chromatogr. A 2002, 945, 1–24. [Google Scholar] [CrossRef] [PubMed]
- Liu, F.; Donnell, T.J.O.; Park, E.; Kovacs, S.; Nakamura, K.; Dave, A.; Luo, Y.; Sun, R.; Wall, M.; Wongwiwatthananukit, S.; et al. Anti-Inflammatory Quinoline Alkaloids from the Roots of Waltheria indica. J. Nat. Prod. 2023, 86, 276–289. [Google Scholar] [CrossRef] [PubMed]
- Kapadia, G.J.; Fales, H.M. Melochinone, a Novel Quinolinone from Melochia tomentosa L. J. Am. Chem. Soc. 1975, 6814, 6814–6819. [Google Scholar] [CrossRef] [PubMed]
- Kapadia, G.J.; Shukla, Y.N.; Basak, S.P.; Fales, H.M.; Sokoloski, E.A. Melovinone, an Open Chain Analogue of Melochinone from Melochia tomentosa. Phytochemistry 1978, 17, 1444–1445. [Google Scholar] [CrossRef]
- Bringmann, G.; Rischer, H.; Wohlfarth, M.; Schlauer, J. Biosynthesis of Antidesmone in Cell Cultures of Antidesma membranaceum (Euphorbiaceae): An Unprecedented Class of Glycine-Derived Alkaloids. J. Am. Chem. Soc. 2000, 122, 9905–9910. [Google Scholar] [CrossRef]
- Bringmann, G.; Schlauer, J.; Rischer, H.; Wohlfarth, M.; Mühlbacher, J.; Buske, A.; Porzel, A.; Schmidt, J.; Adam, G. Revised Structure of Antidesmone, an Unusual Alkaloid from Tropical Antidesma Plants (Euphorbiaceae). Tetrahedron 2000, 56, 3691–3695. [Google Scholar] [CrossRef]
- Buske, A.; Schmidt, J.; Hoffmann, P. Chemotaxonomy of the Tribe Antidesmeae (Euphorbiaceae): Antidesmone and Related Compounds. Phytochemistry 2002, 60, 489–496. [Google Scholar] [CrossRef] [PubMed]
- Dias, G.O.C.; Porto, C.; Stüker, C.Z.; Graessler, V.; Burrow, R.A.; Dalcol, I.I.; Da Silva, U.F.; Morel, A.F. Alkaloids from Melochia chamaedrys. Planta Med. 2007, 73, 289–292. [Google Scholar] [CrossRef]
- Gressler, V.; Stüker, C.Z.; de O.C. Dias, G.; Dalcol, I.I.; Burrow, R.A.; Schmidt, J.; Wessjohann, L.; Morel, A.F. Quinolone Alkaloids from Waltheria douradinha. Phytochemistry 2008, 69, 994–999. [Google Scholar] [CrossRef] [PubMed]
- Cretton, S.; Dorsaz, S.; Azzollini, A.; Favre-Godal, Q.; Marcourt, L.; Ebrahimi, S.N.; Voinesco, F.; Michellod, E.; Sanglard, D.; Gindro, K.; et al. Antifungal Quinoline Alkaloids from Waltheria indica. J. Nat. Prod. 2016, 79, 300–307. [Google Scholar] [CrossRef] [PubMed]
- Liang, C.; Yang, L.; Shao, Y.; Zhu, X.; Zhao, H.; Chen, B.; Song, W.; Song, X.; Ding, X.; Sun, R. Broad-Spectrum Antifungal Activity of Dichloromethane Extract of Waltheria indica Stems and Isolated Compounds. Ind. Crop. Prod. 2019, 142, 111855. [Google Scholar] [CrossRef]
- Lima, M.M.d.C. Estudo Dos Alcaloides Quinolônicos de Waltheria brachypetala Turcz: Isolamento, Determinação Estrutural, Biogênese, Atividades Fungitóxica e Anticolinesterase. Ph.D. Thesis, Universidade Federal de São Carlos, São Carlos, Brazil, 2012. [Google Scholar]
- Hoelzel, S.C.S.M.; Vieira, E.R.; Giacomelli, S.R.; Dalcol, I.I.; Zanatta, N.; Morel, A.F. An Unusual Quinolinone Alkaloid from Waltheria douradinha. Phytochemistry 2005, 66, 1163–1167. [Google Scholar] [CrossRef]
- Lima, M.M.C.; López, J.A.; David, J.M.; Silva, E.P.; Giulietti, A.M.; De Queiroz, L.P.; David, J.P. Acetylcholinesterase Activity of Alkaloids from the Leaves of Waltheria brachypetala. Planta Med. 2009, 75, 335–337. [Google Scholar] [CrossRef]
- Jang, J.Y.; Le Dang, Q.; Choi, G.J.; Park, H.W.; Kim, J.C. Control of Root-Knot Nematodes Using Waltheria indica Producing 4-Quinolone Alkaloids. Pest Manag. Sci. 2019, 75, 2264–2270. [Google Scholar] [CrossRef] [PubMed]
- Ferreira, M.D.L.; Fernandes, D.A.; Nunes, F.C.; Teles, Y.C.F.; Rolim, Y.M.; da Silva, C.M.; de Albuquerque, J.B.L.; Agra, M. de F.; de Souza, M. de F.V. Phytochemical Study of Waltheria viscosissima and Evaluation of Its Larvicidal Activity against Aedes aegypti. Rev. Bras. Farmacogn 2019, 29, 582–590. [Google Scholar] [CrossRef]
- Jadulco, R.C.; Pond, C.D.; Van Wagoner, R.M.; Koch, M.; Gideon, O.G.; Matainaho, T.K.; Piskaut, P.; Barrows, L.R. 4-Quinolone Alkaloids From Melochia odorata. J. Nat. Prod. 2014, 77, 183–187. [Google Scholar] [CrossRef][Green Version]
- Païs, M.; Mainil, J.; Goutarel, R. The Adouetins X, Y and Z, Alkaloids of Waltheria americana L. (Sterculia). Ann. Pharm. Françaises 1963, 21, 139–146. [Google Scholar]
- Tschesche, R.; Kaussman, E.U. The Cyclopeptide Alkaloids. In The Alkaloids; Manske, A.P., Ed.; Elsevier Inc.: New York, NY, USA, 1975; Volume 15, pp. 165–205. ISBN 9788578110796. [Google Scholar]
- Tan, N.H.; Zhou, J. Plant Cyclopeptides. Chem. Rev. 2006, 106, 840–895. [Google Scholar] [CrossRef] [PubMed]
- Gournelis, D.C.; Laskaris, G.G.; Verpoorte, R. Cyclopeptide Alkaloids. Nat. Prod. Rep. 1997, 14, 75–82. [Google Scholar] [CrossRef] [PubMed]
- Gehm, A.Z.; Cunha, S.B.; da Silva, B.W.; Mostardeiro, M.A.; Bastos, N.R.; Burrow, R.A.; Caro, M.S.B.; Dalcol, I.I.; Morel, A.F. New Cyclopeptide Alkaloid of Condalia buxifolia and the Absolute Stereochemistry of Condaline A. Fitoterapia 2022, 159, 105194. [Google Scholar] [CrossRef] [PubMed]
- Tuenter, E.; Exarchou, V.; Apers, S.; Pieters, L. Cyclopeptide Alkaloids. Phytochem. Rev. 2017, 16, 623–637. [Google Scholar] [CrossRef]
- Païs, M.; Marchand, J.; Jarreau, F.; Goutarel, R. Reptide Alkaloids. V. Structures of Adouetines X,Y,Y1, and Z, the Alkaloids of Waltheria americana L. (Sterculiaceae). Bull. Société Chim. Fr. 1968, 3, 1145–1148. [Google Scholar]
- Dias, G.C.D.; Gressler, V.; Hoenzel, S.C.S.M.; Silva, U.F.; Dalcol, I.I.; Morel, A.F. Constituents of the Roots of Melochia chamaedrys. Phytochemistry 2007, 68, 668–672. [Google Scholar] [CrossRef]
- Emile, A.; Waikedre, J.; Herrenknecht, C.; Fourneau, C.; Gantier, J.-C.; Hnawia, E.; Cabalion, P.; Hocquemiller, R.; Fournet, A. Bioassay-Guided Isolation of Antifungal Alkaloids from Melochia odorata. Phytother. Res. 2007, 21, 398–400. [Google Scholar] [CrossRef]
- Erwin; Noor, A.; Soekamto, N.H.; van Altena, I.; Syah, Y.M. Waltherione C and Cleomiscosin from Melochia umbellata Vardegrabrata K. (Malvaceae), Biosynthetic and Chemotaxonomic Significance. Biochem. Syst. Ecol. 2014, 55, 358–361. [Google Scholar] [CrossRef]
- De Medeiros Silva, R.; de Castro Lima, M.M.; Cotinguiba, F. Dereplication of 4-Quinolone Alkaloids from Waltheria indica (Malvaceae) Tissues Using Molecular Network Tools. Chem. Biodivers. 2024, 21, e202400665. [Google Scholar] [CrossRef]
- Dewick, P.M. Medicinal Natural Products A Biosynthetic Approach, 3rd ed.; John Wiley & Sons, L., Ed.; Wiley: Oxford, UK, 2009; ISBN 0471496413. [Google Scholar]
- Lichman, B.R. The Scaffold-Forming Steps of Plant Alkaloid Biosynthesis. Nat. Prod. Rep. 2021, 38, 103–129. [Google Scholar] [CrossRef]
- Chekan, J.R.; Mydy, L.S.; Pasquale, M.A.; Kersten, R.D. Plant Peptides—Redefining an Area of Ribosomally Synthesized and Post-Translationally Modified Peptides. Nat. Prod. Rep. 2024, 41, 1020–1059. [Google Scholar] [CrossRef] [PubMed]
- Marchand, J.; Païs, M.; Monseur, X.; Jarreau, F.X. Peptide Alkaloids. VII. Lasiodines A and B, Alkaloids of Lasiodiscus marmoratus C. H. Wright (Rhamnaceae). Tetrahedron 1969, 25, 937–954. [Google Scholar] [CrossRef] [PubMed]
- Warnhoff, E.W. Peptide Alkaloids. In The Alkaloids; The Royal Society of Chemistry: Cambridge, UK, 1971; Volume 1, pp. 444–454. [Google Scholar]
- Bhat, K.L.; Joullk, M.M. Cyclopeptide Alkaloids. J. Chem. Educ. 1987, 64, 21. [Google Scholar] [CrossRef]
- Schmidt, U.; Lieberknecht, A.; Haslinger, E. Peptide Alkaloids. In The Alkaloids: Chemistry and Pharmacology; Academic Press: Cambridge, MA, USA, 1985; Volume 26, pp. 299–326. [Google Scholar]
- Lima, S.T.; Ampolini, B.G.; Underwood, E.B.; Graf, T.N.; Earp, C.E.; Khedi, I.C.; Pasquale, M.A.; Chekan, J.R. A Widely Distributed Biosynthetic Cassette Is Responsible for Diverse Plant Side-Chain-Cross-Linked Cyclopeptides. Angew. Chem. Int. Ed. 2023, 62, e202218082. [Google Scholar] [CrossRef] [PubMed]
- Arroyo Aguilar, A.A.; Bolívar Avila, S.J.; Kaufman, T.S.; Larghi, E.L. Total Synthesis of Waltherione F, a Nonrutaceous 3-Methoxy-4-Quinolone, Isolated from Waltheria indica L. F. Org. Lett. 2018, 20, 5058–5061. [Google Scholar] [CrossRef]
- El-Maiss, J.; El Dine, T.M.; Lu, C.S.; Karamé, I.; Kanj, A.; Polychronopoulou, K.; Shaya, J. Recent Advances in Metal-Catalyzed Alkyl–Boron (C(sp3))–C(sp2)) Suzuki-Miyaura Cross-Couplings. Catalysts 2020, 10, 296. [Google Scholar] [CrossRef]
- Lennox, A.J.J.; Lloyd-Jones, G.C. Selection of Boron Reagents for Suzuki-Miyaura Coupling. Chem. Soc. Rev. 2014, 43, 412–443. [Google Scholar] [CrossRef]
- Doucet, H. Suzuki-Miyaura Cross-Coupling Reactions of Alkylboronic Acid Derivatives or Alkyltrifluoroborates with Aryl, Alkenyl or Alkyl Halides and Triflates. Eur. J. Org. Chem. 2008, 2008, 2013–2030. [Google Scholar] [CrossRef]
- Volochnyuk, D.M.; Gorlova, A.O.; Grygorenko, O.O. Saturated Boronic Acids, Boronates, and Trifluoroborates: An Update on Their Synthetic and Medicinal Chemistry. Chemistry 2021, 27, 15277–15326. [Google Scholar] [CrossRef]
- Aguilar, A.A.A.; Ledesma, G.N.; Tirloni, B.; Kaufman, T.S.; Larghi, E.L. Convergent First Total Synthesis of Melovinone: A Densely Substituted 3-Methoxy-4-Quinolone Isolated from Melochia tomentosa L. Synthesis 2019, 51, 4253–4262. [Google Scholar] [CrossRef]
- Zdorichenko, V.; Paumier, R.; Whitmarsh-Everiss, T.; Roe, M.; Cox, B. The Synthesis of Waltherione F and Its Analogues with Modifications at the 2- and 3-Positions as Potential Antitrypanosomal Agents. Chem. A Eur. J. 2019, 25, 1286–1292. [Google Scholar] [CrossRef]
- Rocha, D.H.A.; Pinto, D.C.G.A.; Silva, A.M.S. Applications of the Wittig Reaction on the Synthesis of Natural and Natural-Analogue Heterocyclic Compounds. Eur. J. Org. Chem. 2018, 2018, 2443–2457. [Google Scholar] [CrossRef]
- Singh, S.; Nerella, S.; Pabbaraja, S.; Mehta, G. Access to 2-Alkyl/Aryl-4-(1 H)-Quinolones via Orthogonal “NH3” Insertion into o-Haloaryl Ynones: Total Synthesis of Bioactive Pseudanes, Graveoline, Graveolinine, and Waltherione F. Org. Lett. 2020, 22, 1575–1579. [Google Scholar] [CrossRef] [PubMed]
- Hong, K.-I.; Yoon, H.; Jang, W.-D. A Triazole-Bearing Picket Fence Type Nickel Porphyrin as a Cyanide Selective Allosteric Host. Chem. Commun. 2015, 51, 7486–7488. [Google Scholar] [CrossRef]
- Bernini, R.; Cacchi, S.; Fabrizi, G.; Sferrazza, A. 1,2-Disubstituted 4-Quinolones via Copper-Catalyzed Cyclization of 1-(2-Halophenyl)-2-En-3-Amin-1-Ones. Synthesis 2009, 7, 1209–1219. [Google Scholar] [CrossRef]
- Shimoi, R.; Saito, Y.; Miura, Y.; Nakagawa-Goto, K. Total Synthesis of Waltherione A, a Quinolone Alkaloid Fused with Oxabicyclo[3.2.1]Octane. Org. Lett. 2023, 25, 4755–4758. [Google Scholar] [CrossRef]
- Cotman, A.E. Escaping from Flatland: Stereoconvergent Synthesis of Three-Dimensional Scaffolds via Ruthenium(II)-Catalyzed Noyori–Ikariya Transfer Hydrogenation. Chem.-A Eur. J. 2021, 27, 39–53. [Google Scholar] [CrossRef]
- Caleffi, G.S.; Demidoff, F.C.; Nájera, C.; Costa, P.R.R. Asymmetric Hydrogenation and Transfer Hydrogenation in the Enantioselective Synthesis of Flavonoids. Org. Chem. Front. 2022, 9, 1165–1194. [Google Scholar] [CrossRef]
- Demidoff, F.C.; Caleffi, G.S.; Figueiredo, M.; Costa, P.R.R. Ru(II)-Catalyzed Asymmetric Transfer Hydrogenation of Chalcones in Water: Application to the Enantioselective Synthesis of Flavans BW683C and Tephrowatsin e. J. Org. Chem. 2022, 87, 14208–14222. [Google Scholar] [CrossRef] [PubMed]
- Caleffi, G.S.; Brum, J.D.O.C.; Costa, A.T.; Domingos, J.L.O.; Costa, P.R.R. Asymmetric Transfer Hydrogenation of Arylidene-Substituted Chromanones and Tetralones Catalyzed by Noyori-Ikariya Ru(II) Complexes: One-Pot Reduction of C═C and C═O Bonds. J. Org. Chem. 2021, 86, 4849–4858. [Google Scholar] [CrossRef] [PubMed]
- Gaspar, F.V.; Caleffi, G.S.; Costa-Júnior, P.C.T.; Costa, P.R.R. Enantioselective Synthesis of Isoflavanones and Pterocarpans through a RuII-Catalyzed ATH-DKR of Isoflavones. ChemCatChem 2021, 13, 5097–5108. [Google Scholar] [CrossRef]
- Xiao, Z.P.; Wang, Y.C.; Du, G.Y.; Wu, J.; Luo, T.; Yi, S.F. Efficient Reducing System Based on Iron for Conversion of Nitroarenes to Anilines. Synth. Commun. 2010, 40, 661–665. [Google Scholar] [CrossRef]
- Krasovskiy, A.; Knochel, P. A LiCl-Mediated Br/Mg Exchange Reaction for the Preparation of Functionalized Aryl- and Heteroarylmagnesium Compounds from Organic Bromides. Angew. Chem.-Int. Ed. 2004, 43, 3333–3336. [Google Scholar] [CrossRef]
- Herzig, S.; Kritter, S.; Lübbers, T.; Marquardt, N.; Peters, J.U.; Weber, S. Short and Simple Preparation of N-Boc-Protected Anthranilic Acid Tert-Butyl Esters from 2-Bromo-Anilines. Synlett 2005, 2005, 3107–3108. [Google Scholar] [CrossRef]
- Fisyuk, A.S.; Kostyuchenko, A.S.; Goncharov, D.S. Camps Reaction and Related Cyclizations. Russ. J. Org. Chem. 2020, 56, 1863–1892. [Google Scholar] [CrossRef]
- Buske, A. Available online: https://patents.google.com/patent/WO2003000272A1/en. (accessed on 14 November 2024).
- Bringmann, G.; Schlauer, S.; Rischer, H.; Wohlfahrt, M.; Haller, R.; Bär, S.; Brun, R. Antidesmone, a Novel Antitrypanosomal Alkaloid. Pharm. Pharmacol. Lett. 2001, 11, 47–48. [Google Scholar]
- Yougbare-Ziebrou, M.N.; Lompo, M.; Ouedraogo, N.; Yaro, B.; Guissoun, I.P. Antioxidant, Analgesic and Anti-Inflammatory Activities of the Leafy Stems of Waltheria indica L. (Sterculiaceae). J. Appl. Pharm. Sci. 2016, 6, 124–129. [Google Scholar] [CrossRef]
- Caldas da Silva Dantas Viegas, C.; Sérgio Silva, A.; Marinho Braga, R.; Nunes de Andrade, H.H.; Felício de Sousa Santos, A.K.; Leite Ferreira, M.D.; Ribeiro, M.D.; Agra Cavalcante Silva, L.H.; Alves de Lima, L.; Nobrega de Almeida, R.; et al. Antinociceptive, Anti-Inflammatory and Antioxidant Activities of the Crude Ethanolic Extract and Alkaloid Fraction of Waltheria viscosissima A. St.—Hil. (Malvaceae). J. Ethnopharmacol. 2022, 292, 115173. [Google Scholar] [CrossRef] [PubMed]
- Yabré, Z.; Belem-Kabré, W.L.M.E.; Boly, R.; Ouédraogo, R.; Boly, A.G.L.; Traoré, T.K.; Ouédraogo, N.; Youl, N.H.E. Evaluation of the Antiasthmatic Properties of Stems and Leaves of Waltheria indica L. (Malvaceae): Focus on Antioxidant and Anti-Inflammatory Activity, and Quantification of Phenolic Compounds. Phytomedicine Plus 2024, 4, 100600. [Google Scholar] [CrossRef]
- Morel, A.F.; Flach, A.; Zanatta, N.; Ethur, E.M.; Mostardeiro, M.A.; Gehrke, I.T.S. A New Cyclopeptide Alkaloid from the Bark of Waltheria douradinha. Tetrahedron Lett. 1999, 40, 9205–9209. [Google Scholar] [CrossRef]
- Dahmer, J.; do Carmo, G.; Mostardeiro, M.A.; Neto, A.T.; da Silva, U.F.; Dalcol, I.I.; Morel, A.F. Antibacterial Activity of Discaria americana Gillies Ex Hook (Rhamnaceae). J. Ethnopharmacol. 2019, 239, 111635. [Google Scholar] [CrossRef] [PubMed]
- Hua, X.; Liu, W.; Chen, Y.; Ru, J.; Guo, S.; Yu, X.; Cui, Y.; Liu, X.; Gu, Y.; Xue, C.; et al. Synthesis, Fungicidal Activity, and Mechanism of Action of Pyrazole Amide and Ester Derivatives Based on Natural Products l -Serine and Waltherione Alkaloids. J. Agric. Food Chem. 2021, 69, 11470–11484. [Google Scholar] [CrossRef] [PubMed]
- Fang, H.; Chen, Z.; Hua, X.; Liu, W.; Xue, C.; Liu, Y.; Zhu, X.; Yuan, M.; Cheng, S.; Wang, B.; et al. Synthesis and Biological Activity of Amide Derivatives Derived from Natural Product Waltherione F. Med. Chem. Res. 2022, 31, 485–496. [Google Scholar] [CrossRef]
- Chen, Z.; Fang, H.; Chang, J.; Zhang, T.; Cui, Y.; Zhang, L.; Sui, J.; Ma, Q.; Su, P.; Wang, J.; et al. Natural Alkaloid Waltherione F-Derived Hydrazide Compounds Evaluated in an Agricultural Fungicidal Field. J. Agric. Food Chem. 2023, 71, 12333–12345. [Google Scholar] [CrossRef] [PubMed]
- Jang, J.Y.; Dang, Q.L.; Choi, Y.H.; Choi, G.J.; Jang, K.S.; Cha, B.; Luu, N.H.; Kim, J.C. Correction to Nematicidal Activities of 4-Quinolone Alkaloids Isolated from the Aerial Part of Triumfetta grandidens against Meloidogyne incognita. J. Agric. Food Chem. 2015, 63, 3803. [Google Scholar] [CrossRef]
- Sampaio, O.M.; Lima, M.M.d.C.; Veiga, T.A.M.; King-Díaz, B.; Silva, M.F.d.G.F.d.; Lotina-Hennsen, B. Evaluation of Antidesmone Alkaloid as a Photosynthesis Inhibitor. Pestic. Biochem. Physiol. 2016, 134, 55–62. [Google Scholar] [CrossRef] [PubMed]
- Cretton, S.; Kaiser, M.; Karimou, S.; Ebrahimi, S.N.; Mäser, P.; Cuendet, M.; Christen, P. Pyridine-4(1 H)-One Alkaloids from Waltheria indica as Antitrypanosomatid Agents. J. Nat. Prod. 2020, 83, 3363–3371. [Google Scholar] [CrossRef]
- Hua, Y.; Zeng, K.; Liang, H.; Liang, H.; Jiang, Y.; Tu, P. Anti-Inflammatory Quinoline-4(1H)-One Derivatives from the Aerial Parts of Waltheria indica Linn. Phytochemistry 2023, 214, 113746. [Google Scholar] [CrossRef]
- Morel, A.F.; Gehrke, I.T.S.; Mostardeiro, M.A.; Ethur, E.M.; Zanatta, N.; Machado, E.C.S. Cyclopeptide Alkaloids from the Bark of Waltheria douradinha Ademir. Phytochemistry 1999, 51, 473–477. [Google Scholar] [CrossRef]
- Chase, M.W.; Christenhusz, M.J.M.; Fay, M.F.; Byng, J.W.; Judd, W.S.; Soltis, D.E.; Mabberley, D.J.; Sennikov, A.N.; Soltis, P.S.; Stevens, P.F.; et al. An Update of the Angiosperm Phylogeny Group Classification for the Orders and Families of Flowering Plants: APG IV. Bot. J. Linn. Soc. 2016, 181, 1–20. [Google Scholar] [CrossRef]
- Balkrishna, A.; Joshi, B.; Srivastava, A.; Shankar, R.; Shukla, B.K. A Comparison of the Angiosperm Phylogeny Group Classification and Other Prominent Classifications of. Indian J. Plant Sci. 2019, 8, 40–75. [Google Scholar]
- Nirmala, C.; Sridevi, M. Ethnobotanical, Phytochemistry, and Pharmacological Property of Waltheria indica Linn. Future J. Pharm. Sci. 2021, 7, 11. [Google Scholar] [CrossRef]


















Disclaimer/Publisher’s Note: The statements, opinions and data contained in all publications are solely those of the individual author(s) and contributor(s) and not of MDPI and/or the editor(s). MDPI and/or the editor(s) disclaim responsibility for any injury to people or property resulting from any ideas, methods, instructions or products referred to in the content. |
© 2024 by the authors. Licensee MDPI, Basel, Switzerland. This article is an open access article distributed under the terms and conditions of the Creative Commons Attribution (CC BY) license (https://creativecommons.org/licenses/by/4.0/).
Share and Cite
Silva, R.d.M.; Caleffi, G.S.; Cotinguiba, F. Alkaloids from Waltheria spp. (Malvaceae): Chemosystematic Aspects, Biosynthesis, Total Synthesis, and Biological Activities. Int. J. Mol. Sci. 2024, 25, 13659. https://doi.org/10.3390/ijms252413659
Silva RdM, Caleffi GS, Cotinguiba F. Alkaloids from Waltheria spp. (Malvaceae): Chemosystematic Aspects, Biosynthesis, Total Synthesis, and Biological Activities. International Journal of Molecular Sciences. 2024; 25(24):13659. https://doi.org/10.3390/ijms252413659
Chicago/Turabian StyleSilva, Raquel de M., Guilherme S. Caleffi, and Fernando Cotinguiba. 2024. "Alkaloids from Waltheria spp. (Malvaceae): Chemosystematic Aspects, Biosynthesis, Total Synthesis, and Biological Activities" International Journal of Molecular Sciences 25, no. 24: 13659. https://doi.org/10.3390/ijms252413659
APA StyleSilva, R. d. M., Caleffi, G. S., & Cotinguiba, F. (2024). Alkaloids from Waltheria spp. (Malvaceae): Chemosystematic Aspects, Biosynthesis, Total Synthesis, and Biological Activities. International Journal of Molecular Sciences, 25(24), 13659. https://doi.org/10.3390/ijms252413659

