Metabolic Fluxes Using Deep Learning Based on Enzyme Variations: Application to Glycolysis in Entamoeba histolytica
Abstract
1. Introduction
2. Results
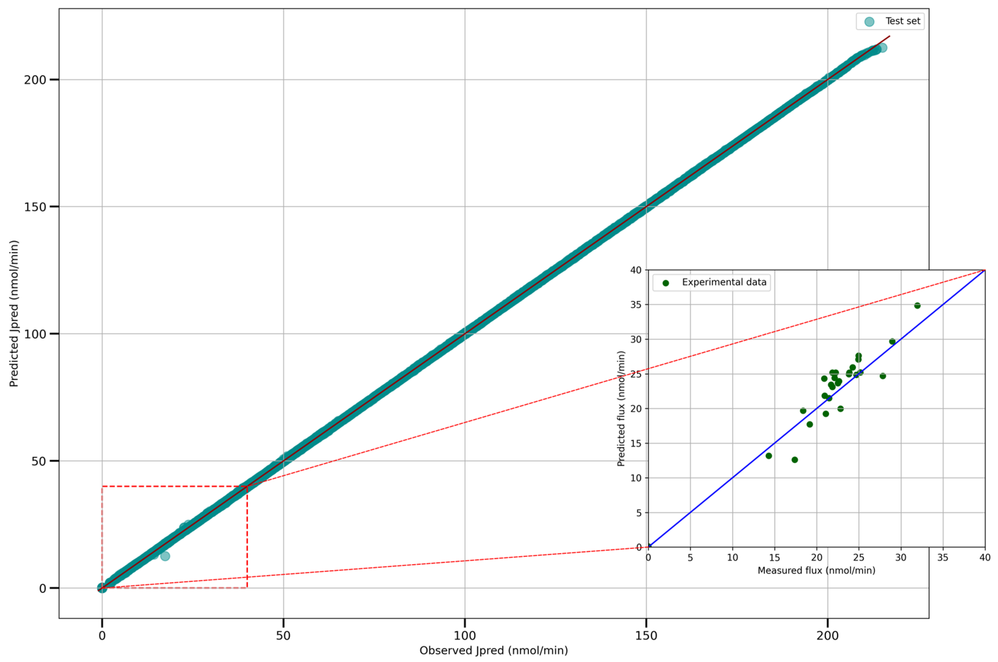
2.1. Evaluation of a Simple Neural Network
2.2. Repeated Cross Evaluation Procedure
2.3. Repeated Holdout Evaluation Procedure
2.4. The Two Procedures Lead to Similar Results
3. Discussion
4. Materials and Methods
4.1. Materials
4.1.1. Dataset Description
4.1.2. Experimental Flux Measurements
4.1.3. Artificial Neural Networks and Deep Neural Networks
4.2. Methods
4.2.1. Dataset Analysis
4.2.2. Baseline Workflow to Process Data: Holdout Evaluation
4.2.3. First Procedure: Repeated Cross-Validation
4.2.4. Second Procedure: Repeated Holdout Evaluation
4.2.5. Computational Time
4.2.6. Correlation Metrics to Compare Performance
- Kendall’s tau: When taking pairwise results, the number of matching pairs as well as the number of mismatched pairs should be used to measure the rank correlation between the test sets. Let be a set of results where X = () corresponds to a test set and Y = () to the other. A pair of results will be said to be concordant if or if . Otherwise, the pair will be discordant.
- Spearman’s rank correlation: After sorting the data in ascending order, we replace the results by their rank:
- Pearson’s correlation coefficient:
Supplementary Materials
Author Contributions
Funding
Institutional Review Board Statement
Informed Consent Statement
Data Availability Statement
Acknowledgments
Conflicts of Interest
References
- Anishetty, S.; Pulimi, M.; Pennathur, G. Potential Drug Targets in Mycobacterium Tuberculosis through Metabolic Pathway Analysis. Comput. Biol. Chem. 2005, 29, 368–378. [Google Scholar] [CrossRef] [PubMed]
- Oyelade, J.; Isewon, I.; Aromolaran, O.; Uwoghiren, E.; Dokunmu, T.; Rotimi, S.; Aworunse, O.; Obembe, O.; Adebiyi, E. Computational Identification of Metabolic Pathways of Plasmodium falciparum Using the k -Shortest Path Algorithm. Int. J. Genom. 2019, 2019, 1750291. [Google Scholar] [CrossRef]
- Zimmermann, J.; Kaleta, C.; Waschina, S. Gapseq: Informed Prediction of Bacterial Metabolic Pathways and Reconstruction of Accurate Metabolic Models. Genome Biol. 2021, 22, 81. [Google Scholar] [CrossRef]
- Matsuoka, Y.; Shimizu, K. Importance of Understanding the Main Metabolic Regulation in Response to the Specific Pathway Mutation for Metabolic Engineering of Escherichia Coli. Comput. Struct. Biotechnol. J. 2012, 3, e201210018. [Google Scholar] [CrossRef] [PubMed]
- Yan, W.; Cao, Z.; Ding, M.; Yuan, Y. Design and Construction of Microbial Cell Factories Based on Systems Biology. Synth. Syst. Biotechnol. 2023, 8, 176–185. [Google Scholar] [CrossRef]
- Koduru, L.; Lakshmanan, M.; Lee, D.-Y. In Silico Model-Guided Identification of Transcriptional Regulator Targets for Efficient Strain Design. Microb. Cell Factories 2018, 17, 167. [Google Scholar] [CrossRef]
- Butt, A.M.; Tahir, S.; Nasrullah, I.; Idrees, M.; Lu, J.; Tong, Y. Mycoplasma Genitalium: A Comparative Genomics Study of Metabolic Pathways for the Identification of Drug and Vaccine Targets. Infect. Genet. Evol. 2012, 12, 53–62. [Google Scholar] [CrossRef] [PubMed]
- Osterman, A.; Overbeek, R. Missing Genes in Metabolic Pathways: A Comparative Genomics Approach. Curr. Opin. Chem. Biol. 2003, 7, 238–251. [Google Scholar] [CrossRef]
- Chen, Y.; Shen, X.; Peng, H.; Hu, H.; Wang, W.; Zhang, X. Comparative Genomic Analysis and Phenazine Production of Pseudomonas Chlororaphis, a Plant Growth-Promoting Rhizobacterium. Genom. Data 2015, 4, 33–42. [Google Scholar] [CrossRef] [PubMed]
- Kim, O.D.; Rocha, M.; Maia, P. A Review of Dynamic Modeling Approaches and Their Application in Computational Strain Optimization for Metabolic Engineering. Front. Microbiol. 2018, 9, 1690. [Google Scholar] [CrossRef]
- Chowdhury, A.; Khodayari, A.; Maranas, C.D. Improving Prediction Fidelity of Cellular Metabolism with Kinetic Descriptions. Curr. Opin. Biotechnol. 2015, 36, 57–64. [Google Scholar] [CrossRef] [PubMed]
- Vasilakou, E.; Machado, D.; Theorell, A.; Rocha, I.; Nöh, K.; Oldiges, M.; Wahl, S.A. Current State and Challenges for Dynamic Metabolic Modeling. Curr. Opin. Microbiol. 2016, 33, 97–104. [Google Scholar] [CrossRef] [PubMed]
- Cheng, Y.; Bi, X.; Xu, Y.; Liu, Y.; Li, J.; Du, G.; Lv, X.; Liu, L. Machine Learning for Metabolic Pathway Optimization: A Review. Comput. Struct. Biotechnol. J. 2023, 21, 2381–2393. [Google Scholar] [CrossRef] [PubMed]
- Costello, Z.; Martin, H.G. A Machine Learning Approach to Predict Metabolic Pathway Dynamics from Time-Series Multiomics Data. npj Syst. Biol. Appl. 2018, 4, 19. [Google Scholar] [CrossRef]
- LeCun, Y.; Bengio, Y.; Hinton, G. Deep Learning. Nature 2015, 521, 436–444. [Google Scholar] [CrossRef]
- Fu, H.; Liu, Y. A Deep Learning-Based Approach for Electrical Equipment Remaining Useful Life Prediction. Auton. Intell. Syst. 2022, 2, 16. [Google Scholar] [CrossRef]
- Ayhan, M.S.; Kühlewein, L.; Aliyeva, G.; Inhoffen, W.; Ziemssen, F.; Berens, P. Expert-Validated Estimation of Diagnostic Uncertainty for Deep Neural Networks in Diabetic Retinopathy Detection. Med. Image Anal. 2020, 64, 101724. [Google Scholar] [CrossRef]
- Saba, T. Recent Advancement in Cancer Detection Using Machine Learning: Systematic Survey of Decades, Comparisons and Challenges. J. Infect. Public Health 2020, 13, 1274–1289. [Google Scholar] [CrossRef]
- Date, Y.; Kikuchi, J. Application of a Deep Neural Network to Metabolomics Studies and Its Performance in Determining Important Variables. Anal. Chem. 2018, 90, 1805–1810. [Google Scholar] [CrossRef] [PubMed]
- Lo-Thong, O.; Charton, P.; Cadet, X.F.; Grondin-Perez, B.; Saavedra, E.; Damour, C.; Cadet, F. Identification of Flux Checkpoints in a Metabolic Pathway through White-Box, Grey-Box and Black-Box Modeling Approaches. Sci. Rep. 2020, 10, 13446. [Google Scholar] [CrossRef] [PubMed]
- Patruno, L.; Craighero, F.; Maspero, D.; Graudenzi, A.; Damiani, C. Combining Multi-Target Regression Deep Neural Networks and Kinetic Modeling to Predict Relative Fluxes in Reaction Systems. Inf. Comput. 2021, 281, 104798. [Google Scholar] [CrossRef]
- Nagaraja, A.A.; Fontaine, N.; Delsaut, M.; Charton, P.; Damour, C.; Offmann, B.; Grondin-Perez, B.; Cadet, F. Flux Prediction Using Artificial Neural Network (ANN) for the Upper Part of Glycolysis. PLoS ONE 2019, 14, e0216178. [Google Scholar] [CrossRef]
- Gonçalves, D.M.; Henriques, R.; Costa, R.S. Predicting Metabolic Fluxes from Omics Data via Machine Learning: Moving from Knowledge-Driven towards Data-Driven Approaches. Comput. Struct. Biotechnol. J. 2023, 21, 4960–4973. [Google Scholar] [CrossRef]
- Ul Rahman, J.; Danish, S.; Lu, D. Deep Neural Network-Based Simulation of Sel’kov Model in Glycolysis: A Comprehensive Analysis. Mathematics 2023, 11, 3216. [Google Scholar] [CrossRef]
- Shah, H.A.; Liu, J.; Yang, Z.; Zhang, X.; Feng, J. DeepRF: A Deep Learning Method for Predicting Metabolic Pathways in Organisms Based on Annotated Genomes. Comput. Biol. Med. 2022, 147, 105756. [Google Scholar] [CrossRef] [PubMed]
- Choudhury, S.; Moret, M.; Salvy, P.; Weilandt, D.; Hatzimanikatis, V.; Miskovic, L. Reconstructing Kinetic Models for Dynamical Studies of Metabolism Using Generative Adversarial Networks. Nat. Mach. Intell. 2022, 4, 710–719. [Google Scholar] [CrossRef]
- Choudhury, S.; Narayanan, B.; Moret, M.; Hatzimanikatis, V.; Miskovic, L. Generative Machine Learning Produces Kinetic Models That Accurately Characterize Intracellular Metabolic States. Nat. Catal. 2024, 7, 1086–1098. [Google Scholar] [CrossRef]
- Wang, X.; Yin, X.; Jiang, D.; Zhao, H.; Wu, Z.; Zhang, O.; Wang, J.; Li, Y.; Deng, Y.; Liu, H.; et al. Multi-Modal Deep Learning Enables Efficient and Accurate Annotation of Enzymatic Active Sites. Nat. Commun. 2024, 15, 7348. [Google Scholar] [CrossRef] [PubMed]
- Saavedra, E.; Encalada, R.; Pineda, E.; Jasso-Chávez, R.; Moreno-Sánchez, R. Glycolysis in Entamoeba Histolytica. Biochemical Characterization of Recombinant Glycolytic Enzymes and Flux Control Analysis. FEBS J. 2005, 272, 1767–1783. [Google Scholar] [CrossRef] [PubMed]
- Lo-Thong-Viramoutou, O.; Charton, P.; Cadet, X.F.; Grondin-Perez, B.; Saavedra, E.; Damour, C.; Cadet, F. Non-Linearity of Metabolic Pathways Critically Influences the Choice of Machine Learning Model. Front. Artif. Intell. 2022, 5, 744755. [Google Scholar] [CrossRef]
- Najafabadi, M.M.; Villanustre, F.; Khoshgoftaar, T.M.; Seliya, N.; Wald, R.; Muharemagic, E. Deep Learning Applications and Challenges in Big Data Analytics. J. Big Data 2015, 2, 1. [Google Scholar] [CrossRef]
- Bengio, Y. Learning Deep Architectures for AI; Foundations and Trends in Machine Learning; Now: Boston, MA, USA, 2009; ISBN 978-1-60198-294-0. [Google Scholar]
- Heckmann, D.; Lloyd, C.J.; Mih, N.; Ha, Y.; Zielinski, D.C.; Haiman, Z.B.; Desouki, A.A.; Lercher, M.J.; Palsson, B.O. Machine Learning Applied to Enzyme Turnover Numbers Reveals Protein Structural Correlates and Improves Metabolic Models. Nat. Commun. 2018, 9, 5252. [Google Scholar] [CrossRef] [PubMed]
- Li, F.; Yuan, L.; Lu, H.; Li, G.; Chen, Y.; Engqvist, M.K.M.; Kerkhoven, E.J.; Nielsen, J. Deep Learning-Based Kcat Prediction Enables Improved Enzyme-Constrained Model Reconstruction. Nat. Catal. 2022, 5, 662–672. [Google Scholar] [CrossRef]
- Ma, J.; Yu, M.K.; Fong, S.; Ono, K.; Sage, E.; Demchak, B.; Sharan, R.; Ideker, T. Using Deep Learning to Model the Hierarchical Structure and Function of a Cell. Nat. Methods 2018, 15, 290–298. [Google Scholar] [CrossRef] [PubMed]
- Goodfellow, I.; Bengio, Y.; Courville, A. Deep Feedforward Networks. In Deep Learning; Adaptive Computation and Machine Learning; The MIT Press: Cambridge, MA, USA, 2016; pp. 164–223. ISBN 978-0-262-03561-3. [Google Scholar]
- Kendall, M.G. A New Measure of Rank Correlation. Biometrika 1938, 30, 81–93. [Google Scholar] [CrossRef]
- Spearman, C. The Proof and Measurement of Association between Two Things. Am. J. Psychol. 1904, 15, 72–101. [Google Scholar] [CrossRef]
- Moreno-Sánchez, R.; Encalada, R.; Marín-Hernández, A.; Saavedra, E. Experimental Validation of Metabolic Pathway Modeling. FEBS J. 2008, 275, 3454–3469. [Google Scholar] [CrossRef]
- Kübler, J.; Buchholz, S.; Schölkopf, B. The Inductive Bias of Quantum Kernels. Adv. Neural Inf. Process. Syst. 2021, 34, 12661–12673. [Google Scholar]
- Ng, W.; Minasny, B.; de Sousa Mendes, W.; Demattê, J.A.M. The Influence of Training Sample Size on the Accuracy of Deep Learning Models for the Prediction of Soil Properties with Near-Infrared Spectroscopy Data. SOIL 2020, 6, 565–578. [Google Scholar] [CrossRef]
- Padarian, J.; Minasny, B.; McBratney, A.B. Using Deep Learning to Predict Soil Properties from Regional Spectral Data. Geoderma Reg. 2019, 16, e00198. [Google Scholar] [CrossRef]
- Cadet, F. Theoretical Support for the Existence of a Sedoheptulose-1,7-Bisphosphatase Involved in Chloroplast Photosynthesis Pathway. Biochem. Educ. 1996, 24, 36–40. [Google Scholar] [CrossRef]
- González-Chávez, Z.; Olin-Sandoval, V.; Rodíguez-Zavala, J.S.; Moreno-Sánchez, R.; Saavedra, E. Metabolic Control Analysis of the Trypanosoma cruzi Peroxide Detoxification Pathway Identifies Tryparedoxin as a Suitable Drug Target. Biochim. Et Biophys. Acta (BBA)—Gen. Subj. 2015, 1850, 263–273. [Google Scholar] [CrossRef] [PubMed]
- van den Bogaard, S.; Saa, P.A.; Alter, T.B. Sensitivities in Protein Allocation Models Reveal Distribution of Metabolic Capacity and Flux Control. Bioinformatics 2024, 40, btae691. [Google Scholar] [CrossRef]
- Zoph, B.; Le, Q.V. Neural Architecture Search with Reinforcement Learning. arXiv 2017, arXiv:1611.01578. [Google Scholar]
- Pearson, K.; Henrici, O.M.F.E. VII. Mathematical Contributions to the Theory of Evolution.—III. Regression, Heredity, and Panmixia. Philos. Trans. R. Soc. Lond. Ser. A Contain. Pap. A Math. Phys. Character 1997, 187, 253–318. [Google Scholar] [CrossRef]
- Bergstra, J.; Bardenet, R.; Bengio, Y.; Kégl, B. Algorithms for Hyper-Parameter Optimization. In Proceedings of the Advances in Neural Information Processing Systems; Curran Associates, Inc.: New York, NY, USA, 2011; Volume 24. [Google Scholar]
- Bergstra, J.; Bengio, Y. Random Search for Hyper-Parameter Optimization. J. Mach. Learn. Res. 2012, 13, 281–305. [Google Scholar]
- Kiefer, J.; Wolfowitz, J. Stochastic Estimation of the Maximum of a Regression Function. Ann. Math. Stat. 1952, 23, 462–466. [Google Scholar] [CrossRef]
- Tieleman, T.; Hinton, G. Lecture 6.5-Rmsprop: Divide the Gradident by a Running Average of Its Recent Magnitude. COURSERA Neural Netw. Mach. Learn. 2012, 4, 26–31. [Google Scholar]
- Kingma, D.P.; Ba, J. Adam: A Method for Stochastic Optimization. arXiv 2017, arXiv:1412.6980. [Google Scholar]
- Rumelhart, D.E.; Hinton, G.E.; Williams, R.J. Learning Representations by Back-Propagating Errors. Nature 1986, 323, 533–536. [Google Scholar] [CrossRef]
- Prechelt, L. Early Stopping-But When? In Neural Networks: Tricks of the Trade; Orr, G.B., Müller, K.-R., Eds.; Lecture Notes in Computer Science; Springer: Berlin/Heidelberg, Germany, 1998; Volume 1524, pp. 55–69. ISBN 978-3-540-65311-0. [Google Scholar]
- Srivastava, N.; Hinton, G.; Krizhevsky, A.; Sutskever, I.; Salakhutdinov, R. Dropout: A Simple Way to Prevent Neural Networks from Overfitting. J. Mach. Learn. Res. 2014, 15, 1929–1958. [Google Scholar]
- Clevert, D.-A.; Unterthiner, T.; Hochreiter, S. Fast and Accurate Deep Network Learning by Exponential Linear Units (ELUs) 2016. arXiv 2016, arXiv:1511.07289. [Google Scholar]









| Hyperparameter | DNN Model |
|---|---|
| Number of hidden layers and neurons per layer | 3 hidden layers 105/105/105 |
| Activation function in hidden layer | ELU |
| Number of neurons in the output layer | 1 |
| Activation function in output layer | Sigmoid |
| Trainable parameters | 22,786 |
| Loss function | MSE |
| Optimizer | Adam |
| Number of epochs | 3000 |
| Batch size | 100 |
| Metrics | RMSE, R2, MAE |
| EarlyStopping monitoring metrics with patience | Validation RMSE, with a patience of 100 epochs |
| Metrics | Train Set | Validation Set | Test Set |
|---|---|---|---|
| MSE | 0.006 | 0.006 | 0.007 |
| RMSE | 0.077 | 0.081 | 0.083 |
| R2 | 0.999 | 0.999 | 0.999 |
| MAE | 0.051 | 0.051 | 0.051 |
| Sets | Validation Set | Test Set 1 | Test Set 2 | Test Set 3 | Test Set 4 | Test Set 5 |
|---|---|---|---|---|---|---|
| RMSE | [0.081, 0.115] | [0.069, 0.099] | [0.117, 0.148] | [0.078, 0.113] | [0.074, 0.106] | [0.074, 0.106] |
| Mean: 0.096 | Mean: 0.084 | Mean: 0.133 | Mean: 0.096 | Mean: 0.088 | Mean: 0.088 | |
| R2 | [0.999, 0.999] | [0.999, 0.999] | [0.999, 0.999] | [0.999, 0.999] | [0.999, 0.999] | [0.999, 0.999] |
| Mean: 0.999 | Mean: 0.999 | Mean: 0.999 | Mean: 0.999 | Mean: 0.999 | Mean: 0.999 | |
| MAE | [0.052, 0.079] | [0.051, 0.077] | [0.055, 0.082] | [0.051, 0.078] | [0.053, 0.079] | [0.053, 0.079] |
| Mean: 0.063 | Mean: 0.061 | Mean: 0.066 | Mean: 0.063 | Mean: 0.062 | Mean: 0.062 |
| Sets | Validation Set | Test Set 1 | Test Set 2 | Test Set 3 | Test Set 4 | Test Set 5 |
|---|---|---|---|---|---|---|
| RMSE | [0.072, 0.146] | [0.067, 0.135] | [0.121, 0.174] | [0.075, 0.151] | [0.072, 0.136] | [0.072, 0.142] |
| Mean: 0.101 | Mean: 0.089 | Mean: 0.134 | Mean: 0.098 | Mean: 0.093 | Mean: 0.093 | |
| R2 | [0.999, 0.999] | [0.999, 0.999] | [0.999, 0.999] | [0.999, 0.999] | [0.999, 0.999] | [0.999, 0.999] |
| Mean: 0.999 | Mean: 0.999 | Mean: 0.999 | Mean: 0.999 | Mean: 0.999 | Mean: 0.999 | |
| MAE | [0.051, 0.095] | [0.049, 0.095] | [0.054, 0.099] | [0.051, 0.097] | [0.049, 0.096] | [0.052, 0.096] |
| Mean: 0.066 | Mean: 0.065 | Mean: 0.069 | Mean: 0.066 | Mean: 0.066 | Mean: 0.066 |
| p-Value | Test Set 1 | Test Set 2 | Test Set 3 | Test Set 4 | Test Set 5 |
|---|---|---|---|---|---|
| RMSE | 0.095 | 0.486 | 0.469 | 0.029 | 0.053 |
| R2 | 0.069 | 0.442 | 0.335 | 0.023 | 0.043 |
| MAE | 0.059 | 0.116 | 0.107 | 0.034 | 0.011 |
| Model | Validation Set | Test Set |
|---|---|---|
| PLS Baseline | 30.422 | |
| Cubist Baseline | 0.104 | |
| DNN: Repeated cross-validation | 0.081 | |
| DNN: Repeated holdout evaluation | 0.072 |
| Mean | Standard Deviation | Minimum | Maximum | |
|---|---|---|---|---|
| PGAM | 499.819 | 295.875 | 0 | 1000 |
| ENO | 499.916 | 295.778 | 0 | 1000 |
| PPDK | 499.865 | 295.818 | 0 | 1000 |
| Jpred | 83.461 | 55.317 | 0 | 215.448 |
Disclaimer/Publisher’s Note: The statements, opinions and data contained in all publications are solely those of the individual author(s) and contributor(s) and not of MDPI and/or the editor(s). MDPI and/or the editor(s) disclaim responsibility for any injury to people or property resulting from any ideas, methods, instructions or products referred to in the content. |
© 2024 by the authors. Licensee MDPI, Basel, Switzerland. This article is an open access article distributed under the terms and conditions of the Creative Commons Attribution (CC BY) license (https://creativecommons.org/licenses/by/4.0/).
Share and Cite
Oulia, F.; Charton, P.; Lo-Thong-Viramoutou, O.; Acevedo-Rocha, C.G.; Liu, W.; Huynh, D.; Damour, C.; Wang, J.; Cadet, F. Metabolic Fluxes Using Deep Learning Based on Enzyme Variations: Application to Glycolysis in Entamoeba histolytica. Int. J. Mol. Sci. 2024, 25, 13390. https://doi.org/10.3390/ijms252413390
Oulia F, Charton P, Lo-Thong-Viramoutou O, Acevedo-Rocha CG, Liu W, Huynh D, Damour C, Wang J, Cadet F. Metabolic Fluxes Using Deep Learning Based on Enzyme Variations: Application to Glycolysis in Entamoeba histolytica. International Journal of Molecular Sciences. 2024; 25(24):13390. https://doi.org/10.3390/ijms252413390
Chicago/Turabian StyleOulia, Freddy, Philippe Charton, Ophélie Lo-Thong-Viramoutou, Carlos G. Acevedo-Rocha, Wei Liu, Du Huynh, Cédric Damour, Jingbo Wang, and Frederic Cadet. 2024. "Metabolic Fluxes Using Deep Learning Based on Enzyme Variations: Application to Glycolysis in Entamoeba histolytica" International Journal of Molecular Sciences 25, no. 24: 13390. https://doi.org/10.3390/ijms252413390
APA StyleOulia, F., Charton, P., Lo-Thong-Viramoutou, O., Acevedo-Rocha, C. G., Liu, W., Huynh, D., Damour, C., Wang, J., & Cadet, F. (2024). Metabolic Fluxes Using Deep Learning Based on Enzyme Variations: Application to Glycolysis in Entamoeba histolytica. International Journal of Molecular Sciences, 25(24), 13390. https://doi.org/10.3390/ijms252413390

