Development of Novel Imipridones with Alkyne- and Triazole-Linked Warheads on the Tricyclic Skeleton, Showing Superior Ability to Eradicate PANC-1 and Fadu Cells Compared to ONC201
Abstract
1. Introduction
2. Results and Discussion
2.1. Multistep Synthesis of the First Group of the Targeted Imipridone Hybrids
2.2. In Vitro Cell Viability Screening of the First Set of the Novel Imipridone Hybrids
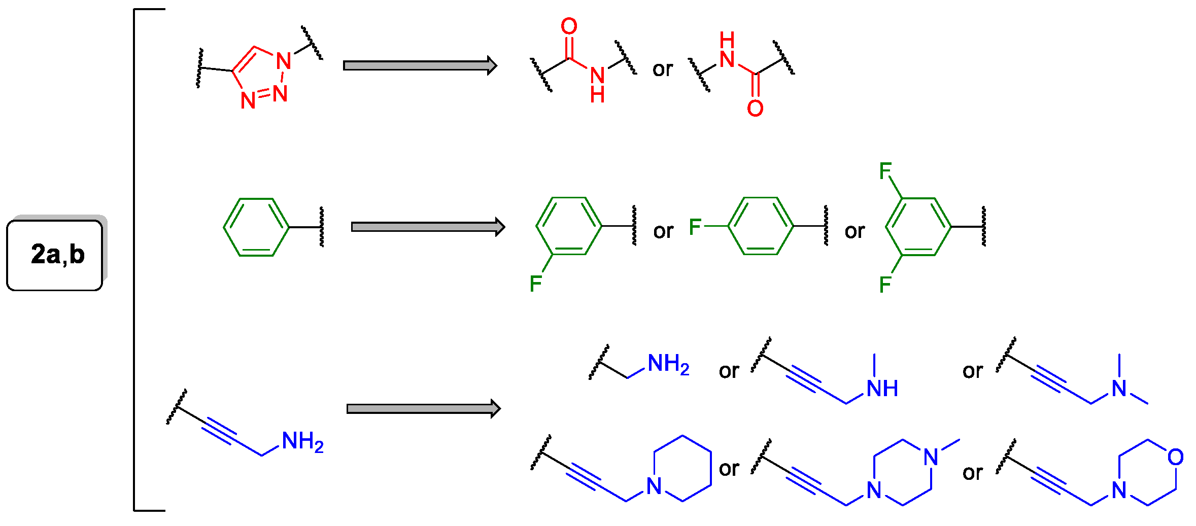
2.3. Design of the Second Group of Potential Drugs with Activity Expected to Be Superior to That Displayed by the Members of the First Set of Hybrids
2.4. Multistep Synthesis of the Second Group of the Targeted Imipridone Hybrids
2.5. In Vitro Cell Viability Screening of the Second Set of the Novel Imipridone Hybrids
2.6. Dose–Response Study on Selected Compounds
2.7. Colony Formation Assay
2.8. ClpP-Independent Cytotoxicity of the Selected Imipridone Hybrids
3. Materials and Methods
3.1. Synthetic Procedures
3.1.1. General Procedure for the Synthesis of the Methyl 1-(Tert-butoxycarbonylaminobenzyl)-4-oxopiperidine-3-carboxylates 7a,b (Methods a and b)
3.1.2. Synthesis of 2-(Methylthio)-4,5-dihydro-1H-imidazole-1-carboxylate (9)
3.1.3. General Procedure for the Synthesis of Cyclic Guanidines 10a–d (Method c)
3.1.4. Method (d)—General Procedure for the Synthesis of Imipridone Scaffold 11a–f (Method d)
3.1.5. General Procedure for the Synthesis of Azidoimipridones 12a–f (Method e)
3.1.6. General Procedure for Copper(I) Catalyzed 1,4-Azide-alkyne Cycloadditions (Method f)
3.1.7. General Procedure for the Sonogashira Coupling Reaction (Method g)
3.1.8. Synthesis of Acrylamido Imipridone 1e (Sequential Application of Methods h and i)
3.1.9. Deprotection of N-Boc Protected Iodoimipridone 11b to Produce Iodinated Free Amine XIb (Method i)
3.1.10. Synthesis of Amides 22a and 27a,b (Method j)
3.1.11. Synthesis of Benzamide 22b (Methods k)
3.1.12. Synthesis of Ferrocenoyl Chloride 20 and 4-Formylbenzoyl Chloride 25 (Method l)
3.1.13. Synthesis of the Methyl N-Boc-4-oxopiperidine-3-carboxylate (30) (Method m)
3.1.14. Synthesis of 4-(3-Iodobenzyl)-2,4,6,7,8,9-hexahydroimidazo[1,2-a]pyrido[3,4-e]-pyrimidin-5(1H)-one (31) (Sequential Application of Methods d and i)
3.1.15. Synthesis of Compounds 32a–b by Reductive Alkylation (Method n)
3.1.16. Synthesis of Propargylamine Derivatives 17e–g
3.2. Biological Assays
3.2.1. Cell Culturing
3.2.2. CellTiter-Glo Cell Viability Assay, Including the Assessment of ClpP-Coupled Action
3.2.3. Colony Formation Assay
3.3. Statistics
4. Conclusions
Supplementary Materials
Author Contributions
Funding
Institutional Review Board Statement
Informed Consent Statement
Data Availability Statement
Conflicts of Interest
References
- Crowder, R.N.; El-Deiry, W.S. First-In-Class Small Molecule ONC201 Induces DR5 and Cell Death in Tumor but Not Normal Cells to Provide a Wide Therapeutic Index as an Anti-Cancer Agent. PLoS ONE 2015, 10, e0143082. [Google Scholar] [CrossRef]
- Allen, J.E.; Krigsfeld, G.; Mayes, P.A.; Patel, L.; Dicker, D.T.; Patel, A.S.; Dolloff, N.G.; Messaris, E.; Scata, K.A.; Wang, W.; et al. Dual inactivation of Akt and ERK by TIC10 signals Foxo3a nuclear translocation, TRAIL gene induction, and potent antitumor effects. Science Transl. Med. 2013, 5, 171ra17. [Google Scholar] [CrossRef] [PubMed]
- Prabhu, V.V.; Morrow, S.; Kawakibi, A.R.; Zhou, L.; Ralff, M.; Ray, J.; Jhaveri, A.; Ferrarini, I.; Lee, Y.; Parker, C.; et al. ONC201 and Imipridones: Anti-Cancer Compounds with Clinical Efficacy. Neoplasia 2020, 22, 725–744. [Google Scholar] [CrossRef] [PubMed]
- Wagner, J.; Kline, C.L.; Ralff, M.D.; Lev, A.; Lulla, A.; Zhou, L.; Olson, G.L.; Nallaganchu, B.R.; Benes, C.H.; Allen, J.E.; et al. Preclinical evaluation of the imipridone family, analogs of clinical stage anti-cancer small molecule ONC201, reveals potent anti-cancer effects of ONC212. Cell Cycle 2017, 16, 1790–1799. [Google Scholar] [CrossRef]
- Ishizawa, J.; Kojima, K.; Chachad, D.; Ruvolo, P.; Ruvolo, V.; Jacamo, R.O.; Borthakur, G.; Mu, H.; Zeng, Z.; Tabe, Y.; et al. ATF4 induction through an atypical integrated stress response to ONC201 triggers p53-independent apoptosis in hematological malignancies. Sci. Signal 2016, 9, ra17. [Google Scholar] [CrossRef]
- Kline, C.L.; Van den Heuvel, A.P.; Allen, J.E.; Prabhu, V.V.; Dicker, D.T.; El-Deiry, W.S. ONC201 kills solid tumor cells by triggering an integrated stress response dependent on ATF4 activation by specific eIF2α kinases. Sci. Signal 2016, 9, ra18. [Google Scholar] [CrossRef]
- Wedam, R.; Greer, Y.E.; Wisniewski, D.J.; Weltz, S.; Kundu, M.; Voeller, D.; Lipkowitz, S. Targeting mitochondria with CLPP agonists as a novel therapeutic opportunity in breast cancer. Cancers 2023, 15, 1936. [Google Scholar] [CrossRef]
- Luo, B.; Ma, Y.; Zhou, Y.; Zhang, N.; Luo, Y. Human Clpp protease, a promising therapy target for diseases of mitochondrial dysfunction. Drug Discov. Today 2021, 26, 968–981. [Google Scholar] [CrossRef]
- Mabanglo, M.F.; Wong, K.-S.; Barghash, M.M.; Leung, E.; Chuang, S.H.W.; Ardalan, A.; Majaesic, E.M.; Wong, C.J.; Zhang, S.; Lang, H.; et al. Potent ClpP agonists with anticancer properties bind with improved structural complementarity and alter the mitochondrial N-terminome. Structure 2023, 31, 185–200. [Google Scholar] [CrossRef]
- Nii, T.; Prabhu, V.V.; Ruvolo, V.; Madhukar, N.; Zhao, R.; Mu, H.; Heese, L.; Nishida, Y.; Kojima, K.; Garnett, M.J.; et al. Imipridone ONC212 activates orphan G protein-coupled receptor GPR132 and integrated stress response in acute myeloid leukemia. Leukemia 2019, 33, 2805–2816. [Google Scholar] [CrossRef]
- Bonner, E.R.; Waszak, S.M.; Grotzer, M.A.; Mueller, S.; Nazarian, J. Mechanisms of Imipridones in Targeting Mitochondrial Metabolism in Cancer Cells. Neuro Oncol. 2021, 23, 542–556. [Google Scholar] [CrossRef] [PubMed]
- Lev, A.; Lulla, A.R.; Wagner, J.; Ralf, M.D.; Kiehl, J.B.; Zhou, Y.; Benes, C.H.; Prabhu, V.V.; Oster, W.; Astsaturov, I.; et al. Anti-pancreatic cancer activity of ONC212 involves the unfolded protein response (UPR) and is reduced by IGF1-R and GRP78/BIP. Oncotarget 2017, 8, 81776–81793. [Google Scholar] [CrossRef]
- Ishizawa, J.; Zarabi, S.F.; Davis, R.E.; Halgas, O.; Nii, T.; Jitkova, Y.; Zhao, R.; St-Germain, J.; Heese, L.E.; Egan, G.; et al. Mitochondrial ClpP-Mediated Proteolysis Induces Selective Cancer Cell Lethality. Cancer Cell 2019, 35, 721–737. [Google Scholar] [CrossRef]
- Basu, V.; Shabnam; Murghai, Y.; Ali, M.; Sahu, S.; Verma, B.K.; Seervi, M. ONC212, alone or in synergistic conjunction with Navitoclax (ABT-263), promotes cancer cell apoptosis via unconventional mitochondrial-independent caspase-3 activation. Cell Commun. Signal. 2024, 22, 441. [Google Scholar] [CrossRef]
- Su, Y.; Carter, J.L.; Li, X.; Fukuda, Y.; Gray, A.; Lynch, J.; Edwards, H.; Ma, Y.; Schreiner, P.; Polin, L.; et al. The Imipridone ONC213 Targets α-Ketoglutarate Dehydrogenase to Induce Mitochondrial Stress and Suppress Oxidative Phosphorylation in Acute Myeloid Leukemia. Cancer Res. 2024, 84, 1084–1100. [Google Scholar] [CrossRef] [PubMed]
- Ferrarini, I.; Louie, A.; Zhou, L.; El-Deiry, W.S. ONC212 Is a Novel Mitocan Acting Synergistically with Glycolysis Inhibition in Pancreatic Cancer. Mol. Cancer Ther. 2021, 20, 1572–1583. [Google Scholar] [CrossRef]
- Jacques, S.; van der Sloot, A.M.; Huard, C.C.; Coulombe-Huntington, J.; Tsao, S.; Tollis, S.; Bertomeu, T.; Culp, E.J.; Pallant, D.; A Cook, M.; et al. Imipridone Anticancer Compounds Ectopically Activate the ClpP Protease and Represent a New Scaffold for Antibiotic Development. Genetics 2020, 214, 1103–1120. [Google Scholar] [CrossRef] [PubMed]
- Graves, P.R.; Aponte-Collazo, L.J.; Fennell, E.M.J.; Graves, A.C.; Hale, A.E.; Dicheva, N.; Herring, L.E.; Gilbert, T.S.K.; East, M.P.; McDonald, I.M.; et al. Mitochondrial Protease ClpP Is a Target for the Anticancer Compounds ONC201 and Related Analogues. ACS Chem. Biol. 2019, 14, 1020–1029. [Google Scholar] [CrossRef] [PubMed]
- Prabhu, V.V.; Talekar, M.K.; Lulla, A.R.; Kline, C.L.B.; Zhou, L.; Hall, J.; Van den Heuvel, A.P.J.; Dicker, D.T.; Babar, J.; Grupp, S.A.; et al. Single Agent and Synergistic Combinatorial Efficacy of First-in-Class Small Molecule Imipridone ONC201 in Hematological Malignancies. Cell Cycle 2018, 17, 468–478. [Google Scholar] [CrossRef]
- Tu, Y.S.; He, J.; Liu, H.; Lee, H.C.; Wang, H.; Ishizawa, J.; Allen, J.E.; Andreeff, M.; Orlowski, R.Z.; Davis, R.E.; et al. The Imipridone ONC201 Induces Apoptosis and Overcomes Chemotherapy Resistance by Up-Regulation of Bim in Multiple Myeloma. Neoplasia 2017, 19, 772–780. [Google Scholar] [CrossRef]
- Voltan, R.; Secchiero, P.; Casciano, F.; Milani, D.; Zauli, G.; Tisato, V. Redox signalling and oxidative stress: Cross talk with TNF-related apoptosis inducing ligand activity. Int. J. Biochem. Cell Biol. 2016, 81, 364–374. [Google Scholar] [CrossRef] [PubMed]
- Bárány, P.; Oláh, R.S.; Kovács, I.; Czuczi, T.; Szabó, C.L.; Takács, A.; Lajkó, E.; Láng, O.; Kőhidai, L.; Schlosser, G.; et al. Ferrocene-Containing Impiridone (ONC201) Hybrids: Synthesis, DFT Modelling, In Vitro Evaluation, and Structure–Activity Relationships. Molecules 2018, 23, 2248. [Google Scholar] [CrossRef] [PubMed]
- Czuczi, T.; Murányi, J.; Bárány, P.; Móra, I.; Borbély, A.; Csala, M.; Csámpai, A. Synthesis and Antiproliferative Activity of Novel Imipridone–Ferrocene Hybrids with Triazole and Alkyne Linkers. Pharmaceuticals 2022, 15, 468. [Google Scholar] [CrossRef] [PubMed]
- Bonandi, E.; Christodoulou, M.S.; Fumagalli, G.; Perdicchia, D.; Rastelli, G.; Passarella, D. The 1,2,3-triazole ring as a bioisostere in medicinal chemistry. Drug Discov. Today 2017, 22, 1572–1581. [Google Scholar] [CrossRef]
- Kumari, S.; Carmona, A.V.; Tiwari, A.K.; Trippier, P.C. Amide Bond Bioisosteres: Strategies, Synthesis, and Successes. J. Med. Chem. 2020, 63, 12290–12358. [Google Scholar] [CrossRef]
- Rečnik, L.-M.; Kandioller, W.; Mindt, T.L. 1,4-Disubstituted 1,2,3-Triazoles as Amide Bond Surrogates for the Stabilisation of Linear Peptides with Biological Activity. Molecules 2020, 25, 3576. [Google Scholar] [CrossRef]
- Huestis, M.P.; Terrett, J.A. Simple strategy towards amide bioisosteres. Nat. Chem. 2022, 14, 120–121. [Google Scholar] [CrossRef]
- Seiferling, D.; Szczepanowska, K.; Becker, C.; Senft, K.; Hermans, S.; Maiti, P.; Trifunovic, A. Loss of CLPP alleviates mitochondrial cardiomyopathy without affecting the mammalian UPRmt. Sci. Rep. 2016, 17, 953–964. [Google Scholar] [CrossRef]
- Wong, K.S.; Mabanglo, M.F.; Seraphim, T.V.; ∙Mollica, A.; Mao, Y.-Q.; Rizzolo, K.; Leung, E.; Moutaoufik, M.T.; Hoell, L.; Phanse, S.; et al. Acyldepsipeptide Analogs Dysregulate Human Mitochondrial ClpP Protease Activity and Cause Apoptotic Cell Death. Cell Chem. Biol. 2018, 28, 1017–1030. [Google Scholar] [CrossRef]
- Chehelgerdi, M.; Chehelgerdi, M.; Allela, O.Q.B.; Pecho, R.D.C.; Jayasankar, N.; Rao, D.P.; Thamaraikani, T.; Vasanthan, M.; Viktor, P.; Lakshmaiya, N.; et al. Progressing nanotechnology to improve targeted cancer treatment: Overcoming hurdles in its clinical implementation. Mol Cancer. 2023, 22, 169. [Google Scholar] [CrossRef]
- Ezike, T.C.; Okpala, U.S.; Onoja, U.L.; Nwike, C.P.; Ezeako, E.C.; Okpara, O.J.; Okoroafor, C.C.; Eze, S.C.; Kalu, O.L.; Odoh, E.C.; et al. Advances in drug delivery systems, challenges and future directions. Heliyon 2023, 9, e17488. [Google Scholar] [CrossRef] [PubMed]
- Zhang, R.X.; Wong, H.L.; Xue, H.Y.; Eoh, J.Y.; Wu, X.Y. Nanomedicine of synergistic drug combinations for cancer therapy—Strategies and perspectives. J. Control. Release 2016, 240, 489–503. [Google Scholar] [CrossRef] [PubMed]
- Zhang, B.; Hu, Y.; Pang, Z. Modulating the Tumor Microenvironment to Enhance Tumor Nanomedicine Delivery. Front. Pharmacol. 2017, 8, 952. [Google Scholar] [CrossRef] [PubMed]
















| Comp. | ![]() | Cell Viability (% of Control) | ||||
|---|---|---|---|---|---|---|
| R1 | R2 | Cell Line | 25 µM | 8.3 µM | 2.8 µM | |
| ONC201 | ![]() | PANC-1 | 53 ± 2 | 58 ± 1 | 69 ± 1 | |
| Fadu | 27 ± 1 | 29 ± 1 | 31 ± 1 | |||
| I/A | ![]() | PANC-1 | 0 ± 0 | 39 ± 7 | 108 ± 4 | |
| Fadu | 0 ± 0 | 66 ± 24 | 105 ± 9 | |||
| I/B | ![]() | PANC-1 | 0 ± 0 | 61 ± 22 | 113 ± 4 | |
| Fadu | 0 ± 0 | 103 ± 6 | 112 ± 7 | |||
| 16f | ![]() | PANC-1 | 60 ± 1 | 68 ± 4 | 81 ± 3 | |
| Fadu | 77 ± 4 | 94 ± 1 | 100 ± 1 | |||
| 1a | ![]() | PANC-1 | 3 ± 2 | 93 ± 7 | 100 ± 5 | |
| Fadu | 10 ± 0 | 99 ± 2 | 106 ± 2 | |||
| 1b | ![]() | PANC-1 | 95 ± 2 | 93 ± 3 | 92 ± 0 | |
| Fadu | 68 ± 3 | 83 ± 0 | 88 ± 4 | |||
| 1c | ![]() | PANC-1 | 88 ± 6 | 87 ± 2 | 95 ± 3 | |
| Fadu | 64 ± 2 | 71 ± 0 | 79 ± 0 | |||
| 1d | ![]() | PANC-1 | 100 ± 5 | 101 ± 3 | 99 ± 3 | |
| Fadu | 84 ± 4 | 96 ± 7 | 99 ± 9 | |||
| 1e | ![]() | PANC-1 | 102 ± 0 | 91 ± 1 | 101 ± 7 | |
| Fadu | 69 ± 2 | 59 ± 4 | 96 ± 6 | |||
| 2a | ![]() | PANC-1 | 0 ± 0 | 0 ± 0 | 92 ± 2 | |
| Fadu | 0 ± 0 | 3 ± 0 | 107 ± 5 | |||
| 2b | ![]() | PANC-1 | 0 ± 0 | 0 ± 0 | 107 ± 1 | |
| Fadu | 0 ± 0 | 0 ± 0 | 102 ± 8 | |||
| 2c | ![]() | PANC-1 | 97 ± 2 | 95 ± 2 | 94 ± 2 | |
| Fadu | 65 ± 0 | 76 ± 4 | 79 ± 2 | |||
| 2d | ![]() | PANC-1 | 81 ± 0 | 87 ± 1 | 100 ± 8 | |
| Fadu | 78 ± 6 | 90 ± 10 | 99 ± 7 | |||
| 3a | ![]() | PANC-1 | 0 ± 0 | 88 ± 0 | 101 ± 7 | |
| Fadu | 0 ± 0 | 100 ± 6 | 104 ± 5 | |||
| 3b | ![]() | PANC-1 | 0 ± 0 | 84 ± 2 | 103 ± 8 | |
| Fadu | 22 ± 4 | 95 ± 3 | 103 ± 2 | |||
| 3c | ![]() | PANC-1 | 98 ± 1 | 98 ± 1 | 100 ± 3 | |
| Fadu | 85 ± 5 | 99 ± 2 | 103 ± 9 | |||
| 3d | ![]() | PANC-1 | 46 ± 7 | 55 ± 6 | 85 ± 1 | |
| Fadu | 23 ± 3 | 29 ± 2 | 87 ± 1 | |||
| 4a | ![]() | PANC-1 | 0 ± 0 | 73 ± 9 | 91 ± 4 | |
| Fadu | 0 ± 0 | 77 ± 3 | 102 ± 1 | |||
| 4b | ![]() | PANC-1 | 0 ± 0 | 70 ± 0 | 87 ± 5 | |
| Fadu | 0 ± 0 | 34 ± 3 | 76 ± 1 | |||
| 4cc | ![]() | PANC-1 | 47 ± 5 | 51 ± 5 | 67 ± 2 | |
| Fadu | 54 ± 4 | 68 ± 7 | 75 ± 1 | |||
| 4d | ![]() | PANC-1 | 53 ± 8 | 60 ± 2 | 74 ± 3 | |
| Fadu | 23 ± 3 | 27 ± 3 | 37 ± 1 | |||
| Comp. | ![]() | Cell Viability (% of Control) | ||||
|---|---|---|---|---|---|---|
| No. | R1 | R2 | Cell Line | 25 µM | 8.3 µM | 2.8 µM |
| ONC 201 a | ![]() | PANC-1 | 22 ± 2 | 35 ± 2 | 59 ± 9 | |
| Fadu | 25 ± 3 | 31 ± 2 | 38 ± 5 | |||
| I/A a | ![]() | PANC-1 | 0 ± 0 | 39 ± 7 | 108 ± 4 | |
| Fadu | 0 ± 0 | 66 ± 24 | 105 ± 9 | |||
| I/B a | ![]() | PANC-1 | 0 ± 0 | 61 ± 22 | 113 ± 4 | |
| Fadu | 0 ± 0 | 103 ± 6 | 112 ± 7 | |||
| 2a a | ![]() | PANC-1 | 0 ± 0 | 92 ± 14 | 117 ± 4 | |
| Fadu | 0 ± 0 | 56 ± 9 | 114 ± 8 | |||
| 2b a | ![]() | PANC-1 | 0 ± 0 | 0 ± 0 | 113 ± 3 | |
| Fadu | 0 ± 0 | 27 ± 12 | 117 ± 7 | |||
| 23a | ![]() | PANC-1 | 52 ± 55 | 104 ± 10 | 98 ± 7 | |
| Fadu | 61 ± 20 | 107 ± 7 | 109 ± 10 | |||
| 23b | ![]() | PANC-1 | 47 ± 39 | 106 ± 5 | 113 ± 15 | |
| Fadu | 77 ± 6 | 108 ± 7 | 117 ± 11 | |||
| 33a | ![]() | PANC-1 | 4 ± 5 | 107 ± 9 | 102 ± 9 | |
| Fadu | 9 ± 8 | 93 ± 2 | 99 ± 2 | |||
| 33b | ![]() | PANC-1 | 71 ± 32 | 109 ± 5 | 102 ± 9 | |
| Fadu | 80 ± 11 | 115 ± 6 | 120 ± 9 | |||
| 36a | ![]() | PANC-1 | 0 ± 0 | 0 ± 0 | 116 ± 8 | |
| Fadu | 0 ± 0 | 6 ± 5 | 105 ± 20 | |||
| 36b | ![]() | PANC-1 | 0 ± 0 | 0 ± 0 | 116 ± 7 | |
| Fadu | 0 ± 0 | 1 ± 1 | 114 ± 7 | |||
| 36c | ![]() | PANC-1 | 0 ± 0 | 0 ± 0 | 111 ± 8 | |
| Fadu | 0 ± 0 | 5 ± 5 | 111 ± 10 | |||
| 37a | ![]() | PANC-1 | 16 ± 8 | 123 ± 5 | 118 ± 4 | |
| Fadu | 0 ± 0 | 70 ± 20 | 106 ± 10 | |||
| 37b | ![]() | PANC-1 | 5 ± 6 | 113 ± 3 | 110 ± 5 | |
| Fadu | 13 ± 6 | 91 ± 12 | 108 ± 7 | |||
| 38a | ![]() | PANC-1 | 0 ± 0 | 0 ± 0 | 44 ± 41 | |
| Fadu | 0 ± 0 | 0 ± 1 | 85 ± 16 | |||
| 38b | ![]() | PANC-1 | 0 ± 0 | 0 ± 0 | 6 ± 6 | |
| Fadu | 0 ± 0 | 0 ± 0 | 91 ± 17 | |||
| 39a | ![]() | PANC-1 | 35 ± 41 | 62 ± 72 | 112 ± 7 | |
| Fadu | 13 ± 15 | 45 ± 52 | 99 ± 9 | |||
| 39b | ![]() | PANC-1 | 2 ± 3 | 25 ± 20 | 107 ± 3 | |
| Fadu | 1 ± 1 | 15 ± 8 | 96 ± 4 | |||
| 40a | ![]() | PANC-1 | 61 ± 67 | 72 ± 61 | 119 ± 4 | |
| Fadu | 45 ± 34 | 81 ± 21 | 105 ± 5 | |||
| 40b | ![]() | PANC-1 | 1 ± 1 | 12 ± 10 | 125 ± 5 | |
| Fadu | 24 ± 11 | 60 ± 3 | 92 ± 9 | |||
| 41ac | ![]() | PANC-1 | 0 ± 0 | 58 ± 67 | 112 ± 7 | |
| Fadu | 0 ± 0 | 41 ± 42 | 97 ± 4 | |||
| 41b | ![]() | PANC-1 | 0 ± 0 | 0 ± 0 | 110 ± 6 | |
| Fadu | 3 ± 1 | 30 ± 28 | 106 ± 1 | |||
| 42a | ![]() | PANC-1 | 58 ± 36 | 75 ± 31 | 132 ± 4 | |
| Fadu | 55 ± 12 | 112 ± 11 | 121 ± 3 | |||
| 42b | ![]() | PANC-1 | 59 ± 3 | 82 ± 5 | 94 ± 5 | |
| Fadu | 13 ± 6 | 91 ± 12 | 108 ± 7 | |||
| IC50 Value ± SEM | Selectivity Index (SI) a | ||||
|---|---|---|---|---|---|
| PANC-1 | Fadu | Primary Fibroblast | Fibroblast/PANC-1 | Fibroblast/Fadu | |
| ONC201 | 3.1 ± 0.26 | 1.3 ± 0.15 | n. d. | n. d. | n. d. |
| I/A | 10.7 ± 0.31 | 10.0 ± 0.23 | 14.9 ± 0.46 | 1.4 | 1.5 |
| I/B | 8.2 ± 0.41 | 10.3 ± 0.17 | 11.0 ± 0.65 | 1.3 | 1.1 |
| 38a | 2.7 ± 0.07 | 2.9 ± 0.06 | 4.6 ± 0.83 | 1.7 | 1.6 |
| 38b | 2.5 ± 0.23 | 3.3 ± 0.07 | 4.4 ± 0.23 | 1.8 | 1.3 |
| 43a | 2.5 ± 0.94 | 3.2 ± 0.10 | 3.2 ± 0.07 | 1.3 | 1.0 |
| 43b | 3.1 ± 0.17 | 3.2 ± 0.06 | 3.5 ± 0.17 | 1.1 | 1.1 |
| 43c | 2.6 ± 0.03 | 3.6 ± 0.09 | 3.7 ± 1.73 | 1.4 | 1.0 |
| IC50 (µM) | ||
|---|---|---|
| HEK293T WT | HEK293T CLPP−/− | |
| ONC201 | 0.6 ± 0.03 | n. d. a |
| 38a | 1.6 ± 0.04 | 2.4 ± 0.03 |
| 38b | 1.7 ± 0.02 | 2.1 ± 0.03 |
Disclaimer/Publisher’s Note: The statements, opinions and data contained in all publications are solely those of the individual author(s) and contributor(s) and not of MDPI and/or the editor(s). MDPI and/or the editor(s) disclaim responsibility for any injury to people or property resulting from any ideas, methods, instructions or products referred to in the content. |
© 2024 by the authors. Licensee MDPI, Basel, Switzerland. This article is an open access article distributed under the terms and conditions of the Creative Commons Attribution (CC BY) license (https://creativecommons.org/licenses/by/4.0/).
Share and Cite
Czuczi, T.; Murányi, J.; Móra, I.; Gurbi, B.; Varga, A.; Papp, D.; Schlosser, G.; Csala, M.; Csámpai, A. Development of Novel Imipridones with Alkyne- and Triazole-Linked Warheads on the Tricyclic Skeleton, Showing Superior Ability to Eradicate PANC-1 and Fadu Cells Compared to ONC201. Int. J. Mol. Sci. 2024, 25, 13176. https://doi.org/10.3390/ijms252313176
Czuczi T, Murányi J, Móra I, Gurbi B, Varga A, Papp D, Schlosser G, Csala M, Csámpai A. Development of Novel Imipridones with Alkyne- and Triazole-Linked Warheads on the Tricyclic Skeleton, Showing Superior Ability to Eradicate PANC-1 and Fadu Cells Compared to ONC201. International Journal of Molecular Sciences. 2024; 25(23):13176. https://doi.org/10.3390/ijms252313176
Chicago/Turabian StyleCzuczi, Tamás, József Murányi, István Móra, Bianka Gurbi, Attila Varga, Dávid Papp, Gitta Schlosser, Miklós Csala, and Antal Csámpai. 2024. "Development of Novel Imipridones with Alkyne- and Triazole-Linked Warheads on the Tricyclic Skeleton, Showing Superior Ability to Eradicate PANC-1 and Fadu Cells Compared to ONC201" International Journal of Molecular Sciences 25, no. 23: 13176. https://doi.org/10.3390/ijms252313176
APA StyleCzuczi, T., Murányi, J., Móra, I., Gurbi, B., Varga, A., Papp, D., Schlosser, G., Csala, M., & Csámpai, A. (2024). Development of Novel Imipridones with Alkyne- and Triazole-Linked Warheads on the Tricyclic Skeleton, Showing Superior Ability to Eradicate PANC-1 and Fadu Cells Compared to ONC201. International Journal of Molecular Sciences, 25(23), 13176. https://doi.org/10.3390/ijms252313176
















































