GH3 Gene Family Identification in Chinese White Pear (Pyrus bretschneideri) and the Functional Analysis of PbrGH3.5 in Fe Deficiency Responses in Tomato
Abstract
1. Introduction
2. Results
2.1. Characterization and Physicochemical Properties of the Pear GH3 Gene Family
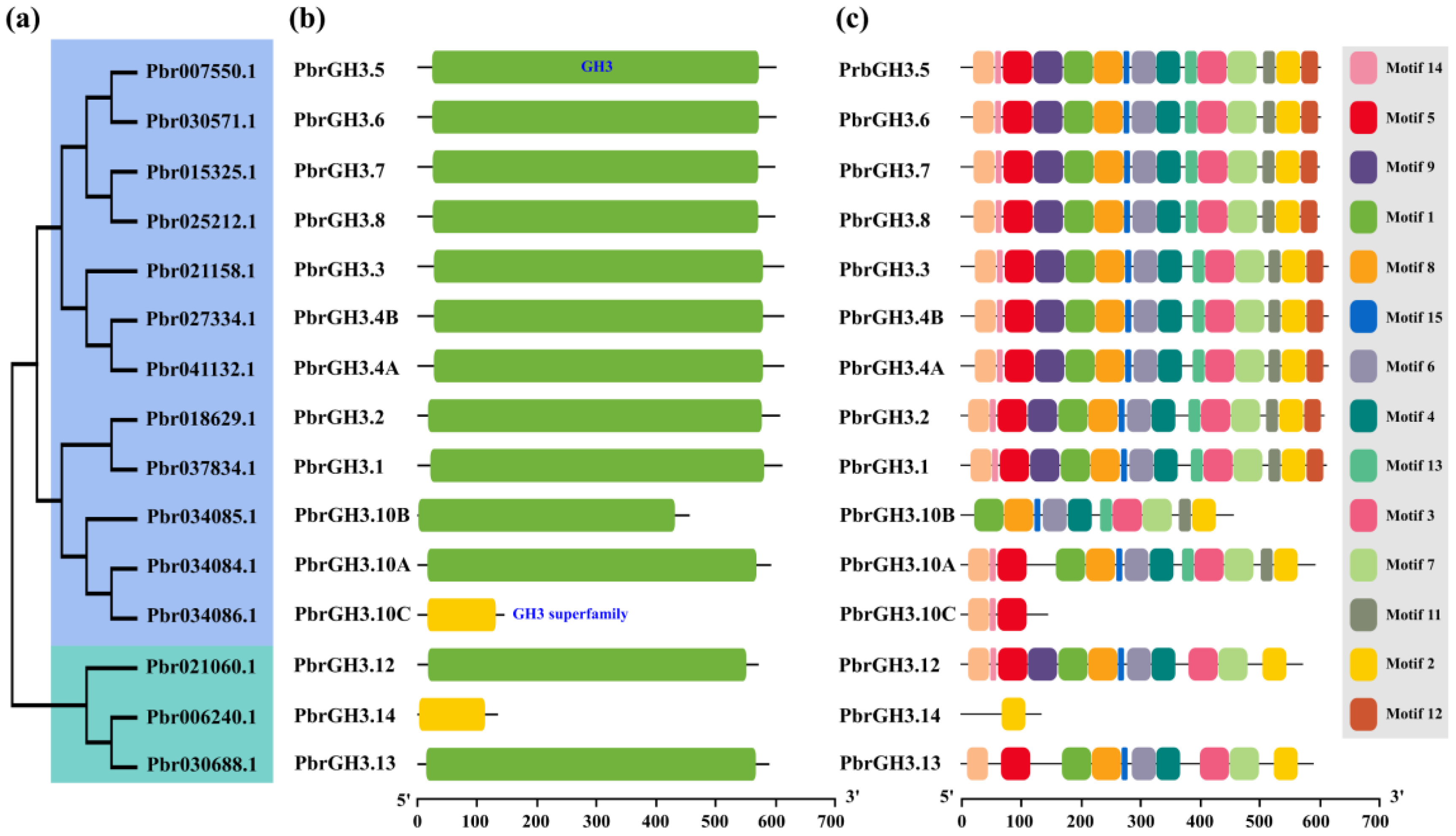
2.2. Phylogenetic Evolution, Gene Structure, and Motif Analysis of the Pear GH3 Gene Family
2.3. Analysis of Cis-Acting Regulatory Elements in the Promoters of the Pear GH3 Gene Family
2.4. Expression Analysis and Identification of Fe-Deficiency-Responsive GH3 Gene Family in Pear
2.5. Functional Analysis of PbrGH3.5 in Fe Deficiency Responses in Tomato Plants
2.6. Dissection of Potential Pathways of PbrGH3.5-Impaired Fe Deficiency Tolerance
2.7. Prediction of the Interaction and Regulatory Networks for PbrGH3.5
3. Discussion
3.1. Pear GH3 Gene Family Consists of 15 Members
3.2. PbrGH3s May Participate in ABA-Mediated Abiotic Stresses
3.3. PbrGH3.5 Negatively Modulates Fe Deficiency Responses in Tomato Plants
3.4. PbrGH3.5-Weakened Fe Deficiency Tolerance in Tomato Plants Is Related to ROS Accumulation and IAA Conjugation
3.5. Interactor PbrSnRKs and Transcription Factor PbrDofs Might Determine the Function of PbrGH3.5
4. Materials and Methods
4.1. Identification and Bioinformatics Analysis of PbrGH3 Genes
4.2. Phylogenetic and Expression Profile Analysis of PbrGH3 Genes
4.3. Promoter Analysis and Regulatory Prediction of PbrGH3 Genes
4.4. Plant Materials and Fe Deficiency Treatment
4.5. Plasmid Construction and Plant Transformation
4.6. Physiological Indexes Analysis
4.7. qRT-PCR Analysis
4.8. Statistical Analysis
5. Conclusions
Supplementary Materials
Author Contributions
Funding
Institutional Review Board Statement
Informed Consent Statement
Data Availability Statement
Acknowledgments
Conflicts of Interest
References
- Wu, J.; Wang, Y.; Xu, J.; Korban, S.S.; Fei, Z.; Tao, S.; Ming, R.; Tai, S.; Khan, A.M.; Postman, J.D.; et al. Diversification and Independent Domestication of Asian and European Pears. Genome Biol. 2018, 19, 77. [Google Scholar] [CrossRef] [PubMed]
- Jia, B.; Chang, X.; Fu, Y.; Heng, W.; Ye, Z.; Liu, P.; Liu, L.; Al-Shoffe, Y.; Watkins, C.B.; Zhu, L.W. Metagenomic Analysis of Rrhizosphere Microbiome Provides Insights into Occurrence of Iron Deficiency Chlorosis in Field of Asian Pears. BMC Microbiol. 2022, 22, 18. [Google Scholar] [CrossRef]
- Hansch, R.; Mendel, R.R. Physiological Functions of Mineral Micronutrients (Cu, Zn, Mn, Fe, Ni, Mo, B, Cl). Curr. Opin. Plant Biol. 2009, 12, 259–266. [Google Scholar] [CrossRef]
- Riaz, N.; Guerinot, M.L. All Together Now: Regulation of the Iron Deficiency Response. J. Exp. Bot. 2021, 72, 2045–2055. [Google Scholar] [CrossRef]
- Connolly, E.L.; Guerinot, M.L. Iron Stress in Plants. Genome Biol. 2002, 3, 8. [Google Scholar] [CrossRef]
- Briat, J.F.; Dubos, C.; Gaymard, F. Iron Nutrition, Biomass Production, and Plant Product Quality. Trends Plant Sci. 2015, 20, 33–40. [Google Scholar] [CrossRef]
- Jeong, J.; Guerinot, M.L. Homing in on Iron Homeostasis in Plants. Trends Plant Sci. 2009, 14, 280–285. [Google Scholar] [CrossRef]
- Robinson, N.J.; Procter, C.M.; Connolly, E.L.; Guerinot, M.L. A Ferric-chelate Reductase for Iron Uptake from Soils. Nature 1999, 397, 694–697. [Google Scholar] [CrossRef]
- Vert, G.; Grotz, N.; Dedaldechamp, F.; Guerinot, M.L.; Briat, J.F.; Curie, C. IRT1, An Arabidopsis Transporter Essential for Iron Uptake from the Soil and for Plant Growth. Plant Cell 2002, 14, 1223–1233. [Google Scholar] [CrossRef]
- Santi, S.; Schmidt, W. Dissecting Iron Deficiency-Induced Proton Extrusion in Arabidopsis Roots. New Phytol. 2009, 183, 1072–1084. [Google Scholar] [CrossRef]
- Casamassimi, A.; Ciccodicola, A. Transcriptional Regulation: Molecules, Involved Mechanisms, and Misregulation. Int. J. Mol. Sci. 2019, 20, 1281. [Google Scholar] [CrossRef]
- Du, Q.; Lv, W.; Guo, Y.; Yang, J.; Wang, S.; Li, W.X. MIR164b Represses Iron Uptake by Regulating the NAC Domain Transcription Factor5-Nuclear Factor Y, Subunit A8 Module in Arabidopsis. Plant Physiol. 2022, 189, 1095–1109. [Google Scholar] [CrossRef]
- Sun, Y.; Li, J.Q.; Yan, J.Y.; Yuan, J.J.; Li, G.X.; Wu, Y.R.; Xu, J.M.; Huang, R.F.; Harberd, N.P.; Ding, Z.J.; et al. Ethylene Promotes Seed Iron Storage During Arabidopsis Seed Maturation via ERF95 Transcription Factor. J. Integr. Plant Biol. 2020, 62, 1193–1212. [Google Scholar] [CrossRef]
- Brumbarova, T.; Bauer, P.; Ivanov, R. Molecular Mechanisms Governing Arabidopsis Iron Uptake. Trends Plant Sci. 2015, 20, 124–133. [Google Scholar] [CrossRef]
- Lei, R.; Li, Y.; Cai, Y.; Li, C.; Pu, M.; Lu, C.; Yang, Y.; Liang, G. bHLH121 Functions as A Direct Link that Facilitates the Activation of FIT by bHLH IVc Transcription Factors for Maintaining Fe Homeostasis in Arabidopsis. Mol. Plant 2020, 13, 634–649. [Google Scholar] [CrossRef]
- Zhang, Z.; Cheng, J.; Wang, W.; Gao, Y.; Xian, X.; Li, C.; Wang, Y. Transcription Factors Dealing with Iron-Deficiency Stress in Plants: Focus on the bHLH Transcription Factor Family. Physiol. Plant. 2023, 175, e14091. [Google Scholar] [CrossRef]
- Cui, Y.; Chen, C.L.; Cui, M.; Zhou, W.J.; Wu, H.L.; Ling, H.Q. Four IVa bHLH Transcription Factors Are Novel Interactors of FIT and Mediate JA Inhibition of Iron Uptake in Arabidopsis. Mol. Plant 2018, 11, 1166–1183. [Google Scholar] [CrossRef]
- Wild, M.; Daviere, J.M.; Regnault, T.; Sakvarelidze-Achard, L.; Carrera, E.; Lopez-Diaz, I.; Cayrel, A.; Dubeaux, G.; Vert, G.; Achard, P. Tissue-Specific Regulation of Gibberellin Signaling Fine-Tunes Arabidopsis Iron-Deficiency Responses. Dev. Cell 2016, 37, 190–200. [Google Scholar] [CrossRef]
- Zhang, J.C.; Wang, X.F.; Wang, X.N.; Wang, F.P.; Ji, X.L.; An, J.P.; Yang, K.; Zhao, Q.; You, C.X.; Hao, Y.J. Abscisic Acid Alleviates Iron Deficiency by Regulating Iron Distribution in Roots and Shoots of Apple. Sci. Hortic. 2020, 262, 109018. [Google Scholar] [CrossRef]
- Guo, Z.; Du, N.; Li, Y.; Zheng, S.; Shen, S.; Piao, F. Gamma-Aminobutyric Acid Enhances Tolerance to Iron Deficiency by Stimulating Auxin Signaling in Cucumber (Cucumis sativus L.). Ecotoxicol. Environ. Saf. 2020, 192, 110285. [Google Scholar] [CrossRef]
- Li, L.; Verstraeten, I.; Roosjen, M.; Takahashi, K.; Rodriguez, L.; Merrin, J.; Chen, J.; Shabala, L.; Smet, W.; Ren, H.; et al. Cell Surface and Intracellular Auxin Signalling for H+ Fluxes in Root Growth. Nature 2021, 599, 273–277. [Google Scholar] [CrossRef] [PubMed]
- Lin, W.; Zhou, X.; Tang, W.; Takahashi, K.; Pan, X.; Dai, J.; Ren, H.; Zhu, X.; Pan, S.; Zheng, H.; et al. TMK-Based Cell-Surface Auxin Signalling Activates Cell-Wall Acidification. Nature 2021, 599, 278–282. [Google Scholar] [CrossRef]
- Sun, H.; Feng, F.; Liu, J.; Zhao, Q. The Interaction between Auxin and Nitric Oxide Regulates Root Growth in Response to Iron Deficiency in Rice. Front. Plant Sci. 2017, 8, 2169. [Google Scholar] [CrossRef]
- Staswick, P.E.; Serban, B.; Rowe, M.; Tiryaki, I.; Maldonado, M.T.; Maldonado, M.C.; Suza, W. Characterization of An Arabidopsis Enzyme Family That Conjugates Amino Acids to Indole-3-Acetic Acid. Plant Cell 2005, 17, 616–627. [Google Scholar] [CrossRef]
- Mellor, N.; Band, L.R.; Pencik, A.; Novak, O.; Rashed, A.; Holman, T.; Wilson, M.H.; Voß, U.; Bishopp, A.; King, J.R.; et al. Dynamic Regulation of Auxin Oxidase and Conjugating Enzymes AtDAO1 and GH3 Modulates Auxin Homeostasis. Proc. Natl. Acad. Sci. USA 2016, 113, 11022–11027. [Google Scholar] [CrossRef]
- Hayashi, K.I.; Arai, K.; Aoi, Y.; Tanaka, Y.; Hira, H.; Guo, R.; Hu, Y.; Ge, C.; Zhao, Y.; Kasahara, H.; et al. The Main Oxidative Inactivation Pathway of The Plant Hormone Auxin. Nat. Commun. 2021, 12, 6752. [Google Scholar] [CrossRef]
- Wright, R.M.; Hagen, G.; Guilfoyle, T. An Auxin-Induced Polypeptide in Dicotyledonous Plants. Plant Mol. Biol. 1987, 9, 625–634. [Google Scholar] [CrossRef]
- Jain, M.; Kaur, N.; Tyagi, A.K.; Khurana, J.P. The Auxin-Responsive GH3 Gene Family in Rice (Oryza sativa). Funct. Integr. Genom. 2006, 6, 36–46. [Google Scholar] [CrossRef]
- Yuan, H.; Zhao, K.; Lei, H.; Shen, X.; Liu, Y.; Liao, X.; Li, T. Genome-Wide Analysis of the GH3 Family in Apple (Malus × domestica). BMC Genom. 2013, 14, 297. [Google Scholar] [CrossRef]
- Feng, S.; Yue, R.; Tao, S.; Yang, Y.; Zhang, L.; Xu, M.; Wang, H.; Shen, C. Genome-Wide Identification, Expression Analysis of Auxin-Responsive GH3 Family Genes in Maize (Zea mays L.) under Abiotic Stresses. J. Integr. Plant Biol. 2015, 57, 783–795. [Google Scholar] [CrossRef] [PubMed]
- Yu, D.; Qanmber, G.; Lu, L.; Wang, L.; Li, J.; Yang, Z.; Liu, Z.; Li, Y.; Chen, Q.; Mendu, V.; et al. Genome-Wide Analysis of Cotton GH3 Subfamily II Reveals Functional Divergence in Fiber Development, Hormone Response and Plant Architecture. BMC Plant Biol. 2018, 18, 350. [Google Scholar] [CrossRef]
- Jiang, W.; Yin, J.; Zhang, H.; He, Y.; Shuai, S.; Chen, S.; Cao, S.; Li, W.; Ma, D.; Chen, H. Genome-Wide Identification, Characterization Analysis and Expression Profiling of Auxin-Responsive GH3 Family Genes in Wheat (Triticum aestivum L.). Mol. Biol. Rep. 2020, 47, 3885–3907. [Google Scholar] [CrossRef]
- Mathura, S.R.; Sutton, F.; Bowrin, V. Genome-Wide Identification, Characterization, and Expression Analysis of the Sweet Potato (Ipomoea batatas [L.] Lam.) ARF, Aux/IAA, GH3, and SAUR Gene Families. BMC Plant Biol. 2023, 23, 622. [Google Scholar] [CrossRef]
- Wang, X.; Jia, C.; An, L.; Zeng, J.; Ren, A.; Han, X.; Wang, Y.; Wu, S. Genome-Wide Identification and Expression Characterization of The GH3 Gene Family of Tea Plant (Camellia sinensis). BMC Genom. 2024, 25, 120. [Google Scholar] [CrossRef]
- Zou, X.; Long, J.; Zhao, K.; Peng, A.; Chen, M.; Long, Q.; He, Y.; Chen, S. Overexpressing GH3.1 and GH3.1L Reduces Susceptibility to Xanthomonas citri subsp. citri by Repressing Auxin Signaling in Citrus (Citrus sinensis Osbeck). PLoS ONE 2019, 14, e0220017. [Google Scholar] [CrossRef]
- Hu, D.G.; Wang, N.; Wang, D.H.; Cheng, L.; Wang, Y.X.; Zhao, Y.W.; Ding, J.Y.; Gu, K.D.; Xiao, X.; Hao, Y.J. A Basic/Helix-Loop-Helix Transcription Factor Controls Leaf Shape by Regulating Auxin Signaling in Apple. New Phytol. 2020, 228, 1897–1913. [Google Scholar] [CrossRef]
- Zhao, D.; Wang, Y.; Feng, C.; Wei, Y.; Peng, X.; Guo, X.; Guo, X.; Zhai, Z.; Li, J.; Shen, X.; et al. Overexpression of MsGH3.5 Inhibits Shoot and Root Development through the Auxin and Cytokinin Pathways in Apple Plants. Plant J. 2020, 103, 166–183. [Google Scholar] [CrossRef]
- Wang, Q.; De-Gernier, H.; Duan, X.; Xie, Y.; Geelen, D.; Hayashi, K.I.; Xuan, W.; Geisler, M.; Ten-Tusscher, K.; Beeckman, T.; et al. GH3-Mediated Auxin Inactivation Attenuates Multiple Stages of Lateral Root Development. New Phytol. 2023, 240, 1900–1912. [Google Scholar] [CrossRef]
- Du, H.; Wu, N.; Fu, J.; Wang, S.; Li, X.; Xiao, J.; Xiong, L. A GH3 Family Member, OsGH3-2, Modulates Auxin and Abscisic Acid Levels and Differentially Affects Drought and Cold Tolerance in Rice. J. Exp. Bot. 2012, 63, 6467–6480. [Google Scholar] [CrossRef]
- Jiang, L.; Shen, W.; Liu, C.; Tahir, M.M.; Li, X.; Zhou, S.; Ma, F.; Guan, Q. Engineering Drought-Tolerant Apple by Knocking Down Six GH3 Genes and Potential Application of Transgenic Apple as A Rootstock. Hortic. Res. 2022, 9, uhac122. [Google Scholar] [CrossRef]
- Casanova-Saez, R.; Mateo-Bonmati, E.; Simura, J.; Pencik, A.; Novak, O.; Staswick, P.; Ljung, K. Inactivation of the Entire Arabidopsis Group II GH3s Confers Tolerance to Salinity And Water Deficit. New Phytol. 2022, 235, 263–275. [Google Scholar] [CrossRef]
- Mittler, R.; Zandalinas, S.I.; Fichman, Y.; Van-Breusegem, F. Reactive Oxygen Species Signalling in Plant Stress Responses. Nat. Rev. Mol. Cell Biol. 2022, 23, 663–679. [Google Scholar] [CrossRef]
- Von-Der-Mark, C.; Ivanov, R.; Eutebach, M.; Maurino, V.G.; Bauer, P.; Brumbarova, T. Reactive Oxygen Species Coordinate the Transcriptional Responses to Iron Availability in Arabidopsis. J. Exp. Bot. 2021, 72, 2181–2195. [Google Scholar] [CrossRef]
- Sies, H.; Belousov, V.V.; Chandel, N.S.; Davies, M.J.; Jones, D.P.; Mann, G.E.; Murphy, M.P.; Yamamoto, M.; Winterbourn, C. Defining Roles of Specific Reactive Oxygen Species (ROS) in Cell Biology and Physiology. Nat. Rev. Mol. Cell Biol. 2022, 23, 499–515. [Google Scholar] [CrossRef]
- Miller, G.; Suzuki, N.; Ciftci-Yilmaz, S.; Mittler, R. Reactive Oxygen Species Homeostasis and Signaling during Drought and Salinity Stresses. Plant Cell Environ. 2010, 33, 453–467. [Google Scholar] [CrossRef] [PubMed]
- Song, H.; Chen, F.; Wu, X.; Hu, M.; Geng, Q.; Ye, M.; Zhang, C.; Jiang, L.; Cao, S. MNB1 Gene Is Involved in Regulating the Iron-Deficiency Stress Response in Arabidopsis thaliana. BMC Plant Biol. 2022, 22, 151. [Google Scholar] [CrossRef]
- Wang, X.; Zhang, Z.; Dong, Y.; Wang, Y. Functional Identification of MhPYL4 Involved in Iron-Deficiency Stress in Malus Halliana Koehne. Plants 2024, 13, 2317. [Google Scholar] [CrossRef]
- Wu, J.; Wang, Z.W.; Shi, Z.B.; Zhang, S.; Ming, R.; Zhu, S.L.; Khan, M.A.; Tao, S.T.; Korban, S.S.; Wang, H.; et al. The genome of the pear (Pyrus bretschneideri Rehd.). Genome Res. 2013, 23, 396–408. [Google Scholar] [CrossRef]
- Li, X.; Cao, H.; Yu, D.; Xu, K.; Zhang, Y.; Shangguan, X.; Zheng, X.; Yang, Z.; Li, C.; Pan, X.; et al. SlbHLH152, A bHLH Transcription Factor Positively Regulates Iron Homeostasis in Tomato. Plant Sci. 2023, 335, 111821. [Google Scholar] [CrossRef]
- Zhu, H.; Wang, J.; Jiang, D.; Hong, Y.; Xu, J.; Zheng, S.; Yang, J.; Chen, W. The miR157-SPL-CNR Module Acts Upstream of bHLH101 to Negatively Regulate Iron Deficiency Responses in Tomato. J. Integr. Plant Biol. 2022, 64, 1059–1075. [Google Scholar] [CrossRef]
- Li, J.; Min, X.; Luo, K.; Hamidou-Abdoulaye, A.; Zhang, X.; Huang, W.; Zhang, R.; Chen, Y. Molecular Characterization of the GH3 Family in Alfalfa under Abiotic Stress. Gene 2023, 851, 146982. [Google Scholar] [CrossRef]
- Chen, S.; Zhong, K.; Li, Y.; Bai, C.; Xue, Z.; Wu, Y. Evolutionary Analysis of the Melon (Cucumis melo L.) GH3 Gene Family and Identification of GH3 Genes Related to Fruit Growth and Development. Plants 2023, 12, 1382. [Google Scholar] [CrossRef]
- Wittkopp, P.J.; Kalay, G. Cis-Regulatory Elements: Molecular Mechanisms and Evolutionary Processes Underlying Divergence. Nat. Rev. Genet. 2011, 13, 59–69. [Google Scholar] [CrossRef]
- Hernandez-Garcia, C.M.; Finer, J.J. Identification and Validation of Promoters and Cis-Acting Regulatory Elements. Plant Sci. 2014, 217–218, 109–119. [Google Scholar] [CrossRef]
- Yocca, A.E.; Edger, P.P. Current Status and Future Perspectives on the Evolution of Cis-Regulatory Elements in Plants. Curr. Opin. Plant Biol. 2022, 65, 102139. [Google Scholar] [CrossRef]
- Long, Y.; Wendel, J.F.; Zhang, X.; Wang, M. Evolutionary Insights into the Organization of Chromatin Structure and Landscape of Transcriptional Regulation in Plants. Trends Plant Sci. 2024, 29, 638–649. [Google Scholar] [CrossRef]
- Song, J.; Sun, P.; Kong, W.; Xie, Z.; Li, C.; Liu, J.H. SnRK2.4-Mediated Phosphorylation of ABF2 Regulates ARGININE DECARBOXYLASE Expression and Putrescine Accumulation under Drought Stress. New Phytol. 2023, 238, 216–236. [Google Scholar] [CrossRef]
- Waadt, R.; Seller, C.A.; Hsu, P.K.; Takahashi, Y.; Munemasa, S.; Schroeder, J.I. Plant Hormone Regulation of Abiotic Stress Responses. Nat. Rev. Mol. Cell Biol. 2022, 23, 680–694. [Google Scholar] [CrossRef]
- Lu, S.; Wang, P.; Nai, G.; Li, Y.; Su, Y.; Liang, G.; Chen, B.; Mao, J. Insight into VvGH3 Genes Evolutional Relationship from Monocotyledons and Dicotyledons Reveals that VvGH3-9 Negatively Regulates the Drought Tolerance in Transgenic Arabidopsis. Plant Physiol. Biochem. 2022, 172, 70–86. [Google Scholar] [CrossRef]
- Yaschenko, A.E.; Fenech, M.; Mazzoni-Putman, S.; Alonso, J.M.; Stepanova, A.N. Deciphering the Molecular Basis of Tissue-Specific Gene Expression in Plants: Can Synthetic Biology Help? Curr. Opin. Plant Biol. 2022, 68, 102241. [Google Scholar] [CrossRef]
- Qi, Y.; Wang, S.; Shen, C.; Zhang, S.; Chen, Y.; Xu, Y.; Liu, Y.; Wu, Y.; Jiang, D. OsARF12, A Transcription Activator on Auxin Response Gene, Regulates Root Elongation and Affects Iron Accumulation in Rice (Oryza sativa). New Phytol. 2012, 193, 109–120. [Google Scholar] [CrossRef]
- Zhu, C.; Lin, Z.; Liu, Y.; Li, H.; Di, X.; Li, T.; Wang, J.; Gao, Z. A Bamboo bHLH Transcription Factor PeRHL4 Has Dual Functions in Enhancing Drought and Phosphorus Starvation Tolerance. Plant Cell Environ. 2024, 47, 3015–3029. [Google Scholar] [CrossRef] [PubMed]
- Guo, G.L.; Yu, T.; Zhang, H.Y.; Chen, M.; Dong, W.; Zhang, S.Q.; Tang, X.M.; Liu, L.; Heng, W.; Zhu, L.W.; et al. Evidence That PbrSAUR72 Contributes to Iron Deficiency Tolerance in Pears by Facilitating Iron Absorption. Plants 2023, 12, 2173. [Google Scholar] [CrossRef]
- Ma, H.; Fu, M.; Xu, Z.; Chu, Z.; Tian, J.; Wang, Y.; Zhang, X.; Han, Z.; Wu, T. Allele-Specific Expression of AP2-like ABA Repressor 1 Regulates Iron Uptake by Modulating Rhizosphere pH in Apple. Plant Physiol. 2024, 196, 2121–2136. [Google Scholar] [CrossRef]
- Sun, Z.; Guo, D.; Lv, Z.; Bian, C.; Ma, C.; Liu, X.; Tian, Y.; Wang, C.; Zheng, X. Brassinolide Alleviates Fe Deficiency-Induced Stress by Regulating the Fe Absorption Mechanism in Malus hupehensis Rehd. Plant Cell Rep. 2022, 41, 1863–1874. [Google Scholar] [CrossRef] [PubMed]
- Fan, Z.; Wu, Y.; Zhao, L.; Fu, L.; Deng, L.; Deng, J.; Ding, D.; Xiao, S.; Deng, X.; Peng, S.; et al. MYB308-Mediated Transcriptional Activation of Plasma Membrane H+-ATPase 6 Promotes Iron Uptake in Citrus. Hortic. Res. 2022, 9, uhac088. [Google Scholar] [CrossRef]
- Mittler, R.; Vanderauwera, S.; Suzuki, N.; Miller, G.; Tognetti, V.B.; Vandepoele, K.; Gollery, M.; Shulaev, V.; Van-Breusegem, F. ROS Signaling: The New Wave? Trends Plant Sci. 2011, 16, 300–309. [Google Scholar] [CrossRef] [PubMed]
- Zhai, L.; Sun, Q.; Gao, M.; Cheng, X.; Liao, X.; Wu, T.; Zhang, X.; Xu, X.; Wang, Y.; Han, Z.X. MxMPK4-1 Phosphorylates NADPH Oxidase to Trigger the MxMPK6-2-MxbHLH104 Pathway Mediated Fe Deficiency Responses in Apple. Plant Cell Environ. 2022, 45, 2810–2826. [Google Scholar] [CrossRef]
- Li, D.; Sun, Q.; Zhang, G.; Zhai, L.; Li, K.; Feng, Y.; Wu, T.; Zhang, X.; Xu, X.; Wang, Y.; et al. MxMPK6-2-bHLH104 Interaction Is Involved in Reactive Oxygen Species Signaling in Response to Iron Deficiency in Apple Rootstock. J. Exp. Bot. 2021, 72, 1919–1932. [Google Scholar] [CrossRef] [PubMed]
- Wojtaczka, P.; Ciarkowska, A.; Starzynska, E.; Ostrowski, M. The GH3 Amido synthetases Family and Their Role in Metabolic Crosstalk Modulation of Plant Signaling Compounds. Phytochemistry 2022, 194, 113039. [Google Scholar] [CrossRef]
- Exposito-Rodriguez, M.; Borges, A.A.; Borges-Perez, A.; Perez, J.A. Gene Structure and Spatiotemporal Expression Profile of Tomato Genes Encoding YUCCA-Like Flavin Monooxygenases: The ToFZY Gene Family. Plant Physiol. Biochem. 2011, 49, 782–791. [Google Scholar] [CrossRef]
- Wang, X.Y.; Zhang, Z.X.; Dong, Y.J.; Gao, Y.L.; Ma, X.L.; Zhang, D.H.; Zhao, W.B.; Wang, Y.X. Functional Identification of Protein Kinase MhSnRK2.4 Involved in Fe Deficiency Stress in Malus halliana Koehne. Fruit Res. 2024, 4, e032. [Google Scholar] [CrossRef]
- Yang, Y.Y.; An, X.H.; Rui, L.; Liu, G.D.; Tian, Y.; You, C.X.; Wang, X.F. MdSnRK1.1 Interacts with MdGLK1 to Regulate Abscisic Acid-Mediated Chlorophyll Accumulation in Apple. Hortic. Res. 2023, 11, uhad288. [Google Scholar] [CrossRef]
- Zou, X.; Sun, H. DOF Transcription Factors: Specific Regulators of Plant Biological Processes. Front. Plant Sci. 2023, 14, 1044918. [Google Scholar] [CrossRef]
- Rymen, B.; Kawamura, A.; Schafer, S.; Breuer, C.; Iwase, A.; Shibata, M.; Ikeda, M.; Mitsuda, N.; Koncz, C.; Ohme-Takagi, M.; et al. ABA Suppresses Root Hair Growth via The OBP4 Transcriptional Regulator. Plant Physiol. 2017, 173, 1750–1762. [Google Scholar] [CrossRef] [PubMed]
- Zhuo, M.; Sakuraba, Y.; Yanagisawa, S. A Jasmonate-Activated MYC2-Dof2.1-MYC2 Transcriptional Loop Promotes Leaf Senescence in Arabidopsis. Plant Cell 2020, 32, 242–262. [Google Scholar] [CrossRef] [PubMed]
- Chen, P.; Yan, M.; Li, L.; He, J.; Zhou, S.; Li, Z.; Niu, C.; Bao, C.; Zhi, F.; Ma, F.; et al. The Apple DNA-Binding One Zinc-Finger Protein MdDof54 Promotes Drought Resistance. Hortic. Res. 2020, 7, 195. [Google Scholar] [CrossRef]
- Wang, P.; Wang, D.; Li, Y.; Li, J.; Liu, B.; Wang, Y.; Gao, C. The Transcription Factor ThDOF8 Binds to A Novel Cis-Element and Mediates Molecular Responses to Salt Stress in Tamarix hispida. J. Exp. Bot. 2024, 75, 3171–3187. [Google Scholar] [CrossRef]
- Satbhai, S.B.; Setzer, C.; Freynschlag, F.; Slovak, R.; Kerdaffrec, E.; Busch, W. Natural Allelic Variation of FRO2 Modulates Arabidopsis Root Growth under Iron Deficiency. Nat. Commun. 2017, 8, 15603. [Google Scholar] [CrossRef] [PubMed]
- Chen, C.; Chen, H.; Zhang, Y.; Thomas, H.R.; Frank, M.H.; He, Y.; Xia, R. TBtools: An Integrative Toolkit Developed for Interactive Analyses of Big Biological Data. Mol. Plant 2020, 13, 1194–1202. [Google Scholar] [CrossRef]
- Hu, J.; Huang, B.; Yin, H.; Qi, K.; Jia, Y.; Xie, Z.; Gao, Y.; Li, H.; Li, Q.; Wang, Z.; et al. PearMODB: A Multiomics Database for Pear (Pyrus) Genomics, Genetics and Breeding Study. Database 2023, 2023, baad050. [Google Scholar] [CrossRef] [PubMed]
- Li, Q.; Qiao, X.; Yin, H.; Zhou, Y.; Dong, H.; Qi, K.; Li, L.; Zhang, S. Unbiased Subgenome Evolution Following A Recent Whole-Genome Duplication in Pear (Pyrus bretschneideri Rehd.). Hortic. Res. 2019, 6, 34. [Google Scholar] [CrossRef]
- Guo, G.L.; Wei, P.W.; Yu, T.; Zhang, H.Y.; Heng, W.; Liu, L.; Zhu, L.W.; Jia, B. PbrARF4 Contributes to Calyx Shedding of Fruitlets in ‘Dangshan Suli’ Pear by Partly Regulating the Expression of Abscission Genes. Hortic. Plant J. 2024, 10, 341–354. [Google Scholar] [CrossRef]
- Chen, H.; Wu, W.; Du, K.; Ling, A.; Kang, X. The Interplay of Growth-Regulating Factor 5 and BZR1 in Coregulating Chlorophyll Degradation in Poplar. Plant Cell Environ. 2024, 47, 3766–3779. [Google Scholar] [CrossRef]
- Zhang, F.; Wang, C.; Yao, J.L.; Xing, C.; Xu, K.; Zhang, Z.; Chen, Q.; Qiao, Q.; Dong, H.; Han, C.; et al. PbHsfC1a-Coordinates ABA Biosynthesis and H2O2 Signalling Pathways to Improve Drought Tolerance in Pyrus betulaefolia. Plant Biotechnol. J. 2024, 22, 1177–1197. [Google Scholar] [CrossRef] [PubMed]
- Zhang, Z.; Yang, C.; Xi, J.; Wang, Y.; Guo, J.; Liu, Q.; Liu, Y.; Ma, Y.; Zhang, J.; Ma, F.; et al. The MdHSC70-MdWRKY75 Module Mediates Basal Apple Thermotolerance by Regulating the Expression of Heat Shock Factor Genes. Plant Cell 2024, 36, 3631–3653. [Google Scholar] [CrossRef] [PubMed]
- Gu, L.; Chen, X.; Hou, Y.; Cao, Y.; Wang, H.; Zhu, B.; Du, X.; Wang, H. ZmWRKY30 Modulates Drought Tolerance in Maize by Influencing Myo-Inositol and Reactive Oxygen Species Homeostasis. Physiol. Plant. 2024, 176, e14423. [Google Scholar] [CrossRef]
- Balcke, G.U.; Handrick, V.; Bergau, N.; Fichtner, M.; Henning, A.; Stellmach, H.; Tissier, A.; Hause, B.; Frolov, A. An UPLC-MS/MS Method for Highly Sensitive High-Throughput Analysis of Phytohormones in Plant Tissues. Plant Methods 2012, 8, 47. [Google Scholar] [CrossRef]
- Livak, K.J.; Schmittgen, T.D. Analysis of Relative Gene Expression Data Using Real-Time Quantitative PCR and The 2−ΔΔCT Method. Methods 2001, 25, 402–408. [Google Scholar] [CrossRef]






Disclaimer/Publisher’s Note: The statements, opinions and data contained in all publications are solely those of the individual author(s) and contributor(s) and not of MDPI and/or the editor(s). MDPI and/or the editor(s) disclaim responsibility for any injury to people or property resulting from any ideas, methods, instructions or products referred to in the content. |
© 2024 by the authors. Licensee MDPI, Basel, Switzerland. This article is an open access article distributed under the terms and conditions of the Creative Commons Attribution (CC BY) license (https://creativecommons.org/licenses/by/4.0/).
Share and Cite
Wei, P.; Guo, G.; Shen, T.; Luo, A.; Wu, Q.; Zhou, S.; Tang, X.; Liu, L.; Ye, Z.; Zhu, L.; et al. GH3 Gene Family Identification in Chinese White Pear (Pyrus bretschneideri) and the Functional Analysis of PbrGH3.5 in Fe Deficiency Responses in Tomato. Int. J. Mol. Sci. 2024, 25, 12980. https://doi.org/10.3390/ijms252312980
Wei P, Guo G, Shen T, Luo A, Wu Q, Zhou S, Tang X, Liu L, Ye Z, Zhu L, et al. GH3 Gene Family Identification in Chinese White Pear (Pyrus bretschneideri) and the Functional Analysis of PbrGH3.5 in Fe Deficiency Responses in Tomato. International Journal of Molecular Sciences. 2024; 25(23):12980. https://doi.org/10.3390/ijms252312980
Chicago/Turabian StyleWei, Pengfei, Guoling Guo, Taijing Shen, Anran Luo, Qin Wu, Shanshan Zhou, Xiaomei Tang, Lun Liu, Zhenfeng Ye, Liwu Zhu, and et al. 2024. "GH3 Gene Family Identification in Chinese White Pear (Pyrus bretschneideri) and the Functional Analysis of PbrGH3.5 in Fe Deficiency Responses in Tomato" International Journal of Molecular Sciences 25, no. 23: 12980. https://doi.org/10.3390/ijms252312980
APA StyleWei, P., Guo, G., Shen, T., Luo, A., Wu, Q., Zhou, S., Tang, X., Liu, L., Ye, Z., Zhu, L., & Jia, B. (2024). GH3 Gene Family Identification in Chinese White Pear (Pyrus bretschneideri) and the Functional Analysis of PbrGH3.5 in Fe Deficiency Responses in Tomato. International Journal of Molecular Sciences, 25(23), 12980. https://doi.org/10.3390/ijms252312980

