NMDAR-CaMKII Pathway as a Central Regulator of Aggressiveness: Evidence from Transcriptomic and Metabolomic Analysis in Swimming Crabs Portunus trituberculatus
Abstract
1. Introduction
2. Results
2.1. Aggressive Behavior
2.2. Transcriptomic Analysis
2.3. Metabolomics Analysis
2.4. Integrated Analysis of Transcriptomics and Metabolomics
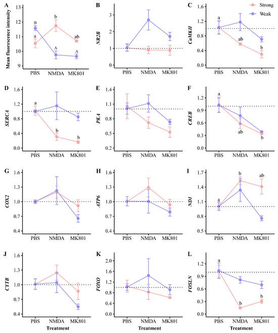
2.5. Regulation of Aggressiveness by the NMDAR-CaMKII Pathway
3. Discussion
3.1. Aggressiveness Phenotypes and NMDAR-CaMKII Pathway
3.2. Aggressiveness Phenotypes and Neural Energy State
3.3. Limitations and Perspectives
4. Methods
4.1. Animal Collection and Maintenance
4.2. Experimental Design
4.2.1. Transcriptome Sequencing
4.2.2. Metabolome Assay
4.2.3. NMDAR-CaMKII Pathway Validation Experiments
4.3. Tissue Immunofluorescence Assay
4.4. Quantitative Real-Time PCR Analysis
4.5. Statistical Analysis
5. Conclusions
Supplementary Materials
Author Contributions
Funding
Institutional Review Board Statement
Informed Consent Statement
Data Availability Statement
Acknowledgments
Conflicts of Interest
References
- Rao, Z.; Cao, L.; Wu, H.; Han, R. Transcriptome analyses provide insights into the aggressive behavior toward conspecific and heterospecific in Thitarodes xiaojinensis (Lepidoptera: Hepialidae). Insects 2021, 12, 577. [Google Scholar] [CrossRef] [PubMed]
- Dashtbali, M.; Long, X.; Henshaw, J.M. The evolution of honest and dishonest signals of fighting ability. Evol. Lett. 2024, 8, 514–525. [Google Scholar] [CrossRef] [PubMed]
- Sih, A.; Bell, A.M.; Johnson, J.C.; Ziemba, R.E. Behavioral syndromes: An integrative overview. Q. Rev. Biol. 2004, 79, 241–277. [Google Scholar] [CrossRef] [PubMed]
- Reale, D.; Reader, S.M.; Sol, D.; McDougall, P.T.; Dingemanse, N.J. Integrating animal temperament within ecology and evolution. Biol. Rev. 2007, 82, 291–318. [Google Scholar] [CrossRef]
- Briffa, M.; Elwood, R.W. Rapid change in energy status in fighting animals: Causes and effects of strategic decisions. Anim. Behav. 2005, 70, 119–124. [Google Scholar] [CrossRef]
- Arnott, G.; Elwood, R.W. Assessment of fighting ability in animal contests. Anim. Behav. 2009, 77, 991–1004. [Google Scholar] [CrossRef]
- Paula, G.M.; da Silva Menegasso, A.R.; Dos-Santos-Pinto, J.R.A.; Malaspina, O.; Palma, M.S. Profiling the neuroproteomics of honeybee brain: A clue for understanding the role of neuropeptides in the modulation of aggressivity. J. Proteom. 2024, 295, 105089. [Google Scholar] [CrossRef]
- Reichmann, F.; Pilic, J.; Trajanoski, S.; Norton, W.H.J. Transcriptomic underpinnings of high and low mirror aggression zebrafish behaviours. BMC Biol. 2022, 20, 97. [Google Scholar] [CrossRef]
- Dierick, H.A.; Greenspan, R.J. Molecular analysis of flies selected for aggressive behavior. Nat. Genet. 2006, 38, 1023–1031. [Google Scholar] [CrossRef]
- Kudo, A.; Shigenobu, S.; Kadota, K.; Nozawa, M.; Shibata, T.F.; Ishikawa, Y.; Matsuo, T. Comparative analysis of the brain transcriptome in a hyper-aggressive fruit fly, Drosophila prolongata. Insect Biochem. Mol. Biol. 2017, 82, 11–20. [Google Scholar] [CrossRef]
- Liang, Q.; Zhu, B.; Liu, D.; Lu, Y.; Zhang, H.; Wang, F. Serotonin and dopamine regulate the aggressiveness of swimming crabs (Portunus trituberculatus) in different ways. Physiol. Behav. 2023, 263, 114135. [Google Scholar] [CrossRef] [PubMed]
- Momohara, Y.; Minami, H.; Kanai, A.; Nagayama, T. Role of cAMP signalling in winner and loser effects in crayfish agonistic encounters. Eur. J. Neurosci. 2016, 44, 1886–1895. [Google Scholar] [CrossRef] [PubMed]
- Yang, X.-Z.; Pang, Y.-Y.; Huang, G.-Y.; Xu, M.-J.; Zhang, C.; He, L.; Lv, J.-H.; Song, Y.-M.; Song, X.-Z.; Cheng, Y.-X. The serotonin or dopamine by cyclic adenosine monophosphate-protein kinase A pathway involved in the agonistic behaviour of Chinese mitten crab, Eriocheir sinensis. Physiol. Behav. 2019, 209, 112621. [Google Scholar] [CrossRef]
- Ibuchi, K.; Nagayama, T. Opposing effects of dopamine on agonistic behaviour in crayfish. J. Exp. Biol. 2021, 224, 1–13. [Google Scholar] [CrossRef]
- Bortolato, M.; Godar, S.C.; Melis, M.; Soggiu, A.; Roncada, P.; Casu, A.; Flore, G.; Chen, K.; Frau, R.; Urbani, A.; et al. NMDARs mediate the role of monoamine oxidase A in pathological aggression. J. Neurosci. 2012, 32, 8574–8582. [Google Scholar] [CrossRef]
- Silva, A.J.; Paylor, R.; Wehner, J.M.; Tonegawa, S. Impaired spatial learning in alpha-calcium-calmodulin kinase II mutant mice. Science 1992, 257, 206–211. [Google Scholar] [CrossRef]
- Zoicas, I.; Kornhuber, J. The role of the N-Methyl-D-Aspartate receptors in social behavior in rodents. Int. J. Mol. Sci. 2019, 20, 5599. [Google Scholar] [CrossRef] [PubMed]
- Zhong, W.; Hutchinson, T.E.; Chebolu, S.; Darmani, N.A. Serotonin 5-HT3 receptor-mediated vomiting occurs via the activation of Ca2+/CaMKII-dependent ERK1/2 signaling in the least shrew (Cryptotis parva). PLoS ONE 2014, 9, e104718. [Google Scholar] [CrossRef]
- Cai, Q.; Chen, X.; Zhu, S.; Nicoll, R.A.; Zhang, M. Differential roles of CaMKII isoforms in phase separation with NMDA receptors and in synaptic plasticity. Cell Rep. 2023, 42, 112146. [Google Scholar] [CrossRef]
- Sanhueza, M.; Lisman, J. The CaMKII/NMDAR complex as a molecular memory. Mol. Brain 2013, 6, 10. [Google Scholar] [CrossRef]
- Withee, J.R.; Rehan, S.M. Social aggression, experience, and brain gene expression in a subsocial bee. Integr. Comp. Biol. 2017, 57, 640–648. [Google Scholar] [CrossRef] [PubMed]
- Hasegawa, S.; Furuichi, T.; Yoshida, T.; Endoh, K.; Kato, K.; Sado, M.; Maeda, R.; Kitamoto, A.; Miyao, T.; Suzuki, R.; et al. Transgenic up-regulation of alpha-CaMKII in forebrain leads to increased anxiety-like behaviors and aggression. Mol. Brain 2009, 2, 6. [Google Scholar] [CrossRef] [PubMed]
- Chen, C.; Rainnie, D.G.; Greene, R.W.; Tonegawa, S. Abnormal fear response and aggressive behavior in mutant mice deficient for α-calcium-calmodulin kinase, II. Science 1994, 266, 291–294. [Google Scholar] [CrossRef]
- Kim, J.J.; DeCola, J.P.; Landeira-Fernandez, J.; Fanselow, M.S. N-methyl-D-aspartate receptor antagonist APV blocks acquisition but not expression of fear conditioning. Behav. Neurosci. 1991, 105, 126–133. [Google Scholar] [CrossRef] [PubMed]
- Golden, S.A.; Heshmati, M.; Flanigan, M.; Christoffel, D.J.; Guise, K.; Pfau, M.L.; Aleyasin, H.; Menard, C.; Zhang, H.; Hodes, G.E.; et al. Basal forebrain projections to the lateral habenula modulate aggression reward. Nature 2016, 534, 688–692. [Google Scholar] [CrossRef]
- Chiu, H.; Hoopfer, E.D.; Coughlan, M.L.; Pavlou, H.J.; Goodwin, S.F.; Anderson, D.J. A circuit logic for sexually shared and dimorphic aggressive behaviors in Drosophila. Cell 2021, 184, 507–520.e16. [Google Scholar] [CrossRef]
- Ishii, K.; Cortese, M.; Leng, X.B.; Shokhirev, M.N.; Asahina, K. A neurogenetic mechanism of experience-dependent suppression of aggression. Sci. Adv. 2022, 8, eabg3203. [Google Scholar] [CrossRef]
- Sengupta, S.; Chan, Y.B.; Palavicino-Maggio, C.B.; Kravitz, E.A. GABA transmission from mAL interneurons regulates aggression in Drosophila males. Proc. Natl. Acad. Sci. USA 2022, 119, e2117101119. [Google Scholar] [CrossRef]
- Traniello, I.M.; Bukhari, S.A.; Dibaeinia, P.; Serrano, G.; Avalos, A.; Ahmed, A.C.; Sankey, A.L.; Hernaez, M.; Sinha, S.; Zhao, S.D.; et al. Single-cell dissection of aggression in honeybee colonies. Nat. Ecol. Evol. 2023, 7, 1232–1244. [Google Scholar] [CrossRef]
- Oliveira, R.F.; Simoes, J.M.; Teles, M.C.; Oliveira, C.R.; Becker, J.D.; Lopes, J.S. Assessment of fight outcome is needed to activate socially driven transcriptional changes in the zebrafish brain. Proc. Natl. Acad. Sci. USA 2016, 113, E654–E661. [Google Scholar] [CrossRef]
- Hepp, Y.; Tano, M.C.; Pedreira, M.E.; Freudenthal, R.A. NMDA-like receptors in the nervous system of the crab Neohelice granulata: A neuroanatomical description. J. Comp. Neurol. 2013, 521, 2279–2297. [Google Scholar] [CrossRef] [PubMed]
- Hepp, Y.; Salles, A.; Carbo-Tano, M.; Pedreira, M.E.; Freudenthal, R. Surface expression of NMDA receptor changes during memory consolidation in the crab Neohelice granulata. Learn. Mem. 2016, 23, 427–434. [Google Scholar] [CrossRef] [PubMed]
- Sandeman, D.; Sandeman, R.; Derby, C.; Schmidt, M. Morphology of the brain of crayfish, crabs, and spiny lobsters: A common nomenclature for homologous structures. Biol. Bull. 1992, 183, 304–326. [Google Scholar] [CrossRef] [PubMed]
- O’Connell, L.A.; Hofmann, H.A. Evolution of a vertebrate social decision-making network. Science 2012, 336, 1154–1157. [Google Scholar] [CrossRef]
- Kravitz, E.A. Hormonal control of behavior: Amines and the biasing of behavioral output in lobsters. Science 1988, 241, 1775–1781. [Google Scholar] [CrossRef]
- Northcutt, A.J.; Lett, K.M.; Garcia, V.B.; Diester, C.M.; Lane, B.J.; Marder, E.; Schulz, D.J. Deep sequencing of transcriptomes from the nervous systems of two decapod crustaceans to characterize genes important for neural circuit function and modulation. BMC Genom. 2016, 17, 868. [Google Scholar] [CrossRef]
- Sandeman, D.C.; Kenning, M.; Harzsch, S. Adaptive trends in malacostracan brain form and function related to behavior. In Crustacean Nervous System and Their Control Of Behaviour; Springer: Berlin/Heidelberg, Germany, 2014; pp. 11–48. [Google Scholar]
- Meth, R.; Wittfoth, C.; Harzsch, S. Brain architecture of the Pacific White Shrimp Penaeus vannamei Boone, 1931 (Malacostraca, Dendrobranchiata): Correspondence of brain structure and sensory input? Cell Tissue Res. 2017, 369, 255–271. [Google Scholar] [CrossRef]
- Chen, K. The anatomy of the central nerve system of Penaeus orientalis and Portunus trituberculatus, and comparative morphology of the nervous-Chain of decapoda. J. Shandong Coll. Oceanol. 1980, 10, 91–99. [Google Scholar] [CrossRef]
- Khornchatri, K.; Kornthong, N.; Saetan, J.; Tinikul, Y.; Chotwiwatthanakun, C.; Cummins, S.F.; Hanna, P.J.; Sobhon, P. Distribution of serotonin and dopamine in the central nervous system of the female mud crab, Scylla olivacea (Herbst). Acta Histochem. 2015, 117, 196–204. [Google Scholar] [CrossRef]
- Certel, S.J.; Savella, M.G.; Schlegel, D.C.F.; Kravitz, E.A. Modulation of Drosophila male behavioral choice. Proc. Natl. Acad. Sci. USA 2007, 104, 4706–4711. [Google Scholar] [CrossRef]
- Wine, J.J.; Krasne, F.B. The organization of escape behaviour in the crayfish. J. Exp. Biol. 1972, 56, 1–18. [Google Scholar] [CrossRef] [PubMed]
- Momohara, Y.; Aonuma, H.; Nagayama, T. Tyraminergic modulation of agonistic outcomes in crayfish. J. Comp. Physiol. A 2018, 204, 465–473. [Google Scholar] [CrossRef] [PubMed]
- Sato, N.; Shidara, H.; Kamo, S.; Ogawa, H. Roles of neural communication between the brain and thoracic ganglia in the selection and regulation of the cricket escape behavior. J. Insect Physiol. 2022, 139, 104381. [Google Scholar] [CrossRef] [PubMed]
- Young, R.E.; Govind, C.K. Neural asymmetry in male fiddler crabs. Brain Res. 1983, 280, 251–262. [Google Scholar] [CrossRef] [PubMed]
- Liang, Q.; Liu, D.; Zhang, D.; Wang, X.; Zhu, B.; Wang, F. Machine learning-based aggressiveness assessment model construction for crabs: A case study of swimming crab Portunus trituberculatus. Aquaculture 2024, 593, 741304. [Google Scholar] [CrossRef]
- Chen, K.; Yang, L.N.; Lai, C.; Liu, D.; Zhu, L.Q. Role of Grina/Nmdara1 in the central nervous system diseases. Curr. Neuropharmacol. 2020, 18, 861–867. [Google Scholar] [CrossRef]
- Incontro, S.; Diaz-Alonso, J.; Iafrati, J.; Vieira, M.; Asensio, C.S.; Sohal, V.S.; Roche, K.W.; Bender, K.J.; Nicoll, R.A. The CaMKII/NMDA receptor complex controls hippocampal synaptic transmission by kinase-dependent and independent mechanisms. Nat. Commun. 2018, 9, 2069. [Google Scholar] [CrossRef]
- Kalinine, E.; Zimmer, E.R.; Zenki, K.C.; Kalinine, I.; Kazlauckas, V.; Haas, C.B.; Hansel, G.; Zimmer, A.R.; Souza, D.O.; Müller, A.P.; et al. Nandrolone-induced aggressive behavior is associated with alterations in extracellular glutamate homeostasis in mice. Horm. Behav. 2014, 66, 383–392. [Google Scholar] [CrossRef]
- Lischinsky, J.E.; Lin, D. Neural mechanisms of aggression across species. Nat. Neurosci. 2020, 23, 1317–1328. [Google Scholar] [CrossRef]
- Roberton, T.; Daffern, M.; Bucks, R.S. Emotion regulation and aggression. Aggress. Violent Behav. 2012, 17, 72–82. [Google Scholar] [CrossRef]
- Bacque-Cazenave, J.; Cattaert, D.; Delbecque, J.P.; Fossat, P. Alteration of size perception: Serotonin has opposite effects on the aggressiveness of crayfish confronting either a smaller or a larger rival. J. Exp. Biol. 2018, 221, jeb177840. [Google Scholar] [CrossRef] [PubMed]
- Goldstein, R.S.; Camhi, J.M. Different effects of the biogenic amines dopamine, serotonin and octopamine on the thoracic and abdominal portions of the escape circuit in the cockroach. J. Comp. Physiol. A 1991, 168, 103–112. [Google Scholar] [CrossRef] [PubMed]
- Bliss, T.V.P.; Collingridge, G.L. A synaptic model of memory: Long-term potentiation in the hippocampus. Nature 1993, 361, 31–39. [Google Scholar] [CrossRef] [PubMed]
- Sanhueza, M.; Fernandez-Villalobos, G.; Stein, I.S.; Kasumova, G.; Zhang, P.; Bayer, K.U.; Otmakhov, N.; Hell, J.W.; Lisman, J. Role of the CaMKII/NMDA receptor complex in the maintenance of synaptic strength. J. Neurosci. 2011, 31, 9170–9178. [Google Scholar] [CrossRef] [PubMed]
- Abdoulaye, I.A.; Wu, S.S.; Chibaatar, E.; Yu, D.F.; Le, K.; Cao, X.J.; Guo, Y.-J. Ketamine induces lasting antidepressant effects by modulating the NMDAR/CaMKII-mediated synaptic plasticity of the hippocampal dentate gyrus in depressive stroke model. Neural Plast. 2021, 2021, 6635084. [Google Scholar] [CrossRef]
- Baier, A.; Wittek, B.; Brembs, B. Drosophila as a new model organism for the neurobiology of aggression? J. Exp. Biol. 2002, 205, 1233–1240. [Google Scholar] [CrossRef]
- Rollmann, S.M.; Zwarts, L.; Edwards, A.C.; Yamamoto, A.; Callaerts, P.; Norga, K.; Mackay, T.F.C.; Anholt, R.R.H. Pleiotropic effects of Drosophila neuralized on complex behaviors and brain structure. Genetics 2008, 179, 1327–1336. [Google Scholar] [CrossRef]
- Edwards, A.C.; Zwarts, L.; Yamamoto, A.; Callaerts, P.; Mackay, T.F. Mutations in many genes affect aggressive behavior in Drosophila melanogaster. BMC Biol. 2009, 7, 29. [Google Scholar] [CrossRef] [PubMed]
- Zwarts, L.; Magwire, M.M.; Carbone, M.A.; Versteven, M.; Herteleer, L.; Anholt, R.R.; Callaerts, P.; Mackay, T.F.C. Complex genetic architecture of Drosophila aggressive behavior. Proc. Natl. Acad. Sci. USA 2011, 108, 17070–17075. [Google Scholar] [CrossRef]
- Haddad, J.J. N-methyl-D-aspartate (NMDA) and the regulation of mitogen-activated protein kinase (MAPK) signaling pathways: A revolving neurochemical axis for therapeutic intervention? Prog. Neurobiol. 2005, 77, 252–282. [Google Scholar] [CrossRef]
- Wang, R.; Reddy, P.H. Role of glutamate and NMDA receptors in Alzheimer’s disease. J. Alzheimer’s Dis. 2017, 57, 1041–1048. [Google Scholar] [CrossRef]
- Alaux, C.; Sinha, S.; Hasadsri, L.; Hunt, G.J.; Guzmán-Novoa, E.; DeGrandi-Hoffman, G.; Uribe-Rubio, J.L.; Southey, B.R.; Rodriguez-Zas, S.; Robinson, G.E. Honey bee aggression supports a link between gene regulation and behavioral evolution. Proc. Natl. Acad. Sci. USA 2009, 106, 15400–15405. [Google Scholar] [CrossRef] [PubMed]
- Rittschof, C.C.; Vekaria, H.J.; Palmer, J.H.; Sullivan, P.G. Brain mitochondrial bioenergetics change with rapid and prolonged shifts in aggression in the honey bee, Apis mellifera. J. Exp. Biol. 2018, 221, jeb176917. [Google Scholar] [CrossRef]
- Adamo, S.A.; Jensen, M.; Younger, M. Changes in lifetime immunocompetence in male and female Gryllus texensis (formerly, G. integer): Trade-offs between immunity and reproduction. Anim. Behav. 2001, 62, 417–425. [Google Scholar] [CrossRef]
- Rittschof, C.C.; Rubin, B.E.R.; Palmer, J.H. The transcriptomic signature of low aggression in honey bees resembles a response to infection. BMC Genom. 2019, 20, 1029. [Google Scholar] [CrossRef] [PubMed]
- Camazine, S. Differential reproduction of the mite, Varroa jacobsoni (Mesostigmata: Varroidae), on Africanized and European honey bees (Hymenoptera: Apidae). Ann. Entomol. Soc. Am. 1986, 79, 801–803. [Google Scholar] [CrossRef]
- Rittschof, C.C.; Robinson, G.E. Manipulation of colony environment modulates honey bee aggression and brain gene expression. Genes Brain Behav. 2013, 12, 802–811. [Google Scholar] [CrossRef]
- Rittschof, C.C.; Vekaria, H.J.; Palmer, J.H.; Sullivan, P.G. Biogenic amines and activity levels alter the neural energetic response to aggressive social cues in the honey bee Apis mellifera. J. Neurosci. Res. 2019, 97, 991–1003. [Google Scholar] [CrossRef]
- Salaciak, K.; Koszalka, A.; Zmudzka, E.; Pytka, K. The calcium/calmodulin-dependent kinases II and IV as therapeutic targets in neurodegenerative and neuropsychiatric disorders. Int. J. Mol. Sci. 2021, 22, 4307. [Google Scholar] [CrossRef]
- Insel, T.R.; Young, L.J. Neuropeptides and the evolution of social behavior. Curr. Opin. Neurobiol. 2000, 10, 784–789. [Google Scholar] [CrossRef]
- Ball, G.F.; Balthazart, J. Hormonal regulation of brain circuits mediating male sexual behavior in birds. Physiol. Behav. 2004, 83, 329–346. [Google Scholar] [CrossRef] [PubMed]
- Yu, Q.; Teixeira, C.M.; Mahadevia, D.; Huang, Y.; Balsam, D.; Mann, J.J.; Gingrich, J.A.; Ansorge, M.S. Dopamine and serotonin signaling during two sensitive developmental periods differentially impact adult aggressive and affective behaviors in mice. Mol. Psychiatry 2014, 19, 688–698. [Google Scholar] [CrossRef]
- Li-Byarlay, H.; Rittschof, C.C.; Massey, J.H.; Pittendrigh, B.R.; Robinson, G.E. Socially responsive effects of brain oxidative metabolism on aggression. Proc. Natl. Acad. Sci. USA 2014, 111, 12533–12537. [Google Scholar] [CrossRef] [PubMed]
- Gomora-Garcia, J.C.; Montiel, T.; Huttenrauch, M.; Salcido-Gomez, A.; Garcia-Velazquez, L.; Ramiro-Cortes, Y.; Gomora, J.C.; Castro-Obregón, S.; Massieu, L. Effect of the ketone body, D-beta-Hydroxybutyrate, on sirtuin2-mediated regulation of mitochondrial quality control and the autophagy-lysosomal pathway. Cells 2023, 12, 486. [Google Scholar] [CrossRef]
- Yan, Y.; Mukherjee, S.; Harikumar, K.G.; Strutzenberg, T.S.; Zhou, X.E.; Suino-Powell, K.; Xu, T.-H.; Sheldon, R.D.; Lamp, J.; Brunzelle, J.S.; et al. Structure of an AMPK complex in an inactive, ATP-bound state. Science 2021, 373, 413–419. [Google Scholar] [CrossRef] [PubMed]
- Mandic, M.; Paunovic, V.; Vucicevic, L.; Kosic, M.; Mijatovic, S.; Trajkovic, V.; Harhaji-Trajkovic, L. No energy, no autophagy-Mechanisms and therapeutic implications of autophagic response energy requirements. J. Cell. Physiol. 2024, 239, e31366. [Google Scholar] [CrossRef]
- Livak, K.J.; Schmittgen, T.D. Analysis of relative gene expression data using real-time quantitative PCR and the 2(-Delta Delta C(T)) Method. Methods 2001, 25, 402–408. [Google Scholar] [CrossRef]







Disclaimer/Publisher’s Note: The statements, opinions and data contained in all publications are solely those of the individual author(s) and contributor(s) and not of MDPI and/or the editor(s). MDPI and/or the editor(s) disclaim responsibility for any injury to people or property resulting from any ideas, methods, instructions or products referred to in the content. |
© 2024 by the authors. Licensee MDPI, Basel, Switzerland. This article is an open access article distributed under the terms and conditions of the Creative Commons Attribution (CC BY) license (https://creativecommons.org/licenses/by/4.0/).
Share and Cite
Liang, Q.; Liu, D.; Zhu, B.; Wang, F. NMDAR-CaMKII Pathway as a Central Regulator of Aggressiveness: Evidence from Transcriptomic and Metabolomic Analysis in Swimming Crabs Portunus trituberculatus. Int. J. Mol. Sci. 2024, 25, 12560. https://doi.org/10.3390/ijms252312560
Liang Q, Liu D, Zhu B, Wang F. NMDAR-CaMKII Pathway as a Central Regulator of Aggressiveness: Evidence from Transcriptomic and Metabolomic Analysis in Swimming Crabs Portunus trituberculatus. International Journal of Molecular Sciences. 2024; 25(23):12560. https://doi.org/10.3390/ijms252312560
Chicago/Turabian StyleLiang, Qihang, Dapeng Liu, Boshan Zhu, and Fang Wang. 2024. "NMDAR-CaMKII Pathway as a Central Regulator of Aggressiveness: Evidence from Transcriptomic and Metabolomic Analysis in Swimming Crabs Portunus trituberculatus" International Journal of Molecular Sciences 25, no. 23: 12560. https://doi.org/10.3390/ijms252312560
APA StyleLiang, Q., Liu, D., Zhu, B., & Wang, F. (2024). NMDAR-CaMKII Pathway as a Central Regulator of Aggressiveness: Evidence from Transcriptomic and Metabolomic Analysis in Swimming Crabs Portunus trituberculatus. International Journal of Molecular Sciences, 25(23), 12560. https://doi.org/10.3390/ijms252312560

