Sign in to use this feature.

Years

Between: -

Subjects

remove_circle_outline
remove_circle_outline
remove_circle_outline
remove_circle_outline
remove_circle_outline
remove_circle_outline
remove_circle_outline
remove_circle_outline
remove_circle_outline

Journals

remove_circle_outline
remove_circle_outline
remove_circle_outline
remove_circle_outline
remove_circle_outline

Article Types

Countries / Regions

remove_circle_outline
remove_circle_outline
remove_circle_outline
remove_circle_outline

Search Results (750)

Search Parameters:
Keywords = neural energy state

Order results
Result details
Results per page
Select all
Export citation of selected articles as:
16 pages, 694 KB  
Review
Nucleus Reuniens-Elicited Delta Oscillations Disable the Prefrontal Cortex in Schizophrenia
by Robert P. Vertes and Stephanie B. Linley
Cells 2025, 14(19), 1545; https://doi.org/10.3390/cells14191545 - 3 Oct 2025
Abstract
Schizophrenia (SZ) is a severe mental disorder associated with an array of symptoms characterized as positive, negative and cognitive dysfunctions. While SZ is a multifaceted disorder affecting several regions of the brain, altered thalamocortical systems have emerged as a leading contributor to SZ. [...] Read more.
Schizophrenia (SZ) is a severe mental disorder associated with an array of symptoms characterized as positive, negative and cognitive dysfunctions. While SZ is a multifaceted disorder affecting several regions of the brain, altered thalamocortical systems have emerged as a leading contributor to SZ. Specifically, it has been shown that: (1) the thalamus is functionally disconnected from the prefrontal cortex (PFC) in SZ; (2) neural activity and blood flow to the PFC are greatly diminished in SZ (hypofrontality); and (3) delta oscillations are abnormally present in the PFC during the waking state in SZ. We suggest that the abnormal delta oscillations drive the other PFC signs of SZ. Specifically, decreases in energy required to maintain delta, would initiate the reduced PFC perfusion of SZ (hypofrontality), and contribute to the ‘mismatched’ thalamic and PFC activity of SZ. As SZ involves glutamate (NMDAR) hypofunction and dopamine hyperfunction, both NMDAR antagonists and dopamine agonists produce marked increases in delta oscillations in nucleus reuniens (RE) of the thalamus and its target structures, including the PFC. This would suggest that RE is a primary source for the elicitation of PFC delta activity, and the presence of delta during waking (together with associated signs) would indicate that the prefrontal cortex is disabled (or non-functional) in schizophrenia. Full article
Show Figures

Figure 1

18 pages, 382 KB  
Article
Self-Organized Criticality and Quantum Coherence in Tubulin Networks Under the Orch-OR Theory
by José Luis Díaz Palencia
AppliedMath 2025, 5(4), 132; https://doi.org/10.3390/appliedmath5040132 - 2 Oct 2025
Abstract
We present a theoretical model to explain how tubulin dimers in neuronal microtubules might achieve collective quantum coherence, resulting in wavefunction collapses that manifest as avalanches within a self-organized criticality (SOC) framework. Using the Orchestrated Objective Reduction (Orch-OR) theory as inspiration, we propose [...] Read more.
We present a theoretical model to explain how tubulin dimers in neuronal microtubules might achieve collective quantum coherence, resulting in wavefunction collapses that manifest as avalanches within a self-organized criticality (SOC) framework. Using the Orchestrated Objective Reduction (Orch-OR) theory as inspiration, we propose that microtubule subunits (tubulins) become transiently entangled via dipole–dipole couplings, forming coherent domains susceptible to sudden self-collapse. We model a network of tubulin-like nodes with scale-free (Barabási–Albert) connectivity, each evolving via local coupling and stochastic noise. Near criticality, the system exhibits power-law avalanches—abrupt collective state changes that we identify with instantaneous quantum wavefunction collapse events. Using the Diósi–Penrose gravitational self-energy formula, we estimate objective reduction times TOR=/Eg for these events in the 10–200 ms range, consistent with the Orch-OR conscious moment timescale. Our results demonstrate that quantum coherence at the tubulin level can be amplified by scale-free critical dynamics, providing a possible bridge between sub-neuronal quantum processes and large-scale neural activity. Full article
Show Figures

Figure 1

32 pages, 2020 KB  
Article
From Trends to Insights: A Text Mining Analysis of Solar Energy Forecasting (2017–2023)
by Mohammed Asloune, Gilles Notton and Cyril Voyant
Energies 2025, 18(19), 5231; https://doi.org/10.3390/en18195231 - 1 Oct 2025
Abstract
This study aims to highlight key figures and organizations in solar energy forecasting research, including the most prominent authors, journals, and countries. It also clarifies commonly used abbreviations in the field, with a focus on forecasting methods and techniques, the form and type [...] Read more.
This study aims to highlight key figures and organizations in solar energy forecasting research, including the most prominent authors, journals, and countries. It also clarifies commonly used abbreviations in the field, with a focus on forecasting methods and techniques, the form and type of solar energy forecasting outputs, and the associated error metrics. Building on previous research that analyzed data up to 2017, the study updates findings to include information through 2023, incorporating metadata from 500 articles to identify key figures and organizations, along with 276 full-text articles analyzed for abbreviations. The application of text mining offers a concise yet comprehensive overview of the latest trends and insights in solar energy forecasting. The key findings of this study are threefold: First, China, followed by the United States of America and India, is the leading country in solar energy forecasting research, with shifts observed compared to the pre-2017 period. Second, numerous new abbreviations related to machine learning, particularly deep learning, have emerged in solar energy forecasting since before 2017, with Long Short-Term Memory, Convolutional Neural Networks, and Recurrent Neural Networks the most prominent. Finally, deterministic error metrics are mentioned nearly 11 times more frequently than probabilistic ones. Furthermore, perspectives on the practices and approaches of solar energy forecasting companies are also examined. Full article
(This article belongs to the Special Issue Solar Energy Utilization Toward Sustainable Urban Futures)
18 pages, 2690 KB  
Article
TCN-Transformer-Based Risk Assessment Method for Power Flow and Voltage Limit Violations in Active Distribution Networks
by Chen Liang, Yaxin Li, Weiwu Li, Wenjing Xin and Yalong Li
Processes 2025, 13(10), 3145; https://doi.org/10.3390/pr13103145 - 30 Sep 2025
Abstract
With the increasing penetration of renewable energy, traditional distribution network operation state assessment methods based on typical operating conditions are no longer applicable. It is urgent to conduct risk assessment research on the dynamic coupling characteristics of voltage, power flow, and distributed generation [...] Read more.
With the increasing penetration of renewable energy, traditional distribution network operation state assessment methods based on typical operating conditions are no longer applicable. It is urgent to conduct risk assessment research on the dynamic coupling characteristics of voltage, power flow, and distributed generation output after photovoltaic integration into active distribution networks. This paper first analyzes the spatiotemporal variation characteristics of power flow distribution and voltage fluctuations in active distribution networks, and proposes evaluation indicators for power flow and voltage over limit risks. Secondly, feature quantities related to the over limit risk assessment indicators are selected, and a distribution network over limit risk assessment method based on TCN-Transformer neural network architecture is proposed. Finally, based on the improved IEEE 33 node distribution network model, an active distribution network simulation model is built in Matlab(2023b), and a simulation dataset is constructed for multiple operating scenarios. On this basis, a comparative analysis of risk assessment examples for power flow and voltage exceeding limits is conducted, and the results verify the effectiveness and superiority of the proposed method. Full article
(This article belongs to the Section Energy Systems)
22 pages, 5899 KB  
Article
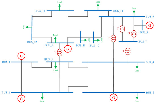
Research on Power Flow Prediction Based on Physics-Informed Graph Attention Network
by Qiyue Huang, Yapeng Wang, Xu Yang, Sio-Kei Im and Jianxiu Cai
Appl. Sci. 2025, 15(19), 10555; https://doi.org/10.3390/app151910555 - 29 Sep 2025
Abstract
As an emerging distributed energy system, microgrid power flow prediction plays a crucial role in optimizing energy dispatch and power grid operation. Traditional methods of power flow prediction mainly rely on statistics and time series models, neglecting the spatial relationships among different nodes [...] Read more.
As an emerging distributed energy system, microgrid power flow prediction plays a crucial role in optimizing energy dispatch and power grid operation. Traditional methods of power flow prediction mainly rely on statistics and time series models, neglecting the spatial relationships among different nodes within the microgrid. To overcome this limitation, a Physical-Informed Graph Attention Network (PI-GAT) is proposed to capture the spatial structure of the microgrid, while an attention mechanism is introduced to measure the importance weights between nodes. In this study, we constructed a representative 14-node microgrid power flow dataset. After collecting the data, we preprocessed and transformed it into a suitable format for graph neural networks. Next, an autoencoder was employed for pre-training, enabling unsupervised learning-based dimensionality reduction to enhance the expressive power of the data. Subsequently, the extended data is fed into a graph convolution module with attention mechanism, allowing adaptive weight learning and capturing relationships between nodes. And integrate the physical state equation into the loss function to achieve high-precision power flow prediction. Finally, simulation verification was conducted, comparing the PI-GAT method with traditional approaches. The results indicate that the proposed model outperforms the other latest model across various evaluation indicators. Specifically, it has 46.9% improvement in MSE and 14.08% improvement in MAE. Full article
Show Figures

Figure 1

14 pages, 3002 KB  
Communication
Interpretability of Deep High-Frequency Residuals: A Case Study on SAR Splicing Localization
by Edoardo Daniele Cannas, Sara Mandelli, Paolo Bestagini and Stefano Tubaro
J. Imaging 2025, 11(10), 338; https://doi.org/10.3390/jimaging11100338 - 28 Sep 2025
Abstract
Multimedia Forensics (MMF) investigates techniques to automatically assess the integrity of multimedia content, e.g., images, videos, or audio clips. Data-driven methodologies like Neural Networks (NNs) represent the state of the art in the field. Despite their efficacy, NNs are often considered “black boxes” [...] Read more.
Multimedia Forensics (MMF) investigates techniques to automatically assess the integrity of multimedia content, e.g., images, videos, or audio clips. Data-driven methodologies like Neural Networks (NNs) represent the state of the art in the field. Despite their efficacy, NNs are often considered “black boxes” due to their lack of transparency, which limits their usage in critical applications. In this work, we assess the interpretability properties of Deep High-Frequency Residuals (DHFRs), i.e., noise residuals extracted from images by NNs for forensic purposes, that nowadays represent a powerful tool for image splicing localization. Our research demonstrates that DHFRs not only serve as a visual aid in identifying manipulated regions in the image but also reveal the nature of the editing techniques applied to tamper with the sample under analysis. Through extensive experimentation on spliced amplitude Synthetic Aperture Radar (SAR) images, we establish a correlation between the appearance of the DHFRs in the tampered-with zones and their high-frequency energy content. Our findings suggest that, despite the deep learning nature of DHFRs, they possess significant interpretability properties, encouraging further exploration in other forensic applications. Full article
Show Figures

Figure 1

28 pages, 2780 KB  
Article
Analysis of Instantaneous Energy Consumption and Recuperation in Electric Buses During SORT Tests Using Linear and Neural Network Models
by Edward Kozłowski, Magdalena Zimakowska-Laskowska, Piotr Wiśniowski, Boris Šnauko, Piotr Laskowski, Jan Laskowski, Jonas Matijošius, Andrzej Świderski and Adam Torok
Energies 2025, 18(19), 5107; https://doi.org/10.3390/en18195107 - 25 Sep 2025
Abstract
With the growing deployment of electric buses (e-buses), accurate energy use modelling has become essential for fleet optimisation and operational planning. Using the SORT methodology, this study analyses instantaneous energy consumption and recuperation (IECR). Three vehicle configurations were tested (one battery with pantograph, [...] Read more.
With the growing deployment of electric buses (e-buses), accurate energy use modelling has become essential for fleet optimisation and operational planning. Using the SORT methodology, this study analyses instantaneous energy consumption and recuperation (IECR). Three vehicle configurations were tested (one battery with pantograph, four batteries, and eight batteries), each with ten repeatable runs. Four approaches were compared: a baseline linear regression, an extended linear model (ELM) due to the state, a feed-forward neural network, and a recurrent neural network (RNN). The extended linear model achieved a determination coefficient of R2 = 0.9124 (residual standard deviation 4.26) compared with R2 = 0.7859 for the baseline, while the determination coefficient for the RNN is 0.9343, and the RNN provided the highest accuracy on the test set (the correlation coefficient between real and predicted values is 0.9666). The results confirm the dominant influence of speed and acceleration on IECR and show that battery configuration mainly affects consumption during acceleration. Literature-consistent findings indicate that regenerative systems can recover 25–51% of braking energy, with advanced control methods further improving recovery. Despite non-normality and temporal dependence of residuals, the state-aware linear model remains interpretable and competitive, whereas recurrent networks offer superior fidelity. These results support real-time energy management, charging optimisation, and reliable range prediction for electric buses in urban public transport. Full article
Show Figures

Figure 1

19 pages, 1027 KB  
Article
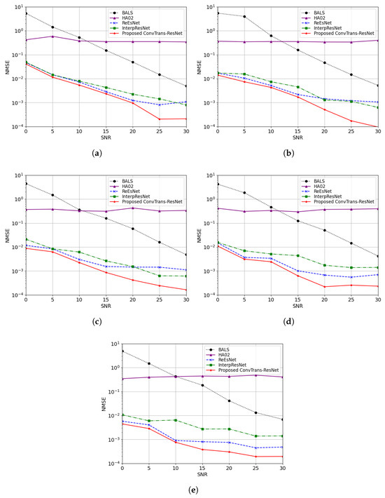
A Convolutional-Transformer Residual Network for Channel Estimation in Intelligent Reflective Surface Aided MIMO Systems
by Qingying Wu, Junqi Bao, Hui Xu, Benjamin K. Ng, Chan-Tong Lam and Sio-Kei Im
Sensors 2025, 25(19), 5959; https://doi.org/10.3390/s25195959 - 25 Sep 2025
Abstract
Intelligent Reflective Surface (IRS)-aided Multiple-Input Multiple-Output (MIMO) systems have emerged as a promising solution to enhance spectral and energy efficiency in future wireless communications. However, accurate channel estimation remains a key challenge due to the passive nature and high dimensionality of IRS channels. [...] Read more.
Intelligent Reflective Surface (IRS)-aided Multiple-Input Multiple-Output (MIMO) systems have emerged as a promising solution to enhance spectral and energy efficiency in future wireless communications. However, accurate channel estimation remains a key challenge due to the passive nature and high dimensionality of IRS channels. This paper proposes a lightweight hybrid framework for cascaded channel estimation by combining a physics-based Bilinear Alternating Least Squares (BALS) algorithm with a deep neural network named ConvTrans-ResNet. The network integrates convolutional embeddings and Transformer modules within a residual learning architecture to exploit both local and global spatial features effectively while ensuring training stability. A series of ablation studies is conducted to optimize architectural components, resulting in a compact configuration with low parameter count and computational complexity. Extensive simulations demonstrate that the proposed method significantly outperforms state-of-the-art neural models such as HA02, ReEsNet, and InterpResNet across a wide range of SNR levels and IRS element sizes in terms of the Normalized Mean Squared Error (NMSE). Compared to existing solutions, our method achieves better estimation accuracy with improved efficiency, making it suitable for practical deployment in IRS-aided systems. Full article
(This article belongs to the Section Communications)
Show Figures

Figure 1

21 pages, 7638 KB  
Article
Quasi-Synchronization Control of Discrete-Time Leader–Follower Neural Networks with Parameter Uncertainties and Markovian Channel Fading
by Lanzhen Chen and Hongxia Rao
Appl. Sci. 2025, 15(19), 10365; https://doi.org/10.3390/app151910365 - 24 Sep 2025
Viewed by 50
Abstract
Leader–follower neural networks deployed over wireless platforms are subject to parameter uncertainties and stochastic channel fading. The combined impact of these effects on quasi-synchronization control remains largely unexplored. The paper addresses the problem of quasi-synchronization performance degradation in discrete-time leader–follower neural networks caused [...] Read more.
Leader–follower neural networks deployed over wireless platforms are subject to parameter uncertainties and stochastic channel fading. The combined impact of these effects on quasi-synchronization control remains largely unexplored. The paper addresses the problem of quasi-synchronization performance degradation in discrete-time leader–follower neural networks caused by randomly occurring parameter uncertainties and stochastic channel fading. Discrete leader–follower neural networks are constructed in state-space form. Randomly occurring parameter uncertainties in the leader neural networks are described using a Bernoulli probability distribution and time-varying parameter matrices. Channel fading is represented by a finite-state Markovian model that captures state switching. For the follower neural networks, an intermittent impulsive control strategy is designed based on linear matrix inequalities and the Lyapunov stability principle. A computable bound on the synchronization error is derived as well. A simulation study validates that the proposed impulsive control strategy effectively suppresses synchronization error caused by parameter uncertainties and Markovian channel fading, thereby ensuring mean-square boundedness. Compared with an existing method, the proposed approach consumes less control energy but achieves better performance in terms of synchronization error. The average norms of the synchronization error and the control input signal are reduced by 24.00% and 58.64%, respectively. Full article
(This article belongs to the Section Robotics and Automation)
Show Figures

Figure 1

26 pages, 8533 KB  
Review
The Energy Management Strategies for Fuel Cell Electric Vehicles: An Overview and Future Directions
by Jinquan Guo, Hongwen He, Chunchun Jia and Shanshan Guo
World Electr. Veh. J. 2025, 16(9), 542; https://doi.org/10.3390/wevj16090542 - 22 Sep 2025
Viewed by 303
Abstract
The rapid development of fuel cell electric vehicles (FCEVs) has highlighted the critical importance of optimizing energy management strategies to improve vehicle performance, energy efficiency, durability, and reduce hydrogen consumption and operational costs. However, existing approaches often face limitations in real-time applicability, adaptability [...] Read more.
The rapid development of fuel cell electric vehicles (FCEVs) has highlighted the critical importance of optimizing energy management strategies to improve vehicle performance, energy efficiency, durability, and reduce hydrogen consumption and operational costs. However, existing approaches often face limitations in real-time applicability, adaptability to varying driving conditions, and computational efficiency. This paper aims to provide a comprehensive review of the current state of FCEV energy management strategies, systematically classifying methods and evaluating their technical principles, advantages, and practical limitations. Key techniques, including optimization-based methods (dynamic programming, model predictive control) and machine learning-based approaches (reinforcement learning, deep neural networks), are analyzed and compared in terms of energy distribution efficiency, computational demand, system complexity, and real-time performance. The review also addresses emerging technologies such as artificial intelligence, vehicle-to-everything (V2X) communication, and multi-energy collaborative control. The outcomes highlight the main bottlenecks in current strategies, their engineering applicability, and potential for improvement. This study provides theoretical guidance and practical reference for the design, implementation, and advancement of intelligent and adaptive energy management systems in FCEVs, contributing to the broader goal of efficient and low-carbon vehicle operation. Full article
(This article belongs to the Section Vehicle and Transportation Systems)
Show Figures

Figure 1

18 pages, 3384 KB  
Article
Enhanced Fault Diagnosis of Drive-Fed Induction Motors Using a Multi-Scale Wide-Kernel CNN
by Prince, Byungun Yoon and Prashant Kumar
Mathematics 2025, 13(18), 2963; https://doi.org/10.3390/math13182963 - 12 Sep 2025
Viewed by 326
Abstract
Induction motor (IM) drives are widely used in industrial applications, particularly within the renewable energy sector, owing to their fast dynamic response and robust performance. Reliable condition monitoring is essential to ensure uninterrupted operation, minimize unexpected downtime, and avoid associated financial losses. Although [...] Read more.
Induction motor (IM) drives are widely used in industrial applications, particularly within the renewable energy sector, owing to their fast dynamic response and robust performance. Reliable condition monitoring is essential to ensure uninterrupted operation, minimize unexpected downtime, and avoid associated financial losses. Although numerous studies have introduced advanced fault detection techniques for IMs, early fault identification remains a significant challenge, especially in systems powered by electronic drives. To address the limitations of manual feature extraction, deep learning methods, particularly conventional convolutional neural networks (CNNs), have emerged as promising tools for automated fault diagnosis. However, enhancing their capability to capture a broader spectrum of spatial features can further improve detection accuracy. This study presents a novel fault detection framework based on a multi-wide-kernel convolutional neural network (MWK-CNN) tailored for drive-fed induction motors. By integrating convolutional kernels of varying widths, the proposed architecture effectively captures both fine-grained details and large-scale patterns in the input signals, thereby enhancing its ability to distinguish between normal and faulty operating states. Electrical signals acquired from drive-fed IMs under diverse operating conditions were used to train and evaluate the MWK-CNN. Experimental results demonstrate that the proposed model exhibits heightened sensitivity to subtle fault signatures, leading to superior diagnostic accuracy and outperforming existing state-of-the-art approaches for fault detection in drive-fed IM systems. Full article
Show Figures

Figure 1

15 pages, 629 KB  
Article
Clustering EU Member States by Energy Security Level Using Kohonen Maps
by Olena Ivashko, Anastasiia Simakhova, Vladyslav Soliakov and Jerzy Choroszczak
Energies 2025, 18(17), 4750; https://doi.org/10.3390/en18174750 - 6 Sep 2025
Viewed by 731
Abstract
The topic of energy security is relevant for EU countries that pay great attention to new renewable energy sources and sustainable environmental development. The purpose of the article is to analyze and group EU countries by their level of energy security. To achieve [...] Read more.
The topic of energy security is relevant for EU countries that pay great attention to new renewable energy sources and sustainable environmental development. The purpose of the article is to analyze and group EU countries by their level of energy security. To achieve this goal, general scientific methods and Kohonen maps (Deductor Studio package) were used. This article analyzes the state of energy security in EU countries, energy imports, the development of renewable energy sources, energy consumption, and energy security challenges. As a result of grouping EU countries according to Kohonen maps, three clusters were identified: countries with high, medium, and relatively low levels of energy security. The approach demonstrated the effectiveness of neural network-based clustering in revealing structural differences in national energy systems. The findings indicate that to strengthen energy security across the European Union, it is important to adopt differentiated approaches tailored to the specific needs of each cluster. The practical significance of the article lies in clustering EU countries by their energy security potential, which provides a basis for developing and implementing appropriate policies to enhance energy security. Recommendations for strengthening energy security were proposed for each cluster. Full article
Show Figures

Figure 1

44 pages, 661 KB  
Review
Artificial Intelligence Applications for Energy Storage: A Comprehensive Review
by Tai Zhang and Goran Strbac
Energies 2025, 18(17), 4718; https://doi.org/10.3390/en18174718 - 4 Sep 2025
Viewed by 1370
Abstract
The integration of artificial intelligence (AI) and machine learning (ML) technologies in energy storage systems has emerged as a transformative approach in addressing the complex challenges of modern energy infrastructure. This comprehensive review examines current state of the art AI applications in energy [...] Read more.
The integration of artificial intelligence (AI) and machine learning (ML) technologies in energy storage systems has emerged as a transformative approach in addressing the complex challenges of modern energy infrastructure. This comprehensive review examines current state of the art AI applications in energy storage, from battery management systems to grid-scale storage optimization. We analyze various AI techniques, including supervised learning, deep learning, reinforcement learning, and neural networks, and their applications in state estimation, predictive maintenance, energy forecasting, and system optimization. The review synthesizes findings from the recent literature demonstrating quantitative improvements achieved through AI integration: distributed reinforcement learning frameworks reducing grid disruptions by 40% and operational costs by 12.2%, LSTM models achieving state of charge estimations with a mean absolute error of 0.10, multi-objective optimization reducing power losses by up to 22.8% and voltage fluctuations by up to 71%, and real options analysis showing 45–81% cost reductions compared to conventional planning approaches. Despite remarkable progress, challenges remain in terms of data quality, model interpretability, and industrial implementation. This paper provides insights into emerging technologies and future research directions that will shape the evolution of intelligent energy storage systems. Full article
(This article belongs to the Special Issue Optimization and Machine Learning Approaches for Power Systems)
Show Figures

Figure 1

32 pages, 5483 KB  
Article
Dual Modal Intelligent Optimization BP Neural Network Model Integrating Aquila Optimizer and African Vulture Optimization Algorithm and Its Application in Lithium-Ion Battery SOH Prediction
by Xingxing Wang, Shun Liang, Junyi Li, Hongjun Ni, Yu Zhu, Shuaishuai Lv and Linfei Chen
Machines 2025, 13(9), 799; https://doi.org/10.3390/machines13090799 - 2 Sep 2025
Viewed by 480
Abstract
To enhance the accuracy and robustness of lithium-ion battery state-of-health (SOH) prediction, this study proposes a dual-mode intelligent optimization BP neural network model (AO–AVOA–BP) which integrates the Aquila Optimizer (AO) and the African Vulture Optimization Algorithm (AVOA). The model leverages the global search [...] Read more.
To enhance the accuracy and robustness of lithium-ion battery state-of-health (SOH) prediction, this study proposes a dual-mode intelligent optimization BP neural network model (AO–AVOA–BP) which integrates the Aquila Optimizer (AO) and the African Vulture Optimization Algorithm (AVOA). The model leverages the global search capabilities of AO and the local exploitation strengths of AVOA to achieve efficient and collaborative optimization of network parameters. In terms of feature construction, eight key health indicators are extracted from voltage, current, and temperature signals during the charging phase, and the optimal input set is selected using gray relational analysis. Experimental results demonstrate that the AO–AVOA–BP model significantly outperforms traditional BP and other improved models on both the NASA and CALCE datasets, with MAE, RMSE, and MAPE maintained within 0.0087, 0.0115, and 1.095%, respectively, indicating outstanding prediction accuracy and strong generalization performance. The proposed method demonstrates strong generalization capability and engineering adaptability, providing reliable support for lifetime prediction and safety warning in battery management systems (BMS). Moreover, it shows great potential for wide application in the health management of electric vehicles and energy storage systems. Full article
(This article belongs to the Section Vehicle Engineering)
Show Figures

Figure 1

30 pages, 3950 KB  
Article
A Modular Hybrid SOC-Estimation Framework with a Supervisor for Battery Management Systems Supporting Renewable Energy Integration in Smart Buildings
by Mehmet Kurucan, Panagiotis Michailidis, Iakovos Michailidis and Federico Minelli
Energies 2025, 18(17), 4537; https://doi.org/10.3390/en18174537 - 27 Aug 2025
Cited by 2 | Viewed by 579
Abstract
Accurate state-of-charge (SOC) estimation is crucial in smart-building energy management systems, where rooftop photovoltaics and lithium-ion energy storage systems must be coordinated to align renewable generation with real-time demand. This paper introduces a novel, modular hybrid framework for SOC estimation, which synergistically combines [...] Read more.
Accurate state-of-charge (SOC) estimation is crucial in smart-building energy management systems, where rooftop photovoltaics and lithium-ion energy storage systems must be coordinated to align renewable generation with real-time demand. This paper introduces a novel, modular hybrid framework for SOC estimation, which synergistically combines the predictive power of artificial neural networks (ANNs), the logical consistency of finite state automata (FSA), and an adaptive dynamic supervisor layer. Three distinct ANN architectures—feedforward neural network (FFNN), long short-term memory (LSTM), and 1D convolutional neural network (1D-CNN)—are employed to extract comprehensive temporal and spatial features from raw data. The inherent challenge of ANNs producing physically irrational SOC values is handled by processing their raw predictions through an FSA module, which constrains physical validity by applying feasible transitions and domain constraints based on battery operational states. To further enhance the adaptability and robustness of the framework, two advanced supervisor mechanisms are developed for model selection during estimation. A lightweight rule-based supervisor picks a model transparently using recent performance scores and quick signal heuristics, whereas a more advanced double deep Q-network (DQN) reinforcement-learning supervisor continuously learns from reward feedback to adaptively choose the model that minimizes SOC error under changing conditions. This RL agent dynamically selects the most suitable ANN+FSA model, significantly improving performance under varying and unpredictable operational conditions. Comprehensive experimental validation demonstrates that the hybrid approach consistently outperforms raw ANN predictions and conventional extended Kalman filter (EKF)-based methods. Notably, the RL-based supervisor exhibits good adaptability and achieves lower error results in challenging high-variance scenarios. Full article
(This article belongs to the Section G: Energy and Buildings)
Show Figures

Figure 1

Back to TopTop