Abstract
The main goal of this systematic review on the flavonol class secondary metabolite quercetin is to evaluate and summarize the existing research on quercetin’s potential health benefits, therapeutic properties, and effectiveness in disease prevention and treatment. In addition to evaluating quercetin’s potential for drug development with fewer side effects and lower toxicity, this type of review attempts to collect scientific evidence addressing quercetin’s roles as an antioxidant, anti-inflammatory, antibacterial, and anticancer agent. In the first part, we analyze various flavonoid compounds, focusing on their chemical structure, classification, and natural sources. We highlight their most recent biological activities as reported in the literature. Among these compounds, we pay special attention to quercetin, detailing its chemical structure, physicochemical properties, and process of biosynthesis in plants. We also present natural sources of quercetin and emphasize its health benefits, such as its antioxidant and anti-inflammatory effects. Additionally, we discuss methods to enhance its bioavailability, analyzing the latest and most effective delivery systems based on quercetin.
1. Introduction
Plants are sensitive organisms that can be exposed during their lifetime to a series of biotic and abiotic stresses. To adapt to environmental conditions and overcome stress conditions, plants synthesize a range of secondary metabolites [,,]. These compounds perform essential physiological and biochemical functions []. Among these secondary plant-synthetized metabolites, flavonoids represent one of the largest and most well-investigated classes [,].
Flavonoids play several important roles in plants, including controlling growth and differentiation, as well as producing colors (pigments), texture, and taste. They possess a diverse range of structural features that contribute to their antioxidant and UV-protective properties in plants [,]. The specific chemical structure of flavonoids, characterized by two aromatic rings connected by a three-carbon bridge, gives rise to a wide range of functional groups and derivatives that are responsible for the diverse bioactivities exhibited by these plant metabolites []. The presence of phenolic hydroxyl groups on the flavonoid backbone allows for the donation of hydrogen atoms or electrons, which can stabilize free radicals and reactive oxygen species, thereby conferring strong antioxidant properties []. Additionally, the conjugated double bonds within the flavonoid structure can absorb UV radiation, protecting plant tissues from harmful solar exposure. By combining these properties, flavonoids play a critical role in shielding plants from oxidative damage while also participating in essential biological functions like growth regulation and pigment production [].
Due to their potentially beneficial role in human metabolism, flavonoids are currently considered indispensable components in various nutraceutical, pharmaceutical, medicinal, and cosmetic applications. These bioactive compounds can protect the human body from the onset of degenerative conditions associated with oxidative stress including cancer, osteoporosis, diabetes mellitus, asthma, neurodegenerative diseases, Parkinson’s disease, dementia, and cardiovascular and inflammatory diseases [,,,,,].
The flavonoid quercetin, which belongs to the flavonol subclass [], is the most abundant and widespread flavonoid compound in the plant kingdom. It is present in various array of sources, including peels, bark, vegetables (onions, broccoli, peppers, lovage, dill, cabbage), fruits (apples, aronia, cranberries), seeds (coriander, walnuts), red wine, green tea, etc. [,,,,]. Chemically designated as 3,5,7-trihydroxy-2-(3,4-dihydroxyphenyl)-4H-chromen-4-one, quercetin serves as a pharmacologically active ingredient in numerous dietary supplements and in antioxidant and antiallergic drugs approved by the FDA (U.S. Food and Drug Administration) [,]. The most important pharmacological properties of quercetin reported in the literature are antioxidant, antidiabetic, anticancer, antitumor, anti-inflammatory, antiallergic, antihypertensive, antidepressant, cataract-preventive, and antimicrobial effects [,,]. In addition, quercetin has demonstrated efficacy in inhibiting the progression of various cancers, including those affecting the breast, cervix, lung, colon, prostate, and liver []. These multiple benefits position quercetin as an important valuable nutraceutical ingredient, underscoring its substantial therapeutic potential within both the food and pharmaceutical sectors [,].
Quercetin’s low oral bioavailability has a significant impact on its pharmacological application. Despite its numerous health benefits, several challenges limit its utilization in the pharmaceutical sector. Low solubility in water limits its ability to traverse the intestinal mucus barrier and be absorbed by the enterocytes of the digestive tract. This phenomenon may be attributed to the hydrophobic nature of the phenyl rings, combined with the polar characteristics imparted by the hydroxyl groups present in its molecular structure [,,]. Low aqueous solubility (1 μg/mL), diminished intrinsic activity (<10%), a high metabolic rate (>40%), rapid clearance from the organism (<1 h), and the formation of inactive metabolic products may adversely affect its efficacy and restrict its clinical application []. Research involving healthy subjects has shown that only 3–17% of the administered dose of quercetin is absorbed, with a slightly higher absorption rate of approximately 20% observed in animal studies []. In the context of recent advancements in biotechnology, the scientific community has tried to overcome the challenges associated with the poor oral bioavailability of quercetin through various encapsulation techniques []. By encapsulating quercetin in liposomal delivery systems, it was observed that it had a much greater ability to scavenge free radicals compared to non-encapsulated quercetin. This improvement can be attributed to the prolonged duration of action and increased solubility in water []. Furthermore, research conducted by Gulec K. and David M. indicated that incorporating quercetin into inclusion complexes such as methyl-β-cyclodextrin, resulted in a remarkable 254-fold increase in water solubility, along with a 10% enhancement in antioxidant activity relative to quercetin alone []. Abouaitah et al. included quercetin in mesoporous silica nanoparticles (MSNs) conjugated with folic acid to enhance absorption and facilitate targeted release into tumor cells. The findings indicated an increase in the biocompatibility of quercetin, while the MSN formulation demonstrated favorable characteristics, including a reduced particle size and heightened absorptive capability [].
The main purpose of this review was to present the main classes of flavonoid compounds, with a focus on quercetin. Thus, we discussed the physicochemical properties, natural sources, and the biological activity associated with quercetin. In the end, we listed and described various delivery systems that can enhance the bioavailability of quercetin. In the context of pharmaceutical applications, it is imperative that quercetin delivery systems are both effective and capable of improving the pharmacokinetic profile, while also ensuring controlled transport and release within the body.
2. Materials and Methods
The systematic evaluation of this review was carried out by taking into account the Preferred Reporting Items for Systematic Reviews and Meta-Analysis (PRISMA).
2.1. Study Selection Criteria
The criteria for selecting scientific articles focused on the following aspects: the chemical structure and classification of flavonoid compounds; natural sources; physicochemical properties; and the health benefits of both flavonoid compounds and quercetin. Additionally, the selection included considerations of quercetin’s biosynthesis, metabolism, bioavailability, dosage, contraindications, and drug interactions.
The criteria we considered for excluding certain articles were as follows: (i) articles not written in the English language; (ii) incomplete or briefly drafted articles; (iii) articles that focused more on quercetin derivatives rather than on quercetin itself; and (iv) articles that referenced other polyphenolic compounds more than flavonoids.
2.2. Search Strategy and Data Extraction
All the data necessary to carry out this research were collected from works published between 1957 and 2024, without any constraints on the publication date of the articles []. The databases used to achieve the aforementioned goal were the Web of Science Core Collection, Pubmed, Scopus, and Google Scholar. To identify scientific articles published by 2024, keywords such as “quercetin” and “flavonoids” were used. After eliminating duplicates, we analyzed the articles based on the previously established inclusion criteria. After a thorough analysis, articles that met the exclusion criteria were removed. The remaining articles were deemed relevant articles and included in this systematic review.
3. Results and Discussion
3.1. Study Selection
In this systematic review, we aimed to identify and examine the most relevant original research or review articles published in the literature on flavonoid compounds and quercetin.
The selection of studies was made following the Prisma flow diagram (see Figure 1).
Figure 1.
Prisma flow diagram for included studies.
As seen in this systematic review, we initially identified 5687 scientific articles. Following a preliminary evaluation, we removed 2535 duplicate studies found across various databases to eliminate redundancy. Furthermore, 1955 articles were excluded because they did not meet the eligibility and inclusion criteria, as they were unrelated to the research topic. Another 563 studies were excluded for other reasons, such as restricted access (available only for a fee) or being outside the designated field of research [].
A total of 634 articles advanced to the screening stage, where their abstracts were reviewed. Of these, 188 studies that did not meet this study’s objectives were excluded. The remaining 446 articles were read in full, and after assessing their eligibility, 41 were excluded. Ultimately, 405 articles were included in this systematic review.
Notably, we observed that 279 of the included articles were published within the last four years, suggesting a growing interest in the study of flavonoids and quercetin.
3.2. Flavonoids—The Most Common Secondary Metabolites in the Plant Kingdom
3.2.1. Structure and Classification of Flavonoid Compounds
Flavonoids have a diphenyl propane base structure (C₆-C₃-C₆), as illustrated in Figure 2. This structure comprises 15 carbon atoms arranged into two aromatic rings, A and B. These rings are connected by three carbon atoms, which may form part of a third heterocyclic ring (C) [,,,].
Figure 2.
Basic chemical structure of flavonoids (prepared with Biorender, https://www.biorender.com/).
The numbering of carbon atoms in rings A and C is completed using ordinary numbers, while in ring B, prime numbers are used, except for chalcones and some derivatives of isoflavones. The heterocyclic C ring can be either a pyran (as found in flavones or flavonols) or dihydro derivatives (as in flavanones or flavan-3-ol).
According to biogenesis, the A ring originates from a resorcin or phloroglycin molecule and can be hydroxylated at positions 3, 5, and 7. The B ring derives from shikimic acid and is hydroxylated at positions 2’, 3’, 4’, and 5’ [,].
Flavonoids can be divided into the following three classes based on the position of the benzenoid substituent relative to the benzopyranic substituent (C ring), as illustrated in Figure 3:
Figure 3.
Main classes of flavonoids (prepared with Biorender).
- (a)
- Flavonoids (in which the benzenoid substituent is attached at position 2 of the C ring);
- (b)
- Isoflavonoids (in which the benzenoid substituent is attached at position 3 of the C ring);
- (c)
- Neoflavonoids (in which the benzenoid substituent is attached at position 4 of the C ring) [].
Flavonols, unlike flavanones, exhibit a hydroxyl group at position 3 and a double bond between C2-C3 [].
According to the number of hydroxyl or methyl groups attached to the aromatic ring B, the nature of the carbon atom of the C ring, and the degree of unsaturation of the heterocyclic ring C flavonoids can be classified into the following six subclasses, as illustrated in Figure 4 [,,,]:
Figure 4.
Classification of flavonoids according to the oxidation degree of molecules (prepared with Biorender software).
- (a)
- Flavones (present a double bond between the C2 and C3 positions and a ketone group at position 4 of the heterocyclic C ring) [];
- (b)
- Flavonols or 3-hydroxy-flavones (consist of two aromatic rings joined by a linear chain of three carbon atoms (C2, C3, and C4)). In this chain, C2 and C3 are connected by a double bond, and a ketone group is present at C4 []. Flavonols may also have hydroxyl groups at specific positions: 5 and 7 of the A ring and position 3 of the C ring [,];
- (c)
- Flavanones (the C ring is saturated, and the diphenyl propane conjugate system between the two aromatic rings is interrupted []);
- (d)
- Flavan-3-ols or catechins (they are 3-hydroxyl derivatives of flavanones, with the hydroxyl group attached at position 3 of the heterocyclic ring C. Unlike flavonols, they do not have a double bond between the C₂ and C₃ positions []);
- (e)
- Anthocyanins and anthocyanidins (differ from other flavonoids due to having two double bonds in the heterocyclic C rings. Anthocyanins are the glycosylated form of anthocyanidins, and differ in hydroxylation and methoxylation patterns of the B ring) [];
- (f)
- Chalcones (are characterized by the absence of the heterocyclic C ring in their basic diphenyl-propane structure []. Therefore, they can also be referred to as open-chain flavonoids []).
3.2.2. Sources and Bioactivity of Flavonoid Compounds
Flavonoids in plants exist in several forms: free aglycone (which do not have attached sugar molecules), conjugated with sugar units (C-glycosylated or O-glycosylated), or methylated derivatives. Depending on the number of sugar units (glycosides) attached, flavonoids can be classified as monoglycosylated, diglycosylated, or polyglycosylated. The glycosyl group, which can be glucose, rhamnose, galactose, and arabinose, is linked at position 3 or 7 of the flavonoid’s basic structure []. Additionally, the nucleus of flavones and flavonols can have isoprene residues and free hydroxyl groups as substitution, or this site can be fully blocked by methylation. They can also be present in the form of esters of sulfuric acid or other organic acids [].
Flavones
Flavones are an important subgroup of flavonoids that are widely found in leaves, flowers, and fruits. Most flavones in vegetables and fruits feature a hydroxyl group at position 5 of ring A. Hydroxylation can also occur at other positions, such as position 7 of ring A or at 3′ and 4′ of ring B, with this variation often depending on the taxonomic classification of certain vegetables or fruits []. Among flavones, apigenin, vitexin, and luteolin are notable for their widespread presence and significant health benefits. Apigenin, in its O-glycosylated form, is found in high concentrations in chamomile (up to 5320 mg/100 g of dry flowers) and parsley (1350 mg/100 g of dry leaves). Luteolin can be found in various plants, including fruits, and vegetables (green pepper, celery), as well as in medicinal herbs like chamomile. The C-glycosylated form of luteolin was found in the highest proportions in rooibos tea [].
Apigenin, which is abundant in chamomile and parsley, has been shown to improve cognitive functions and memory in animal studies. Research suggests that it can regulate apoptosis, amyloidogenesis (the formation of amyloid plaques linked to Alzheimer’s disease), and the BDNF/TrkB signaling pathways []. By modulating these processes, apigenin has potential as a neuroprotective agent, particularly in the context of neurodegenerative diseases like Alzheimer’s. In addition to its neuroprotective properties, apigenin exhibits strong anti-inflammatory effects. Research indicates that it has demonstrated efficacy in reducing inflammation in mice with ulcerative colitis induced by dextran sodium sulfate (DSS). Apigenin facilitates the secretion of mucin, a key component that safeguards the intestinal lining, while concurrently promoting the production of anti-inflammatory cytokines such as IL-10, and inhibiting pro-inflammatory cytokines, including TNF-α, IL-1β, and IL-6. This action suggests that apigenin may hold promise for the treatment of inflammatory bowel diseases [].
Vitexin, a compound found in foods like buckwheat, beans, and hawthorn, also demonstrates anti-inflammatory properties by inhibiting the production of pro-inflammatory cytokines. This suggests it may be beneficial in managing various inflammatory conditions []. In addition to its anti-inflammatory effects, vitexin has been shown to protect cells from oxidative stress, particularly in cancer-related situations. It exhibits anticancer properties by inducing apoptosis, or programmed cell death, in tumor cells, making it a promising candidate for cancer therapy. Vitexin can slow the progression of cancer by selectively targeting tumor cells for destruction while minimally affecting healthy cells. Moreover, studies conducted on rats indicate that vitexin has a hepatoprotective effect, meaning it protects the liver from damage caused by toxins like cadmium. It achieves this by reducing oxidative stress and inflammation in the liver [].
Luteolin is found in various plant families including Asteraceae, Lamiaceae, Poaceae, Leguminosae, and Scrophulariaceae []. It has shown significant potential in combating Alzheimer’s disease by reducing neuroinflammation and preventing neuronal degeneration, both of which are major contributors to cognitive decline. By modulating these pathways, luteolin may help slow the progression of neurodegenerative disorders and improve overall brain function []. Additionally, luteolin has proven effective in alleviating intestinal mucositis induced by chemotherapy. This condition, often caused by drugs like irinotecan, can lead to weight loss and severe diarrhea. Luteolin has been shown to help alleviate these symptoms, making it a useful compound for improving the quality of life in patients undergoing chemotherapy []. The main sources of flavones and their biological activities are presented in Table 1.
Table 1.
Natural sources of flavones and their bioactivity.
Flavonols
Flavonols play a crucial role in human health because of their various biological activities, which arise from their structural diversity. Their ability to undergo methylation, hydroxylation, and glycosylation leads to the formation of different flavonol types, such as quercetin, kaempferol, myricetin, rutin, morin, and isorhamnetin []. This diversity is reflected in the wide range of plant species that contain these compounds, including common vegetables like Allium cepa L., Brassica oleracea L., Solanum lycopersicum L., and Lactuca sativa L. [].
Flavonols are recognized for their beneficial properties, including antioxidant, anti-inflammatory, antibacterial, and antiviral effects. Their antioxidant capacity plays a crucial role in neutralizing free radicals and reducing oxidative stress, which is commonly associated with aging and various chronic diseases such as cardiovascular disease, cancer, and neurodegenerative disorders [,]. For example, quercetin, the most prevalent flavonol, has demonstrated therapeutic efficacy against hepatic and renal toxicity, as well as metabolic, cardiovascular, and cerebrovascular diseases. Its neuroprotective properties, particularly in the context of Alzheimer’s disease, arise from its ability to inhibit tau phosphorylation, reduce beta-amyloid aggregation, and prevent oxidative damage []. Additionally, the flavonol rutin offers protection against conditions such as gout by lowering uric acid levels, reducing inflammation, and inhibiting xanthine oxidase activity []. Rutin also decreases pro-inflammatory cytokines and enhances the activity of antioxidant enzymes, thereby contributing to its extensive anti-inflammatory and neuroprotective properties [,]. Another significant flavonol, isorhamnetin, found in plants such as Hippophae rhamnoides L., Ginkgo biloba L., Vaccinium corymbosum L., and Vaccinium myrtillus L. has exhibited cardioprotective effects through the attenuation of oxidative stress and inflammation. This is achieved by obstructing key inflammatory signaling pathways, including JNK and AKT/IKK [].
Research has demonstrated that morin serves a protective function against ischemic lesions and aids in the recovery from cerebral reperfusion injuries in animal models, thereby underscoring its significant role in supporting cerebrovascular health [,]. The primary sources of flavonols along with their biological activities are provided in Table 2.
Table 2.
Natural sources of flavonols and their bioactivity.
Flavanones
Flavanones, also referred to as dihydro-flavones, are colorless compounds that exhibit slight solubility in water. However, upon undergoing alkalization, they become water-soluble phenolates, which are characterized by a yellow coloration []. Eriodyctiol, hesperetin, and naringenin [], present in the epicarp and mesocarp of various citrus fruits, are primarily linked to the bitter taste associated with these fruits. The health benefits attributed to flavanones include antioxidant, anti-inflammatory, lipid-lowering capacities, cholesterol reduction, and combating atherosclerosis []. Naringerin is the primary flavonoid found in pomelo peel [] and has been shown to reduce cardiovascular and liver toxicity, induced by 5-fluorouracil in mice with colorectal cancer []. Other studies involving ovariectomized rats indicate that naringerin can help combat obesity, insulin resistance, and the enlargement of fat cells (adipocyte hypertrophy) that occur because of estrogen deficiency []. Eriodictyol may also have anticancer properties. Research by Li W. et al. demonstrated that it can induce apoptosis in glioma cells by blocking the PI3K/Akt/NF-κB signaling pathway []. Other studies have shown that eriodictyol can attenuate intestinal tissue damage caused by 2,4,6-trinitrobenzene sulfonic acid [] in rats and may prevent diabetic nephropathy induced by streptozotocin through its hypolipidemic, antioxidant, and anti-inflammatory effects []. Hesperetin, which can be extracted from citrus fruits such as Citrus sinensis (L.) Osbeck and Citrus limon (L.) Osbeck, has also been studied for its potential in combating breast cancer. Research by Li et al. found that hesperetin inhibits the metastasis of human triple-negative breast cancer cells (MDA-MB-231) that is induced by transforming growth factor beta 1 []. Alotaibi, K.S. et al. evaluated the antioxidant effect of hesperetin following the exposure of rats to hepatotoxicity induced by bisphenol A. Their results showed that hesperetin reduced the levels of pro-inflammatory cytokines and led to the overexpression of the nuclear transcription factor erythroid 2 in the liver []. The main sources of flavanones and their biological activities are presented in Table 3.
Table 3.
Natural sources of flavanones and their bioactivity.
Flavan-3-ols/proanthocyanidins
Flavan-3-ols also known as catechins, are a type of flavonoid compound found in plants. Unlike other flavonoids, they can exist as monomers oligomers, polymeric aglycones, or esters with gallic acid, forming compounds such as gallocatechin, epicatechin, and epigallocatechin []. The most widespread proanthocyanidins in plants are detailed in Table 4 []. Flavan-3-ols are abundantly present in a variety of sources, including woody and herbaceous plants, cocoa, tea, fruits (such as bananas, apples, grapes, blueberries, peaches, and pears), jams, lentils, beans, seeds, and beverages like wine, cider, fruit juices, and beer [,]. Research shows that epicatechin enhances the activity of the body’s antioxidant enzymes (glutathione peroxidase, superoxide dismutase, catalase) while also increasing glutathione levels. It has been found to reduce levels of malondialdehyde, nitric oxide, interleukin-1β, and tumor necrosis factor-alpha [,]. Additionally, epicatechin induces apoptosis and antagonizes proapoptotic androgenic actions in breast and prostate cancer cells through the membrane androgen receptor ZIP9 []. Gallocatechin exhibits a neuroprotective effect by reducing intracellular free radicals and inhibiting the phosphorylation of extracellular signal-regulating kinase and C-Jun N-terminal kinase []. Silver nanoparticles derived from gallocatechin and chitosan have been shown to promote wound healing in diabetic rats []. Epigallocatechin has exhibited antiviral effects in vitro by disrupting the DNA replication cycles of viruses, such as the hepatitis B virus, herpes simplex virus, and adenovirus. It also possesses antifungal properties against Candida albicans and antibacterial effects against Staphylococcus aureus and Stenotrophomonas maltophilia [].
Table 4.
Natural sources of proanthocyanidins and their bioactivity.
Anthocyanins
Anthocyanins are the pigments responsible for the various colors including pink, red, purple, violet, blue, and bluish-black, found in the epidermis [] of plants, flowers, fruits, seed skins, and sometimes leaves []. Table 5 lists the most common anthocyanidins found in foods [] such as cranberries, blackcurrants, raspberries, strawberries, blueberries, and blackberries with levels ranging from 100 to 700 mg/100 g fresh product [,]. The highest concentrations of anthocyanins are identified in elderberries and aronia, with levels between 1.4 and 1.8 g/100 g of fresh product [,].
The color and stability of anthocyanins are influenced by factors such as pH, light, temperature [], and chemical structure []. The health benefits of anthocyanins include their potential to combat cardiovascular diseases (such as hypertension, dyslipidemia, atherosclerosis, and oxidative stress), neurodegenerative diseases (including Parkinson’s and Alzheimer’s), various cancers (breast, colon, prostate, and lung), and diabetes mellitus []. Cyanidin has been noted for its role in combating obesity by inhibiting the differentiation of preadipocyte cells []. It stimulates calcium release from the endoplasmic reticulum, raises intracellular calcium levels in preadipocyte cells, activates phospholipase C, and promotes the production of inositol 1,4,5-triphosphate, which aids in calcium mobilization. In studies involving gastric cancer cells, such as the MKN-45 line, cyanidin induces apoptosis, inhibits cell proliferation, and prevents cell motility and migration []. Delphinidin prevents the spread of both gastric and intestinal cancer in vitro [], effects that have been observed in human epithelial colorectal adenocarcinoma cells. Additionally, its anti-inflammatory properties have been validated in vitro in conditions such as psoriasis and psoriatic arthritis []. Rosinidine has been found to lower blood sugar levels, decrease insulin levels, and potentially improve pancreatic function in rats with type 2 diabetes induced by streptozotocin. Additionally, it mitigates rotenone-induced neurotoxicity in rats by reducing neuroinflammation, lowering neurotransmitter levels, and enhancing locomotor function [,]. Pelargonidin is associated with a reduced risk of Alzheimer’s disease and helps decrease obesity by inhibiting glucose consumption, triglyceride accumulation, and adipogenesis in a murine fibroblast cell line []. It also exhibits a chemoprotective effect against colorectal cancer [].
Research has demonstrated the anticancer effects of malvidin in vivo, revealing a reduction in the migration and proliferation rates of metastases, as well as the induction of apoptosis and enhanced levels of autophagy in cancer cells []. The antiulcer effects observed in vivo were indicated by decreased myeloperoxidase levels and elevated levels of catalase, superoxide dismutase, and reduced glutathione [].
Table 5.
Natural sources of anthocyanidins and their bioactivity.
Table 5.
Natural sources of anthocyanidins and their bioactivity.
| Name of the Anthocyanidin | Bioactivities | Natural Sources | Ref. |
|---|---|---|---|
| Cyanidin | Cardioprotective, neuroprotective, antioxidant, antidiabetic, anti-inflammatory, anticancer | Malus pumila Kitam., Vaccinium myrtillus L., Aronia melanocarpa (Michx.) Elliott, Vaccinium oxycoccos L., Amelanchier arborea (F. Michx.) Fernald, Pyrus communis L., Empetrum nigrum L., Sambucus nigra L., Rubus fruticosus L., Ribes nigrum L., Prunus armeniaca L., Morus alba L., Punica granatum L., Daucus carota L., Solanum melongena L. | [,,,,] |
| Delphinidin | Anti-inflammatory, anticancer | Clitoria ternatea L., Aristotelia chilensis (Molina) Stuntz, Hibiscus sabdariffa L., Vaccinium myrtillus L., Vitis vinifera var. tinctorialis Risso, Ribes nigrum L., Secale cereale L., Vaccinium myrtillus L., Morus alba L., Punica granatum L., Solanum melongena L., Pisum sativum L., Capsicum annuum L., Hippophae rhamnoides L., Nelumbo nucifera Gaertn | [,,,,,,] |
| Rosinidine | Antidiabetic, neuroprotective | Catharanthus roseus (L.) G.Don, Primula rosea Royle | [,] |
| Pelargonidin | Neuroprotective, anticancer, chemoprotective | Sambucus nigra L., Punica granatum L., Phaseolus vulgaris L., Daucus carota L., Solanum tuberosum L., Raphanus sativus L. | [,,,,] |
| Malvidin | Anticancer, antiulcer | Vaccinium myrtillus L., Vitis vinifera var. tinctorialis Risso, Solanum tuberosum L., Nelumbo nucifera Gaertn | [,,,] |
| Peonidin | Neuroprotective | Vaccinium myrtillus L., Vaccinium macrocarpon Aiton, Vaccinium oxycoccos L., Daucus carota L., Solanum tuberosum L. | [,,] |
| Petunidin | Antiosteoporosis | Vaccinium myrtillus L, Vaccinium macrocarpon Aiton, Vitis vinifera var. tinctorialis Risso, Secale cereale L, Solanum melongena L, Solanum tuberosum L. | [,,,] |
Chalcones
Most of these compounds are polyhydroxyl aromatic compounds [] that are yellow in color and possess either lipophilic or hydrophilic characteristics depending on the structural features []. Chalcones, as presented in Table 6, along with their structural analogs, exhibit various bioactivities, including anticancer, antidiabetic, anti-inflammatory, antimicrobial, antiparasitic, and antioxidant properties [,]. Phloretin is one of the most common chalcones found in food []. This compound exhibits antifungal effects against Candida albicans, inhibiting biofilm formation, the transmission from yeast to hyphae, and the secretion of protease and phospholipase []. Additionally, phloretin may help combat diabetic nephropathy [], multiple sclerosis, and nonalcoholic fatty liver disease [,]. Butein has been shown to have antiulcer effects, which are indicated by an increase in the level of prostaglandin E2 and a decrease in the levels of messenger ribonucleic acid, cyclooxygenase-1, and cyclooxygenase-2 in the stomach. Moreover, it may exert antitumor effects against nasopharyngeal carcinoma and p53 mutant cancer cells [,]. Isoliciritigenin has demonstrated antitumor activity in various types of cancer, including breast, colon, gastrointestinal, lung, ovarian, leukemia, and melanoma. It induces ferroptosis in gallbladder cancer by reducing glutathione peroxidase 4 levels and activating heme oxygenase 1 [,,]. Furthermore, it exhibits anti-inflammatory effects by inhibiting nuclear factor kappa B, NOD-like receptor family pyrin domain containing 3, and mitogen-activated protein kinase, while activating nuclear factor erythroid 2 [].
Table 6.
Natural sources of chalcones and their bioactivity.
3.3. Quercetin—The Most Important Flavonol Compound from the Flavonoid Group
The term ”quercetin” is derived from the Latin word “quercetum”, which refers to Quercus robur commonly known as oak []. The first chemical synthesis of quercetin was accomplished in 1904, by Kostanecki et al., a distinguished Polish chemist [], utilizing 5,7,3’,4’-tetramethyl eriodictyol chalcones as the starting material []. In 1930, quercetin in the form of quercetin 3-O-rutinoside was synthesized from oranges []. Quercetin is recognized as a significant antioxidant and is employed as a nutraceutical component in various pharmaceutical, cosmetic, and food formulations due to its protective effects on cells against oxidative stress and damage []. Furthermore, it is used as an adjuvant in the management of multiple health conditions owing to its anti-obesity, anticarcinogenic, antiviral, antibacterial, and anti-inflammatory properties [].
Studies have shown that it can be used in cancer treatment. Quercetin inhibits the proliferation of various cancer cells, including those from the colon, prostate, liver, pancreas, and lungs. This effect is attributed to its antioxidant properties []. Additionally, quercetin has been used in various randomized trials, as an adjuvant in doses of 1500 mg/day and 1000 mg/day, to treat SARS-CoV-2 infection []. Patients receiving quercetin alongside specific antiviral medications, such as remdesivir and favipiravir, showed decreased serum levels of C-reactive protein, lactate dehydrogenase, and alkaline phosphatase. Their length of hospitalization was also reduced []. Quercetin can combat inflammatory diseases of the central nervous system. It has been shown to inhibit the expression of lipocalin-2 in macrophages and microglial cells. Additionally, it decreases the production of nitric oxide and the expression of pro-inflammatory factors, including inducible nitric oxide synthase and cyclooxygenase-2 (COX-2). It also reduces the expression of M1 markers, such as interleukin-6, tumor necrosis factor (TNF)-α, and interleukin-1β, as well as the expression of chemokines []. In preclinical studies, quercetin was observed to inhibit ferroptosis associated with type 2 diabetes mellitus by manifesting protective effects on pancreatic β cells, leading to increased insulin secretion []. Due to the multitude of beneficial effects that this compound presents, it is currently only used as a dietary supplement in powder or capsule form [].
3.3.1. Natural Sources, Chemical Structure, and Physico-Chemical Properties of Quercetin
Quercetin-like flavonoids (quercetin glycosides) are widely distributed in various species of plants, fruits, and vegetables [,]. Malus domestica (Suckow) Borkh., Pyrus communis L., Solanum lycopersicum L., Ipomoea batatas (L.) Lam., Sambucus canadensis L. Fragaria ananassa Duchesne, Capsicum annuum L., Carica papaya L., Lactuca capitata DC., Phaseolus vulgaris L., Vitis vinifera L., Prunus dulcis (Mill.) D.A. Webb, Pistacia vera L., Juglans regia L., and Coffea arabica L. are the most well-known sources of quercetin [,].
The amount of quercetin in plants is most often identified by HPLC (High-Performance Liquid Chromatography), according to Table 7 [], and may differ in plants depending on the variety, cultivation conditions, and mode of exposure to light [].
Table 7.
Natural sources of quercetin.
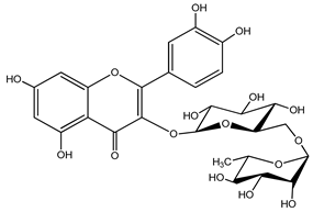
Quercetin is a yellow-colored plant pigment [] found in plants, vegetables, and fruits in glycosidic form (i.e., bound to one, two, or more saccharide molecules). Glycosylation of quercetin occurs most often at the OH free group at position 3, but less often it may occur at 3’, 4’, or 7-position []. The most common quercetin glycosides in plants are shown in Table 8.
Table 8.
Types of glycosidic quercetin found in nature.
Rutoside, also known in the literature as rutin [,,], isoquercitrin, and quercitrin are the most commonly occurring glycosidic forms of quercetin in nature []. It is considered that the saccharide group may change the solubility, absorption, and in vivo action of the quercetin molecule because, according to studies, aglyconic quercetin has low solubility in water. After all, it is a lipophilic compound, and in humans, it has low oral bioavailability [,]. In dietary supplements, quercetin is used in the aglyconic form in daily doses ranging from 100 to 500 mg [].
Quercetin is only found in plants, fruits, and vegetables because animals are unable to synthesize the flavonoid nucleus []. It is a derivative of phenylalanine, generally produced by the phenylpropanoid route [].
The flavonoid compounds, including quercetin, are synthesized in plants via the phenylpropanoid pathway. L-phenylalanine is the initial precursor of this pathway, from which quercetin is derived. This amino acid is produced through the shikimic acid pathway, which, after a series of enzymatic reactions, is converted into chorismate and then into L-phenylalanine [].
In the context of quercetin biosynthesis (as illustrated in Figure 5), L-phenylalanine undergoes dehydrogenation catalyzed by phenylalanine ammonia-lyase, resulting in the formation of cinnamic acid. Subsequently, cinnamic acid is hydroxylated at position 4 via the action of cinnamate-para-hydroxylase, leading to the production of p-coumaric acid. p-Coumaric acid is then converted to p-coumaroyl-CoA through the transformation of its carboxyl group mediated by 4-coumarate-Coenzyme A ligase [,].
Figure 5.
Biosynthesis of quercetin in plants (scheme made with the Biorender program).
Then, by condensation with three molecules of malonyl-CoA, under the influence of calcon synthetase, this compound is transformed into chalcon–naringerin. At this time, part of the rings of the flavonoid molecule has been obtained, namely, rings A and B. Calcon–naringerin, under the influence of calcon isomerase, through the isomerization reaction, is transformed into naringerine flavanone. By hydroxylating naringerin at the C3 and C3’ positions, dihydrokaempferol is formed under the action of flavanon-3-hydroxylase and eriodicthiol is formed under the influence of flavonoid-3’-hydroxylase. Then, dihydroquercetin results, by hydroxylation reactions, in the positions C3’ of dihydrokaempferol under the influence of flavonoid-3’-hydroxylase and C3 of eriodyctiol under the influence of flavanon-3-hydroxylase. Further, dihydroquercetin [] is converted under the influence of flavonol synthetase into quercetin, due to the formation of the double bond between C2 and C3 in the pyranic nucleus []. Flavanon 3-hydroxylase belongs to the family of enzymes known as dioxygenases. These enzymes use 2-oxoglutarate to catalyze the reactions of adding oxygen to their substrates []. Enzymes that are involved in quercetin biosynthesis are part of the cytochrome-P450 family of enzymes and can be found in the cytoplasmic membrane, mitochondria, or in the membrane of various cytoplasmic organelles such as plastids (chloroplasts), nuclei, and plant vacuoles [].
Studies show that traditional sources of quercetin are increasingly low and are no longer sufficient to meet current demands []. Thus, extracting it from native plants or chemical synthesis in bulk is becoming increasingly difficult []. Currently, quercetin is synthesized by various synthetic methods of metabolic and genetic engineering, using microorganisms as hosts []. This synthesis differs significantly from the biosynthesis produced in plants, which uses specific metabolic pathways for the synthesis of flavonoids. Although microorganisms can produce precursors necessary for the synthesis of aromatic amino acids (phenylalanine), they cannot convert these precursors into polyphenolic compounds via the phenylpropanoid pathway []. The most widely used microorganisms for the production of polyphenols, using metabolic engineering, are the bacterium Escherichia coli and the yeast Saccharomyces cerevisiae. Saccharomyces cerevisiae is a eukaryotic organism, which can undergo post-translational changes (glycosylation) and possesses intracellular compartments similar to plants []. Escherichia coli is generally used in the production of quercetin derivatives: quercetin 3-O-(6-deoxytalose) [], 3-O-xylosyl-quercetin [], quercetin 3-O-rhamnoside, and quercetin 3-O-galactoside [], etc.
By genetic engineering, Marin L. et al. synthesized quercetin in actinomycete organisms (Streptomyces coelicolor and Streptomyces albus) using heterologous expression of their plant biosynthetic gene pathways. For the biosynthesis of quercetin, it was necessary to activate the flavonoid enzyme 3’-hydroxylase. This enzyme favors the introduction of a hydroxyl group on the B nucleus of kaempferol, at the 3’ position. After kaempferol was produced by the host microorganism, the gene encoding the flavonoid enzyme 3’-hydroxylase was cloned into a plasmid (pQR). The new plasmid was transformed into protoplasts of the species Streptomyces albus and Streptomyces coelicolor, which allows the expression of the enzyme. Cultures from recombinant strains that were confirmed as positive were analyzed, by HPLC-MS chromatography, to identify and quantify the quercetin produced [].
The name of quercetin according to IUPAC (International Union of Pure and Applied Chemistry) is 3,3’,4’,5,7-pentahydroxyflavone or 3,3′,4′,5,7-pentahydroxy-2-phenylchromen-4-one [], and has the molecular formula (C15H10O7) []. It is also known as sophoretin [] meletin, xanthaurin, quercetol, or quertine []. According to the chemical structure presented in Table 8, quercetin has the basic skeleton C6-C3-C6, specific to flavonoids, with the difference that in positions 3, 5, 7, 3’, and 4’, it has five hydroxyl groups, in position 4, it has the oxo group, and between C2-C3, there is a double bond []. The presence of the free hydroxyl groups of positions 3, 5, and 7, the resorcinolic ring A, the catecholic ring B, and the double bonds of the oxo group provide quercetin with particularly strong antioxidant properties when it reacts with free radicals [,,].
According to the physicochemical properties, quercetin (Table 9) has a bitter taste; it is a yellow powder, very little soluble in water, with a high molecular weight of 302.24 g/mol [,,,]. The presence of the five hydroxyl groups in the structure makes the quercetin molecule lipophilic. The glycosidic derivatives of quercetin, depending on the nature of the substituents in the structure, can be lipophilic or hydrophilic. The structure of quercetin can be broken down by heating to high temperatures, and when burned, it emits sour smoke and irritating vapors [].
Table 9.
Physicochemical properties of quercetin.
3.3.2. Metabolism, Bioavailability, and Delivery Systems Based on Quercetin
The metabolism of quercetin consists of the transformation of glycoside quercetin into aglycone quercetin after ingestion, chewing, digestion, and absorption under the action of the oral or intestinal flora and the action of β-glycosidases. Aglycone quercetin after hydrolyzing, can easily cross intestinal membranes through the process of passive diffusion, due to lipophilia with the help of the intestinal co-transporter sodium/glucose-1 []. After intestinal absorption, quercetin is metabolized into enterocytes, transported to the liver through the portal vein, and then binds strongly to plasma albumin []. The maximum level of quercetin in plasma is reached after 0.7–7.0 h []. Metabolism products resulting in the small intestine and liver (glucuronidated, methylates, sulfates, 3’-O-monomethyl-quercetin, and 4’-O-monomethyl-quercetin) from the second phase of enzymatic metabolism will be further distributed in the tissues of the body (liver, lungs, kidneys, heart, small intestine), and after the manifestation of the effect, they will be eliminated through the renal, fecal, and respiratory systems [,]. The period of residence of quercetin in the body can vary between 20 and 72 h []. 3-hydroxyphenyl acetic acid, hippuric acid, and benzoic acid [] are considered to be metabolizing byproducts, metabolized in the liver and eliminated from the body via the biliary tract [] or pulmonary []. Quercetin exhibits prolonged elimination from the body, a half-life that can range from 11 to 28 h, and an average terminal half-life of about 3.5 h []. Unabsorbed quercetin is degraded by the colonic microbiota, to phenolic acids that are absorbed, and then transported to the liver for further conjugation [].
Studies show that quercetin has poor bioavailability after oral administration []. Following administration, it may suffer the effect of the first intestinal passage []. Phase II metabolism significantly affects the bioavailability of quercetin in humans, due to the fact that much of it is excessively metabolized in the liver, before reaching the systemic circulatory system []. Normally, after oral administration, the concentration of quercetin in human plasma is very low, in the nanomolar domain, as is the half-life of the metabolites. The elimination time of quercetin is approximately 25 h and may be delayed if co-administered with fat-containing foods []. Plasma concentration and half-life are considered to be increased only if the quercetin dose is increased or given repeatedly [].
According to studies, the low bioavailability of quercetin is due to poor water solubility due to increased lipophilicity, decreased absorption in the gastrointestinal tract, instability in the stomach and intestine, short half-life, low permeability, oxidative degradation, and high effect of the first hepatic passage [,,,,]. These factors, responsible for the low oral bioavailability of quercetin, prevent its use as a pharmaceutical agent in the medical field. To avoid these factors, in recent years, a lot of research has been performed on the development of new delivery systems that improve its bioavailability and solubility, but at the same time increase its biological activities.
Quercetin bioavailability can be improved by including it in various delivery systems such as nanosuspensions, nanoemulsions, self-emulsifying/microemulsifying delivery systems, cocrystals, niosomes, lipogels, liposomes, etc., or by complexing with cyclodextrin [,,,,].
Nanosuspensions and Nanoemulsions
Li H. et al. showed in their study that the oral absorption of quercetin can be significantly improved if it is included in nanosuspensions with phase II metabolic inhibitors, such as piperine and sodium oleate []. Quercetin nanosuspensions obtained using the liquid antisolvent precipitation method showed particle sizes of 202.15 ± 2.45% nm, a zeta potential of −20.26 ± 1.32 mV, and an entrapment efficiency of 95.22 ± 2.45%. Studies conducted on Caco 2 cells showed that cell viability was over 90%, suggesting that the use of quercetin nanosuspension may be safe [].
Quercetin-loaded nanoemulsions obtained by the ultrasonication technique are another way to increase this oral bioavailability. According to an in vivo study conducted on rats, quercetin nanoemulsions produced by Mahadev M. et al. showed a protective and therapeutic effect against streptozotocin-induced diabetes mellitus after 21 days of treatment. They also controlled body weight and blood glucose levels and inhibited high serum lipid levels, tissue damage, and oxidative stress markers []. By complexing and self-assembling quercetin with Tween 80, Captex 355, sodium alginate, and lecithin from soybean, O/W nanoemulsions can be obtained. The results of the stability study showed that the nanoemulsions were stable in the pH range of 6.5–9 during storage at a temperature of 37 °C. The entrapment efficiency was between 56 and 92%, and animal experiments showed that these nanosuspensions can regulate serum and liver cholesterol levels []. The benefit of encapsulating quercetin in O/W nanoemulsions is given by their resistance to gravitational separation, aggregation (flocculation or coalescence), and digestion from the gastrointestinal tract, which increases their bioavailability [].
Self-Emulsifying/Microemulsifying Delivery Systems
The development of self-emulsifying super saturable quercetin delivery systems represents a new strategy to increase its bioavailability. According to Arvind Sirvi et al., by oversaturation, an increased concentration of quercetin in the gastrointestinal lumen can be ensured if HPMC (hypromellose acetate succinate) is introduced into the formulation as an inhibitor of its precipitation in crystalline form []. Jaisamut P. et al., by self-microemulsifying quercetin with Capryol 90, Cremophor EL, and Labrasol, increased the oral bioavailability of quercetin. This was observed following an in vivo pharmacokinetics study in rats where the area under the formulation curve containing quercetin and resveratrol increased approximately ninefold for quercetin and three times for resveratrol, compared with non-formulated compounds. The in vitro cell study showed an antioxidant effect against gastric AGS and intestinal Caco-2 cells and a cytoprotective effect against HT-29 colorectal cancer cells [].
Cocrystals
Using the solvent evaporation technique, Wu N. et al. prepared quercetin cocrystals with different stoichiometries, using nicotinamide as a cocrystal former. Pharmacokinetic studies from in vivo experiments suggested that oral absorption of quercetin could increase by approximately 4-fold if it is included in nicotinamide cocrystals []. Smith A.J. succeeded by cocrystallization to increase the solubility of quercetin–caffeine cocrystal in ethanol/water solvent mixture by 14-fold, compared to quercetin dihydrate [].
Niosomes and Liposomes
Niosomes are composed of nonionic surfactants that self-assemble in aqueous media to form a bilayer structure. These drug carriers are biocompatible, non-immunogenic, and biodegradable. They can be used to encapsulate compounds with low solubility or molecules that can be easily degraded due to their amphiphilic nature []. Murugesan N. et al., increased the bioavailability of quercetin by including it in vector systems, such as niosomes, prepared by the thin film hydration method, using cholesterol and Span 60 [].
The inclusion of quercetin, which is a hydrophobic compound, in lipogels through the absorption process may represent another strategy to increase its bioavailability. Quercetin liposomes were obtained by the thin film rehydration technique, using phosphatidylcholine, after which they were allowed to be absorbed into the semi-interpenetrating polymer network of chitosan and gelatin hydrogel []. Caddeo C. et al. included quercetin in Eudragit-coated liposomes to protect it from the gastric environment and allow it to be delivered to the gut []. Compared to free quercetin, liposomal quercetin was found to be much more effective in reducing ROS production, modulating insulin resistance [], penetrating the blood–brain barrier to manifest neuroprotective effects [], manifesting antitumor effects against colon cancer cells [], and the induction of apoptosis and the reduction epidermal growth receptor factor expression in colorectal cancer cells [].
Inclusion Complexes with β-Cyclodextrins
Another way to increase the solubility and stability of quercetin in water would be to complexify quercetin with β-cyclodextrins [] to form advantageous inclusion complexes []. The use of hydroxypropyl-β-cyclodextrin to prepare quercetin inclusion complexes is advantageous as it increases the water solubility of quercetin by 630-fold []. Wangsawangrung N. et al. encapsulated quercetin in hydroxypropyl-β-cyclodextrin and then included this content in a polyvinyl alcohol-based hydrogel, through the freeze–thaw process. The formulation enhanced the water solubility and stability of quercetin and exhibited an entrapment efficiency of 90.50 ± 1.84% and a loading capacity of 4.67 ± 0.13% []. Papakyriakopoulou P. et al. prepared quercetin and methyl/hydroxypropyl-β-cyclodextrin nasal powders, and then, the inclusion complex was introduced into mannitol/lecithin microparticles by the spray drying method in order to increase the bioavailability of quercetin in the brain. The results of the study showed that in the pH 7.4 environment, at a temperature of 37 °C, the solubility of quercetin in water increased by 19–35 times, and the permeability increased by about 17 and 48 times, compared to that of pure quercetin, and the in vitro release using Franz cells and powder transportation through the nasal mucosa of the rabbit were much faster compared to pure quercetin []. Other ways to increase the bioavailability of quercetin are presented in Table 10.
Table 10.
Ways to increase the bioavailability of quercetin.
3.3.3. Health Benefits of Quercetin
Although the most important action of quercetin is the antioxidant action given by the capture and inactivation of reactive oxygen species (ORS), inhibition of lipid peroxidation, and capture of prooxidant transitional metal ions [,], quercetin is also known to produce other effects: antihypertensive, antiatherogenic, neuroprotective, anticancer, antitumor, antiulcer, antiallergic, antiviral, and antibacterial [,,].
Antioxidant and Anti-Inflammatory Effects
The antioxidant effect of quercetin is due to its ability to neutralize free radicals and prevent oxidative stress. By neutralizing free radicals, it acts as an electron donor, reducing reactive oxygen species (ROS), e.g., hydroxyl radical (OH-), hydrogen peroxide (H2O2), superoxide (O2−), and free radicals, e.g., nitric oxide (NO) and DPPH []. Lesjak M. et al. observed through FRAP (Ferric Reducing Antioxidant Power) and DPPH (2,2-diphenyl-1-picrylhydrazil) studies, that aglyconic quercetin has the greatest antioxidant effect, and in the case of its derivatives, the antioxidant effects increase directly proportional to the number of free hydroxyl groups present in the structure []. Giordano, M.E. and Lionetto, M.G showed, in a study conducted on HeLa cells loaded with ROS-sensitive CM-H, that quercetin had significantly detectable antioxidant capacity at 5 μM and peaked at 25 μM relative to hydrogen peroxide. The antioxidant effect of quercetin could be due to the known anti-radical activity of the catechol group (3′,4’-dihydroxy) of the B ring and the double bond between the carbon 2 and carbon 3 of the C ring conjugated to the keto group at position 4 []. Suematsu, N. et al. investigated the neuroprotective effects of quercetin against H2O2-induced apoptosis in human SH-SY5Y neuronal cells. The results showed that both H2O2-mediated cytotoxicity and lactate dehydrogenase release were suppressed by quercetin. In addition, quercetin increased the expression of the Bcl-2 gene and inhibited the activation of caspase, which leads to DNA fragmentation, the appearance of apoptosis, and subsequent cell death [].
Studies show that oxidative stress can activate several transcription factors that can influence the genes involved in inflammatory pathways differently. Thus, the most important transcription factor is nuclear factor kappa B (NF-κB), which is normally bound to IκB proteins in the cytoplasm and thus is in an inactive form. When ROS enter cells through membrane receptors, they can degrade the IκB protein by phosphorylation, following the activation of NF-κB kinase (IKK). Once degraded, NF-κB is activated and then translocated to the nucleus, where it binds to the DNA consensus sequence of various target genes, which are involved in the inflammatory process (tumor necrosis factor (TNF)-α, interleukin (IL)-1β and IL-6) []. Due to its ability to reduce oxidative stress, quercetin may protect cells from lipopolysaccharide-induced lung damage, according to lung epithelial cell studies. Quercetin can also almost completely reduce the levels of mRNA and NOX2 (ROS-generating enzyme) in lung epithelial cells. It can suppress the nuclear translocation of NF-κB and inhibit the expression of pro-inflammatory cytokines such as TNF-α and IL-1β []. In another study conducted on glial cells, quercetin along with resveratrol was observed to decrease lipopolysaccharide-induced mRNA levels of two pro-inflammatory genes, IL1-α and TNF-α. This may suggest that resveratrol and quercetin protected dopaminergic neuronal cells from inflammation-mediated apoptotic death []. Another study showed that quercetin can exhibit an anti-inflammatory effect in vivo, which was due to the inhibition of cyclooxygenase-1 (COX-1) and lipoxygenase-12 (LOX-12) enzymes, both of which are involved in inflammatory processes. COX-1 is the enzyme involved in the conversion of arachidonic acid to prostaglandins, which are mediators of inflammation. By inhibiting COX-1, quercetin reduces the production of pro-inflammatory prostaglandins, thereby reducing inflammation. LOX-12 is the enzyme involved in the synthesis of leukotrienes, which are other pro-inflammatory substances. By inhibiting this enzyme, quercetin contributes to lowering leukotriene levels, thus having an anti-inflammatory effect. By inhibiting these enzymes, quercetin can thus reduce the activation of macrophages and neutrophils [].
The biosynthesis of prostaglandins and nitric oxide is involved in inflammation, and the inducible isoforms of nitric oxide synthase (iNOS) and cyclooxygenase (COX-2) are responsible for producing large amounts of these pro-inflammatory mediators. C-reactive protein (CRP) is an acute-phase protein synthesized by hepatocytes, and its elevated serum levels are seen as a sign of chronic inflammation. According to studies on cells derived from human Chang Liver hepatocytes (CHL), quercetin can decrease the production of inflammatory molecules COX-2, nuclear factor-kappa B (NF-κB), activator protein 1 (AP-1), mitogen-activated protein kinase (MAPK), nitric oxide reactive synthase (NOS), and C-reactive protein (CRP) []. In experimental models on mice sensitized to ovalbumin, it was observed that quercetin can be used for the clinical treatment and prevention of allergic diseases, such as allergic rhinitis and allergic conjunctivitis through several mechanisms of action. It modulated the immune response by balancing the activity of T helper 1 and T helper 2 cells. If there is an imbalance between these cells, then an excessive amount of IgE antibodies is secreted in the body, which are involved in triggering allergic reactions. Another observation was that it inhibited the activity of inflammatory mediators: eosinophils, neutrophils, and macrophages, thus being able to alleviate the two allergic symptoms. By inhibiting the NF-κB signaling pathway, quercetin reduced the expression of inflammatory mediators such as COX-2, p-IKBα, and nuclear-p65, thus contributing to the reduction of inflammation [].
Neuroprotective Effect
In a study conducted on rats, the neuroprotective effect of quercetin, in combination with piperine, in the symptoms of Parkinson’s disease, induced by rotenone and iron supplementation, was highlighted. The study showed that quercetin prevents dopaminergic neuronal degeneration induced by rotenone and iron supplementation, either by controlling ROS production, by producing anti-inflammatory mechanisms, or by mitochondrial energy restoration mechanisms. The antioxidant effect of quercetin on neuronal cells was observed as a result of increasing the level of GSH, decreasing the level of malondialdehyde and nitrates, and through the ability to chelate Fe ions []. A series of studies claim that quercetin, through its ability to neutralize and eliminate ROS, can prevent damage to lipids in neuronal cells, stimulate the enzymatic systems (superoxide dismutase and catalase) of defense, and inhibit the activity of microglial cells [,]. According to Zaplatic E. et al., they showed that inactivating nuclear factor erythroid 2 (Nfr2), inactivating c-Jun N-terminal kinase (JNK), activating mitogen-activated protein kinase (MAPK), and inactivating phosphoinositide 3 kinase (PI3K) quercetin can regulate the production of pro-inflammatory cytokines (shown in Figure 6) in neurons [].
Figure 6.
Schematic representation of quercetin’s role in Alzheimer’s disease pathogenesis (scheme prepared with the Biorender program). Legend: Q—quercetin, JNK—c-Jun N-terminal Kinases, TAU—TAU protein, AChE—acetylcholinesterase, PI3K—Phosphoinositide 3 Kinase, Akt—protein kinase B, ΒACE1-secretase—β-Secretase 1, Aβ—β amyloid, VEGF—Vascular Endothelial Growth Factor, MKK3/6—mitogen-activated protein kinases 3 and 6, p38—protein kinase 38, MAPK—mitogen-activated protein kinases, SOD—superoxide dismutase, NADPH—Nicotinamide Adenine Dinucleotide Phosphate, ROS—reactive oxygen species, Nrf2—nuclear factor erythroid 2, ARE—Antioxidant Response Element.
Alzheimer’s disease is a chronic neurodegenerative disease, which results in the destruction of neurons in the cerebral cortex and some subcortical structures. Alzheimer’s disease is characterized by the appearance of senile wounds (made up of beta-amyloid (Aβ)). Aβ is a constituent part of a protein called amyloid precursor protein (APP), which plays an important role in the development, survival, and post-injury repair of neurons. As a result of the splitting of APP into smaller fragments under the influence of enzymes, Aβ is born, which can self-assemble into thick extracellular deposits known as senile/amyloid plaques []. In a study in mice, it was observed that i.p. administration of quercetin at doses of 25 mg/kg leads to decreased extracellular β-amyloidosis, tauopathy, astrogliosis, and microgliosis. It has also been observed to reduce the levels of paired helical filament (PHF), β-amyloid (βA) 1-40, and βA 1-42 and decreases the BACE1-mediated fragmentation of APP (shown in Figure 6) []. In other studies, it was observed that quercetin can inhibit acetylcholinesterase (AChE), but it has the role of breaking down acetylcholine in neuronal cells []. By encapsulating quercetin in nanoparticles, the bioavailability in the affected neurons and its ability to cross the blood–brain barrier was increased, countering the degenerative effects induced by Alzheimer’s disease. By inhibiting AChE, acetylcholine levels in synapses increase because the enzyme no longer can break down acetylcholine, which can improve signal transmission between neurons [].
Antiosteoporosis Effect
Quercetin can inhibit bone resorption and promote bone formation []. The association of quercetin in pharmaceutical formulations with curcumin and polydatin can have a positive impact on health. This combination lowers the levels of two microRNAs (miR-21 and miR-146a) that play a role in inflammation. It also reduces the release of pro-inflammatory cytokines, promotes bone-building cell activity, and supports bone formation and mineralization. Additionally, it blocks the activation of certain proteins (p38 mitogen-activated protein kinase and nuclear factor-kappa B) that contribute to inflammation and bone breakdown. Overall, this combination helps reduce inflammation and improves bone health []. Lai et al., in an experiment on non-ovulating female rats, combined 2000 mg/kg of quercetin with 2400 IU/kg of vitamin D, 400 mg/kg of resveratrol, and 1040 mg/kg of genistein. This combination promoted an increase in bone mineral density and improved bone trabecular structure, leading to reduced bone loss associated with the postmenopausal stage [].
Antihypertensive Effect
According to scientific and clinical information on humans and laboratory animals, quercetin is currently considered a natural remedy. It improves mental and physical performance, reduces the risk of infections, eliminates oxygen free radicals, protects the body from chelation of metal ions, has an antiplatelet effect, and protects arteriolar microcirculation from ischemic lesions producing vasodilation [,,,].
Due to its vasodilator action and property to inhibit the production of 8-iso-prostaglandin F2α (a potent vasoconstrictor hormone), Abdelghaffar et al. observed in a study in hypertensive rats that quercetin can reduce systolic and diastolic blood pressure and can also decrease ventricular hypertrophy of renal and vascular lesions []. In the British Journal of Nutrition, it was shown that taking 730 mg/day of quercetin for 12 weeks resulted in a significant decrease in blood pressure in adults and overweight and obese people who had stage I hypertension []. Mackraj et al. compared the long-term antihypertensive effects of captopril with those of quercetin using rats. After 4 weeks, a significant decrease in blood pressure was observed, both in the groups treated with quercetin and in those treated with captopril. The decrease in blood pressure was also accompanied by the downregulation of the angiotensin-I receptor in the kidneys, an increase in urine volume, and an increase in urinary sodium excretion []. Hackl L.P.N et al. showed that quercetin can inhibit angiotensin-converting enzyme activity by modulating the cardiovascular response to angiotensin I (as shown in Figure 7). In addition, the researchers observed a 31% decrease in angiotensin-converting enzyme (ACE) activity after intravenous treatment of rats with quercetin (0.1 nmol/kg). These results suggest that quercetin may exhibit an ACE-inhibiting effect, similar to that of captopril, which explains some of its beneficial effects on blood pressure regulation [].
Figure 7.
Possible mechanisms of action demonstrated in vitro and in vivo by which quercetin (Q) may interact with the renin–angiotensin–aldosterone system to lower blood pressure (scheme prepared with the Biorender). Legend: Q-ACE—quercetin inhibits the angiotensin-converting enzyme, Q-AT 1 receptor—quercetin downregulation the angiotensin 1 receptor.
Anti-Obesity Effect
Regarding obesity, studies in mice claim that quercetin has the ability to inhibit adipocyte differentiation and adipogenesis and that it can increase thermogenesis and improve lipolysis, which may favor increased energy expenditure. Recent findings indicate that quercetin enhances the expression of uncoupling protein 1 (UCP1) in brown adipose tissue (BAT), a key regulator of nonshivering thermogenesis. The activation of β3-adrenergic receptors (ADRB3) and the downstream signaling pathways, including protein kinase A (PKA) and AMP-activated protein kinase (AMPK), further supports the role of quercetin in promoting energy expenditure. Additionally, quercetin has been shown to increase the phosphorylation of hormone-sensitive lipase (HSL) and carnitine palmitoyltransferase 1 (CPT1α), facilitating lipid mobilization and oxidation. These mechanisms collectively contribute to enhanced metabolic activity and could provide a therapeutic strategy for managing obesity and related metabolic disorders [].
Ahmed H. H. et al. studied the effects of quercetin and curcumin in the prevention of obesity by encapsulating them in PLGA nanoparticles with chitosan and polyethylene glycol (PEG). Following the treatment, a decrease in the weight of gonadal and subcutaneous adipose tissue, an improvement in the lipid profile, a reduction in serum levels of total cholesterol, triglycerides, and LDL, and an increase in HDL were observed. Decreases in glucose, insulin, and HOMA-IR (homeostatic model assessment of insulin resistance) levels, reduced levels of MDA (malondialdehyde), TLR4 (toll-like receptor 4), and NF-κB, as well as increased total antioxidant capacity [], have also been observed.
Anticancer and Antitumor Effects
Quercetin is also considered a good anticancer agent that can be used as a complement/alternative medication in the prevention and treatment of cancer []. Mirzaei et al. highlighted in vitro the antitumor effect of quercetin on PC-3 and LNCaP prostate cancer cell lines. The test results showed that quercetin significantly increased the rate of apoptosis in the PC-3 and LNCaP cell lines, inhibited cell proliferation by reducing the number of colonies, and exerted dose- and time-dependent cytotoxic effects. It was also observed that quercetin increased the rate of apoptotic cell death, which is beneficial in cancer-fighting studies, as apoptosis prevents cancer cells from multiplying and spreading. It affected the cell cycle of cancer cells, particularly their division and reproduction, in the sub-G1/G1 phase. Thus, quercetin prevented cancer cells from progressing to the S phase, where DNA replication occurs, from the G1 phase. Consequently, in the sub-G1 phase, programmed cell self-destruction (apoptosis) was induced. Another observation was that quercetin inhibited antiapoptotic pathways (the tumor progression biomarkers OPN a/b, KLK2, and the apoptosis-inducing marker P53), through which cancer cells protect themselves from apoptosis. All these results highlighted the antitumor effect of quercetin through the mechanism of inducing apoptosis and inhibiting antiapoptotic pathways []. Guan X. et al. tested the therapeutic efficacy of poly(lactate-co-glycolate) acid (PLGA) nanoparticles and D-alpha-tocopheryl polyethylene glycol succinate 1000 (TPGS) loaded with quercetin in liver cancer. The results obtained in vivo demonstrated that intravenous administration of quercetin nanoparticles was phagocytosed by the lysosomes of Kupffer cells in the liver (shown in Figure 8), releasing quercetin. After 0.5 h, this reached the tumor cells and reduced tumor development by 59.07%. The results obtained in vitro demonstrated that nanoparticles induced the death of HepG2 liver cancer cells in a concentration-dependent manner [].
Figure 8.
Study on the administration of quercetin-loaded PLGA-TPGS nanoparticles in targeted therapy for liver cancer (scheme prepared with the Biorender program). Legend: HCaF—Hepatocellular Carcinoma Fibroblast, QCPTN—quercetin-loaded PLGA-TPGS, Peg 400—polyethylene glycol 400, LSEC—Liver Sinusoidal Endothelial Cell, RES—Reticuloendothelial System.
Antibacterial Effect
The antimicrobial effect of quercetin on Gram-positive and Gram-negative bacteria may be due to its ability to disintegrate the cell wall and cell membrane. Using transmission electron microscopy (TEM), it was observed that the damaged cell wall of Escherichia coli exhibited numerous structural abnormalities, such as its prominent lysis, cell distortion, and leakage of cytoplasmic materials. Also, the cytoplasmic membrane was separated from the cell wall, and the density of the endochylem was uneven. All these things led to further cell death []. Similarly, in Staphylococcus aureus, significant cell wall disruptions, thinning of cell membranes, chromatin lysis, leakage of endochylem contents, uneven endochylem density, shedding of extracellular pili, and nuclear cavitation were observed [].
Another mechanism of action of quercetin on bacteria is the ability to inhibit the synthesis of deoxyribonucleic acid by inhibiting bacterial DNA-gyrase, which ultimately leads to nucleoid and chromatin lysis. By blocking the ATP located in the membrane or cytoplasmic organelles, disturbances occur in the exchange of information, the active transport of compounds across the membrane, and the transfer of energy. By altering the permeability of the cell wall and inhibiting these enzymes, reproductive activity is blocked, developmental disruption occurs, and ultimately, bacterial cell death []. In other studies, quercetin in combination with various antibiotics produced an antibacterial effect on Pseudomonas aeruginosa manifested by disturbing the integrity of the cell wall, altering bacterial morphology, loss of porin, and inhibition of the efflux pump []. In Klebsiella pneumoniae, quercetin disrupts the structure and integrity of the cell wall []. According to the literature, quercetin exhibits several mechanisms of action that contribute to its antimicrobial properties. It can inhibit cell envelope synthesis by targeting fatty acid synthase (FAS) and disrupting peptidoglycan synthesis (1). Additionally, quercetin disrupts bacterial cell membranes (2) and interferes with nucleic acid synthesis by inhibiting DNA gyrase. Moreover, quercetin can inhibit bacterial virulence factors, including toxins. Its flavonoid nature allows it to inhibit efflux pumps, which can help reverse antimicrobial resistance and can also inhibit ATP synthase. These multifaceted actions underscore quercetin’s potential as an antimicrobial agent (Figure 9) [,] due to its flavonoid nature (Figure 9) [,].
Figure 9.
Quercetin’s mechanism action on Gram-positive and Gram-negative bacteria (image adapted from [,], prepared with Biorender). Legend: Q—quercetin, FAS—fatty acid synthase, PG—peptidoglycan, CM—cytoplasmic membrane, ATP—adenosine diphosphate, ADP—adenosine triphosphate.
Antifungal Effect
Quercetin can be used in the treatment of fungal infections because, according to studies, it can induce apoptosis in fungal cells by affecting the functioning of mitochondria. It can inhibit the activity of proteolytic enzymes, and it can interfere with the adhesion mechanisms on the surface of the host cell, limiting the colonization of tissues by Candida albicans. Also, it can inhibit the formation of biofilm by sensitizing fungal cells to antifungal treatment []. Gao M. et al. showed that quercetin exhibits a strong synergic antifungal effect in combination with fluconazole against fluconazole-resistant Candida albicans isolates [] or, if encapsulated, by electrospinning in PLGA—poly(D,L-lactide-co-glycolide)—and PCL—poly(ε-caprolactone)—nanofibers, without showing toxicity to HEK-293 (Human Embryonic Kidney 293) cells []. By introducing quercetin into liposomes alongside gallic acid, Giordani, B. et al. showed that quercetin’s antifungal effect on Candida albicans is much more pronounced than quercetin-only liposomes []. The minimum inhibitory concentration (MIC) of quercetin, found by Rocha et al., against the Candida parapsilosis complex consisting of C. parapsilosis, C. orthopsilosis, and C. metapsilosis was between 0.5 and 16 μg/mL. Among these strains, the antifungal effect of quercetin was more pronounced on C. metapsilosis biofilms, according to CLSM (confocal laser scanning microscopy) analysis, in terms of biomass, roughness coefficient, maximum thickness, and thickness of the entire area [].
3.3.4. Safety, Dosage, and Drug Interactions
The average intake of aglyconic flavonoids without tearubigens is considered to be between 150 and 600 mg/day worldwide [], and the average dietary intake of quercetin is considered to be between 4.37 and 18.48 mg/day. However, the values of this intake may vary from country to country depending on gender and age [].
The intake of quercetin based on the consumption of fruits and vegetables can vary between 5 and 100 mg/day depending on their type and the amount consumed. In the case of high consumption of foods rich in quercetin (onions or apples), the intake can be 5 times higher. Studies claim that the consumption of fats and foods rich in pectins, lecithins, and oligosaccharides increases the absorption of quercetin in the body. In clinical trials, quercetin is used in a concentration of 500–1000 mg/day, in divided doses, and as a dietary supplement in doses of 50 mg, 100 mg, and 500 mg [].
The recommended dose of quercetin for adults is between 100 and 250 mg taken three times a day but can vary from region to region []. It is contraindicated for use by pregnant, breastfeeding women and people with kidney disease. Studies have shown that quercetin may interact with ciprofloxacin or levofloxacin due to affinity for bacterial DNA-gyrase situs. Therefore, due to the same site of action, it can act as a competitive inhibitor of quinolone antibiotics and therefore decrease their efficacy []. Other studies show that quercetin is a potent inhibitor of CYP3A4 and therefore may increase serum concentrations of drugs metabolized by this enzyme (statins, certain antidepressants) and their toxicity [,]. It can also affect the pharmacokinetics of drugs that are substrates for P-glycoprotein (e.g., immunosuppressants) [].
4. Conclusions
Quercetin is a safe, natural antioxidant with a flavonol chemical structure and the ability to eliminate free radicals and combat oxidative stress. By manifesting this effect, quercetin may be a key in combating age-related diseases and other conditions influenced by cell damage. In addition, by inhibiting cytokines and inflammatory enzymes, it paves the way for application in the treatment of inflammatory conditions such as asthma or allergies. It can also prevent the proliferation of cancer cells and trigger apoptosis in various types of cancer, including liver, breast, prostate cancer, etc. Although studies have highlighted some beneficial effects of quercetin, its absorption, solubility, and poor stability can negatively influence its bioavailability in the body. Thus, researchers have succeeded in various innovative strategies to improve the bioactivity of quercetin by encapsulation in systems (liposomes, emulsions, or suspensions) or by complexation with cyclodextrins. According to the data provided in this paper, we believe that quercetin has the potential to become a valuable therapeutic agent in modern medicine.
Author Contributions
Conceptualization, O.-D.F., N.D., E.M., and F.M.; methodology, L.S., C.M.M., I.L.D., and L.V.; writing—original draft preparation, O.-D.F., L.S., I.L.D., E.M., L.V., and F.M.; writing—review and editing, C.M.M. and N.D. All authors have read and agreed to the published version of the manuscript.
Funding
Support was provided by the University of Oradea through the grant competition “Scientific Research of Excellence Related to Priority Areas with Capitalization through Technology Transfer: INO TRANSFER—UO”. Project no. 258/2022.
Data Availability Statement
No new data were created or analyzed in this study.
Conflicts of Interest
The authors declare no conflicts of interest.
References
- Alseekh, S.; Perez de Souza, L.; Benina, M.; Fernie, A.R. The style and substance of plant flavonoid decoration; towards defining both structure and function. Phytochemistry 2020, 174, 112347. [Google Scholar] [CrossRef] [PubMed]
- Guerriero, G.; Berni, R.; Muñoz-Sanchez, J.A.; Apone, F.; Abdel-Salam, E.M.; Qahtan, A.A.; Alatar, A.A.; Cantini, C.; Cai, G.; Hausman, J.F.; et al. Production of Plant Secondary Metabolites: Examples, Tips and Suggestions for Biotechnologists. Genes 2018, 9, 309. [Google Scholar] [CrossRef] [PubMed]
- Akula, R.; Ravishankar, G.A. Influence of abiotic stress signals on secondary metabolites in plants. Plant Signal. Behav. 2011, 6, 1720–1731. [Google Scholar] [CrossRef] [PubMed]
- Yeshi, K.; Crayn, D.; Ritmejerytė, E.; Wangchuk, P. Plant Secondary Metabolites Produced in Response to Abiotic Stresses Has Potential Application in Pharmaceutical Product Development. Molecules 2022, 27, 313. [Google Scholar] [CrossRef]
- Bose, S.; Sarkar, D.; Bose, A.; Mandal, S.C.J.T.P.R. Natural flavonoids and its pharmaceutical importance. Pharma Rev. 2018, 94, 61–75. [Google Scholar]
- Formica, J.V.; Regelson, W. Review of the biology of quercetin and related bioflavonoids. Food Chem. Toxicol. 1995, 33, 1061–1080. [Google Scholar] [CrossRef]
- Malik, S.; Moraes, D.F.C.; do Amaral, F.M.M.; Ribeiro, M.N.S. Ruta graveolens: Phytochemistry, Pharmacology, and Biotechnology. In Transgenesis and Secondary Metabolism; Jha, S., Ed.; Springer International Publishing: Cham, Switzerland, 2016; pp. 1–28. [Google Scholar] [CrossRef]
- Boue, S.M.; Cleveland, T.E.; Carter-Wientjes, C.; Shih, B.Y.; Bhatnagar, D.; McLachlan, J.M.; Burow, M.E. Phytoalexin-Enriched Functional Foods. J. Agric. Food Chem. 2009, 57, 2614–2622. [Google Scholar] [CrossRef]
- Crozier, A.; Jaganath, I.B.; Clifford, M.N. Phenols, Polyphenols and Tannins: An Overview. In Plant Secondary Metabolites; John Wiley & Sons: Hoboken, NJ, USA, 2006; pp. 1–24. [Google Scholar] [CrossRef]
- Panche, A.N.; Diwan, A.D.; Chandra, S.R. Flavonoids: An overview. J. Nutr. Sci. 2016, 5, e47. [Google Scholar] [CrossRef]
- Stănescu, U.; Hăncianu, M.; Gîrd, C.E. Farmacognozie. Produse Vegetale cu Substanțe Bioactive; Editura Ploirom: Iasi, Romania, 2020. [Google Scholar]
- Agbo, M.O.; Uzor, P.F.; Akazie Nneji, U.N.; Eze Odurukwe, C.U.; Ogbatue, U.B.; Mbaoji, E.C. Antioxidant, Total Phenolic and Flavonoid Content of Selected Nigerian Medicinal Plants. Dhaka Univ. J. Pharm. Sci. 2015, 14, 35–41. [Google Scholar] [CrossRef]
- Dejeu, I.L.; Vicaș, L.G.; Vlaia, L.L.; Jurca, T.; Mureșan, M.E.; Pallag, A.; Coneac, G.H.; Olariu, I.V.; Muț, A.M.; Bodea, A.S.; et al. Study for Evaluation of Hydrogels after the Incorporation of Liposomes Embedded with Caffeic Acid. Pharmaceuticals 2022, 15, 175. [Google Scholar] [CrossRef]
- Kaur, S.; Mondal, P. Study of total phenolic and flavonoid content, antioxidant activity and antimicrobial properties of medicinal plants. J. Microbiol. Exp. 2014, 1, 23–28. [Google Scholar] [CrossRef]
- Yang, B.; Dong, Y.; Wang, F.; Zhang, Y. Nanoformulations to Enhance the Bioavailability and Physiological Functions of Polyphenols. Molecules 2020, 25, 4613. [Google Scholar] [CrossRef] [PubMed]
- Septembre-Malaterre, A.; Boumendjel, A.; Seteyen, A.S.; Boina, C.; Gasque, P.; Guiraud, P.; Sélambarom, J. Focus on the high therapeutic potentials of quercetin and its derivatives. Phytomedicine Plus Int. J. Phytother. Phytopharm. 2022, 2, 100220. [Google Scholar] [CrossRef] [PubMed]
- Lakhanpal, P.; Rai, D.K. Quercetin: A versatile flavonoid. Internet J. Med. Update 2007, 2, 22–37. [Google Scholar] [CrossRef]
- Ross, J.A.; Kasum, C.M. Dietary flavonoids: Bioavailability, metabolic effects, and safety. Annu. Rev. Nutr. 2002, 22, 19–34. [Google Scholar] [CrossRef]
- Chen, W.; Zou, M.; Ma, X.; Lv, R.; Ding, T.; Liu, D. Co-Encapsulation of EGCG and Quercetin in Liposomes for Optimum Antioxidant Activity. J. Food Sci. 2019, 84, 111–120. [Google Scholar] [CrossRef]
- Mukhopadhyay, P.; Maity, S.; Chakraborty, S.; Rudra, R.; Ghodadara, H.; Solanki, M.; Chakraborti, A.S.; Prajapati, A.K.; Kundu, P.P. Oral delivery of quercetin to diabetic animals using novel pH responsive carboxypropionylated chitosan/alginate microparticles. RSC Adv. 2016, 6, 73210–73221. [Google Scholar] [CrossRef]
- Najaf Najafi, N.; Armide, N.; Akbari, A.; Baradaran Rahimi, V.; Askari, V.R. Quercetin a promising functional food additive against allergic Diseases: A comprehensive and mechanistic review. J. Funct. Foods 2024, 116, 106152. [Google Scholar] [CrossRef]
- Mukhopadhyay, P.; Prajapati, A.K. Quercetin in anti-diabetic research and strategies for improved quercetin bioavailability using polymer-based carriers—A review. RSC Adv. 2015, 5, 97547–97562. [Google Scholar] [CrossRef]
- Yang, D.; Wang, T.; Long, M.; Li, P. Quercetin: Its Main Pharmacological Activity and Potential Application in Clinical Medicine. Oxidative Med. Cell. Longev. 2020, 2020, 8825387. [Google Scholar] [CrossRef]
- Lyu, Y.L.; Zhou, H.F.; Yang, J.; Wang, F.X.; Sun, F.; Li, J.Y. Biological Activities Underlying the Therapeutic Effect of Quercetin on Inflammatory Bowel Disease. Mediat. Inflamm. 2022, 2022, 5665778. [Google Scholar] [CrossRef] [PubMed]
- Aghababaei, F.; Hadidi, M. Recent Advances in Potential Health Benefits of Quercetin. Pharmaceuticals 2023, 16, 1020. [Google Scholar] [CrossRef] [PubMed]
- Srinivas, K.; King, J.W.; Howard, L.R.; Monrad, J.K. Solubility and solution thermodynamic properties of quercetin and quercetin dihydrate in subcritical water. J. Food Eng. 2010, 100, 208–218. [Google Scholar] [CrossRef]
- Wang, Y.; Tao, B.; Wan, Y.; Sun, Y.; Wang, L.; Sun, J.; Li, C. Drug delivery based pharmacological enhancement and current insights of quercetin with therapeutic potential against oral diseases. Biomed. Pharmacother. 2020, 128, 110372. [Google Scholar] [CrossRef] [PubMed]
- Burlou-Nagy, C.; Bănică, F.; Negrean, R.A.; Jurca, T.; Vicaș, L.G.; Marian, E.; Bácskay, I.; Kiss, R.; Fehér, P.; Vicaș, S.I.; et al. Determination of the Bioactive Compounds from Echinacea purpurea (L.) Moench Leaves Extracts in Correlation with the Antimicrobial Activity and the In Vitro Wound Healing Potential. Molecules 2023, 28, 5711. [Google Scholar] [CrossRef]
- Tan, B.J.; Liu, Y.; Chang, K.L.; Lim, B.K.; Chiu, G.N. Perorally active nanomicellar formulation of quercetin in the treatment of lung cancer. Int. J. Nanomed. 2012, 7, 651–661. [Google Scholar] [CrossRef]
- Güleç, K.; Demirel, M. Characterization and Antioxidant Activity of Quercetin/Methyl-β-Cyclodextrin Complexes. Curr. Drug Deliv. 2016, 13, 444–451. [Google Scholar] [CrossRef]
- AbouAitah, K.; Swiderska-Sroda, A.; Farghali, A.A.; Wojnarowicz, J.; Stefanek, A.; Gierlotka, S.; Opalinska, A.; Allayeh, A.K.; Ciach, T.; Lojkowski, W. Folic acid-conjugated mesoporous silica particles as nanocarriers of natural prodrugs for cancer targeting and antioxidant action. Oncotarget 2018, 9, 26466–26490. [Google Scholar] [CrossRef]
- Zhang, X.-W.; Chen, J.-Y.; Ouyang, D.; Lu, J.-H. Quercetin in Animal Models of Alzheimer’s Disease: A Systematic Review of Preclinical Studies. Int. J. Mol. Sci. 2020, 21, 493. [Google Scholar] [CrossRef]
- Kumar, S.; Pandey, A.K. Chemistry and Biological Activities of Flavonoids: An Overview. Sci. World J. 2013, 2013, 162750. [Google Scholar] [CrossRef]
- Boots, A.W.; Haenen, G.R.M.M.; Bast, A. Health effects of quercetin: From antioxidant to nutraceutical. Eur. J. Pharmacol. 2008, 585, 325–337. [Google Scholar] [CrossRef] [PubMed]
- Liga, S.; Paul, C.; Péter, F. Flavonoids: Overview of Biosynthesis, Biological Activity, and Current Extraction Techniques. Plants 2023, 12, 2732. [Google Scholar] [CrossRef] [PubMed]
- Mahmud, A.R.; Ema, T.I.; Siddiquee, M.F.; Shahriar, A.; Ahmed, H.; Mosfeq-Ul-Hasan, M.; Rahman, N.; Islam, R.; Uddin, M.R.; Mizan, M.F.R. Natural flavonols: Actions, mechanisms, and potential therapeutic utility for various diseases. Beni-Suef Univ. J. Basic Appl. Sci. 2023, 12, 47. [Google Scholar] [CrossRef] [PubMed]
- Ali, A.; Parisi, A.; Normanno, G. Polyphenols as Emerging Antimicrobial Agents. In Emerging Modalities in Mitigation of Antimicrobial Resistance; Akhtar, N., Singh, K.S., Prerna, Goyal, D., Eds.; Springer International Publishing: Cham, Switzerland, 2022; pp. 219–259. [Google Scholar] [CrossRef]
- Hackman, R.M.; Polagruto, J.A.; Zhu, Q.Y.; Sun, B.; Fujii, H.; Keen, C.L. Flavanols: Digestion, absorption and bioactivity. Phytochem. Rev. 2008, 7, 195–208. [Google Scholar] [CrossRef]
- Singla, R.K.; Dubey, A.K.; Garg, A.; Sharma, R.K.; Fiorino, M.; Ameen, S.M.; Haddad, M.A.; Al-Hiary, M. Natural Polyphenols: Chemical Classification, Definition of Classes, Subcategories, and Structures. J. AOAC Int. 2019, 102, 1397–1400. [Google Scholar] [CrossRef]
- Jasim, H.A.; Nahar, L.; Jasim, M.A.; Moore, S.A.; Ritchie, K.J.; Sarker, S.D. Chalcones: Synthetic Chemistry Follows Where Nature Leads. Biomolecules 2021, 11, 1203. [Google Scholar] [CrossRef]
- Tapas, A.R.; Sakarkar, D.M.; Kakde, R.B. Flavonoids as nutraceuticals: A review. Trop. J. Pharm. Res. 2008, 7, 1089–1099. [Google Scholar] [CrossRef]
- Hostetler, G.L.; Ralston, R.A.; Schwartz, S.J. Flavones: Food Sources, Bioavailability, Metabolism, and Bioactivity. Adv. Nutr. 2017, 8, 423–435. [Google Scholar] [CrossRef]
- Kim, Y.; Kim, J.; He, M.; Lee, A.; Cho, E. Apigenin Ameliorates Scopolamine-Induced Cognitive Dysfunction and Neuronal Damage in Mice. Molecules 2021, 26, 5192. [Google Scholar] [CrossRef]
- Fu, R.; Wang, L.; Meng, Y.; Xue, W.; Liang, J.; Peng, Z.; Meng, J.; Zhang, M. Apigenin remodels the gut microbiota to ameliorate ulcerative colitis. Front. Nutr. 2022, 9, 1062961. [Google Scholar] [CrossRef]
- Babaei, F.; Moafizad, A.; Darvishvand, Z.; Mirzababaei, M.; Hosseinzadeh, H.; Nassiri-Asl, M. Review of the effects of vitexin in oxidative stress-related diseases. Food Sci. Nutr. 2020, 8, 2569–2580. [Google Scholar] [CrossRef] [PubMed]
- Noor, K.K.; Ijaz, M.U.; Ehsan, N.; Tahir, A.; Yeni, D.K.; Neamul Kabir Zihad, S.M.; Uddin, S.J.; Ashraf, A.; Simal-Gandara, J. Hepatoprotective role of vitexin against cadmium-induced liver damage in male rats: A biochemical, inflammatory, apoptotic and histopathological investigation. Biomed. Pharmacother. 2022, 150, 112934. [Google Scholar] [CrossRef] [PubMed]
- Muruganathan, N.; Dhanapal, A.R.; Baskar, V.; Muthuramalingam, P.; Selvaraj, D.; Aara, H.; Shiek Abdullah, M.Z.; Sivanesan, I. Recent Updates on Source, Biosynthesis, and Therapeutic Potential of Natural Flavonoid Luteolin: A Review. Metabolites 2022, 12, 1145. [Google Scholar] [CrossRef] [PubMed]
- Ahmad, S.; Jo, M.H.; Ikram, M.; Khan, A.; Kim, M.O. Deciphering the Potential Neuroprotective Effects of Luteolin against Aβ1–42-Induced Alzheimer’s Disease. Int. J. Mol. Sci. 2021, 22, 9583. [Google Scholar] [CrossRef] [PubMed]
- Ali, F.; Rahul; Naz, F.; Jyoti, S.; Siddique, Y.H. Health functionality of apigenin: A review. Int. J. Food Prop. 2017, 20, 1197–1238. [Google Scholar] [CrossRef]
- Shukla, S.; Gupta, S. Apigenin: A promising molecule for cancer prevention. Pharm. Res. 2010, 27, 962–978. [Google Scholar] [CrossRef]
- Mak, P.; Leung, Y.K.; Tang, W.Y.; Harwood, C.; Ho, S.M. Apigenin Suppresses Cancer Cell Growth through ERβ. Neoplasia 2006, 8, 896–904. [Google Scholar] [CrossRef]
- Salehi, B.; Venditti, A.; Sharifi-Rad, M.; Kręgiel, D.; Sharifi-Rad, J.; Durazzo, A.; Lucarini, M.; Santini, A.; Souto, E.B.; Novellino, E.; et al. The therapeutic potential of apigenin. Int. J. Mol. Sci. 2019, 20, 1305. [Google Scholar] [CrossRef]
- Poureini, F.; Mohammadi, M.; Najafpour, G.D.; Nikzad, M. Comparative study on the extraction of apigenin from parsley leaves (Petroselinum crispum L.) by ultrasonic and microwave methods. Chem. Pap. 2020, 74, 3857–3871. [Google Scholar] [CrossRef]
- Emad, A.M.; Rasheed, D.M.; El-Kased, R.F.; El-Kersh, D.M. Antioxidant, Antimicrobial Activities and Characterization of Polyphenol-Enriched Extract of Egyptian Celery (Apium graveolens L., Apiaceae) Aerial Parts via UPLC/ESI/TOF-MS. Molecules 2022, 27, 698. [Google Scholar] [CrossRef]
- Wu, Y.; Song, F.; Li, Y.; Li, J.; Cui, Y.; Hong, Y.; Han, W.; Wu, W.; Lakhani, I.; Li, G.; et al. Acacetin exerts antioxidant potential against atherosclerosis through Nrf2 pathway in apoE−/− Mice. J. Cell. Mol. Med. 2021, 25, 521–534. [Google Scholar] [CrossRef] [PubMed]
- Yang, W.J.; Liu, C.; Gu, Z.Y.; Zhang, X.Y.; Cheng, B.; Mao, Y.; Xue, G.P. Protective effects of acacetin isolated from Ziziphora clinopodioides Lam. (Xintahua) on neonatal rat cardiomyocytes. Chin. Med. 2014, 9, 28. [Google Scholar] [CrossRef] [PubMed][Green Version]
- Yeo, H.J.; Park, C.H.; Park, Y.E.; Hyeon, H.; Kim, J.K.; Lee, S.Y.; Park, S.U. Metabolic profiling and antioxidant activity during flower development in Agastache rugosa. Physiol. Mol. Biol. Plants Int. J. Funct. Plant Biol. 2021, 27, 445–455. [Google Scholar] [CrossRef] [PubMed]
- Herrera-Rocha, K.M.; Rocha-Guzmán, N.E.; Gallegos-Infante, J.A.; González-Laredo, R.F.; Larrosa-Pérez, M.; Moreno-Jiménez, M.R. Phenolic Acids and Flavonoids in Acetonic Extract from Quince (Cydonia oblonga Mill.): Nutraceuticals with Antioxidant and Anti-Inflammatory Potential. Molecules 2022, 27, 2462. [Google Scholar] [CrossRef]
- Jie, L.H.; Jantan, I.; Yusoff, S.D.; Jalil, J.; Husain, K. Sinensetin: An Insight on Its Pharmacological Activities, Mechanisms of Action and Toxicity. Front. Pharmacol. 2020, 11, 553404. [Google Scholar] [CrossRef]
- Amzad Hossain, M.; Ismail, Z. Quantification and enrichment of sinensetin in the leaves of Orthosiphon stamineus. Arab. J. Chem. 2016, 9, S1338–S1341. [Google Scholar] [CrossRef]
- Cheng, Y.; Feng, S.; Sheng, C.; Yang, C.; Li, Y. Nobiletin from citrus peel: A promising therapeutic agent for liver disease-pharmacological characteristics, mechanisms, and potential applications. Front. Pharmacol. 2024, 15, 1354809. [Google Scholar] [CrossRef]
- Chen, J.; Creed, A.; Chen, A.Y.; Huang, H.; Li, Z.; Rankin, G.O.; Ye, X.; Xu, G.; Chen, Y.C. Nobiletin suppresses cell viability through AKT pathways in PC-3 and DU-145 prostate cancer cells. BMC Pharmacol. Toxicol. 2014, 15, 59. [Google Scholar] [CrossRef]
- Ozaki, K.; Ishii, T.; Koga, N.; Nogata, Y.; Yano, M.; Ohta, H. Quantification of nobiletin and tangeretin in citrus by micellar electrokinetic capillary chromatography. Food Sci. Technol. Res. 2006, 12, 284–289. [Google Scholar] [CrossRef][Green Version]
- Braidy, N.; Behzad, S.; Habtemariam, S.; Ahmed, T.; Daglia, M.; Nabavi, S.M.; Sobarzo-Sanchez, E.; Nabavi, S.F. Neuroprotective Effects of Citrus Fruit-Derived Flavonoids, Nobiletin and Tangeretin in Alzheimer’s and Parkinson’s Disease. CNS Neurol. Disord. Drug Targets 2017, 16, 387–397. [Google Scholar] [CrossRef]
- Dong, L.Y.; Li, S.; Zhen, Y.L.; Wang, Y.N.; Shao, X.; Luo, Z.G. Cardioprotection of vitexin on myocardial ischemia/reperfusion injury in rat via regulating inflammatory cytokines and MAPK pathway. Am. J. Chin. Med. 2013, 41, 1251–1266. [Google Scholar] [CrossRef] [PubMed]
- Zhou, P.; Zheng, Z.H.; Wan, T.; Wu, J.; Liao, C.W.; Sun, X.J. Vitexin Inhibits Gastric Cancer Growth and Metastasis through HMGB1-mediated Inactivation of the PI3K/AKT/mTOR/HIF-1α Signaling Pathway. J. Gastric Cancer 2021, 21, 439–456. [Google Scholar] [CrossRef] [PubMed]
- Xue, W.; Wang, X.; Tang, H.; Sun, F.; Zhu, H.; Huang, D.; Dong, L. Vitexin attenuates myocardial ischemia/reperfusion injury in rats by regulating mitochondrial dysfunction induced by mitochondrial dynamics imbalance. Biomed. Pharmacother. 2020, 124, 109849. [Google Scholar] [CrossRef] [PubMed]
- Ravikumar, H.; Lin Chua, B.; Hui Mah, S.; Hui Chow, Y. An Insight into Extraction, Isolation, Identification and Quantification of Bioactive Compounds from Crataegus monogyna Plant Extract. Rev. Agric. Sci. 2022, 10, 304–327. [Google Scholar] [CrossRef]
- Lopez-Lazaro, M. Distribution and biological activities of the flavonoid luteolin. Mini Rev. Med. Chem. 2009, 9, 31–59. [Google Scholar] [CrossRef]
- Boeing, T.; de Souza, P.; Speca, S.; Somensi, L.B.; Mariano, L.N.B.; Cury, B.J.; Ferreira Dos Anjos, M.; Quintão, N.L.M.; Dubuqoy, L.; Desreumax, P.; et al. Luteolin prevents irinotecan-induced intestinal mucositis in mice through antioxidant and anti-inflammatory properties. Br. J. Pharmacol. 2020, 177, 2393–2408. [Google Scholar] [CrossRef]
- Basha, N.J.; Basavarajaiah, S.M. Anticancer Potential of Bioactive Molecule Luteolin and Its Analogs: An Update. Polycycl. Aromat. Compd. 2023, 43, 3958–3976. [Google Scholar] [CrossRef]
- Draxler, L.; Novak, J.; Göhler, I.; Abel, G.; Franz, C. Cultivation of Vitex agnus-castus-a comparison of different accessions. Flavour Fragr. J. 2004, 20, 186–192. [Google Scholar]
- Koh, D.J.; Ahn, H.S.; Chung, H.S.; Lee, H.; Kim, Y.; Lee, J.Y.; Kim, D.G.; Hong, M.; Shin, M.; Bae, H. Inhibitory effects of casticin on migration of eosinophil and expression of chemokines and adhesion molecules in A549 lung epithelial cells via NF-κB inactivation. J. Ethnopharmacol. 2011, 136, 399–405. [Google Scholar] [CrossRef]
- Ramchandani, S.; Naz, I.; Lee, J.H.; Khan, M.R.; Ahn, K.S. An Overview of the Potential Antineoplastic Effects of Casticin. Molecules 2020, 25, 1287. [Google Scholar] [CrossRef]
- De Souza, P.; Gasparotto, A.; Crestani, S.; Stefanello, M.É.A.; Marques, M.C.A.; Silva-Santos, J.E.; Kassuya, C.A.L. Hypotensive mechanism of the extracts and artemetin isolated from Achillea millefolium L. (Asteraceae) in rats. Phytomedicine 2011, 18, 819–825. [Google Scholar] [CrossRef] [PubMed]
- Grossini, E.; Marotta, P.; Farruggio, S.; Sigaudo, L.; Qoqaiche, F.; Raina, G.; de Giuli, V.; Mary, D.; Vacca, G.; Pollastro, F. Effects of Artemetin on Nitric Oxide Release and Protection against Peroxidative Injuries in Porcine Coronary Artery Endothelial Cells. Phytother. Res. PTR 2015, 29, 1339–1348. [Google Scholar] [CrossRef] [PubMed]
- Riswana, I.K.R.; Anjani, N.L.A.K.; Susanti, N.M.P.; Laksmiani, N.M.L. The activity of of vitexicarpin and artemetin in inhibiting hyperpigmentation: An in silico study. Pharm. Rep. 2023, 3, 57. [Google Scholar] [CrossRef]
- Sridevi, V.K.; Chouhan, H.S.; Singh, N.K.; Singh, S.K. Antioxidant and hepatoprotective effects of ethanol extract of Vitex glabrata on carbon tetrachloride-induced liver damage in rats. Nat. Prod. Res. 2012, 26, 1135–1140. [Google Scholar] [CrossRef] [PubMed]
- Wójciak, M.; Feldo, M.; Borowski, G.; Kubrak, T.; Płachno, B.J.; Sowa, I. Antioxidant Potential of Diosmin and Diosmetin against Oxidative Stress in Endothelial Cells. Molecules 2022, 27, 8232. [Google Scholar] [CrossRef]
- Mustafa, S.; Akbar, M.; Khan, M.A.; Sunita, K.; Parveen, S.; Pawar, J.S.; Massey, S.; Agarwal, N.R.; Husain, S.A. Plant metabolite diosmin as the therapeutic agent in human diseases. Curr. Res. Pharmacol. Drug Discov. 2022, 3, 100122. [Google Scholar] [CrossRef]
- Zaragozá, C.; Monserrat, J.; Mantecón, C.; Villaescusa, L.; Álvarez-Mon, M.Á.; Zaragozá, F.; Álvarez-Mon, M. Binding and antiplatelet activity of quercetin, rutin, diosmetin, and diosmin flavonoids. Biomed. Pharmacother. 2021, 141, 111867. [Google Scholar] [CrossRef]
- Om, H.; El-Naggar, M.E.; El-Banna, M.; Fouda, M.M.G.; Othman, S.I.; Allam, A.A.; Morsy, O.M. Combating atherosclerosis with targeted Diosmin nanoparticles-treated experimental diabetes. Investig. New Drugs 2020, 38, 1303–1315. [Google Scholar] [CrossRef]
- Soheilikhah, Z.; Modarresi, M.; Karimi, N.; Movafeghi, A. Qualitative and quantitative analysis of diosmin content of hyssop (Hyssopus officinalis) in response to salinity stress. Heliyon 2021, 7, e08228. [Google Scholar] [CrossRef]
- Zou, J.; Yuan, D.; Yang, J.; Yu, Y. Effects of Diosmin on Vascular Leakage and Inflammation in a Mouse Model of Venous Obstruction. Front. Nutr. 2022, 9, 831485. [Google Scholar] [CrossRef]
- Bogucka–Kocka, A.; Woźniak, M.; Feldo, M.; Kocki, J.; Szewczyk, K. Diosmin–Isolation Techniques, Determination in Plant Material and Pharmaceutical Formulations, and Clinical Use. Nat. Prod. Commun. 2013, 8, 545–550. [Google Scholar] [CrossRef] [PubMed]
- Kanaze, F.I.; Gabrieli, C.; Kokkalou, E.; Georgarakis, M.; Niopas, I. Simultaneous reversed-phase high-performance liquid chromatographic method for the determination of diosmin, hesperidin and naringin in different citrus fruit juices and pharmaceutical formulations. J. Pharm. Biomed. Anal. 2003, 33, 243–249. [Google Scholar] [CrossRef] [PubMed]
- Londoño-Londoño, J.; Lima, V.R.; Lara, O.; Gil, A.; Pasa, T.B.C.; Arango, G.J.; Pineda, J.R.R. Clean recovery of antioxidant flavonoids from citrus peel: Optimizing an aqueous ultrasound-assisted extraction method. Food Chem. 2010, 119, 81–87. [Google Scholar] [CrossRef]
- Chen, S.; Wang, X.; Cheng, Y.; Gao, H.; Chen, X. A Review of Classification, Biosynthesis, Biological Activities and Potential Applications of Flavonoids. Molecules 2023, 28, 4982. [Google Scholar] [CrossRef] [PubMed]
- Prabhu, S.; Molath, A.; Choksi, H.; Kumar, S.; Mehra, R. Classifications of polyphenols and their potential application in human health and diseases. Int. J. Physiol. Nutr. Phys. Educ. 2021, 6, 293–301. [Google Scholar] [CrossRef]
- Khan, H.; Ullah, H.; Aschner, M.; Cheang, W.S.; Akkol, E.K. Neuroprotective Effects of Quercetin in Alzheimer’s Disease. Biomolecules 2020, 10, 59. [Google Scholar] [CrossRef]
- Wu, H.; Wang, Y.; Huang, J.; Li, Y.; Lin, Z.; Zhang, B. Rutin ameliorates gout via reducing XOD activity, inhibiting ROS production and NLRP3 inflammasome activation in quail. Biomed. Pharmacother. 2023, 158, 114175. [Google Scholar] [CrossRef]
- Enogieru, A.B.; Haylett, W.; Hiss, D.C.; Bardien, S.; Ekpo, O.E. Rutin as a Potent Antioxidant: Implications for Neurodegenerative Disorders. Oxidative Med. Cell. Longev. 2018, 2018, 6241017. [Google Scholar] [CrossRef]
- Ganeshpurkar, A.; Saluja, A.K. The Pharmacological Potential of Rutin. Saudi Pharm. J. 2017, 25, 149–164. [Google Scholar] [CrossRef]
- Lei, J.; Yang, J.; Bao, C.; Lu, F.; Wu, Q.; Wu, Z.; Lv, H.; Zhou, Y.; Liu, Y.; Zhu, N.; et al. Isorhamnetin: What is the in vitro evidence for its antitumor potential and beyond? Front. Pharmacol. 2024, 15, 1309178. [Google Scholar] [CrossRef]
- Kandemir, F.M.; Yıldırım, S.; Kucukler, S.; Caglayan, C.; Darendelioğlu, E.; Dortbudak, M.B. Protective effects of morin against acrylamide-induced hepatotoxicity and nephrotoxicity: A multi-biomarker approach. Food Chem. Toxicol. 2020, 138, 111190. [Google Scholar] [CrossRef] [PubMed]
- Lee, H.S.; Jung, K.-H.; Hong, S.-W.; Park, I.-S.; Lee, C.; Han, H.-K.; Lee, D.-H.; Hong, S.-S. Morin protects acute liver damage by carbon tetrachloride (CCl4) in rat. Arch. Pharmacal Res. 2008, 31, 1160–1165. [Google Scholar] [CrossRef] [PubMed]
- Mahdi, W.A.; AlGhamdi, S.A.; Alghamdi, A.M.; Imam, S.S.; Alshehri, S.; Almaniea, M.A.; Hajjar, B.M.; Al-Abbasi, F.A.; Sayyed, N.; Kazmi, I. Neuroprotectant Effects of Hibiscetin in 3-Nitropropionic Acid-Induced Huntington’s Disease via Subsiding Oxidative Stress and Modulating Monoamine Neurotransmitters in Rats Brain. Molecules 2023, 28, 1402. [Google Scholar] [CrossRef] [PubMed]
- Laskar, Y.B.; Mazumder, P.B.; Talukdar, A.D. Hibiscus sabdariffa anthocyanins are potential modulators of estrogen receptor alpha activity with favourable toxicology: A computational analysis using molecular docking, ADME/Tox prediction, 2D/3D QSAR and molecular dynamics simulation. J. Biomol. Struct. Dyn. 2023, 41, 611–633. [Google Scholar] [CrossRef] [PubMed]
- Alzarea, S.I.; Afzal, M.; Alharbi, K.S.; Alzarea, A.I.; Alenezi, S.K.; Alshammari, M.S.; Alquraini, A.; Kazmi, I. Hibiscetin attenuates oxidative, nitrative stress and neuroinflammation via suppression of TNF-α signaling in rotenone induced parkinsonism in rats. Saudi Pharm. J. 2022, 30, 1710–1717. [Google Scholar] [CrossRef]
- Periferakis, A.; Periferakis, K.; Badarau, I.A.; Petran, E.M.; Popa, D.a.C.; Caruntu, A.; Costache, R.S.; Scheau, C.; Caruntu, C.; Costache, D.O. Kaempferol: Antimicrobial Properties, Sources, Clinical, and Traditional Applications. Int. J. Mol. Sci. 2022, 23, 15054. [Google Scholar] [CrossRef]
- Alam, W.; Khan, H.; Shah, M.A.; Cauli, O.; Saso, L. Kaempferol as a Dietary Anti-Inflammatory Agent: Current Therapeutic Standing. Molecules 2020, 25, 4073. [Google Scholar] [CrossRef]
- Pu, Y.; Han, Y.; Ouyang, Y.; Li, H.; Li, L.; Wu, X.; Yang, L.; Gao, J.; Zhang, L.; Zhou, J.; et al. Kaempferol inhibits colorectal cancer metastasis through circ_0000345 mediated JMJD2C/β-catenin signalling pathway. Phytomedicine 2024, 128, 155261. [Google Scholar] [CrossRef]
- Elloumi, W.; Mahmoudi, A.; Ortiz, S.; Boutefnouchet, S.; Chamkha, M.; Sayadi, S. Wound healing potential of quercetin-3-O-rhamnoside and myricetin-3-O-rhamnoside isolated from Pistacia lentiscus distilled leaves in rats model. Biomed. Pharmacother. 2022, 146, 112574. [Google Scholar] [CrossRef]
- Bertin, R.; Chen, Z.; Marin, R.; Donati, M.; Feltrinelli, A.; Montopoli, M.; Zambon, S.; Manzato, E.; Froldi, G. Activity of myricetin and other plant-derived polyhydroxyl compounds in human LDL and human vascular endothelial cells against oxidative stress. Biomed. Pharmacother. 2016, 82, 472–478. [Google Scholar] [CrossRef]
- Agraharam, G.; Girigoswami, A.; Girigoswami, K. Myricetin: A Multifunctional Flavonol in Biomedicine. Curr. Pharmacol. Rep. 2022, 8, 48–61. [Google Scholar] [CrossRef] [PubMed]
- Seymenska, D.; Teneva, D.; Nikolova, I.; Benbassat, N.; Denev, P. In Vivo Anti-Inflammatory and Antinociceptive Activities of Black Elder (Sambucus nigra L.) Fruit and Flower Extracts. Pharmaceuticals 2024, 17, 409. [Google Scholar] [CrossRef] [PubMed]
- Shi, P.; Liao, J.; Duan, T.; Wu, Q.; Huang, X.; Pei, X.; Wang, C. Chemical composition and pharmacological properties of Flos sophorae immaturus, Flos sophorae and Fructus sophorae: A review. J. Future Foods 2023, 3, 330–339. [Google Scholar] [CrossRef]
- Fursenco, C.; Calalb, T.; Uncu, L.; Dinu, M.; Ancuceanu, R. Solidago virgaurea L.: A Review of Its Ethnomedicinal Uses, Phytochemistry, and Pharmacological Activities. Biomolecules 2020, 10, 1619. [Google Scholar] [CrossRef] [PubMed]
- Habtemariam, S. Antioxidant and Rutin Content Analysis of Leaves of the Common Buckwheat (Fagopyrum esculentum Moench) Grown in the United Kingdom: A Case Study. Antioxidants 2019, 8, 160. [Google Scholar] [CrossRef]
- Frent, O.D.; Vicas, L.G.; Duteanu, N.; Nemes, N.S.; Pascu, B.; Teusdea, A.; Morgovan, C.M.; Muresan, M.E.; Jurca, T.; Pallag, A.; et al. Formulation, Physico-Chemical Characterization, and Evaluation of the In Vitro Release Capacity of the Ruta graveolens L. Phytocomplex from Biodegradable Chitosan and Alginate Microspheres. Appl. Sci. 2023, 13, 9939. [Google Scholar] [CrossRef]
- Rychlewski, P.; Kamgar, E.; Mildner-Szkudlarz, S.; Kowalczewski, P.Ł.; Zembrzuska, J. Determination of the contents of bioactive compounds in St. John’s wort (Hypericum perforatum): Comparison of commercial and wild samples. Open Chem. 2023, 21, 20220347. [Google Scholar] [CrossRef]
- Lv, L.; Du, J.; Wang, D.; Yan, Z. A Comprehensive Study to Investigate the Tumor-Suppressive Role of Radix Bupleuri on Gastric Cancer with Network Pharmacology and Molecular Docking. Drug Des. Dev. Ther. 2024, 18, 375–394. [Google Scholar] [CrossRef]
- Wang, H.; Chen, L.; Yang, B.; Du, J.; Chen, L.; Li, Y.; Guo, F. Structures, Sources, Identification/Quantification Methods, Health Benefits, Bioaccessibility, and Products of Isorhamnetin Glycosides as Phytonutrients. Nutrients 2023, 15, 1947. [Google Scholar] [CrossRef]
- Abudalo, R.; Gammoh, O.; Altaber, S.; Bseiso, Y.; Qnais, E.; Wedyan, M.; Oqal, M.; Alqudah, A. Mitigation of cisplatin-induced cardiotoxicity by Isorhamnetin: Mechanistic insights into oxidative stress, inflammation, and apoptosis modulation. Toxicol. Rep. 2024, 12, 564–573. [Google Scholar] [CrossRef]
- Li, L.; Jiang, W.; Yu, B.; Liang, H.; Mao, S.; Hu, X.; Feng, Y.; Xu, J.; Chu, L. Quercetin improves cerebral ischemia/reperfusion injury by promoting microglia/macrophages M2 polarization via regulating PI3K/Akt/NF-κB signaling pathway. Biomed. Pharmacother. = Biomed. Pharmacother. 2023, 168, 115653. [Google Scholar] [CrossRef] [PubMed]
- Yuan, M.; Sun, T.; Zhang, Y.; Guo, C.; Wang, F.; Yao, Z.; Yu, L. Quercetin Alleviates Insulin Resistance and Repairs Intestinal Barrier in db/db Mice by Modulating Gut Microbiota. Nutrients 2024, 16, 1870. [Google Scholar] [CrossRef] [PubMed]
- Carrillo-Martinez, E.J.; Flores-Hernández, F.Y.; Salazar-Montes, A.M.; Nario-Chaidez, H.F.; Hernández-Ortega, L.D. Quercetin, a Flavonoid with Great Pharmacological Capacity. Molecules 2024, 29, 1000. [Google Scholar] [CrossRef] [PubMed]
- Khamchai, S.; Chumboatong, W.; Hata, J.; Tocharus, C.; Suksamrarn, A.; Tocharus, J. Morin protects the blood-brain barrier integrity against cerebral ischemia reperfusion through anti-inflammatory actions in rats. Sci. Rep. 2020, 10, 13379. [Google Scholar] [CrossRef] [PubMed]
- Yu, X.; Meng, X.; Yan, Y.; Wang, H.; Zhang, L. Extraction of Naringin from Pomelo and Its Therapeutic Potentials against Hyperlipidemia. Molecules 2022, 27, 9033. [Google Scholar] [CrossRef]
- Wang, D.; Zhou, Y.; Hua, L.; Hu, M.; Zhu, N.; Liu, Y.; Zhou, Y. The role of the natural compound naringenin in AMPK-mitochondria modulation and colorectal cancer inhibition. Phytomedicine 2024, 131, 155786. [Google Scholar] [CrossRef]
- Ke, J.-Y.; Cole, R.M.; Hamad, E.M.; Hsiao, Y.-H.; Cotten, B.M.; Powell, K.A.; Belury, M.A. Citrus flavonoid, naringenin, increases locomotor activity and reduces diacylglycerol accumulation in skeletal muscle of obese ovariectomized mice. Mol. Nutr. Food Res. 2016, 60, 313–324. [Google Scholar] [CrossRef]
- Li, W.; Du, Q.; Li, X.; Zheng, X.; Lv, F.; Xi, X.; Huang, G.; Yang, J.; Liu, S. Eriodictyol Inhibits Proliferation, Metastasis and Induces Apoptosis of Glioma Cells via PI3K/Akt/NF-κB Signaling Pathway. Front. Pharmacol. 2020, 11, 114. [Google Scholar] [CrossRef]
- Hu, L.-H.; Liu, J.-Y.; Yin, J.-B. Eriodictyol attenuates TNBS-induced ulcerative colitis through repressing TLR4/NF-kB signaling pathway in rats. Kaohsiung J. Med. Sci. 2021, 37, 812–818. [Google Scholar] [CrossRef]
- AlTamimi, J.Z.; AlFaris, N.A.; Alshammari, G.M.; Alagal, R.I.; Aljabryn, D.H.; Abdo Yahya, M. Protective effect of eriodictyol against hyperglycemia-induced diabetic nephropathy in rats entails antioxidant and anti-inflammatory effects mediated by activating Nrf2. Saudi Pharm. J. 2023, 31, 101817. [Google Scholar] [CrossRef]
- Li, C.; Qi, Q.; Lu, N.; Dai, Q.; Li, F.; Wang, X.; You, Q.; Guo, Q. Gambogic acid promotes apoptosis and resistance to metastatic potential in MDA-MB-231 human breast carcinoma cells. Biochem. Cell Biol. 2012, 90, 718–730. [Google Scholar] [CrossRef] [PubMed]
- Alotaibi, K.S.; Elobeid, M.; Virk, P.; Awad, M.A.; Al-Qahtani, M.A.; Elnagar, D.M. Plausible effect of hesperetin and nano-hesperetin against bisphenol-A induced hepatoxicity in a rat model. Arab. J. Chem. 2024, 17, 105563. [Google Scholar] [CrossRef]
- Deng, M.; Dong, L.; Jia, X.; Huang, F.; Chi, J.; Muhammad, Z.; Ma, Q.; Zhao, D.; Zhang, M.; Zhang, R. The flavonoid profiles in the pulp of different pomelo (Citrus grandis L. Osbeck) and grapefruit (Citrus paradisi Mcfad) cultivars and their in vitro bioactivity. Food Chem. X 2022, 15, 100368. [Google Scholar] [CrossRef] [PubMed]
- Martín, J.F.; Liras, P. Comparative Molecular Mechanisms of Biosynthesis of Naringenin and Related Chalcones in Actinobacteria and Plants: Relevance for the Obtention of Potent Bioactive Metabolites. Antibiotics 2022, 11, 82. [Google Scholar] [CrossRef]
- Picos-Salas, M.A.; Leyva-López, N.; Bastidas-Bastidas, P.J.; Antunes-Ricardo, M.; Cabanillas-Bojórquez, L.A.; Angulo-Escalante, M.A.; Heredia, J.B.; Gutiérrez-Grijalva, E.P. Supercritical CO2 extraction of naringenin from Mexican oregano (Lippia graveolens): Its antioxidant capacity under simulated gastrointestinal digestion. Sci. Rep. 2024, 14, 1146. [Google Scholar] [CrossRef]
- Pan, T.; Lee, Y.M.; Takimoto, E.; Ueda, K.; Liu, P.Y.; Shen, H.H. Inhibitory effects of naringenin on estrogen deficiency-induced obesity via regulation of mitochondrial dynamics and AMPK activation associated with white adipose tissue browning. Life Sci. 2024, 340, 122453. [Google Scholar] [CrossRef]
- Bampidis, V.; Azimonti, G.; Bastos, M.d.L.; Christensen, H.; Fašmon Durjava, M.; Kouba, M.; López-Alonso, M.; López Puente, S.; Marcon, F.; Mayo, B.; et al. Safety and efficacy of a feed additive consisting of a flavonoid-rich dried extract of Citrus × aurantium L. fruit (bitter orange extract) for use in all animal species (FEFANA asbl). EFSA J. 2021, 19, e06709. [Google Scholar] [CrossRef]
- Ferrarese, I.; Giovanna, L.M.; Rossi, I.; Sut, S.; Loschi, F.; Allegrini, P.; Riva, A.; Ferri, N.; Dall’Acqua, S. Bergamot (Citrus bergamia) peel extract as new hypocholesterolemic agent modulating PCSK9 expression. J. Funct. Foods 2023, 108, 105724. [Google Scholar] [CrossRef]
- Stabrauskiene, J.; Marksa, M.; Ivanauskas, L.; Bernatoniene, J. Optimization of Naringin and Naringenin Extraction from Citrus × paradisi L. Using Hydrolysis and Excipients as Adsorbent. Pharmaceutics 2022, 14, 890. [Google Scholar] [CrossRef]
- Peng, Y.; Qu, R.; Xu, S.; Bi, H.; Guo, D. Regulatory mechanism and therapeutic potentials of naringin against inflammatory disorders. Heliyon 2024, 10, e24619. [Google Scholar] [CrossRef]
- Jing, X.H.; Zhao, G.Y.; Wang, G.B.; Huang, Q.L.; Zou, W.S.; Huang, L.N.; Li, W.; Qiu, Z.Y.; Xin, R.H. Naringin alleviates pneumonia caused by Klebsiella pneumoniae infection by suppressing NLRP3 inflammasome. Biomed. Pharmacother. 2024, 170, 116028. [Google Scholar] [CrossRef] [PubMed]
- Kwon, E.-Y.; Choi, M.-S. Dietary Eriodictyol Alleviates Adiposity, Hepatic Steatosis, Insulin Resistance, and Inflammation in Diet-Induced Obese Mice. Int. J. Mol. Sci. 2019, 20, 1227. [Google Scholar] [CrossRef] [PubMed]
- Buranasudja, V.; Muangnoi, C.; Sanookpan, K.; Halim, H.; Sritularak, B.; Rojsitthisak, P. Eriodictyol Attenuates H2O2-Induced Oxidative Damage in Human Dermal Fibroblasts through Enhanced Capacity of Antioxidant Machinery. Nutrients 2022, 14, 2553. [Google Scholar] [CrossRef] [PubMed]
- Deng, Z.; Hassan, S.; Rafiq, M.; Li, H.; He, Y.; Cai, Y.; Kang, X.; Liu, Z.; Yan, T. Pharmacological Activity of Eriodictyol: The Major Natural Polyphenolic Flavanone. Evid.-Based Complement. Altern. Med. 2020, 2020, 6681352. [Google Scholar] [CrossRef] [PubMed]
- Taiwo, O.M.; Olaoluwa, O.O.; Aiyelaagbe, O.O.; Schmidt, T.J. Chemical Constituents from Ficus sagittifolia Stem Bark and Their Antimicrobial Activities. Plants 2023, 12, 2801. [Google Scholar] [CrossRef]
- An, M.F.; Shen, C.; Zhang, S.S.; Wang, M.Y.; Sun, Z.R.; Fan, M.S.; Zhang, L.J.; Zhao, Y.L.; Sheng, J.; Wang, X.J. Anti-hyperuricemia effect of hesperetin is mediated by inhibiting the activity of xanthine oxidase and promoting excretion of uric acid. Front. Pharmacol. 2023, 14, 1128699. [Google Scholar] [CrossRef]
- Lu, Q.; Lai, Y.; Zhang, H.; Ren, K.; Liu, W.; An, Y.; Yao, J.; Fan, H. Hesperetin Inhibits TGF-β1-Induced Migration and Invasion of Triple Negative Breast Cancer MDA-MB-231 Cells via Suppressing Fyn/Paxillin/RhoA Pathway. Integr. Cancer Ther. 2022, 21, 15347354221086900. [Google Scholar] [CrossRef]
- Sharaf, M.; Arif, M.; Hamouda, H.I.; Khan, S.; Abdalla, M.; Shabana, S.; Rozan, H.E.; Khan, T.U.; Chi, Z.; Liu, C. Preparation, urease inhibition mechanisms, and anti-Helicobacter pylori activities of hesperetin-7-rhamnoglucoside. Curr. Res. Microb. Sci. 2022, 3, 100103. [Google Scholar] [CrossRef]
- Choi, S.S.; Lee, S.H.; Lee, K.A. A Comparative Study of Hesperetin, Hesperidin and Hesperidin Glucoside: Antioxidant, Anti-Inflammatory, and Antibacterial Activities In Vitro. Antioxidants 2022, 11, 1618. [Google Scholar] [CrossRef]
- Jeong, S.A.; Yang, C.; Song, J.; Song, G.; Jeong, W.; Lim, W. Hesperidin Suppresses the Proliferation of Prostate Cancer Cells by Inducing Oxidative Stress and Disrupting Ca2+ Homeostasis. Antioxidants 2022, 11, 1633. [Google Scholar] [CrossRef]
- Xie, L.; Gu, Z.; Liu, H.; Jia, B.; Wang, Y.; Cao, M.; Song, R.; Zhang, Z.; Bian, Y. The Anti-Depressive Effects of Hesperidin and the Relative Mechanisms Based on the NLRP3 Inflammatory Signaling Pathway. Front. Pharmacol. 2020, 11, 1251. [Google Scholar] [CrossRef] [PubMed]
- Li, X.; Zhai, Y.; Xi, B.; Ma, W.; Zhang, J.; Ma, X.; Miao, Y.; Zhao, Y.; Ning, W.; Zhou, H.; et al. Pinocembrin Ameliorates Skin Fibrosis via Inhibiting TGF-β1 Signaling Pathway. Biomolecules 2021, 11, 1240. [Google Scholar] [CrossRef] [PubMed]
- Zheng, Y.; Wan, G.; Yang, B.; Gu, X.; Lin, J. Cardioprotective Natural Compound Pinocembrin Attenuates Acute Ischemic Myocardial Injury via Enhancing Glycolysis. Oxidative Med. Cell. Longev. 2020, 2020, 4850328. [Google Scholar] [CrossRef] [PubMed]
- Kis, B.; Avram, S.; Pavel, I.Z.; Lombrea, A.; Buda, V.; Dehelean, C.A.; Soica, C.; Yerer, M.B.; Bojin, F.; Folescu, R.; et al. Recent Advances Regarding the Phytochemical and Therapeutic Uses of Populus nigra L. Buds. Plants 2020, 9, 1464. [Google Scholar] [CrossRef] [PubMed]
- Rasul, A.; Millimouno, F.M.; Ali Eltayb, W.; Ali, M.; Li, J.; Li, X. Pinocembrin: A Novel Natural Compound with Versatile Pharmacological and Biological Activities. BioMed Res. Int. 2013, 2013, 379850. [Google Scholar] [CrossRef]
- Zagórska, J.; Pietrzak, K.; Kukula-Koch, W.; Czop, M.; Wojtysiak, K.; Koch, W. Influence of Thermal Treatment on the Composition of Alpinia officinarum Rhizome. Int. J. Mol. Sci. 2024, 25, 3625. [Google Scholar] [CrossRef]
- Jurca, T.; Józsa, L.; Suciu, R.; Pallag, A.; Marian, E.; Bácskay, I.; Mureșan, M.; Stan, R.L.; Cevei, M.; Cioară, F.; et al. Formulation of Topical Dosage Forms Containing Synthetic and Natural Anti-Inflammatory Agents for the Treatment of Rheumatoid Arthritis. Molecules 2020, 26, 10024. [Google Scholar] [CrossRef]
- Wei, M.; Zhao, R.; Peng, X.; Feng, C.; Gu, H.; Yang, L. Ultrasound-Assisted Extraction of Taxifolin, Diosmin, and Quercetin from Abies nephrolepis (Trautv.) Maxim: Kinetic and Thermodynamic Characteristics. Molecules 2020, 25, 1401. [Google Scholar] [CrossRef]
- Taldaev, A.; Savina, A.D.; Olicheva, V.V.; Ivanov, S.V.; Terekhov, R.P.; Ilyasov, I.R.; Zhevlakova, A.K.; Selivanova, I.A. Protective Properties of Spheroidal Taxifolin Form in Streptozotocin-Induced Diabetic Rats. Int. J. Mol. Sci. 2023, 24, 11962. [Google Scholar] [CrossRef]
- Liskova, S.; Cacanyiova, S.; Cebova, M.; Berenyiova, A.; Kluknavsky, M.; Micurova, A.; Valachova, K.; Soltes, L.; Bernatova, I. Taxifolin Reduces Blood Pressure via Improvement of Vascular Function and Mitigating the Vascular Inflammatory Response in Spontaneously Hypertensive Rats. Int. J. Mol. Sci. 2023, 24, 12616. [Google Scholar] [CrossRef]
- De Pascual-Teresa, S.; Moreno, D.A.; García-Viguera, C. Flavanols and Anthocyanins in Cardiovascular Health: A Review of Current Evidence. Int. J. Mol. Sci. 2010, 11, 1679–1703. [Google Scholar] [CrossRef] [PubMed]
- Luo, Y.; Jian, Y.; Liu, Y.; Jiang, S.; Muhammad, D.; Wang, W. Flavanols from Nature: A Phytochemistry and Biological Activity Review. Molecules 2022, 27, 719. [Google Scholar] [CrossRef] [PubMed]
- Azadnasab, R.; Kalantar, H.; Khorsandi, L.; Kalantari, H.; Khodayar, M.J. Epicatechin ameliorative effects on methotrexate-induced hepatotoxicity in mice. Hum. Exp. Toxicol. 2021, 40, S603–S610. [Google Scholar] [CrossRef] [PubMed]
- Jug, U.; Naumoska, K.; Vovk, I. (−)-Epicatechin—An Important Contributor to the Antioxidant Activity of Japanese Knotweed Rhizome Bark Extract as Determined by Antioxidant Activity-Guided Fractionation. Antioxidants 2021, 10, 133. [Google Scholar] [CrossRef]
- Thomas, P.; Dong, J. (-)-Epicatechin acts as a potent agonist of the membrane androgen receptor, ZIP9 (SLC39A9), to promote apoptosis of breast and prostate cancer cells. J. Steroid Biochem. Mol. Biol. 2021, 211, 105906. [Google Scholar] [CrossRef]
- Park, D.H.; Park, J.Y.; Kang, K.S.; Hwang, G.S. Neuroprotective Effect of Gallocatechin Gallate on Glutamate-Induced Oxidative Stress in Hippocampal HT22 Cells. Molecules 2021, 26, 1387. [Google Scholar] [CrossRef]
- Salazar, J.J.; Ennis, W.J.; Koh, T.J. Diabetes medications: Impact on inflammation and wound healing. J. Diabetes Its Complicat. 2016, 30, 746–752. [Google Scholar] [CrossRef]
- Steinmann, J.; Buer, J.; Pietschmann, T.; Steinmann, E. Anti-infective properties of epigallocatechin-3-gallate (EGCG), a component of green tea. Br. J. Pharmacol. 2013, 168, 1059–1073. [Google Scholar] [CrossRef]
- Wang, Q.; Wu, Y.; Peng, A.; Cui, J.; Zhao, M.; Pan, Y.; Zhang, M.; Tian, K.; Schwab, W.; Song, C. Single-cell transcriptome atlas reveals developmental trajectories and a novel metabolic pathway of catechin esters in tea leaves. Plant Biotechnol. J. 2022, 20, 2089–2106. [Google Scholar] [CrossRef]
- Cabral, R.O.; Borges, L.L.; Oliveira, M.G.; Romano, C.A.; Fiuza, T.S.; Paula, J.R. Development and Validation of Analytical Method by HPLC-PDA and Seasonality from Gallic Acid, Catechin, and Epicatechin in Leaf Extracts from Campomanesia adamantium. J. Braz. Chem. Soc. 2024, 35. [Google Scholar] [CrossRef]
- Matkowski, A.; Jamiołkowska-Kozlowska, W.; Nawrot, I. Chinese medicinal herbs as source of antioxidant compounds-where tradition meets the future. Curr. Med. Chem. 2013, 20, 984–1004. [Google Scholar] [PubMed]
- Shay, J.; Elbaz, H.A.; Lee, I.; Zielske, S.P.; Malek, M.H.; Hüttemann, M. Molecular Mechanisms and Therapeutic Effects of (−)-Epicatechin and Other Polyphenols in Cancer, Inflammation, Diabetes, and Neurodegeneration. Oxidative Med. Cell. Longev. 2015, 2015, 181260. [Google Scholar] [CrossRef] [PubMed]
- Kalinova, J.; Triska, J.; Vrchotova, N. Distribution of Vitamin E, squalene, epicatechin, and rutin in common buckwheat plants (Fagopyrum esculentum Moench). J. Agric. Food Chem. 2006, 54, 5330–5335. [Google Scholar] [CrossRef]
- Moreno-Ulloa, A.; Romero-Perez, D.; Villarreal, F.; Ceballos, G.; Ramirez-Sanchez, I. Cell membrane mediated (−)-epicatechin effects on upstream endothelial cell signaling: Evidence for a surface receptor. Bioorganic Med. Chem. Lett. 2014, 24, 2749–2752. [Google Scholar] [CrossRef]
- Vendidandala, N.R.; Yin, T.P.; Nelli, G.; Pasupuleti, V.R.; Nyamathulla, S.; Mokhtar, S.I. Gallocatechin-silver nanoparticle impregnated cotton gauze patches enhance wound healing in diabetic rats by suppressing oxidative stress and inflammation via modulating the Nrf2/HO-1 and TLR4/NF-κB pathways. Life Sci. 2021, 286, 120019. [Google Scholar] [CrossRef]
- Plumb, G.W.; de Pascual-Teresa, S.; Santos-Buelga, C.; Rivas-Gonzalo, J.C.; Williamson, G. Antioxidant properties of gallocatechin and prodelphinidins from pomegranate peel. Redox Rep. 2002, 7, 41–46. [Google Scholar] [CrossRef]
- Siebert, D.A.; Paganelli, C.J.; Queiroz, G.S.; Alberton, M.D. Anti-inflammatory activity of the epicuticular wax and its isolated compounds catechin and gallocatechin from Eugenia brasiliensis Lam. (Myrtaceae) leaves. Nat. Prod. Res. 2021, 35, 4720–4723. [Google Scholar] [CrossRef]
- Pervin, M.; Unno, K.; Ohishi, T.; Tanabe, H.; Miyoshi, N.; Nakamura, Y. Beneficial effects of green tea catechins on neurodegenerative diseases. Molecules 2018, 23, 1297. [Google Scholar] [CrossRef]
- Nagle, D.G.; Ferreira, D.; Zhou, Y.D. Epigallocatechin-3-gallate (EGCG): Chemical and biomedical perspectives. Phytochemistry 2006, 67, 1849–1855. [Google Scholar] [CrossRef]
- Chow, H.H.; Cai, Y.; Hakim, I.A.; Crowell, J.A.; Shahi, F.; Brooks, C.A.; Dorr, R.T.; Hara, Y.; Alberts, D.S. Pharmacokinetics and safety of green tea polyphenols after multiple-dose administration of epigallocatechin gallate and polyphenon E in healthy individuals. Clin. Cancer Res. 2003, 9, 3312–3319. [Google Scholar]
- Mattioli, R.; Francioso, A.; Mosca, L.; Silva, P. Anthocyanins: A Comprehensive Review of Their Chemical Properties and Health Effects on Cardiovascular and Neurodegenerative Diseases. Molecules 2020, 25, 3809. [Google Scholar] [CrossRef]
- Wu, X.; Beecher, G.R.; Holden, J.M.; Haytowitz, D.B.; Gebhardt, S.E.; Prior, R.L. Concentrations of anthocyanins in common foods in the United States and estimation of normal consumption. J. Agric. Food Chem. 2006, 54, 4069–4075. [Google Scholar] [CrossRef] [PubMed]
- Câmara, J.S.; Locatelli, M.; Pereira, J.A.M.; Oliveira, H.; Arlorio, M.; Fernandes, I.; Perestrelo, R.; Freitas, V.; Bordiga, M. Behind the Scenes of Anthocyanins—From the Health Benefits to Potential Applications in Food, Pharmaceutical and Cosmetic Fields. Nutrients 2022, 14, 5133. [Google Scholar] [CrossRef] [PubMed]
- Kongthitilerd, P.; Barras, E.; Rong, W.; Thibodeaux, A.; Rigdon, M.; Yao, S.; Adisakwattana, S.; Suantawee, T.; Cheng, H. Cyanidin inhibits adipogenesis in 3T3-L1 preadipocytes by activating the PLC-IP3 pathway. Biomed. Pharmacother. 2023, 162, 114677. [Google Scholar] [CrossRef]
- Sun, W.; Zhang, N.-D.; Zhang, T.; Li, Y.-N.; Xue, H.; Cao, J.-L.; Hou, W.-S.; Liu, J.; Wang, Y.; Jin, C.-H. Cyanidin-3-O-Glucoside Induces the Apoptosis of Human Gastric Cancer MKN-45 Cells through ROS-Mediated Signaling Pathways. Molecules 2023, 28, 652. [Google Scholar] [CrossRef]
- Tsiogkas, S.G.; Mavropoulos, A.; Skyvalidas, D.N.; Patrikiou, E.; Ntavari, N.; Daponte, A.I.; Grammatikopoulou, M.G.; Dardiotis, E.; Roussaki-Schulze, A.-V.; Sakkas, L.I.; et al. Delphinidin diminishes in vitro interferon-γ and interleukin-17 producing cells in patients with psoriatic disease. Immunol. Res. 2022, 70, 161–173. [Google Scholar] [CrossRef]
- Gilani, S.J.; Bin-Jumah, M.N.; Al-Abbasi, F.A.; Nadeem, M.S.; Imam, S.S.; Alshehri, S.; Ghoneim, M.M.; Afzal, M.; Alzarea, S.I.; Sayyed, N.; et al. Rosinidin Flavonoid Ameliorates Hyperglycemia, Lipid Pathways and Proinflammatory Cytokines in Streptozotocin-Induced Diabetic Rats. Pharmaceutics 2022, 14, 547. [Google Scholar] [CrossRef]
- Alghamdi, A.M.; Al-Abbasi, F.A.; AlGhamdi, S.A.; Fatima, F.; Alzarea, S.I.; Kazmi, I. Rosinidin inhibits NF-κB/ Nrf2/caspase-3 expression and restores neurotransmitter levels in rotenone-activated Parkinson’s disease. Saudi J. Biol. Sci. 2023, 30, 103656. [Google Scholar] [CrossRef]
- Agarwal, P.; Holland, T.M.; James, B.D.; Cherian, L.J.; Aggarwal, N.T.; Leurgans, S.E.; Bennett, D.A.; Schneider, J.A. Pelargonidin and Berry Intake Association with Alzheimer’s Disease Neuropathology: A Community-Based Study. J. Alzheimers Dis. 2022, 88, 653–661. [Google Scholar] [CrossRef]
- Vaiyapuri, M.; Thimmarayan, S.; Dhupal, M.; Rallabandi, H.R.; Mekapogu, M.; Vasamsetti, B.M.K.; Swamy, M.K.; Natesan, K. Pelargonidin, a Dietary Anthocyanidin in the Prevention of Colorectal Cancer and Its Chemoprotective Mechanisms. In Plant-derived Bioactives: Chemistry and Mode of Action; Swamy, M.K., Ed.; Springer: Singapore, 2020; pp. 119–135. [Google Scholar] [CrossRef]
- Sood, R.; Sanjay; Choi, H.-K.; Lee, H.-J. Potential anti-cancer properties of malvidin and its glycosides: Evidence from in vitro and in vivo studies. J. Funct. Foods 2024, 116, 106191. [Google Scholar] [CrossRef]
- Fagundes, F.L.; Pereira, Q.C.; Zarricueta, M.L.; dos Santos, R.d.C. Malvidin Protects against and Repairs Peptic Ulcers in Mice by Alleviating Oxidative Stress and Inflammation. Nutrients 2021, 13, 3312. [Google Scholar] [CrossRef] [PubMed]
- Liang, Z.; Liang, H.; Guo, Y.; Yang, D. Cyanidin 3-O-galactoside: A Natural Compound with Multiple Health Benefits. Int. J. Mol. Sci. 2021, 22, 2261. [Google Scholar] [CrossRef] [PubMed]
- Fukumoto, L.R.; Mazza, G. Assessing Antioxidant and Prooxidant Activities of Phenolic Compounds. J. Agric. Food Chem. 2000, 48, 3597–3604. [Google Scholar] [CrossRef] [PubMed]
- Zhang, J.; Celli, G.B.; Brooks, M.S. Natural Sources of Anthocyanins. In Anthocyanins from Natural Sources: Exploiting Targeted Delivery for Improved Health; Brooks, M.S.-L., Celli, G.B., Eds.; The Royal Society of Chemistry: London, UK, 2019. [Google Scholar] [CrossRef]
- Mazewski, C.; Kim, M.S.; Gonzalez de Mejia, E. Anthocyanins, delphinidin-3-O-glucoside and cyanidin-3-O-glucoside, inhibit immune checkpoints in human colorectal cancer cells in vitro and in silico. Sci. Rep. 2019, 9, 11560. [Google Scholar] [CrossRef] [PubMed]
- Watson, R.R.; Schönlau, F. Nutraceutical and antioxidant effects of a delphinidin-rich maqui berry extract Delphinol®: A review. Minerva Cardioangiol. 2015, 63, 1–12. [Google Scholar]
- Lazalde-Cruz, R.; Miranda-Romero, L.A.; Tirado-González, D.N.; Carrillo-Díaz, M.I.; Medina-Cuéllar, S.E.; Mendoza-Martínez, G.D.; Lara-Bueno, A.; Tirado-Estrada, G.; Salem, A.Z.M. Potential Effects of Delphinidin-3-O-Sambubioside and Cyanidin-3-O-Sambubioside of Hibiscus sabdariffa L. on Ruminant Meat and Milk Quality. Animals 2021, 11, 2827. [Google Scholar] [CrossRef]
- Miladinovic, B.; Faria, M.; Ribeiro, M.; Sobral, M.M.C.; Ferreira, I. Delphinidin-3-rutinoside from Blackcurrant Berries (Ribes nigrum): In Vitro Antiproliferative Activity and Interactions with Other Phenolic Compounds. Molecules 2023, 28, 1286. [Google Scholar] [CrossRef]
- Sogo, T.; Terahara, N.; Hisanaga, A.; Kumamoto, T.; Yamashiro, T.; Wu, S.; Sakao, K.; Hou, D.-X. Anti-inflammatory activity and molecular mechanism of delphinidin 3-sambubioside, a Hibiscus anthocyanin. BioFactors 2015, 41, 58–65. [Google Scholar] [CrossRef]
- Khoo, H.E.; Azlan, A.; Tang, S.T.; Lim, S.M. Anthocyanidins and anthocyanins: Colored pigments as food, pharmaceutical ingredients, and the potential health benefits. Food Nutr. Res. 2017, 61, 1361779. [Google Scholar] [CrossRef]
- Ksouri, R.; Ksouri, W.M.; Jallali, I.; Debez, A.; Magné, C.; Hiroko, I.; Abdelly, C. Medicinal halophytes: Potent source of health promoting biomolecules with medical, nutraceutical and food applications. Crit. Rev. Biotechnol. 2012, 32, 289–326. [Google Scholar] [CrossRef]
- Guo, L.; Kang, J.S.; Kang, N.J.; Je, B.I.; Lee, Y.J.; Park, Y.H.; Choi, Y.W. Pelargonidin suppresses adipogenesis in 3T3-L1 cells through inhibition of PPAR-γ signaling pathway. Arch. Biochem. Biophys. 2020, 686, 108365. [Google Scholar] [CrossRef] [PubMed]
- Abraham, S.K.; Schupp, N.; Schmid, U.; Stopper, H. Antigenotoxic effects of the phytoestrogen pelargonidin chloride and the polyphenol chlorogenic acid. Mol. Nutr. Food Res. 2007, 51, 880–887. [Google Scholar] [CrossRef] [PubMed]
- Abotaleb, M.; Liskova, A.; Kubatka, P.; Büsselberg, D. Therapeutic Potential of Plant Phenolic Acids in the Treatment of Cancer. Biomolecules 2020, 10, 221. [Google Scholar] [CrossRef] [PubMed]
- Wang, L.-S.; Stoner, G.D. Anthocyanins and their role in cancer prevention. Cancer Lett. 2008, 269, 281–290. [Google Scholar] [CrossRef] [PubMed]
- Verma, G.; Bhat, R. The Anthocyanidin Peonidin Interferes with an Early Step in the Fibrillation Pathway of α-Synuclein and Modulates It toward Amorphous Aggregates. ACS Chem. Neurosci. 2023. Online ahead of print. [Google Scholar] [CrossRef]
- Nagaoka, M.; Maeda, T.; Moriwaki, S.; Nomura, A.; Kato, Y.; Niida, S.; Kruger, M.C.; Suzuki, K. Petunidin, a B-ring 5′-O-Methylated Derivative of Delphinidin, Stimulates Osteoblastogenesis and Reduces sRANKL-Induced Bone Loss. Int. J. Mol. Sci. 2019, 20, 2795. [Google Scholar] [CrossRef]
- Yang, S.Y.; Kim, J.H.; Su, X.; Kim, J.A. The Luteolinidin and Petunidin 3-O-Glucoside: A Competitive Inhibitor of Tyrosinase. Molecules 2022, 27, 5703. [Google Scholar] [CrossRef]
- Rudrapal, M.; Khan, J.; Dukhyil, A.A.; Alarousy, R.M.; Attah, E.I.; Sharma, T.; Khairnar, S.J.; Bendale, A.R. Chalcone Scaffolds, Bioprecursors of Flavonoids: Chemistry, Bioactivities, and Pharmacokinetics. Molecules 2021, 26, 7177. [Google Scholar] [CrossRef]
- Salehi, B.; Quispe, C.; Chamkhi, I.; El Omari, N.; Balahbib, A.; Sharifi-Rad, J.; Bouyahya, A.; Akram, M.; Iqbal, M.; Docea, A.O. Pharmacological properties of chalcones: A review of preclinical including molecular mechanisms and clinical evidence. Front. Pharmacol. 2021, 11, 592654. [Google Scholar] [CrossRef]
- Liu, N.; Zhang, N.; Zhang, S.; Zhang, L.; Liu, Q. Phloretin inhibited the pathogenicity and virulence factors against Candida albicans. Bioengineered 2021, 12, 2420–2431. [Google Scholar] [CrossRef]
- Liu, J.; Sun, M.; Xia, Y.; Cui, X.; Jiang, J. Phloretin ameliorates diabetic nephropathy by inhibiting nephrin and podocin reduction through a non-hypoglycemic effect. Food Funct. 2022, 13, 6613–6622. [Google Scholar] [CrossRef] [PubMed]
- Dierckx, T.; Haidar, M.; Grajchen, E.; Wouters, E.; Vanherle, S.; Loix, M.; Boeykens, A.; Bylemans, D.; Hardonnière, K.; Kerdine-Römer, S.; et al. Phloretin suppresses neuroinflammation by autophagy-mediated Nrf2 activation in macrophages. J. Neuroinflamm. 2021, 18, 148. [Google Scholar] [CrossRef] [PubMed]
- Chhimwal, J.; Goel, A.; Sukapaka, M.; Patial, V.; Padwad, Y. Phloretin mitigates oxidative injury, inflammation, and fibrogenic responses via restoration of autophagic flux in in vitro and preclinical models of NAFLD. J. Nutr. Biochem. 2022, 107, 109062. [Google Scholar] [CrossRef]
- Ugan, R.A.; Un, H. The Protective Roles of Butein on Indomethacin Induced Gastric Ulcer in Mice. Eurasian J. Med. 2020, 52, 265–270. [Google Scholar] [CrossRef]
- Song, B.; Wang, J.; Ren, Y.; Su, Y.; Geng, X.; Yang, F.; Wang, H.; Zhang, J. Butein inhibits cancer cell growth by rescuing the wild-type thermal stability of mutant p53. Biomed. Pharmacother. 2023, 163, 114773. [Google Scholar] [CrossRef]
- Wang, Z.; Li, W.; Wang, X.; Zhu, Q.; Liu, L.; Qiu, S.; Zou, L.; Liu, K.; Li, G.; Miao, H.; et al. Isoliquiritigenin induces HMOX1 and GPX4-mediated ferroptosis in gallbladder cancer cells. Chin. Med. J. 2023, 136, 2210–2220. [Google Scholar] [CrossRef]
- Wang, G.; Yu, Y.; Wang, Y.-Z.; Yin, P.-H.; Xu, K.; Zhang, H. The effects and mechanisms of isoliquiritigenin loaded nanoliposomes regulated AMPK/mTOR mediated glycolysis in colorectal cancer. Artif. Cells Nanomed. Biotechnol. 2020, 48, 1231–1249. [Google Scholar] [CrossRef]
- Zhang, Z.; Yung, K.K.; Ko, J.K. Therapeutic Intervention in Cancer by Isoliquiritigenin from Licorice: A Natural Antioxidant and Redox Regulator. Antioxidants 2022, 11, 1349. [Google Scholar] [CrossRef]
- Chen, Z.; Ding, W.; Yang, X.; Lu, T.; Liu, Y. Isoliquiritigenin, a potential therapeutic agent for treatment of inflammation-associated diseases. J. Ethnopharmacol. 2024, 318, 117059. [Google Scholar] [CrossRef]
- Kanazawa, M.; Satomi, Y.; Mizutani, Y.; Ukimura, O.; Kawauchi, A.; Sakai, T.; Baba, M.; Okuyama, T.; Nishino, H.; Miki, T. Isoliquiritigenin Inhibits the Growth of Prostate Cancer. Eur. Urol. 2003, 43, 580–586. [Google Scholar] [CrossRef]
- Luczkiewicz, M.; Kokotkiewicz, A. Genista tinctoria hairy root cultures for selective production of isoliquiritigenin. Z. Naturforsch. C J. Biosci. 2005, 60, 867–875. [Google Scholar] [CrossRef] [PubMed]
- Sani, Y.M.; Musa, A.M.; Tajuddeen, N.; Abdullahi, S.M.; Abdullahi, M.I.; Pateh, U.U.; Idris, A.Y. Isoliquiritigenin and-sitosterol from Cissus polyantha Tuber Glig and Brandt. J. Med. Plants Res. 2015, 9, 918–921. [Google Scholar]
- Zhao, T.T.; Xu, Y.Q.; Hu, H.M.; Gong, H.B.; Zhu, H.L. Isoliquiritigenin (ISL) and its Formulations: Potential Antitumor Agents. Curr. Med. Chem. 2019, 26, 6786–6796. [Google Scholar] [CrossRef] [PubMed]
- Alzahrani, S.; Said, E.; Ajwah, S.M.; Alsharif, S.Y.; El-Bayoumi, K.S.; Zaitone, S.A.; Qushawy, M.; Elsherbiny, N.M. Isoliquiritigenin attenuates inflammation and modulates Nrf2/caspase-3 signalling in STZ-induced aortic injury. J. Pharm. Pharmacol. 2021, 73, 193–205. [Google Scholar] [CrossRef] [PubMed]
- Deng, Y.; Chu, X.; Li, Q.; Zhu, G.; Hu, J.; Sun, J.; Zeng, H.; Huang, J.; Ge, G. Xanthohumol ameliorates drug-induced hepatic ferroptosis via activating Nrf2/xCT/GPX4 signaling pathway. Phytomedicine 2024, 126, 155458. [Google Scholar] [CrossRef]
- Harish, V.; Haque, E.; Śmiech, M.; Taniguchi, H.; Jamieson, S.; Tewari, D.; Bishayee, A. Xanthohumol for Human Malignancies: Chemistry, Pharmacokinetics and Molecular Targets. Int. J. Mol. Sci. 2021, 22, 4478. [Google Scholar] [CrossRef]
- Kores, K.; Kolenc, Z.; Furlan, V.; Bren, U. Inverse Molecular Docking Elucidating the Anticarcinogenic Potential of the Hop Natural Product Xanthohumol and Its Metabolites. Foods 2022, 11, 1253. [Google Scholar] [CrossRef]
- Mariadoss, A.V.A.; Vinyagam, R.; Rajamanickam, V.; Sankaran, V.; Venkatesan, S.; David, E. Pharmacological Aspects and Potential Use of Phloretin: A Systemic Review. Mini Rev. Med. Chem. 2019, 19, 1060–1067. [Google Scholar] [CrossRef]
- Mao, W.; Fan, Y.; Wang, X.; Feng, G.; You, Y.; Li, H.; Chen, Y.; Yang, J.; Weng, H.; Shen, X. Phloretin ameliorates diabetes-induced endothelial injury through AMPK-dependent anti-EndMT pathway. Pharmacol. Res. 2022, 179, 106205. [Google Scholar] [CrossRef]
- Chang, W.-T.; Huang, W.-C.; Liou, C.-J. Evaluation of the anti-inflammatory effects of phloretin and phlorizin in lipopolysaccharide-stimulated mouse macrophages. Food Chem. 2012, 134, 972–979. [Google Scholar] [CrossRef]
- Liou, C.-J.; Wu, S.-J.; Shen, S.-C.; Chen, L.-C.; Chen, Y.-L.; Huang, W.-C. Phloretin ameliorates hepatic steatosis through regulation of lipogenesis and Sirt1/AMPK signaling in obese mice. Cell Biosci. 2020, 10, 114. [Google Scholar] [CrossRef] [PubMed]
- Samoszuk, M.; Tan, J.; Chorn, G. The chalcone butein from Rhus verniciflua Stokes inhibits clonogenic growth of human breast cancer cells co-cultured with fibroblasts. BMC Complement. Altern. Med. 2005, 5, 5. [Google Scholar] [CrossRef] [PubMed]
- Chen, W.; Song, J.; Guo, P.; Wen, Z. Butein, a more effective antioxidant than α-tocopherol. J. Mol. Struct. THEOCHEM 2006, 763, 161–164. [Google Scholar] [CrossRef]
- Rasheed, Z.; Akhtar, N.; Khan, A.; Khan, K.A.; Haqqi, T.M. Butrin, isobutrin, and butein from medicinal plant Butea monosperma selectively inhibit nuclear factor-kappaB in activated human mast cells: Suppression of tumor necrosis factor-alpha, interleukin (IL)-6, and IL-8. J. Pharmacol. Exp. Ther. 2010, 333, 354–363. [Google Scholar] [CrossRef]
- Dong, X.; Liu, W.; Li, X.; Gan, Y.; Zhou, L.; Li, W.; Xie, L. Butein promotes ubiquitination-mediated survivin degradation inhibits tumor growth and overcomes chemoresistance. Sci. Rep. 2022, 12, 20644. [Google Scholar] [CrossRef]
- Jayasooriya, R.G.P.T.; Molagoda, I.M.N.; Park, C.; Jeong, J.-W.; Choi, Y.H.; Moon, D.-O.; Kim, M.-O.; Kim, G.-Y. Molecular chemotherapeutic potential of butein: A concise review. Food Chem. Toxicol. 2018, 112, 1–10. [Google Scholar] [CrossRef]
- Singh, P.; Arif, Y.; Bajguz, A.; Hayat, S. The role of quercetin in plants. Plant Physiol. Biochem. 2021, 166, 10–19. [Google Scholar] [CrossRef]
- Ścibior, A. Overview of Research on Vanadium-Quercetin Complexes with a Historical Outline. Antioxidants 2022, 11, 790. [Google Scholar] [CrossRef]
- Gutzke, M.; Fox, D.; Ciereszko, L.; Wender, S. Notes-Synthesis of Quercetin-2-C14. J. Org. Chem. 1957, 22, 1271–1272. [Google Scholar] [CrossRef]
- Papakyriakopoulou, P.; Velidakis, N.; Khattab, E.; Valsami, G.; Korakianitis, I.; Kadoglou, N.P. Potential Pharmaceutical Applications of Quercetin in Cardiovascular Diseases. Pharmaceuticals 2022, 15, 1019. [Google Scholar] [CrossRef]
- Shabir, I.; Kumar Pandey, V.; Shams, R.; Dar, A.H.; Dash, K.K.; Khan, S.A.; Bashir, I.; Jeevarathinam, G.; Rusu, A.V.; Esatbeyoglu, T.; et al. Promising bioactive properties of quercetin for potential food applications and health benefits: A review. Front. Nutr. 2022, 9, 999752. [Google Scholar] [CrossRef] [PubMed]
- Wang, W.Y.; Sun, C.X.; Mao, L.K.; Ma, P.H.; Liu, F.G.; Yang, J.; Gao, Y.X. The biological activities, chemical stability, metabolism and delivery systems of quercetin: A review. Trends Food Sci. Technol. 2016, 56, 21–38. [Google Scholar] [CrossRef]
- Di Pierro, F.; Iqtadar, S.; Khan, A.; Ullah Mumtaz, S.; Masud Chaudhry, M.; Bertuccioli, A.; Derosa, G.; Maffioli, P.; Togni, S.; Riva, A.; et al. Potential Clinical Benefits of Quercetin in the Early Stage of COVID-19: Results of a Second, Pilot, Randomized, Controlled and Open-Label Clinical Trial. Int. J. Gen. Med. 2021, 14, 2807–2816. [Google Scholar] [CrossRef] [PubMed]
- Shohan, M.; Nashibi, R.; Mahmoudian-Sani, M.R.; Abolnezhadian, F.; Ghafourian, M.; Alavi, S.M.; Sharhani, A.; Khodadadi, A. The therapeutic efficacy of quercetin in combination with antiviral drugs in hospitalized COVID-19 patients: A randomized controlled trial. Eur. J. Pharmacol. 2022, 914, 174615. [Google Scholar] [CrossRef] [PubMed]
- Tsai, C.-F.; Chen, G.-W.; Chen, Y.-C.; Shen, C.-K.; Lu, D.-Y.; Yang, L.-Y.; Chen, J.-H.; Yeh, W.-L. Regulatory Effects of Quercetin on M1/M2 Macrophage Polarization and Oxidative/Antioxidative Balance. Nutrients 2022, 14, 67. [Google Scholar] [CrossRef]
- Li, D.; Jiang, C.; Mei, G.; Zhao, Y.; Chen, L.; Liu, J.; Tang, Y.; Gao, C.; Yao, P. Quercetin Alleviates Ferroptosis of Pancreatic β Cells in Type 2 Diabetes. Nutrients 2020, 12, 2954. [Google Scholar] [CrossRef]
- Azeem, M.; Hanif, M.; Mahmood, K.; Ameer, N.; Chughtai, F.R.S.; Abid, U. An insight into anticancer, antioxidant, antimicrobial, antidiabetic and anti-inflammatory effects of quercetin: A review. Polym. Bull. 2023, 80, 241–262. [Google Scholar] [CrossRef]
- Li, Y.; Yao, J.; Han, C.; Yang, J.; Chaudhry, M.T.; Wang, S.; Liu, H.; Yin, Y. Quercetin, Inflammation and Immunity. Nutrients 2016, 8, 167. [Google Scholar] [CrossRef]
- Yi, H.; Peng, H.; Wu, X.; Xu, X.; Kuang, T.; Zhang, J.; Du, L.; Fan, G. The Therapeutic Effects and Mechanisms of Quercetin on Metabolic Diseases: Pharmacological Data and Clinical Evidence. Oxidative Med. Cell. Longev. 2021, 2021, 6678662. [Google Scholar] [CrossRef]
- Almatroodi, S.A.; Alsahli, M.A.; Almatroudi, A.; Verma, A.K.; Aloliqi, A.; Allemailem, K.S.; Khan, A.A.; Rahmani, A.H. Potential Therapeutic Targets of Quercetin, a Plant Flavonol, and Its Role in the Therapy of Various Types of Cancer through the Modulation of Various Cell Signaling Pathways. Molecules 2021, 26, 1315. [Google Scholar] [CrossRef]
- Mlcek, J.; Jurikova, T.; Skrovankova, S.; Sochor, J. Quercetin and Its Anti-Allergic Immune Response. Molecules 2016, 21, 623. [Google Scholar] [CrossRef] [PubMed]
- Chawansuntati, K.; Hongjaisee, S.; Sirita, K.; Kingkaew, K.; Rattanathammethee, K.; Kumrapich, B.; Ounjaijean, S.; Kongkaew, A.; Lumjuan, N. Effects of quercetin and extracts from Phyllanthus emblica, Morus alba, and Ginkgo biloba on platelet recovery in a rat model of chemotherapy-induced thrombocytopenia. Heliyon 2024, 10, e25013. [Google Scholar] [CrossRef] [PubMed]
- Halim, B.; Syahputra, R.A.; Adenin, I.; Lubis, H.P.; Mendrofa, F.; Lie, S.; Nugraha, S.E. Determination of Phytochemical Constituent, Antioxidant Activity, Total Phenol and Total Flavonoid of Extract Ethanol Phyllanthus emblica Fruit. Pharmacogn. J. 2022, 14, 63–67. [Google Scholar] [CrossRef]
- Gao, J.; Yang, X.; Liang, Y.; Hu, D. Identification of functional biomarkers of Peganum harmala and Hypericum perforatum using PCA-constructed secondary metabolite maps. Heliyon 2024, 10, e23565. [Google Scholar] [CrossRef] [PubMed]
- Yaman, C.; Erenler, R.; Atalar, M.N.; Adem, Ş.; Çalişkan, U.K. Phytochemical Properties, Antioxidant and in Vitro/in Silico Anti-Acetylcholinesterase Activities of Hypericum heterophyllum Leaf from Türkiye. Braz. Arch. Biol. Technol. 2024, 67, e24230043. [Google Scholar] [CrossRef]
- Steinbauer, S.; König, A.; Neuhauser, C.; Schwarzinger, B.; Stangl, H.; Iken, M.; Weghuber, J.; Röhrl, C. Elder (Sambucus nigra), identified by high-content screening, counteracts foam cell formation without promoting hepatic lipogenesis. Sci. Rep. 2024, 14, 3547. [Google Scholar] [CrossRef]
- Nishimuro, H.; Ohnishi, H.; Sato, M.; Ohnishi-Kameyama, M.; Matsunaga, I.; Naito, S.; Ippoushi, K.; Oike, H.; Nagata, T.; Akasaka, H.; et al. Estimated daily intake and seasonal food sources of quercetin in Japan. Nutrients 2015, 7, 2345–2358. [Google Scholar] [CrossRef]
- Miean, K.H.; Mohamed, S. Flavonoid (myricetin, quercetin, kaempferol, luteolin, and apigenin) content of edible tropical plants. J. Agric. Food Chem. 2001, 49, 3106–3112. [Google Scholar] [CrossRef]
- Olszowy-Tomczyk, M.; Garbaczewska, S.; Wianowska, D. Correlation Study of Biological Activity with Quercetin and Phenolics Content in Onion Extracts. Molecules 2022, 27, 8164. [Google Scholar] [CrossRef]
- Cho, S.Y.; Kim, H.W.; Lee, M.K.; Kim, H.J.; Kim, J.B.; Choe, J.S.; Lee, Y.M.; Jang, H.H. Antioxidant and Anti-Inflammatory Activities in Relation to the Flavonoids Composition of Pepper (Capsicum annuum L.). Antioxidants 2020, 9, 986. [Google Scholar] [CrossRef]
- Țigu, A.B.; Moldovan, C.S.; Toma, V.A.; Farcaș, A.D.; Moț, A.C.; Jurj, A.; Fischer-Fodor, E.; Mircea, C.; Pârvu, M. Phytochemical Analysis and In Vitro Effects of Allium fistulosum L. and Allium sativum L. Extracts on Human Normal and Tumor Cell Lines: A Comparative Study. Molecules 2021, 26, 574. [Google Scholar] [CrossRef] [PubMed]
- Hussin, M.; Hamid, A.A.; Mohamad, S.; Saari, N.; Bakar, F.; Dek, S.P. Modulation of Lipid Metabolism by Centella Asiatica in Oxidative Stress Rats. J. Food Sci. 2009, 74, H72–H78. [Google Scholar] [CrossRef] [PubMed]
- Mandrone, M.; Scognamiglio, M.; Fiorentino, A.; Sanna, C.; Cornioli, L.; Antognoni, F.; Bonvicini, F.; Poli, F. Phytochemical profile and α-glucosidase inhibitory activity of Sardinian Hypericum scruglii and Hypericum hircinum. Fitoterapia 2017, 120, 184–193. [Google Scholar] [CrossRef] [PubMed]
- Kyriakou, S.; Michailidou, K.; Amery, T.; Stewart, K.; Winyard, P.G.; Trafalis, D.T.; Franco, R.; Pappa, A.; Panayiotidis, M.I. Polyphenolics, glucosinolates and isothiocyanates profiling of aerial parts of Nasturtium officinale (Watercress). Front. Plant Sci. 2022, 13, 998755. [Google Scholar] [CrossRef] [PubMed]
- Zafar, I.; Hussain, A.I.; Fatima, T.; Abdullah Alnasser, S.M.; Ahmad, A. Inter-Varietal Variation in Phenolic Profile, Sugar Contents, Antioxidant, Anti-Proliferative and Antibacterial Activities of Selected Brassica Species. Appl. Sci. 2022, 12, 5811. [Google Scholar] [CrossRef]
- Jambor, T.; Arvay, J.; Tvrda, E.; Kovacik, A.; Greifova, H.; Lukac, N. The effect of Apium graveolens L., Levisticum officinale and Calendula officinalis L. on cell viability, membrane integrity, steroidogenesis, and intercellular communication in mice Leydig cells in vitro. Physiol. Res. 2021, 70, 615–625. [Google Scholar] [CrossRef]
- Saygi, K.O. Quantification of Phenolics from Coriandrum sativum vulgare and Coriandrum sativum microcarpum by HPLC–DAD. Iran. J. Sci. Technol. Trans. A Sci. 2021, 45, 1319–1326. [Google Scholar] [CrossRef]
- Sgadari, F.; Cerulli, A.; Schicchi, R.; Badalamenti, N.; Bruno, M.; Piacente, S. Sicilian Populations of Capparis spinosa L. and Capparis orientalis Duhamel as Source of the Bioactive Flavonol Quercetin. Plants 2023, 12, 197. [Google Scholar] [CrossRef]
- Hamdi, A.; Jaramillo-Carmona, S.; Rodríguez-Arcos, R.; Jiménez-Araujo, A.; Lachaal, M.; Karray-Bouraoui, N.; Guillén-Bejarano, R. Phytochemical Characterization and Bioactivity of Asparagus acutifolius: A Focus on Antioxidant, Cytotoxic, Lipase Inhibitory and Antimicrobial Activities. Molecules 2021, 26, 3328. [Google Scholar] [CrossRef]
- Lenchyk, L. Determination of phenolic compounds in prunus domestica leaves extract. Scr. Sci. Pharm. 2016, 2, 31. [Google Scholar] [CrossRef][Green Version]
- Pandey, J.; Bastola, T.; Tripathi, J.; Tripathi, M.; Rokaya, R.K.; Dhakal, B.; Rabin, D.C.; Bhandari, R.; Poudel, A. Estimation of Total Quercetin and Rutin Content in Malus domestica of Nepalese Origin by HPLC Method and Determination of Their Antioxidative Activity. J. Food Qual. 2020, 2020, 8853426. [Google Scholar] [CrossRef]
- Değirmencioğlu, N.; Gürbüz, O.; Karatepe, G.E.; Irkin, R. Influence of hot air drying on phenolic compounds and antioxidant capacity of blueberry (Vaccinium myrtillus) fruit and leaf. J. Appl. Bot. Food Qual. 2017, 90, 115–125. [Google Scholar]
- Kapešová, J.; Petrásková, L.; Markošová, K.; Rebroš, M.; Kotik, M.; Bojarová, P.; Křen, V. Bioproduction of Quercetin and Rutinose Catalyzed by Rutinosidase: Novel Concept of “Solid State Biocatalysis”. Int. J. Mol. Sci. 2019, 20, 1112. [Google Scholar] [CrossRef] [PubMed]
- Valentová, K.; Vrba, J.; Bancířová, M.; Ulrichová, J.; Křen, V. Isoquercitrin: Pharmacology, toxicology, and metabolism. Food Chem. Toxicol. 2014, 68, 267–282. [Google Scholar] [CrossRef]
- Guo, F.; An, J.; Wang, M.; Zhang, W.; Chen, C.; Mao, X.; Liu, S.; Wang, P.; Ren, F. Inhibitory Mechanism of Quercimeritrin as a Novel α-Glucosidase Selective Inhibitor. Foods 2023, 12, 3415. [Google Scholar] [CrossRef]
- Durmaz, L.; Kiziltas, H.; Karagecili, H.; Alwasel, S.; Gulcin, İ. Potential antioxidant, anticholinergic, antidiabetic and antiglaucoma activities and molecular docking of spiraeoside as a secondary metabolite of onion (Allium cepa). Saudi Pharm. J. SPJ Off. Publ. Saudi Pharm. Soc. 2023, 31, 101760. [Google Scholar] [CrossRef]
- Wach, A.; Pyrzyńska, K.; Biesaga, M. Quercetin content in some food and herbal samples. Food Chem. 2007, 100, 699–704. [Google Scholar] [CrossRef]
- Wang, J.; Zhao, L.-L.; Sun, G.-X.; Liang, Y.; Wu, F.-A.; Chen, Z.I.; Cui, S.M. A comparison of acidic and enzymatic hydrolysis of rutin. Afr. J. Biotechnol. 2011, 10, 1460–1466. [Google Scholar]
- Rao, P.S.; Subramanayam, G.; Sridhar, P.R. Quercetin 3-galactoside from Azadirachta indica. J. Adv. Mol. Biol. 2019, 3, 1–8. [Google Scholar] [CrossRef]
- Kim, H.J.; Kim, B.-G.; Ahn, J.-H. Regioselective synthesis of flavonoid bisglycosides using Escherichia coli harboring two glycosyltransferases. Appl. Microbiol. Biotechnol. 2013, 97, 5275–5282. [Google Scholar] [CrossRef]
- Materska, M. Quercetin and its derivatives: Chemical structure and bioactivity—A review. Pol. J. Food Nutr. Sci. 2008, 58, 407–413. [Google Scholar]
- Lee, J.H.; Lee, S.J.; Park, S.; Jeong, S.W.; Kim, C.Y.; Jin, J.S.; Jeong, E.D.; Kwak, Y.S.; Kim, S.T.; Bae, D.W.; et al. Determination of flavonoid level variation in onion (Allium cepa L.) infected by Fusarium oxysporum using liquid chromatography–tandem mass spectrometry. Food Chem. 2012, 133, 1653–1657. [Google Scholar] [CrossRef]
- Yang, L.L.; Xiao, N.; Li, X.W.; Fan, Y.; Alolga, R.N.; Sun, X.Y.; Wang, S.L.; Li, P.; Qi, L.W. Pharmacokinetic comparison between quercetin and quercetin 3-O-β-glucuronide in rats by UHPLC-MS/MS. Sci. Rep. 2016, 6, 35460. [Google Scholar] [CrossRef] [PubMed]
- O’Leary, K.A.; Day, A.J.; Needs, P.W.; Mellon, F.A.; O’Brien, N.M.; Williamson, G. Metabolism of quercetin-7- and quercetin-3-glucuronides by an in vitro hepatic model: The role of human beta-glucuronidase, sulfotransferase, catechol-O-methyltransferase and multi-resistant protein 2 (MRP2) in flavonoid metabolism. Biochem. Pharmacol. 2003, 65, 479–491. [Google Scholar] [CrossRef]
- Guo, X.D.; Zhang, D.Y.; Gao, X.J.; Parry, J.; Liu, K.; Liu, B.L.; Wang, M. Quercetin and quercetin-3-O-glucuronide are equally effective in ameliorating endothelial insulin resistance through inhibition of reactive oxygen species-associated inflammation. Mol. Nutr. Food Res. 2013, 57, 1037–1045. [Google Scholar] [CrossRef]
- Rauf, A.; Imran, M.; Khan, I.A.; Ur-Rehman, M.; Gilani, S.A.; Mehmood, Z.; Mubarak, M.S. Anticancer potential of quercetin: A comprehensive review. Phytother. Res. PTR 2018, 32, 2109–2130. [Google Scholar] [CrossRef]
- Sharma, A.; Kashyap, D.; Sak, K.; Tuli, H.S.; Sharma, A.K. Therapeutic Charm of Quercetin and Its Derivatives: A Review of Research and Patents. Pharm. Pat. Anal. 2018, 7, 15–32. [Google Scholar] [CrossRef]
- Kumar, R.; Vijayalakshmi, S.; Nadanasabapathi, S. Health benefits of quercetin. Def. Life Sci. J 2017, 2, 142. [Google Scholar] [CrossRef]
- Vafadar, A.; Shabaninejad, Z.; Movahedpour, A.; Fallahi, F.; Taghavipour, M.; Ghasemi, Y.; Akbari, M.; Shafiee, A.; Hajighadimi, S.; Moradizarmehri, S.; et al. Quercetin and cancer: New insights into its therapeutic effects on ovarian cancer cells. Cell Biosci. 2020, 10, 32. [Google Scholar] [CrossRef]
- Deng, T.T.; Ding, W.Y.; Lu, X.X.; Zhang, Q.H.; Du, J.X.; Wang, L.J.; Yang, M.N.; Yin, Y.; Liu, F.J. Pharmacological and mechanistic aspects of quercetin in osteoporosis. Front. Pharmacol. 2024, 15, 1338951. [Google Scholar] [CrossRef]
- Desai, A.; Mohite, A.; Pathan, D.; Sharangdher, S.; Koli, J.; Brennan, C.S.; Brennan, M.A.; Sawant, S.; Vishwasrao, V. Quercetin: A Versatile Flavonoid Antioxidant. J. Food Nutr. Diet. 2021, 9, 117–124. [Google Scholar]
- Deepika; Maurya, P.K. Health Benefits of Quercetin in Age-Related Diseases. Molecules 2022, 27, 2498. [Google Scholar] [CrossRef]
- Lou, H.; Hu, L.; Lu, H.; Wei, T.; Chen, Q. Metabolic Engineering of Microbial Cell Factories for Biosynthesis of Flavonoids: A Review. Molecules 2021, 26, 4522. [Google Scholar] [CrossRef] [PubMed]
- Semwal, R.; Joshi, S.K.; Semwal, R.B.; Semwal, D.K. Health benefits and limitations of rutin—A natural flavonoid with high nutraceutical value. Phytochem. Lett. 2021, 46, 119–128. [Google Scholar] [CrossRef]
- Rajesh, R.U.; Dhanaraj, S. A critical review on quercetin bioflavonoid and its derivatives: Scope, synthesis, and biological applications with future prospects. Arab. J. Chem. 2023, 16, 104881. [Google Scholar] [CrossRef]
- Chrzanowski, G. Saccharomyces Cerevisiae—An Interesting Producer of Bioactive Plant Polyphenolic Metabolites. Int. J. Mol. Sci. 2020, 21, 7343. [Google Scholar] [CrossRef]
- Magar, R.T.; Sohng, J.K. A Review on Structure, Modifications and Structure-Activity Relation of Quercetin and Its Derivatives. J. Microbiol. Biotechnol. 2020, 30, 11–20. [Google Scholar] [CrossRef]
- Rainha, J.; Gomes, D.; Rodrigues, L.R.; Rodrigues, J.L. Synthetic Biology Approaches to Engineer Saccharomyces cerevisiae towards the Industrial Production of Valuable Polyphenolic Compounds. Life 2020, 10, 56. [Google Scholar] [CrossRef]
- Yoon, J.-A.; Kim, B.-G.; Lee, W.J.; Lim, Y.; Chong, Y.; Ahn, J.-H. Production of a Novel Quercetin Glycoside through Metabolic Engineering of Escherichia coli. Appl. Environ. Microbiol. 2012, 78, 4256–4262. [Google Scholar] [CrossRef]
- Pandey, R.P.; Malla, S.; Simkhada, D.; Kim, B.-G.; Sohng, J.K. Production of 3-O-xylosyl quercetin in Escherichia coli. Appl. Microbiol. Biotechnol. 2013, 97, 1889–1901. [Google Scholar] [CrossRef]
- De Bruyn, F.; Van Brempt, M.; Maertens, J.; Van Bellegem, W.; Duchi, D.; De Mey, M. Metabolic engineering of Escherichia coli into a versatile glycosylation platform: Production of bio-active quercetin glycosides. Microb. Cell Factories 2015, 14, 138. [Google Scholar] [CrossRef] [PubMed]
- Marín, L.; Gutiérrez-del-Río, I.; Entrialgo-Cadierno, R.; Villar, C.J.; Lombó, F. De novo biosynthesis of myricetin, kaempferol and quercetin in Streptomyces albus and Streptomyces coelicolor. PLoS ONE 2018, 13, e0207278. [Google Scholar] [CrossRef] [PubMed]
- Demir, E.A.; Ozturk, A.; Tutuk, O.; Dogan, H.; Tumer, C. Anticonvulsive and behavior modulating effects of sophoretin and rutoside. Biol. Futur. 2019, 70, 251–259. [Google Scholar] [CrossRef] [PubMed]
- Saeed, M.; Naveed, M.; Arain, M.A.; Arif, M.; Abd El-Hack, M.E.; Alagawany, M.; Siyal, F.A.; Soomro, R.N.; Sun, C. Quercetin: Nutritional and beneficial effects in poultry. World’s Poult. Sci. J. 2017, 73, 355–364. [Google Scholar] [CrossRef]
- Sinkar, S.R.; Kombe, S.V.; Samarth, V.D.; Satpute, S.V.; Deshattiwar, N.J.; Burade, N.V.; Dhuldhaj, U.P. Chemistry and Biological Activities of Quercetin: A Bioactive Flavonoid. Res. Journey Int. E-Res. J. 2022, 297, 4–16. [Google Scholar]
- Al-Shakarchi, W.; Abdulaziz, N.T.; Mustafa, Y.F. A review of the chemical, pharmacokinetic, and pharmacological aspects of quercetin. Eurasian Chem. Commun. 2022, 4, 645–656. [Google Scholar]
- Abraham, M.H.; Acree, W.E. On the solubility of quercetin. J. Mol. Liq. 2014, 197, 157–159. [Google Scholar] [CrossRef]
- Islam, M.S.; Quispe, C.; Hossain, R.; Islam, M.T.; Al-Harrasi, A.; Al-Rawahi, A.; Martorell, M.; Mamurova, A.; Seilkhan, A.; Altybaeva, N.; et al. Neuropharmacological Effects of Quercetin: A Literature-Based Review. Front. Pharmacol. 2021, 12, 665031. [Google Scholar] [CrossRef]
- Güzeloğlu, A.; Bhattarai, A.; Wilczura-Wachnik, H. Interactions between quercetin and surfactants/solvents. Results Chem. 2024, 8, 101573. [Google Scholar] [CrossRef]
- Xiong, F.; Zhang, Y.; Li, T.; Tang, Y.; Song, S.Y.; Zhou, Q.; Wang, Y. A detailed overview of quercetin: Implications for cell death and liver fibrosis mechanisms. Front. Pharmacol. 2024, 15, 1389179. [Google Scholar] [CrossRef]
- Gupta, A.; Birhman, K.; Raheja, I.; Sharma, S.K.; Kar, H.K. Quercetin: A wonder bioflavonoid with therapeutic potential in disease management. Asian Pac. J. Trop. Dis. 2016, 6, 248–252. [Google Scholar] [CrossRef]
- Batiha, G.E.; Beshbishy, A.M.; Ikram, M.; Mulla, Z.S.; El-Hack, M.E.A.; Taha, A.E.; Algammal, A.M.; Elewa, Y.H.A. The Pharmacological Activity, Biochemical Properties, and Pharmacokinetics of the Major Natural Polyphenolic Flavonoid: Quercetin. Foods 2020, 9, 374. [Google Scholar] [CrossRef] [PubMed]
- Di Petrillo, A.; Orrù, G.; Fais, A.; Fantini, M.C. Quercetin and its derivates as antiviral potentials: A comprehensive review. Phytother. Res. PTR 2022, 36, 266–278. [Google Scholar] [CrossRef] [PubMed]
- Hai, Y.; Zhang, Y.; Liang, Y.; Ma, X.; Qi, X.; Xiao, J.; Xue, W.; Luo, Y.; Yue, T. Advance on the absorption, metabolism, and efficacy exertion of quercetin and its important derivatives. Food Front. 2020, 1, 420–434. [Google Scholar] [CrossRef]
- Guo, Y.; Bruno, R.S. Endogenous and exogenous mediators of quercetin bioavailability. J. Nutr. Biochem. 2015, 26, 201–210. [Google Scholar] [CrossRef]
- Arts, I.C.; Sesink, A.L.; Faassen-Peters, M.; Hollman, P.C. The type of sugar moiety is a major determinant of the small intestinal uptake and subsequent biliary excretion of dietary quercetin glycosides. Br. J. Nutr. 2004, 91, 841–847. [Google Scholar] [CrossRef]
- Li, C.; Zhang, W.J.; Choi, J.; Frei, B. Quercetin affects glutathione levels and redox ratio in human aortic endothelial cells not through oxidation but formation and cellular export of quercetin-glutathione conjugates and upregulation of glutamate-cysteine ligase. Redox Biol. 2016, 9, 220–228. [Google Scholar] [CrossRef]
- Xu, D.; Hu, M.J.; Wang, Y.Q.; Cui, Y.L. Antioxidant Activities of Quercetin and Its Complexes for Medicinal Application. Molecules 2019, 24, 1123. [Google Scholar] [CrossRef]
- Cadena-Velandia, Z.G.; Montenegro-Alarcón, J.C.; Marquínez-Casas, X.; Mora-Huertas, C.E. Quercetin-loaded alginate microparticles: A contribution on the particle structure. J. Drug Deliv. Sci. Technol. 2020, 56, 101558. [Google Scholar] [CrossRef]
- Elmowafy, E.; El-Derany, M.O.; Biondo, F.; Tiboni, M.; Casettari, L.; Soliman, M.E. Quercetin Loaded Monolaurate Sugar Esters-Based Niosomes: Sustained Release and Mutual Antioxidant-Hepatoprotective Interplay. Pharmaceutics 2020, 12, 143. [Google Scholar] [CrossRef]
- Liu, C.J.; Yao, L.; Hu, Y.M.; Zhao, B.T. Effect of Quercetin-Loaded Mesoporous Silica Nanoparticles on Myocardial Ischemia-Reperfusion Injury in Rats and Its Mechanism. Int. J. Nanomed. 2021, 16, 741–752. [Google Scholar] [CrossRef] [PubMed]
- Fujimori, M.; Kadota, K.; Shimono, K.; Shirakawa, Y.; Sato, H.; Tozuka, Y. Enhanced solubility of quercetin by forming composite particles with transglycosylated materials. J. Food Eng. 2015, 149, 248–254. [Google Scholar] [CrossRef]
- Khursheed, R.; Singh, S.K.; Wadhwa, S.; Gulati, M.; Awasthi, A. Enhancing the potential preclinical and clinical benefits of quercetin through novel drug delivery systems. Drug Discov. Today 2020, 25, 209–222. [Google Scholar] [CrossRef] [PubMed]
- Wu, T.H.; Yen, F.L.; Lin, L.T.; Tsai, T.R.; Lin, C.C.; Cham, T.M. Preparation, physicochemical characterization, and antioxidant effects of quercetin nanoparticles. Int. J. Pharm. 2008, 346, 160–168. [Google Scholar] [CrossRef]
- Dejeu, I.L.; Vicaș, L.G.; Jurca, T.; Teușdea, A.C.; Mureșan, M.E.; Fritea, L.; Svera, P.; Gabor, G.A.; Dejeu, G.E.; Maghiar, O.A.; et al. Liposomes with Caffeic Acid: Morphological and Structural Characterisation, Their Properties and Stability in Time. Processes 2021, 9, 912. [Google Scholar] [CrossRef]
- Nalini, T.; Basha, S.K.; Mohamed Sadiq, A.M.; Kumari, V.S.; Kaviyarasu, K. Development and characterization of alginate/chitosan nanoparticulate system for hydrophobic drug encapsulation. J. Drug Deliv. Sci. Technol. 2019, 52, 65–72. [Google Scholar] [CrossRef]
- Li, H.; Li, M.; Fu, J.; Ao, H.; Wang, W.; Wang, X. Enhancement of oral bioavailability of quercetin by metabolic inhibitory nanosuspensions compared to conventional nanosuspensions. Drug Deliv. 2021, 28, 1226–1236. [Google Scholar] [CrossRef]
- Alsaidan, O.A.; Pattanayak, P.; Awasthi, A.; Alruwaili, N.K.; Zafar, A.; Almawash, S.; Gulati, M.; Singh, S.K. Quality by design-based optimization of formulation parameters to develop quercetin nanosuspension for improving its biopharmaceutical properties. S. Afr. J. Bot. 2022, 149, 798–806. [Google Scholar] [CrossRef]
- Mahadev, M.; Nandini, H.S.; Ramu, R.; Gowda, D.V.; Almarhoon, Z.M.; Al-Ghorbani, M.; Mabkhot, Y.N. Fabrication and Evaluation of Quercetin Nanoemulsion: A Delivery System with Improved Bioavailability and Therapeutic Efficacy in Diabetes Mellitus. Pharmaceuticals 2022, 15, 70. [Google Scholar] [CrossRef]
- Son, H.-Y.; Lee, M.-S.; Chang, E.; Kim, S.-Y.; Kang, B.; Ko, H.; Kim, I.-H.; Zhong, Q.; Jo, Y.-H.; Kim, C.-T.; et al. Formulation and Characterization of Quercetin-loaded Oil in Water Nanoemulsion and Evaluation of Hypocholesterolemic Activity in Rats. Nutrients 2019, 11, 244. [Google Scholar] [CrossRef]
- Almeida, A.F.; Borge, G.I.A.; Piskula, M.; Tudose, A.; Tudoreanu, L.; Valentová, K.; Williamson, G.; Santos, C.N. Bioavailability of Quercetin in Humans with a Focus on Interindividual Variation. Compr. Rev. Food Sci. Food Saf. 2018, 17, 714–731. [Google Scholar] [CrossRef] [PubMed]
- Salawi, A. Self-emulsifying drug delivery systems: A novel approach to deliver drugs. Drug Deliv. 2022, 29, 1811–1823. [Google Scholar] [CrossRef] [PubMed]
- Jaisamut, P.; Wanna, S.; Limsuwan, S.; Chusri, S.; Wiwattanawongsa, K.; Wiwattanapatapee, R. Enhanced Oral Bioavailability and Improved Biological Activities of a Quercetin/Resveratrol Combination Using a Liquid Self-Microemulsifying Drug Delivery System. Planta Med. 2021, 87, 336–346. [Google Scholar] [CrossRef] [PubMed]
- Wu, N.; Zhang, Y.; Ren, J.; Zeng, A.; Liu, J. Preparation of quercetin-nicotinamide cocrystals and their evaluation under in vivo and in vitro conditions. RSC Adv. 2020, 10, 21852–21859. [Google Scholar] [CrossRef]
- Smith, A.J.; Kavuru, P.; Wojtas, L.; Zaworotko, M.J.; Shytle, R.D. Cocrystals of Quercetin with Improved Solubility and Oral Bioavailability. Mol. Pharm. 2011, 8, 1867–1876. [Google Scholar] [CrossRef]
- Tomou, E.-M.; Papakyriakopoulou, P.; Saitani, E.-M.; Valsami, G.; Pippa, N.; Skaltsa, H. Recent Advances in Nanoformulations for Quercetin Delivery. Pharmaceutics 2023, 15, 1656. [Google Scholar] [CrossRef]
- Murugesan, N.; Damodaran, C.; Krishnamoorthy, S. Niosomal formulation of Quercetin and Resveratrol and in-vitro release studies. J. Integr. Sci. Technol. 2022, 10, 5. [Google Scholar]
- Liu, W.; Kong, Y.; Ye, A.; Shen, P.; Dong, L.; Xu, X.; Hou, Y.; Wang, Y.; Jin, Y.; Han, J. Preparation, formation mechanism and in vitro dynamic digestion behavior of quercetin-loaded liposomes in hydrogels. Food Hydrocoll. 2020, 104, 105743. [Google Scholar] [CrossRef]
- Caddeo, C.; Gabriele, M.; Fernàndez-Busquets, X.; Valenti, D.; Fadda, A.M.; Pucci, L.; Manconi, M. Antioxidant activity of quercetin in Eudragit-coated liposomes for intestinal delivery. Int. J. Pharm. 2019, 565, 64–69. [Google Scholar] [CrossRef]
- Rocha, S.; Luísa Corvo, M.; Freitas, M.; Fernandes, E. Liposomal quercetin: A promising strategy to combat hepatic insulin resistance and inflammation in type 2 diabetes mellitus. Int. J. Pharm. 2024, 661, 124441. [Google Scholar] [CrossRef]
- Chen, J.; Chen, J.; Yu, P.; Yang, C.; Xia, C.; Deng, J.; Yu, M.; Xiang, Z.; Gan, L.; Zhu, B.; et al. A Novel Quercetin Encapsulated Glucose Modified Liposome and Its Brain-Target Antioxidative Neuroprotection Effects. Molecules 2024, 29, 607. [Google Scholar] [CrossRef] [PubMed]
- Melchior, S.; Codrich, M.; Gorassini, A.; Mehn, D.; Ponti, J.; Verardo, G.; Tell, G.; Calzolai, L.; Calligaris, S. Design and advanced characterization of quercetin-loaded nano-liposomes prepared by high-pressure homogenization. Food Chem. 2023, 428, 136680. [Google Scholar] [CrossRef] [PubMed]
- Keshavarz, F.; Dorfaki, M.; Bardania, H.; Khosravani, F.; Nazari, P.; Ghalamfarsa, G. Quercetin-loaded Liposomes Effectively Induced Apoptosis and Decreased the Epidermal Growth Factor Receptor Expression in Colorectal Cancer Cells: An In Vitro Study. Iran J. Med. Sci. 2023, 48, 321–328. [Google Scholar] [CrossRef] [PubMed]
- Borghetti, G.S.; Lula, I.S.; Sinisterra, R.D.; Bassani, V.L. Quercetin/beta-cyclodextrin solid complexes prepared in aqueous solution followed by spray-drying or by physical mixture. AAPS PharmSciTech 2009, 10, 235–242. [Google Scholar] [CrossRef] [PubMed]
- Zheng, Y.; Haworth, I.S.; Zuo, Z.; Chow, M.S.; Chow, A.H. Physicochemical and structural characterization of quercetin-beta-cyclodextrin complexes. J. Pharm. Sci. 2005, 94, 1079–1089. [Google Scholar] [CrossRef]
- Başaran, E.; Öztürk, A.A.; Şenel, B.; Demirel, M.; Sarica, Ş. Quercetin, Rutin And Quercetin-Rutin Incorporated Hydroxypropyl β-Cyclodextrin Inclusion Complexes. Eur. J. Pharm. Sci. 2022, 172, 106153. [Google Scholar] [CrossRef]
- Wangsawangrung, N.; Choipang, C.; Chaiarwut, S.; Ekabutr, P.; Suwantong, O.; Chuysinuan, P.; Techasakul, S.; Supaphol, P. Quercetin/Hydroxypropyl-β-Cyclodextrin Inclusion Complex-Loaded Hydrogels for Accelerated Wound Healing. Gels 2022, 8, 573. [Google Scholar] [CrossRef]
- Papakyriakopoulou, P.; Manta, K.; Kostantini, C.; Kikionis, S.; Banella, S.; Ioannou, E.; Christodoulou, E.; Rekkas, D.M.; Dallas, P.; Vertzoni, M.; et al. Nasal powders of quercetin-β-cyclodextrin derivatives complexes with mannitol/lecithin microparticles for Nose-to-Brain delivery: In vitro and ex vivo evaluation. Int J Pharm 2021, 607, 121016. [Google Scholar] [CrossRef]
- Rajamohan, R.; Ashokkumar, S.; Murugavel, K.; Lee, Y.R. Preparation and Characterization of a Nano-Inclusion Complex of Quercetin with β-Cyclodextrin and Its Potential Activity on Cancer Cells. Micromachines 2023, 14, 1352. [Google Scholar] [CrossRef]
- Wang, Z.; Zou, W.; Liu, L.; Wang, M.; Li, F.; Shen, W. Characterization and bacteriostatic effects of β-cyclodextrin/quercetin inclusion compound nanofilms prepared by electrospinning. Food Chem. 2021, 338, 127980. [Google Scholar] [CrossRef]
- Krstić, L.; Jarho, P.; Ruponen, M.; Urtti, A.; González-García, M.J.; Diebold, Y. Improved ocular delivery of quercetin and resveratrol: A comparative study between binary and ternary cyclodextrin complexes. Int. J. Pharm. 2022, 624, 122028. [Google Scholar] [CrossRef] [PubMed]
- Salazar Sandoval, S.; Bruna, T.; Maldonado-Bravo, F.; Bolaños, K.; Adasme-Reyes, S.; Riveros, A.; Caro, N.; Yutronic, N.; Silva, N.; Kogan, M.J.; et al. β-Cyclodextrin Nanosponges Inclusion Compounds Associated with Silver Nanoparticles to Increase the Antimicrobial Activity of Quercetin. Materials 2023, 16, 3538. [Google Scholar] [CrossRef] [PubMed]
- Wang, W.; Liu, Y.; Zhang, H.; Ling, D.; Yan, Q.; Wu, Y.; Jin, Y.; Xie, F. Preparation of inhalable quercetin-β-cyclodextrin inclusion complexes using the supercritical antisolvent process for the prevention of smoke inhalation-induced acute lung injury. J. CO2 Util. 2023, 69, 102414. [Google Scholar] [CrossRef]
- Chang, C.H.; Han, D.E.; Ji, Y.Y.; Wang, M.Y.; Li, D.H.; Xu, Z.L.; Li, J.H.; Huang, S.N.; Zhu, X.L.; Jia, Y.Y. Folate-chitosan Coated Quercetin Liposomes for Targeted Cancer Therapy. Curr. Pharm. Biotechnol. 2024, 25, 924–935. [Google Scholar] [CrossRef] [PubMed]
- Turkekul, K.; Erdogan, S. Potent Suppression of Prostate Cancer Cell Growth and Eradication of Cancer Stem Cells by CD44-targeted Nanoliposome-quercetin Nanoparticles. J. Cancer Prev. 2023, 28, 160–174. [Google Scholar] [CrossRef]
- Abd El-Emam, M.M.; Mostafa, M.; Farag, A.A.; Youssef, H.S.; El-Demerdash, A.S.; Bayoumi, H.; Gebba, M.A.; El-Halawani, S.M.; Saleh, A.M.; Badr, A.M.; et al. The Potential Effects of Quercetin-Loaded Nanoliposomes on Amoxicillin/Clavulanate-Induced Hepatic Damage: Targeting the SIRT1/Nrf2/NF-κB Signaling Pathway and Microbiota Modulation. Antioxidants 2023, 12, 1487. [Google Scholar] [CrossRef]
- Al-Samydai, A.; Al Qaraleh, M.; Al Azzam, K.M.; Mayyas, A.; Nsairat, H.; Abu Hajleh, M.N.; Al-Halaseh, L.K.; Al-Karablieh, N.; Akour, A.; Alshaik, F.; et al. Formulating co-loaded nanoliposomes with gallic acid and quercetin for enhanced cancer therapy. Heliyon 2023, 9, e17267. [Google Scholar] [CrossRef]
- Loo, C.Y.; Traini, D.; Young, P.M.; Parumasivam, T.; Lee, W.H. Pulmonary delivery of curcumin and quercetin nanoparticles for lung cancer–Part 2: Toxicity and endocytosis. J. Drug Deliv. Sci. Technol. 2023, 82, 104375. [Google Scholar] [CrossRef]
- Essa, D.; Kondiah, P.P.D.; Kumar, P.; Choonara, Y.E. Design of Chitosan-Coated, Quercetin-Loaded PLGA Nanoparticles for Enhanced PSMA-Specific Activity on LnCap Prostate Cancer Cells. Biomedicines 2023, 11, 1201. [Google Scholar] [CrossRef]
- Das, S.; Saha, M.; Mahata, L.C.; China, A.; Chatterjee, N.; Das Saha, K. Quercetin and 5-Fu Loaded Chitosan Nanoparticles Trigger Cell-Cycle Arrest and Induce Apoptosis in HCT116 Cells via Modulation of the p53/p21 Axis. ACS Omega 2023, 8, 36893–36905. [Google Scholar] [CrossRef]
- Canbolat, F.; Demir, N.; Yayıntas, O.T.; Pehlivan, M.; Eldem, A.; Ayna, T.K.; Senel, M. Chitosan Nanoparticles Loaded with Quercetin and Valproic Acid: A Novel Approach for Enhancing Antioxidant Activity against Oxidative Stress in the SH-SY5Y Human Neuroblastoma Cell Line. Biomedicines 2024, 12, 287. [Google Scholar] [CrossRef] [PubMed]
- Al-Serwi, R.H.; Eladl, M.A.; El-Sherbiny, M.; Saleh, M.A.; Othman, G.; Alshahrani, S.M.; Alnefaie, R.; Jan, A.M.; Alnasser, S.M.; Albalawi, A.E.; et al. Targeted Drug Administration onto Cancer Cells Using Hyaluronic Acid-Quercetin-Conjugated Silver Nanoparticles. Molecules 2023, 28, 4146. [Google Scholar] [CrossRef] [PubMed]
- Frent, O.D.; Duda-Seiman, D.M.; Vicas, L.G.; Duteanu, N.; Nemes, N.S.; Pascu, B.; Teusdea, A.; Morgovan, C.M.; Muresan, M.E.; Jurca, T.; et al. Study of the Influence of the Excipients Used for the Synthesis of Microspheres Loaded with Quercetin: Their Characterization and Antimicrobial Activity. Coatings 2023, 13, 1376. [Google Scholar] [CrossRef]
- Frenț, O.D.; Duteanu, N.; Teusdea, A.C.; Ciocan, S.; Vicaș, L.; Jurca, T.; Muresan, M.; Pallag, A.; Ianasi, P.; Marian, E. Preparation and Characterization of Chitosan-Alginate Microspheres Loaded with Quercetin. Polymers 2022, 14, 490. [Google Scholar] [CrossRef]
- Carucci, C.; Sechi, G.; Piludu, M.; Monduzzi, M.; Salis, A. A drug delivery system based on poly-L-lysine grafted mesoporous silica nanoparticles for quercetin release. Colloids Surf. A Physicochem. Eng. Asp. 2022, 648, 129343. [Google Scholar] [CrossRef]
- Jaisinghani, R.N. Antibacterial Properties of Quercetin. Microbiol. Res. 2017, 8. [Google Scholar] [CrossRef]
- Lesjak, M.; Beara, I.; Simin, N.; Pintać, D.; Majkić, T.; Bekvalac, K.; Orčić, D.; Mimica-Dukić, N. Antioxidant and anti-inflammatory activities of quercetin and its derivatives. J. Funct. Foods 2018, 40, 68–75. [Google Scholar] [CrossRef]
- Giordano, M.E.; Lionetto, M.G. Intracellular Redox Behavior of Quercetin and Resveratrol Singly and in Mixtures. Molecules 2023, 28, 4682. [Google Scholar] [CrossRef]
- Suematsu, N.; Hosoda, M.; Fujimori, K. Protective effects of quercetin against hydrogen peroxide-induced apoptosis in human neuronal SH-SY5Y cells. Neurosci. Lett. 2011, 504, 223–227. [Google Scholar] [CrossRef]
- Sul, O.-J.; Ra, S.W. Quercetin Prevents LPS-Induced Oxidative Stress and Inflammation by Modulating NOX2/ROS/NF-kB in Lung Epithelial Cells. Molecules 2021, 26, 6949. [Google Scholar] [CrossRef]
- Bureau, G.; Longpré, F.; Martinoli, M.-G. Resveratrol and quercetin, two natural polyphenols, reduce apoptotic neuronal cell death induced by neuroinflammation. J. Neurosci. Res. 2008, 86, 403–410. [Google Scholar] [CrossRef] [PubMed]
- García-Mediavilla, V.; Crespo, I.; Collado, P.S.; Esteller, A.; Sánchez-Campos, S.; Tuñón, M.J.; González-Gallego, J. The anti-inflammatory flavones quercetin and kaempferol cause inhibition of inducible nitric oxide synthase, cyclooxygenase-2 and reactive C-protein, and down-regulation of the nuclear factor kappaB pathway in Chang Liver cells. Eur. J. Pharmacol. 2007, 557, 221–229. [Google Scholar] [CrossRef] [PubMed]
- Ke, X.; Chen, Z.; Wang, X.; Kang, H.; Hong, S. Quercetin improves the imbalance of Th1/Th2 cells and Treg/Th17 cells to attenuate allergic rhinitis. Autoimmunity 2023, 56, 2189133. [Google Scholar] [CrossRef] [PubMed]
- Sharma, S.; Raj, K.; Singh, S. Neuroprotective Effect of Quercetin in Combination with Piperine Against Rotenone- and Iron Supplement-Induced Parkinson’s Disease in Experimental Rats. Neurotox. Res. 2020, 37, 198–209. [Google Scholar] [CrossRef]
- Poprac, P.; Jomova, K.; Simunkova, M.; Kollar, V.; Rhodes, C.J.; Valko, M. Targeting free radicals in oxidative stress-related human diseases. Trends Pharmacol. Sci. 2017, 38, 592–607. [Google Scholar] [CrossRef]
- Zaplatic, E.; Bule, M.; Shah, S.Z.A.; Uddin, M.S.; Niaz, K. Molecular mechanisms underlying protective role of quercetin in attenuating Alzheimer’s disease. Life Sci. 2019, 224, 109–119. [Google Scholar] [CrossRef]
- Grewal, A.K.; Singh, T.G.; Sharma, D.; Sharma, V.; Singh, M.; Rahman, M.H.; Najda, A.; Walasek-Janusz, M.; Kamel, M.; Albadrani, G.M.; et al. Mechanistic insights and perspectives involved in neuroprotective action of quercetin. Biomed. Pharmacother. 2021, 140, 111729. [Google Scholar] [CrossRef]
- Rifaai, R.A.; Mokhemer, S.A.; Saber, E.A.; El-Aleem, S.A.A.; El-Tahawy, N.F.G. Neuroprotective effect of quercetin nanoparticles: A possible prophylactic and therapeutic role in alzheimer’s disease. J. Chem. Neuroanat. 2020, 107, 101795. [Google Scholar] [CrossRef]
- Giordani, C.; Matacchione, G.; Giuliani, A.; Valli, D.; Scarpa, E.S.; Antonelli, A.; Sabbatinelli, J.; Giacchetti, G.; Sabatelli, S.; Olivieri, F.; et al. Pro-Osteogenic and Anti-Inflammatory Synergistic Effect of Orthosilicic Acid, Vitamin K2, Curcumin, Polydatin and Quercetin Combination in Young and Senescent Bone Marrow-Derived Mesenchymal Stromal Cells. Int. J. Mol. Sci. 2023, 24, 8820. [Google Scholar] [CrossRef]
- Lai, C.Y.; Yang, J.Y.; Rayalam, S.; Della-Fera, M.A.; Ambati, S.; Lewis, R.D.; Hamrick, M.W.; Hartzell, D.L.; Baile, C.A. Preventing bone loss and weight gain with combinations of vitamin D and phytochemicals. J. Med. Food 2011, 14, 1352–1362. [Google Scholar] [CrossRef]
- Elbarbry, F.; Ung, A.; Abdelkawy, K. Studying the Inhibitory Effect of Quercetin and Thymoquinone on Human Cytochrome P450 Enzyme Activities. Pharmacogn. Mag. 2018, 13, S895–S899. [Google Scholar] [CrossRef] [PubMed]
- Hubbard, G.P.; Wolffram, S.; de Vos, R.; Bovy, A.; Gibbins, J.M.; Lovegrove, J.A. Ingestion of onion soup high in quercetin inhibits platelet aggregation and essential components of the collagen-stimulated platelet activation pathway in man: A pilot study. Br. J. Nutr. 2006, 96, 482–488. [Google Scholar] [CrossRef] [PubMed]
- Lapi, D.; Vagnani, S.; Pignataro, G.; Esposito, E.; Paterni, M.; Colantuoni, A. Protective Effects of Quercetin on Rat Pial Microvascular Changes during Transient Bilateral Common Carotid Artery Occlusion and Reperfusion. Front. Physiol. 2012, 3, 32. [Google Scholar] [CrossRef] [PubMed]
- Mosawy, S. Effect of the flavonol quercetin on human platelet function: A review. Food Public Health 2015, 5, 1–9. [Google Scholar] [CrossRef]
- Shah, K.N.; Patel, S.S. Phosphatidylinositide 3-kinase inhibition: A new potential target for the treatment of polycystic ovarian syndrome. Pharm. Biol. 2016, 54, 975–983. [Google Scholar] [CrossRef]
- Popiolek-Kalisz, J.; Fornal, E. The Effects of Quercetin Supplementation on Blood Pressure–Meta-Analysis. Curr. Probl. Cardiol. 2022, 47, 101350. [Google Scholar] [CrossRef]
- Mackraj, I.; Govender, T.; Ramesar, S. The Antihypertensive Effects of Quercetin in a Salt-sensitive Model of Hypertension. J. Cardiovasc. Pharmacol. 2008, 51, 239–245. [Google Scholar] [CrossRef]
- Häckl, L.P.N.; Cuttle, G.; Sanches Dovichi, S.; Lima-Landman, M.T.; Nicolau, M. Inhibition of Angiotensin-Converting Enzyme by Quercetin Alters the Vascular Response to Bradykinin and Angiotensin I. Pharmacology 2002, 65, 182–186. [Google Scholar] [CrossRef]
- Pei, Y.; Otieno, D.; Gu, I.; Lee, S.O.; Parks, J.S.; Schimmel, K.; Kang, H.W. Effect of quercetin on nonshivering thermogenesis of brown adipose tissue in high-fat diet-induced obese mice. J. Nutr. Biochem. 2021, 88, 108532. [Google Scholar] [CrossRef]
- Ahmed, H.H.; Kotob, S.E.; Abd-Rabou, A.A.; Aglan, H.A.; Elmegeed, G.A.; Mohawed, O.A. Pre-clinical evidence for the anti-obesity potential of quercetin and curcumin loaded chitosan/PEG blended PLGA nanoparticles. Biomed. Pharmacol. J. 2021, 14, 1731–1759. [Google Scholar] [CrossRef]
- Mirzaei, A.; Deyhimfar, R.; Azodian Ghajar, H.; Mashhadi, R.; Noori, M.; Dialameh, H.; Aghsaeifard, Z.; Aghamir, S.M.K. Quercetin can be a more reliable treatment for metastatic prostate cancer than the localized disease: An in vitro study. J. Cell. Mol. Med. 2023, 27, 1725–1734. [Google Scholar] [CrossRef] [PubMed]
- Guan, X.; Gao, M.; Xu, H.; Zhang, C.; Liu, H.; Lv, L.; Deng, S.; Gao, D.; Tian, Y. Quercetin-loaded poly (lactic-co-glycolic acid)-d-α-tocopheryl polyethylene glycol 1000 succinate nanoparticles for the targeted treatment of liver cancer. Drug Deliv. 2016, 23, 3307–3318. [Google Scholar] [CrossRef] [PubMed]
- Nguyen, T.L.; Bhattacharya, D. Antimicrobial Activity of Quercetin: An Approach to Its Mechanistic Principle. Molecules 2022, 27, 2494. [Google Scholar] [CrossRef] [PubMed]
- Wang, S.; Yao, J.; Zhou, B.; Yang, J.; Chaudry, M.T.; Wang, M.; Xiao, F.; Li, Y.; Yin, W. Bacteriostatic Effect of Quercetin as an Antibiotic Alternative In Vivo and Its Antibacterial Mechanism In Vitro. J. Food Prot. 2018, 81, 68–78. [Google Scholar] [CrossRef] [PubMed]
- Pal, A.; Tripathi, A. Quercetin potentiates meropenem activity among pathogenic carbapenem-resistant Pseudomonas aeruginosa and Acinetobacter baumannii. J. Appl. Microbiol. 2019, 127, 1038–1047. [Google Scholar] [CrossRef]
- Pal, A.; Tripathi, A. Demonstration of bactericidal and synergistic activity of quercetin with meropenem among pathogenic carbapenem resistant Escherichia coli and Klebsiella pneumoniae. Microb. Pathog. 2020, 143, 104120. [Google Scholar] [CrossRef]
- Cushnie, T.P.; Lamb, A.J. Antimicrobial activity of flavonoids. Int. J. Antimicrob. Agents 2005, 26, 343–356. [Google Scholar] [CrossRef]
- Kerna, N.A.; Ngwu, D.C.; Akuma, O.M.; Holets, H.M.; Chawla, S.; Flores, J.V.; Pruitt, K.D.; Carsrud, N.D.V.; McKee, D.; Okpo, N.C.; et al. Quercetin: Exploring Its Unique Flavonol Properties, Bioavailability, Safety Profile, and Therapeutic Potential in High-Impact Medical Conditions. Eur. J. Med. Health Res. 2024, 2, 178–198. [Google Scholar] [CrossRef]
- Gao, M.; Wang, H.; Zhu, L. Quercetin Assists Fluconazole to Inhibit Biofilm Formations of Fluconazole-Resistant Candida Albicans in In Vitro and In Vivo Antifungal Managements of Vulvovaginal Candidiasis. Cell. Physiol. Biochem. Int. J. Exp. Cell. Physiol. Biochem. Pharmacol. 2016, 40, 727–742. [Google Scholar] [CrossRef]
- Vashisth, P.; Nikhil, K.; Pemmaraju, S.C.; Pruthi, P.A.; Mallick, V.; Singh, H.; Patel, A.; Mishra, N.C.; Singh, R.P.; Pruthi, V. Antibiofilm activity of quercetin-encapsulated cytocompatible nanofibers against Candida albicans. J. Bioact. Compat. Polym. 2013, 28, 652–665. [Google Scholar] [CrossRef]
- Giordani, B.; Basnet, P.; Mishchenko, E.; Luppi, B.; Škalko-Basnet, N. Utilizing Liposomal Quercetin and Gallic Acid in Localized Treatment of Vaginal Candida Infections. Pharmaceutics 2020, 12, 9. [Google Scholar] [CrossRef] [PubMed]
- Rocha, M.F.G.; Sales, J.A.; Da Rocha, M.G.; Galdino, L.M.; De Aguiar, L.; Pereira-Neto, W.d.A.; De Aguiar Cordeiro, R.; Castelo-Branco, D.d.S.C.M.; Sidrim, J.J.C.; Brilhante, R.S.N. Antifungal effects of the flavonoids kaempferol and quercetin: A possible alternative for the control of fungal biofilms. Biofouling 2019, 35, 320–328. [Google Scholar] [CrossRef]
- Mehrbod, P.; Hudy, D.; Shyntum, D.; Markowski, J.; Łos, M.J.; Ghavami, S. Quercetin as a Natural Therapeutic Candidate for the Treatment of Influenza Virus. Biomolecules 2021, 11, 10. [Google Scholar] [CrossRef] [PubMed]
- Gasmi, A.; Mujawdiya, P.K.; Lysiuk, R.; Shanaida, M.; Peana, M.; Gasmi Benahmed, A.; Beley, N.; Kovalska, N.; Bjørklund, G. Quercetin in the Prevention and Treatment of Coronavirus Infections: A Focus on SARS-CoV-2. Pharmaceuticals 2022, 15, 1049. [Google Scholar] [CrossRef] [PubMed]
- Parvez, M.K.; Ahmed, S.; Al-Dosari, M.S.; Abdelwahid, M.A.S.; Arbab, A.H.; Al-Rehaily, A.J.; Al-Oqail, M.M. Novel Anti-Hepatitis B Virus Activity of Euphorbia schimperi and Its Quercetin and Kaempferol Derivatives. ACS Omega 2021, 6, 29100–29110. [Google Scholar] [CrossRef] [PubMed]
- Fanunza, E.; Iampietro, M.; Distinto, S.; Corona, A.; Quartu, M.; Maccioni, E.; Horvat, B.; Tramontano, E. Quercetin Blocks Ebola Virus Infection by Counteracting the VP24 Interferon-Inhibitory Function. Antimicrob. Agents Chemother. 2020, 64, e00530-20. [Google Scholar] [CrossRef]
- Kim, C.H.; Kim, J.E.; Song, Y.J. Antiviral Activities of Quercetin and Isoquercitrin Against Human Herpesviruses. Molecules 2020, 25, 2379. [Google Scholar] [CrossRef]
- Romina, E.C.; Carlota, C.E.; Virginie, B.; Genevieve, B.; Raul, Z.R. An Overview of Global Flavonoid Intake and its Food Sources. In Flavonoids; Goncalo, C.J., Ed.; IntechOpen: Rijeka, Croatia, 2017; p. Ch. 17. [Google Scholar] [CrossRef]
- Mosad, A.G.; Abdallah, Z.Z.; Falah, H.S.; Ahmed, M.S. Unveiling the Potential of Quercetin: Chemistry, Health Benefits, Toxicity, and Cutting-Edge Advances. In Quercetin-Effects on Human Health; Joško, O., Ed.; IntechOpen: Rijeka, Croatia, 2024; p. Ch. 2. [Google Scholar] [CrossRef]
Disclaimer/Publisher’s Note: The statements, opinions and data contained in all publications are solely those of the individual author(s) and contributor(s) and not of MDPI and/or the editor(s). MDPI and/or the editor(s) disclaim responsibility for any injury to people or property resulting from any ideas, methods, instructions or products referred to in the content. |
© 2024 by the authors. Licensee MDPI, Basel, Switzerland. This article is an open access article distributed under the terms and conditions of the Creative Commons Attribution (CC BY) license (https://creativecommons.org/licenses/by/4.0/).








