Endophytic Colonization of Beauveria bassiana Enhances Drought Stress Tolerance in Tomato via “Water Spender” Pathway
Abstract
1. Introduction
2. Results
2.1. Colonization of B. bassiana in Tomato Seedlings
2.2. Effect of B. bassiana Colonization on Growth of Tomato Seedling Under Simulated Osmotic Stress Conditions in Hydroponics
2.3. Effect of B. bassiana Treatment on Water Absorption
2.4. Effect of B. bassiana Colonization on Tomato Seedling Growth Indicators Under Drought Stress in Pot Experiment
2.5. Effect of B. bassiana Treatment on Stomata Morphology in Tomato Leaves Under Drought Stress
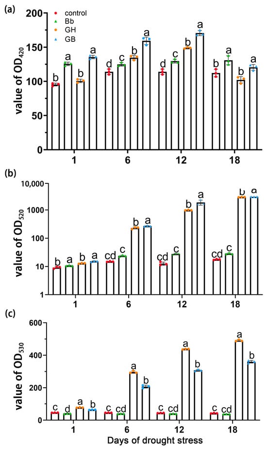
2.6. Analysis of Physicochemical Indexes in the Tomato Seedlings
2.7. Analysis of Gene Expression Levels in the Tomato Seedlings
3. Discussion
4. Materials and Methods
5. Conclusions
Supplementary Materials
Author Contributions
Funding
Institutional Review Board Statement
Informed Consent Statement
Data Availability Statement
Acknowledgments
Conflicts of Interest
References
- Zytynska, S. Embracing the complexity of plant-microbe-insect interactions under a changing climate for sustainable agriculture. Curr. Opin. Insect Sci. 2021, 44, 89–94. [Google Scholar] [CrossRef] [PubMed]
- Krishna, R.; Ansari, W.; Soumia, P.; Yadav, A.; Jaiswal, D.; Kumar, S.; Singh, A.; Singh, M.; Verma, J. Biotechnological Interventions in Tomato (Solanum lycopersicum) for Drought Stress Tolerance: Achievements and Future Prospects. BioTech 2022, 11, 48. [Google Scholar] [CrossRef]
- Chowdhury, R.; Eti, F.; Ahmed, R.; Gupta, S.; Jhan, P.; Islam, T.; Bhuiyan, M.; Rubel, M.; Khayer, A. Drought-responsive genes in tomato: Meta-analysis of gene expression using machine learning. Sci. Rep. 2023, 13, 19374. [Google Scholar] [CrossRef] [PubMed]
- González, E. Drought Stress Tolerance in Plants. Int. J. Mol. Sci. 2023, 24, 6562. [Google Scholar] [CrossRef]
- Yang, C.; Han, N.; Inoue, C.; Yang, Y.L.; Nojiri, H.; Ho, Y.N.; Chien, M.F. Rhizospheric plant-microbe synergistic interactions achieve efficient arsenic phytoextraction by Pteris vittata. J. Hazard. Mater. 2022, 434, 128870. [Google Scholar] [CrossRef]
- Yan, L.; Zhu, J.; Zhao, X.; Shi, J.; Jiang, C.; Shao, D. Beneficial effects of endophytic fungi colonization on plants. Appl. Microbiol. Biotechnol. 2019, 103, 3327–3340. [Google Scholar] [CrossRef] [PubMed]
- Egamberdieva, D.; Wirth, S.; Shurigin, V.; Hashem, A.; Abd, A. Endophytic Bacteria Improve Plant Growth. Symbiotic Performance of Chickpea (Cicer arietinum L.) and Induce Suppression of Root Rot Caused by Fusarium solani under Salt Stress. Front. Microbiol. 2017, 28, 1887. [Google Scholar] [CrossRef]
- Bing, L.; Lewis, L. Suppression of Ostrinia nubilalis (Hübner) (Lepidoptera: Pyralidae) by endophytic Beauveria bassiana (Balsamo) Vuillemin. Environ. Entomol. 1991, 20, 1207–1211. [Google Scholar] [CrossRef]
- Půža, V.; Tarasco, E. Interactions between Entomopathogenic Fungi and Entomopathogenic Nematodes. Microorganisms 2023, 8, 163. [Google Scholar] [CrossRef]
- Bamisile, B.S.; Dash, C.K.; Akutse, K.S.; Qasim, M.; Ramos Aguila, L.C.; Wang, F.; Keppanan, R.; Wang, L. Endophytic Beauveria bassiana in Foliar-Treated Citrus limon Plants Acting as a Growth Suppressor to Three Successive Generations of Diaphorina citri Kuwayama (Hemiptera: Liviidae). Insects 2019, 10, 176. [Google Scholar] [CrossRef]
- Zheng, Y.; Liu, Y.; Zhang, J.; Liu, X.; Ju, Z.; Shi, H.; Mendoza-Mendoza, A.; Zhou, W. Dual role of endophytic entomopathogenic fungi: Induce plant growth and control tomato leafminer Phthorimaea absoluta. Pest. Manag. Sci. 2023, 79, 4557–4568. [Google Scholar] [CrossRef] [PubMed]
- Sui, L.; Lu, Y.; Yang, H.; Liu, Z.; Wang, L.; Zou, X.; Li, Q.; Zhang, Z. Endophytic Beauveria bassiana promotes sunflower growth and confers resistance against sclerotinia disease. BioControl 2024. [Google Scholar] [CrossRef]
- Deb, L.; Dutta, P. Antagonistic potential of Beauveria bassiana (Balsamo) Vuillemin against Pythium myriotylum causing damping off of tomato. Indian Phytopathol. 2021, 74, 715–728. [Google Scholar] [CrossRef]
- Sui, L.; Lu, Y.; Zhou, L.; Li, N.; Li, Q.; Zhang, Z. Endophytic Beauveria bassiana promotes plant biomass growth and suppresses pathogen damage by directional recruitment. Front. Microbiol. 2023, 16, 1227269. [Google Scholar] [CrossRef] [PubMed]
- Ozturk, M.; Turkyilmaz, U.; García-Caparrós, P.; Khursheed, A.; Gul, A.; Hasanuzzaman, M. Osmoregulation and its actions during the drought stress in plants. Physiol. Plant. 2021, 172, 1321–1335. [Google Scholar] [CrossRef]
- Parrotta, L.; Aloisi, I.; Faleri, C.; Romi, M.; Del Duca, S.; Cai, G. Chronic heat stress affects the photosynthetic apparatus of Solanum lycopersicum L. cv Micro-Tom. Plant Physiol. Biochem. 2020, 154, 463–475. [Google Scholar] [CrossRef]
- Zuo, H.; Chen, J.; Lv, Z.; Shao, C.; Chen, Z.; Zhou, Y.; Shen, C. Tea-Derived Polyphenols Enhance Drought Resistance of Tea Plants (Camellia sinensis) by Alleviating Jasmonate-Isoleucine Pathway and Flavonoid Metabolism Flow. Int. J. Mol. Sci. 2024, 25, 3817. [Google Scholar] [CrossRef]
- Zhu, Y.; Yan, J.; Liu, W.; Liu, L.; Sheng, Y.; Sun, Y.; Li, Y.; Scheller, H.V.; Jiang, M.; Hou, X.; et al. Phosphorylation of a NAC Transcription Factor by a Calcium/Calmodulin-Dependent Protein Kinase Regulates Abscisic Acid-Induced Antioxidant Defense in Maize. Plant Physiol. 2016, 171, 1651–1664. [Google Scholar] [CrossRef]
- Ramachandra, R.; Chaitanya, K.; Vivekanandan, M. Drought-induced responses of photosynthesis and antioxidant metabolism in higher plants. J. Plant Physiol. 2004, 161, 1189–1202. [Google Scholar]
- Alhaithloul, H. Impact of Combined Heat and Drought Stress on the Potential Growth Responses of the Desert Grass Artemisia sieberi alba: Relation to Biochemical and Molecular Adaptation. Plants. 2019, 8, 416. [Google Scholar] [CrossRef]
- Zhu, S.; Zhao, W.; Sheng, L.; Yang, X.; Mao, H.; Sun, S.; Chen, Z. Integrated transcriptome and metabolomics analyses revealed key functional genes in Canna indica under Cr stress. Sci. Rep. 2024, 14, 14090. [Google Scholar] [CrossRef] [PubMed]
- Zhu, X.; Wang, F.; Li, S.; Feng, Y.; Yang, J.; Zhang, N.; Si, H. Calcium-Dependent Protein Kinase 28 Maintains Potato Photosynthesis and Its Tolerance under Water Deficiency and Osmotic Stress. Int. J. Mol. Sci. 2022, 23, 8795. [Google Scholar] [CrossRef]
- Conti, V.; Parrotta, L.; Romi, M.; Del, D.; Cai, G. Tomato Biodiversity and Drought Tolerance: A Multilevel Review. Int. J. Mol. Sci. 2023, 24, 10044. [Google Scholar] [CrossRef] [PubMed]
- Kuzhuppillymyal, L.; Tamez, P.; Gomez, R.; Rodriguez, M.; Ek-Ramos, M. Endophytic Beauveria bassiana promotes drought tolerance and early flowering in corn. World J. Microbiol. Biotechnol. 2020, 36, 47. [Google Scholar] [CrossRef]
- Aimone, C.; Giauque, H.; Hawkes, C. Fungal symbionts generate water-saver and water-spender plant drought strategies via diverse effects on host gene expression. Phytobiomes J. 2023, 7, 2471–2906. [Google Scholar] [CrossRef]
- Wu, L.; Zhang, Y.; Wang, L.; Xie, W.; Song, L.; Zhang, H.; Bi, H.; Zheng, Y.; Zhang, Y.; Zhang, X.; et al. Analysis of 22-year Drought Characteristics in Heilongjiang Province Based on Temperature Vegetation Drought Index. Comput. Intell. Neurosci. 2022, 2022, 1003243. [Google Scholar] [CrossRef] [PubMed]
- Shah, S.; Tiwari, A.; Song, X.; Talchabahdel, R.; Habiyakare, T.; Adhikari, A. Drought index predictability for historical and future periods across the Southern plain of Nepal Himalaya. Environ. Monit. Assess. 2022, 194, 642. [Google Scholar] [CrossRef]
- Sun, X.; Xiong, H.; Jiang, C.; Zhang, D.; Yang, Z.; Huang, Y.; Zhu, W.; Ma, S.; Duan, J.; Wang, X.; et al. Natural variation of DROT1 confers drought adaptation in upland rice. Nat. Commun. 2022, 13, 4265. [Google Scholar] [CrossRef]
- Ren, X.L.; Zhang, P.; Chen, X.; Jia, Z.K. Impacts of ridge-furrow rainfall concentration systems and mulches on corn growth and yield in the semiarid region of China. J. Sci. Food Agric. 2016, 96, 3882–3889. [Google Scholar] [CrossRef]
- Robinson, D.; Jones, S.; Lebron, I.; Reinsch, S.; Domínguez, M.; Smith, A.; Jones, D.; Marshall, M.; Emmett, B. Experimental evidence for drought induced alternative stable states of soil moisture. Sci. Rep. 2016, 6, 20018. [Google Scholar] [CrossRef]
- Wang, J.; Fu, B.Z.; Li, S.X.; Wang, X.; Song, W.X.; Ye, Y.N.; Hu, P.F.; Wang, T.R. Effects of exogenous melatonin on growth and physiological characteristics of Agropyron mongolicum seedlings under drought stress. Ying Yong Sheng Tai Xue Bao 2023, 34, 2947–2957. [Google Scholar] [PubMed]
- Zhao, M.; Li, J.; Shi, X.; Sanaullah, M.; Quan, Y.; Guo, D.; Wang, L.; Wang, S. Effects of exogenous plant regulators on growth and development of “Kyoho” grape under salt alkali stress. Front. Plant Sci. 2023, 14, 1274684. [Google Scholar] [CrossRef] [PubMed]
- Shu, S.; Tang, Y.; Yuan, Y.; Sun, J.; Zhong, M.; Guo, S. The role of 24-epibrassinolide in the regulation of photosynthetic characteristics and nitrogen metabolism of tomato seedlings under a combined low temperature and weak light stress. Plant Physiol. Biochem. 2016, 107, 344–353. [Google Scholar] [CrossRef]
- Khan, R.; Ma, X.; Hussain, Q.; Asim, M.; Iqbal, A.; Ren, X.; Shah, S.; Chen, K.; Shi, Y. Application of 2,4-Epibrassinolide Improves Drought Tolerance in Tobacco through Physiological and Biochemical Mechanisms. Biology 2022, 11, 1192. [Google Scholar] [CrossRef]
- Chen, Y.; Yao, Z.; Sun, Y.; Wang, E.; Tian, C.; Sun, Y.; Liu, J.; Sun, C.; Tian, L. Current Studies of the Effects of Drought Stress on Root Exudates and Rhizosphere Microbiomes of Crop Plant Species. Int. J. Mol. Sci. 2022, 23, 2374. [Google Scholar] [CrossRef]
- Guo, C.; Zhang, K.; Sun, H.; Zhu, L.; Zhang, Y.; Wang, G.; Li, A.; Bai, Z.; Liu, L.; Li, C. Root Cortical Senescence Enhances Drought Tolerance in Cotton. Plant Cell Environ. 2024. [Google Scholar] [CrossRef]
- Xu, L.; He, J.; Meng, Y.; Zheng, Y.; Lu, B.; Zhang, J.; Zhou, Y. Enhancing drought resistance in Pinus tabuliformis seedlings through root symbiotic fungi inoculation. Front. Plant Sci. 2024, 15, 1446437. [Google Scholar] [CrossRef] [PubMed]
- Javed, J.; Rauf, M.; Arif, M.; Hamayun, M.; Gul, H.; Ud-Din, A.; Ud-Din, J.; Sohail, M.; Rahman, M.; Lee, I. Endophytic Fungal Consortia Enhance Basal Drought-Tolerance in Moringa oleifera by Upregulating the Antioxidant Enzyme (APX) through Heat Shock Factors. Antioxidants 2022, 11, 1669. [Google Scholar] [CrossRef]
- Santra, H.; Banerjee, D. Production, Optimization, Characterization and Drought Stress Resistance by β-Glucan-Rich Heteropolysaccharide from an Endophytic Fungi Colletotrichum alatae LCS1 Isolated from Clubmoss (Lycopodium clavatum). Front. Fungal Biol. 2022, 2, 796010. [Google Scholar] [CrossRef]
- Zhu, S.; Feng, X.; Liu, Y.; Jin, D.; Luo, X.; Fan, Y. Expression of a viral ecdysteroid UDP-glucosyltransferase enhanced the insecticidal activity of the insect pathogenic fungus Beauveria bassiana. Pest Manag. Sci. 2024, 80, 4915–4923. [Google Scholar] [CrossRef]
- Basso, V.; Pinheiro, D.; Toldi, M.; Gonçalves, K.; Vicenço, B. Beauveria bassiana submerged spores for control of two-spotted spider mite (Tetranychus urticae Koch (Acari: Tetranychidae)): Production, stability, and virulence. Arch. Microbiol. 2023, 206, 23. [Google Scholar] [CrossRef]
- Aak, A.; Hage, M.; Rukke, B. Biological control of Cimex lectularius with Beauveria bassiana: Effects of substrate, dosage, application strategy, and bed bug physiology. Pest Manag. Sci. 2023, 79, 4599–4606. [Google Scholar] [CrossRef] [PubMed]
- Daza, F.; Roman, G.; Rodriguez, M.; Vargas, I.; Heano, H.; Cereda, M.; Mulet, R. Spores of Beauveria bassiana and Trichoderma lignorum as a bioinsecticide for the control of Atta cephalotes. Biol. Res. 2019, 52, 51. [Google Scholar] [CrossRef] [PubMed]
- Liu, Y.; Yang, Y.; Wang, B. Entomopathogenic fungi Beauveria bassiana and Metarhizium anisopliae play roles of maize (Zea mays) growth promoter. Sci. Rep. 2022, 12, 15706. [Google Scholar]
- Raad, M.; Glare, T.; Brochero, H.; Müller, C.; Rostás, M. Transcriptional Reprogramming of Arabidopsis thaliana DefencePathways by the Entomopathogen Beauveria bassiana Correlates with Resistance Against a Fungal Pathogen but Not Against Insects. Front. Microbiol. 2019, 10, 615. [Google Scholar]
- Sui, L.; Lu, Y.; Xu, M.; Liu, J.; Zhao, Y.; Li, Q.; Zhang, Z. Insect hypovirulence-associated mycovirus confers entomopathogenic fungi with enhanced resistance against phytopathogens. Virulence 2024, 15, 2401978. [Google Scholar] [CrossRef]
- Idrees, A.; Afzal, A.; Qadir, Z.; Li, J. Bioassays of Beauveria bassiana Isolates against the Fall Armyworm, Spodoptera frugiperda. J. Fungi. 2022, 8, 717. [Google Scholar] [CrossRef]
- Sui, L.; Lu, Y.; Zhu, H.; Wan, T.; Li, Q.; Zhang, Z. Endophytic blastospores of Beauveria bassiana provide high resistance against plant disease caused by Botrytis cinerea. Fungal Biol. 2022, 126, 528–533. [Google Scholar] [CrossRef]
- Galmés, J.; Medrano, H.; Flexas, J. Photosynthetic limitations in response to water stress and recovery in Mediterranean plants with different growth forms. New Phytol. 2007, 175, 81–93. [Google Scholar] [CrossRef]
- Qin, X.; Zhao, X.; Huang, S.; Deng, J.; Li, X.; Luo, Z.; Zhang, Y. Pest management via endophytic colonization of tobacco seedlings by the insect fungal pathogen Beauveria bassiana. Pest Manag. Sci. 2021, 77, 2007–2018. [Google Scholar] [CrossRef]
- Xu, Z.; Zhou, G. Responses of leaf stomatal density to water status and its relationship with photosynthesis in a grass. J. Exp. Bot. 2008, 59, 3317–3325. [Google Scholar] [CrossRef] [PubMed]
- Zu, X.; Lu, Y.; Wang, Q.; La, Y.; Hong, X.; Tan, F.; Niu, J.; Xia, H.; Wu, Y.; Zhou, S.; et al. Increased Drought Resistance 1 Mutation Increases Drought Tolerance of Upland Rice by Altering Physiological and Morphological Traits and Limiting ROS Levels. Plant Cell Physiol. 2021, 62, 1168–1184. [Google Scholar] [CrossRef] [PubMed]
- Živanović, B.; Milić Komić, S.; Tosti, T.; Vidović, M.; Prokić, L.; Veljović, J. Leaf Soluble Sugars and Free Amino Acids as Important Components of Abscisic Acid-Mediated Drought Response in Tomato Plants. Plants 2020, 9, 1147. [Google Scholar] [CrossRef]
- Zou, Y.N.; Wu, Q.S.; Huang, Y.M.; Ni, Q.D.; He, X.H. Mycorrhizal-mediated lower proline accumulation in Poncirus trifoliata under water deficit derives from the integration of inhibition of proline synthesis with increase of proline degradation. PLoS ONE 2013, 8, e80568. [Google Scholar] [CrossRef]
- Gurrieri, L.; Merico, M.; Trost, P.; Forlani, G.; Sparla, F. Impact of Drought on Soluble Sugars and Free Proline Content in Selected Arabidopsis Mutants. Biology 2020, 9, 367. [Google Scholar] [CrossRef]
- Pouris, J.; Levizou, E.; Karatassiou, M.; Meletiou-Christou, M.; Rhizopoulou, S. The Influence of the Partitioning of Sugars, Starch, and Free Proline in Various Organs of Cyclamen graecum on the Biology of the Species and Its Resistance to Abiotic Stressors. Plants 2022, 11, 1254. [Google Scholar] [CrossRef]
- Tu, Y.; Jiang, A.; Gan, L.; Hossain, M.; Zhang, J.; Peng, B.; Xiong, Y.; Song, Z.; Cai, D.; Xu, W.; et al. Genome duplication improves rice root resistance to salt stress. Rice 2014, 7, 15. [Google Scholar] [CrossRef] [PubMed]
- Zhang, M.; Cui, G.; Bai, X.; Ye, Z.; Zhang, S.; Xie, K.; Sun, F.; Zhang, C.; Xi, Y. Regulatory Network of Preharvest Sprouting Resistance Revealed by Integrative Analysis of mRNA, Noncoding RNA, and DNA Methylation in Wheat. J. Agric. Food Chem. 2021, 69, 4018–4035. [Google Scholar] [CrossRef]
- Zhang, J.; Fu, B.; Lin, Q.; Riley, I.; Ding, S.; Chen, L.; Cui, J.; Yang, L.; Li, H. Colonization of Beauveria bassiana 08F04 in root-zone soil and its biocontrol of cereal cyst nematode (Heterodera filipjevi). PLoS ONE 2020, 15, e0232770. [Google Scholar] [CrossRef]
- Ahmad, M.; Javed, R.; Adeel, M.; Rizwan, M.; Yang, Y. PEG 6000-Stimulated Drought Stress Improves the Attributes of In Vitro Growth, Steviol Glycosides Production, and Antioxidant Activities in Stevia rebaudiana Bertoni. Plants 2020, 9, 1552. [Google Scholar] [CrossRef]
- Zheng, Z.; Zhang, Y.; Li, Z.; Dong, F.; Chen, L. Two grasses differ in their absorptive root physiological traits and rooting depth under drought in an alpine steppe. Ann. Bot. 2024, mcae151. [Google Scholar] [CrossRef] [PubMed]
- Jordan, W.; Ritchie, J. Influence of soil water stress on evaporation, root absorption, and internal water status of cotton. Plant Physiol. 1971, 48, 783. [Google Scholar] [CrossRef] [PubMed]
- Vidović, M.; Ćuković, K. Isolation of high-quality RNA from recalcitrant leaves of variegated and resurrection plants. 3 Biotech 2020, 10, 286. [Google Scholar] [CrossRef] [PubMed]
- Zhou, R.; Song, Y.; Xue, X.; Xue, R.; Jiang, H.; Zhou, Y.; Qi, X.; Wang, Y. Differential Transcription Profiling Reveals the MicroRNAs Involved in Alleviating Damage to Photosynthesis under Drought Stress during the Grain Filling Stage in Wheat. Int. J. Mol. Sci. 2024, 25, 5518. [Google Scholar] [CrossRef]
- Wang, H.; Jin, M.; Xu, L.; Xi, H.; Wang, B.; Du, S.; Liu, H.; Wen, Y. Effects of ketoprofen on rice seedlings: Insights from photosynthesis, antioxidative stress, gene expression patterns, and integrated biomarker response analysis. Environ. Pollut. 2020, 263, 114533. [Google Scholar] [CrossRef]
- Lu, Y.; Zhang, J.; Han, Z.; Han, Z.; Li, S.; Zhang, J.; Ma, H.; Han, Y. Screening of differentially expressed microRNAs and target genes in two potato varieties under nitrogen stress. BMC Plant Biol. 2022, 22, 478. [Google Scholar] [CrossRef]
- Wei, X.; Meng, C.; Yuan, Y.; Nath, U.K.; Zhao, Y.; Wang, Z.; Yang, S.; Li, L.; Niu, L.; Yao, Q.; et al. CaPSY1 gene plays likely the key role in carotenoid metabolism of pepper (Capsicum annuum) at ripening. Funct. Plant Biol. 2021, 48, 141–155. [Google Scholar] [CrossRef]
- Park, M.; Lee, H.; Kim, I.; Kim, H. Characterization of fab2 T-DNA insertion mutants in terms of fatty acid composition and plant phenotype. Plant Signal. Behav. 2023, 18, 2213937. [Google Scholar] [CrossRef]
- Livak, K.; Schmittgen, T. Analysis of relative gene expression data using real-time quantitative PCR and the 2(-Delta Delta C(T)) Method. Methods 2001, 25, 402–408. [Google Scholar] [CrossRef]
- Bokhale, M.; Mwaba, I.; Allie, F. Real-time PCR data for reference candidate gene selection in tomato infected with Tomato curly stunt virus. Data Brief 2020, 31, 105750. [Google Scholar] [CrossRef]
- Egea, I.; Albaladejo, I.; Meco, V.; Morales, B.; Sevilla, A.; Bolarin, M.; Flores, F. The drought-tolerant Solanum pennellii regulates leaf water loss and induces genes involved in amino acid and ethylene/jasmonate metabolism under dehydration. Sci. Rep. 2018, 8, 2791. [Google Scholar] [CrossRef] [PubMed]
- Liu, X.; Dong, X.; Liu, Z.; Shi, Z.; Jiang, Y.; Qi, M.; Xu, T.; Li, T. Repression of ARF10 by microRNA160 plays an important role in the mediation of leaf water loss. Plant Mol. Biol. 2016, 92, 313–336. [Google Scholar] [CrossRef] [PubMed]
- Jensen, N.; Ottosen, C.; Zhou, R. Exogenous Melatonin Alters Stomatal Regulation in Tomato Seedlings Subjected to Combined Heat and Drought Stress through Mechanisms Distinct from ABA Signaling. Plants 2023, 12, 1156. [Google Scholar] [CrossRef] [PubMed]
- Hayat, K.; Khan, A.; Bibi, F.; Salahuddin; Murad, W.; Fu, Y.; Batiha, G.; Alqarni, M.; Khan, A.; Al-Harrasi, A. Effect of Cadmium and Copper Exposure on Growth, Physio-Chemicals and Medicinal Properties of Cajanus cajan L. (Pigeon Pea). Metabolites 2021, 11, 769. [Google Scholar] [CrossRef]







Disclaimer/Publisher’s Note: The statements, opinions and data contained in all publications are solely those of the individual author(s) and contributor(s) and not of MDPI and/or the editor(s). MDPI and/or the editor(s) disclaim responsibility for any injury to people or property resulting from any ideas, methods, instructions or products referred to in the content. |
© 2024 by the authors. Licensee MDPI, Basel, Switzerland. This article is an open access article distributed under the terms and conditions of the Creative Commons Attribution (CC BY) license (https://creativecommons.org/licenses/by/4.0/).
Share and Cite
Guo, W.; Lu, Y.; Du, S.; Li, Q.; Zou, X.; Zhang, Z.; Sui, L. Endophytic Colonization of Beauveria bassiana Enhances Drought Stress Tolerance in Tomato via “Water Spender” Pathway. Int. J. Mol. Sci. 2024, 25, 11949. https://doi.org/10.3390/ijms252211949
Guo W, Lu Y, Du S, Li Q, Zou X, Zhang Z, Sui L. Endophytic Colonization of Beauveria bassiana Enhances Drought Stress Tolerance in Tomato via “Water Spender” Pathway. International Journal of Molecular Sciences. 2024; 25(22):11949. https://doi.org/10.3390/ijms252211949
Chicago/Turabian StyleGuo, Wenbo, Yang Lu, Song Du, Qiyun Li, Xiaowei Zou, Zhengkun Zhang, and Li Sui. 2024. "Endophytic Colonization of Beauveria bassiana Enhances Drought Stress Tolerance in Tomato via “Water Spender” Pathway" International Journal of Molecular Sciences 25, no. 22: 11949. https://doi.org/10.3390/ijms252211949
APA StyleGuo, W., Lu, Y., Du, S., Li, Q., Zou, X., Zhang, Z., & Sui, L. (2024). Endophytic Colonization of Beauveria bassiana Enhances Drought Stress Tolerance in Tomato via “Water Spender” Pathway. International Journal of Molecular Sciences, 25(22), 11949. https://doi.org/10.3390/ijms252211949

