Establishment of Agrobacterium-Mediated Transient Transformation System in Desert Legume Eremosparton songoricum (Litv.) Vass.
Abstract
1. Introduction
2. Results
2.1. Development of Transient Transformation Method for E. songoricum in Seedlings
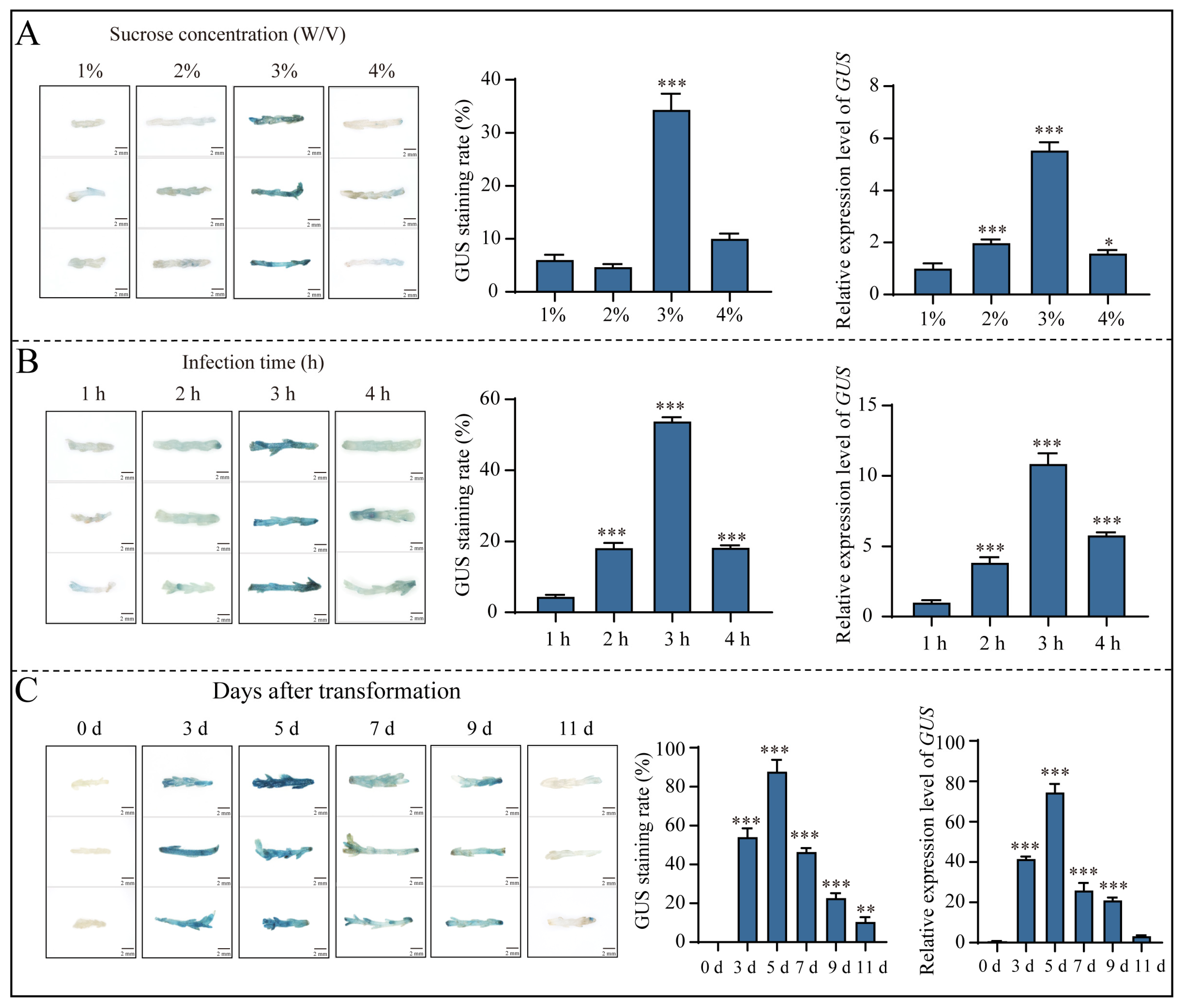
2.2. Development of Transient Expression Method for Assimilated Branches in E. songoricum
2.3. Development of Transient Expression Method for Callus in E. songoricum
2.4. Validation of Transient Genetic Transformation System in E. songoricum
2.5. Procedure for Agrobacterium-Mediated Transient Transformation of E. songoricum
3. Discussion
4. Materials and Methods
4.1. Plant Material
4.2. Vector Construction and Transformation by Agrobacterium
4.3. Transient Transformation Procedure for E. songoricum Seedlings and Assimilated Branches
4.4. Transient Transformation Procedure for E. songoricum Callus
4.5. Histochemical Detection of GUS Activity
4.6. Physiological and Enzymatic Analysis of Transgenic Assimilated Branches Under Natural Drought
4.7. RNA Isolation and PCR Analysis
4.8. Statistical Analysis
5. Conclusions
Supplementary Materials
Author Contributions
Funding
Institutional Review Board Statement
Informed Consent Statement
Data Availability Statement
Conflicts of Interest
References
- Liu, H.; Tao, Y.; Qiu, D.; Zhang, D.; Zhang, Y. Effects of Artificial Sand Fixing on Community Characteristics of a Rare Desert Shrub. Conserv. Biol. 2013, 27, 1011–1019. [Google Scholar] [CrossRef] [PubMed]
- Li, H.; Li, X.; Zhang, D.; Liu, H.; Guan, K. Effects of Drought Stress on the Seed Germination and Early Seedling Growth of the Endemic Desert Plant Eremosparton songoricum (Fabaceae). Excli J. 2013, 12, 89–101. [Google Scholar] [PubMed]
- Liu, H.; Abudureheman, B.; Zhang, L.; Baskin, J.M.; Baskin, C.C.; Zhang, D. Seed Dormancy-Breaking in a Cold Desert Shrub in Relation to Sand Temperature and Moisture. AoB Plants 2017, 9, plx003. [Google Scholar] [CrossRef] [PubMed]
- Liu, H.; Abudureheman, B.; Baskin, J.M.; Baskin, C.C.; Zhang, D. Seed Development in the Rare Cold Desert Sand Dune Shrub Eremosparton songoricum and a Comparison with Other Papilionoid Legumes. Plant Species Biol. 2016, 31, 169–177. [Google Scholar] [CrossRef]
- Shi, X.; Wang, J.C.; Zhang, D.Y.; Gaskin, J.; Pan, B.R. Pollen Source and Resource Limitation to Fruit Production in the Rare Species Eremosparton songoricum (Fabaceae). Nord. J. Bot. 2010, 28, 438–444. [Google Scholar] [CrossRef]
- Liu, H.L.; Shi, X.; Wang, J.C.; Yin, L.K.; Huang, Z.Y.; Zhang, D.Y. Effects of Sand Burial, Soil Water Content and Distribution Pattern of Seeds in Sand on Seed Germination and Seedling Survival of Eremosparton songoricum (Fabaceae), a Rare Species Inhabiting the Moving Sand Dunes of the Gurbantunggut Desert of China. Plant Soil 2011, 345, 69–87. [Google Scholar] [CrossRef]
- Zhao, M.; Haxim, Y.; Liang, Y.; Qiao, S.; Gao, B.; Zhang, D.; Li, X. Genome-Wide Investigation of AP2/ERF Gene Family in the Desert Legume Eremosparton songoricum: Identification, Classification, Evolution, and Expression Profiling under Drought Stress. Front. Plant Sci. 2022, 13, 885694. [Google Scholar] [CrossRef]
- Li, X.; Zhang, D.; Li, H.; Wang, Y.; Zhang, Y.; Wood, A.J. EsDREB2B, a Novel Truncated DREB2-Type Transcription Factor in the Desert Legume Eremosparton songoricum, Enhances Tolerance to Multiple Abiotic Stresses in Yeast and Transgenic Tobacco. BMC Plant Biol. 2014, 14, 44. [Google Scholar] [CrossRef]
- Qiao, S.; Jin, P.; Liu, X.; Liang, Y.; Yang, R.; Bai, W.; Zhang, D.; Li, X. Establishment of an Efficient and Rapid Regeneration System for a Rare Shrubby Desert Legume Eremosparton songoricum. Plants 2023, 12, 3535. [Google Scholar] [CrossRef]
- Rahman, S.U.; Khan, M.O.; Ullah, R.; Ahmad, F.; Raza, G. Agrobacterium-Mediated Transformation for the Development of Transgenic Crops; Present and Future Prospects. Mol. Biotechnol. 2024, 66, 1836–1852. [Google Scholar] [CrossRef]
- Azizi-Dargahlou, S.; Pouresmaeil, M. Agrobacterium tumefaciens-Mediated Plant Transformation: A Review. Mol. Biotechnol. 2024, 66, 1563–1580. [Google Scholar] [CrossRef] [PubMed]
- Su, W.; Xu, M.; Radani, Y.; Yang, L. Technological Development and Application of Plant Genetic Transformation. Int. J. Mol. Sci. 2023, 24, 10646. [Google Scholar] [CrossRef] [PubMed]
- Wroblewski, T.; Tomczak, A.; Michelmore, R. Optimization of Agrobacterium-Mediated Transient Assays of Gene Expression in Lettuce, Tomato and Arabidopsis. Plant Biotechnol. J. 2005, 3, 259–273. [Google Scholar] [CrossRef] [PubMed]
- Ying, W.; Wen, G.; Xu, W.; Liu, H.; Ding, W.; Zheng, L.; He, Y.; Yuan, H.; Yan, D.; Cui, F.; et al. Agrobacterium rhizogenes: Paving the Road to Research and Breeding for Woody Plants. Front. Plant Sci. 2023, 14, 1196561. [Google Scholar] [CrossRef]
- Pérez-Caselles, C.; Faize, L.; Burgos, L.; Alburquerque, N. Improving Adventitious Shoot Regeneration and Transient Agrobacterium-Mediated Transformation of Apricot (Prunus armeniaca L.) Hypocotyl Sections. Agronomy 2021, 11, 1338. [Google Scholar] [CrossRef]
- Zhang, S.; Hu, R.; Yang, L.; Zuo, Z. Establishment of a Transient Transformation Protocol in Cinnamomum camphora. Forests 2023, 14, 1872. [Google Scholar] [CrossRef]
- Lv, Y.; Zhang, M.; Wu, T.; Wu, T.; Zhong, Y. The Infiltration Efficiency of Agrobacterium-Mediated Transient Transformation in Four Apple Cultivars. Sci. Hortic. 2019, 256, 108597. [Google Scholar] [CrossRef]
- Mo, R.; Yang, S.; Zhang, Q.; Xu, L.; Luo, Z. Vacuum Infiltration Enhances the Agrobacterium-Mediated Transient Transformation for Gene Functional Analysis in Persimmon (Diospyros kaki Thunb.). Sci. Hortic. 2019, 251, 174–180. [Google Scholar] [CrossRef]
- Ji, X.; Zheng, L.; Liu, Y.; Nie, X.; Liu, S.; Wang, Y. A Transient Transformation System for the Functional Characterization of Genes Involved in Stress Response. Plant Mol. Biol. Rep. 2014, 32, 732–739. [Google Scholar] [CrossRef]
- Li, H.; Li, K.; Guo, Y.; Guo, J.; Miao, K.; Botella, J.R.; Song, C.-P.; Miao, Y. A Transient Transformation System for Gene Characterization in Upland Cotton (Gossypium hirsutum). Plant Methods 2018, 14, 50. [Google Scholar] [CrossRef]
- Van der Hoorn, R.A.L.; Laurent, F.; Roth, R.; De Wit, P.J.G.M. Agroinfiltration Is a Versatile Tool That Facilitates Comparative Analyses of Avr9/Cf-9-Induced and Avr4/Cf-4-Induced Necrosis. Mol. Plant-Microbe Interact. 2000, 13, 439–446. [Google Scholar] [CrossRef] [PubMed]
- Jelly, N.S.; Valat, L.; Walter, B.; Maillot, P. Transient Expression Assays in Grapevine: A Step towards Genetic Improvement. Plant Biotechnol. J. 2014, 12, 1231–1245. [Google Scholar] [CrossRef] [PubMed]
- Dai, H.; Li, W.; Mao, W.; Zhang, L.; Han, G.; Zhao, K.; Liu, Y.; Zhang, Z. Development of an Efficient Regeneration and Agrobacterium-Mediated Transformation System in Crab Apple (Malus micromalus) Using Cotyledons as Explants. Vitr. Cell. Dev. Biol.-Plant 2014, 50, 1–8. [Google Scholar] [CrossRef]
- Taak, P.; Tiwari, S.; Koul, B. Optimization of Regeneration and Agrobacterium-Mediated Transformation of Stevia (Stevia rebaudiana Bertoni): A Commercially Important Natural Sweetener Plant. Sci. Rep. 2020, 10, 16224. [Google Scholar] [CrossRef]
- Rai, G.K.; Rai, N.P.; Kumar, S.; Yadav, A.; Rathaur, S.; Singh, M. Effects of Explant Age, Germination Medium, Pre-Culture Parameters, Inoculation Medium, pH, Washing Medium, and Selection Regime on Agrobacterium-Mediated Transformation of Tomato. Vitr. Cell. Dev. Biol.-Plant 2012, 48, 565–578. [Google Scholar] [CrossRef]
- Mazumdar, P.; Basu, A.; Paul, A.; Mahanta, C.; Sahoo, L. Age and Orientation of the Cotyledonary Leaf Explants Determine the Efficiency of de Novo Plant Regeneration and Agrobacterium tumefaciens-Mediated Transformation in Jatropha curcas L. S. Afr. J. Bot. 2010, 76, 337–344. [Google Scholar] [CrossRef]
- De Saeger, J.; Park, J.; Chung, H.S.; Hernalsteens, J.-P.; Van Lijsebettens, M.; Inzé, D.; Van Montagu, M.; Depuydt, S. Agrobacterium Strains and Strain Improvement: Present and Outlook. Biotechnol. Adv. 2021, 53, 107677. [Google Scholar] [CrossRef]
- Niedbała, G.; Niazian, M.; Sabbatini, P. Modeling Agrobacterium-Mediated Gene Transformation of Tobacco (Nicotiana tabacum)—A Model Plant for Gene Transformation Studies. Front. Plant Sci. 2021, 12, 695110. [Google Scholar] [CrossRef]
- Niazian, M.; Sadat-Noori, S.A.; Tohidfar, M.; Galuszka, P.; Mortazavian, S.M.M. Agrobacterium-Mediated Genetic Transformation of Ajowan (Trachyspermum ammi (L.) Sprague): An Important Industrial Medicinal Plant. Ind. Crop. Prod. 2019, 132, 29–40. [Google Scholar] [CrossRef]
- Degtyarenko, A.I.; Gorpenchenko, T.Y.; Grigorchuk, V.P.; Bulgakov, V.P.; Shkryl, Y.N. Optimization of the Transient Agrobacterium-Mediated Transformation of Panax Ginseng Shoots and Its Use to Change the Profile of Ginsenoside Production. Plant Cell Tissue Organ Cult. 2021, 146, 357–373. [Google Scholar] [CrossRef]
- Solís-Ramos, L.Y.; Ortiz-Pavón, J.C.; Andrade-Torres, A.; Porras-Murillo, R.; Brenes-Angulo, A.; Castaño De La Serna, E. Agrobacterium tumefaciens-Mediated Transformation of Common Bean (Phaseolus vulgaris) Var. Brunca. Rev. Biol. Trop. 2019, 67, S83–S94. [Google Scholar] [CrossRef]
- Wang, S.; Ku, S.S.; Ye, X.; He, C.; Kwon, S.Y.; Choi, P.S. Current Status of Genetic Transformation Technology Developed in Cucumber (Cucumis sativus L.). J. Integr. Agric. 2015, 14, 469–482. [Google Scholar] [CrossRef]
- Manfroi, E.; Yamazaki-Lau, E.; Grando, M.F.; Roesler, E.A. Acetosyringone, pH and Temperature Effects on Transient Genetic Transformation of Immature Embryos of Brazilian Wheat Genotypes by Agrobacterium tumefaciens. Genet. Mol. Biol. 2015, 38, 470–476. [Google Scholar] [CrossRef]
- Hasan, N.; Kamruzzaman, M.; Islam, S.; Hoque, H.; Bhuiyan, F.H.; Prodhan, S.H. Development of Partial Abiotic Stress Tolerant Citrus Reticulata Blanco and Citrus sinensis (L.) Osbeck through Agrobacterium-Mediated Transformation Method. J. Genet. Eng. Biotechnol. 2019, 17, 14. [Google Scholar] [CrossRef]
- Du, C.; Chai, L.; Liu, C.; Si, Y.; Fan, H. Improved Agrobacterium tumefaciens-Mediated Transformation Using Antibiotics and Acetosyringone Selection in Cucumber. Plant Biotechnol. Rep. 2022, 16, 17–27. [Google Scholar] [CrossRef]
- Raja, N.I.; Bano, A.; Rashid, H.; Chaudhry, Z.; Ilyas, N. Improving Agrobacterium-mediated transformation protocol for integration of XA21 gene in wheat (Triticum aestivum L.). Pak. J. Bot. 2010, 42, 3613–3631. [Google Scholar]
- Guo, P.; Liu, P.; Lei, J.; Chen, C.; Qiu, H.; Liu, G.; Chen, Z.; Luo, L. Improvement of plant regeneration and Agrobacterium-mediated genetic transformation of Stylosanthes guianensis. Trop. Grassl. Forrajes 2019, 7, 480–492. [Google Scholar] [CrossRef]
- Meng, D.; Yang, Q.; Dong, B.; Song, Z.; Niu, L.; Wang, L.; Cao, H.; Li, H.; Fu, Y. Development of an Efficient Root Transgenic System for Pigeon Pea and Its Application to Other Important Economically Plants. Plant Biotechnol. J. 2019, 17, 1804–1813. [Google Scholar] [CrossRef]
- Ramasamy, M.; Dominguez, M.M.; Irigoyen, S.; Padilla, C.S.; Mandadi, K.K. Rhizobium rhizogenes-Mediated Hairy Root Induction and Plant Regeneration for Bioengineering Citrus. Plant Biotechnol. J. 2023, 21, 1728–1730. [Google Scholar] [CrossRef]
- Liu, L.; Yu, Z.; Xu, Y.; Guo, C.; Zhang, L.; Wu, C.; Yang, G.; Huang, J.; Yan, K.; Shu, H.; et al. Function Identification of MdTIR1 in Apple Root Growth Benefited from the Predicted MdPPI Network. J. Integr. Plant Biol. 2021, 63, 723–739. [Google Scholar] [CrossRef]
- Xu, S.; Lai, E.; Zhao, L.; Cai, Y.; Ogutu, C.; Cherono, S.; Han, Y.; Zheng, B. Development of a Fast and Efficient Root Transgenic System for Functional Genomics and Genetic Engineering in Peach. Sci. Rep. 2020, 10, 2836. [Google Scholar] [CrossRef] [PubMed]
- Billault-Penneteau, B.; Sandré, A.; Folgmann, J.; Parniske, M.; Pawlowski, K. Dryas as a Model for Studying the Root Symbioses of the Rosaceae. Front. Plant Sci. 2019, 10, 661. [Google Scholar] [CrossRef] [PubMed]
- Wu, S.-L.; Yang, X.-B.; Liu, L.-Q.; Jiang, T.; Wu, H.; Su, C.; Qian, Y.-H.; Jiao, F. Agrobacterium-Mediated Transient MaFT Expression in Mulberry (Morus alba L.) Leaves. Biosci. Biotechnol. Biochem. 2015, 79, 1266–1271. [Google Scholar] [CrossRef]
- Bosselut, N.; Van Ghelder, C.; Claverie, M.; Voisin, R.; Onesto, J.-P.; Rosso, M.-N.; Esmenjaud, D. Agrobacterium rhizogenes-Mediated Transformation of Prunus as an Alternative for Gene Functional Analysis in Hairy-Roots and Composite Plants. Plant Cell Rep. 2011, 30, 1313–1326. [Google Scholar] [CrossRef]
- Plasencia, A.; Soler, M.; Dupas, A.; Ladouce, N.; Silva-Martins, G.; Martinez, Y.; Lapierre, C.; Franche, C.; Truchet, I.; Grima-Pettenati, J. Eucalyptus Hairy Roots, a Fast, Efficient and Versatile Tool to Explore Function and Expression of Genes Involved in Wood Formation. Plant Biotechnol. J. 2016, 14, 1381–1393. [Google Scholar] [CrossRef]
- Prabhu, S.A.; Ndlovu, B.; Engelbrecht, J.; Berg, N. Generation of Composite Persea Americana (Mill.) (Avocado) Plants: A Proof-of-Concept-Study. PLoS ONE 2017, 12, e0185896. [Google Scholar] [CrossRef]
- Largia, M.J.V.; Pandian, S.; Shilpha, J.; Chitradevi, M.; Kavikkuil, M.; Sohn, S.-I.; Ramesh, M. Improved in Vitro Regeneration, Genetic Fidelity Analysis, Antioxidant Potential, and Hairy Root Induction of Justicia Gendarussa Burm. f. Plant Biotechnol. Rep. 2022, 16, 621–632. [Google Scholar] [CrossRef]
- Qin, Y.; Wang, D.; Fu, J.; Zhang, Z.; Qin, Y.; Hu, G.; Zhao, J. Agrobacterium rhizogenes-Mediated Hairy Root Transformation as an Efficient System for Gene Function Analysis in Litchi Chinensis. Plant Methods 2021, 17, 103. [Google Scholar] [CrossRef]
- Alpizar, E.; Dechamp, E.; Espeout, S.; Royer, M.; Lecouls, A.C.; Nicole, M.; Bertrand, B.; Lashermes, P.; Etienne, H. Efficient Production of Agrobacterium rhizogenes-Transformed Roots and Composite Plants for Studying Gene Expression in Coffee Roots. Plant Cell Rep. 2006, 25, 959–967. [Google Scholar] [CrossRef]
- Ono, N.N.; Bandaranayake, P.C.G.; Tian, L. Establishment of Pomegranate (Punica granatum) Hairy Root Cultures for Genetic Interrogation of the Hydrolyzable Tannin Biosynthetic Pathway. Planta 2012, 236, 931–941. [Google Scholar] [CrossRef]
- Hoang, T.H.T.; Nguyen, N.H.; Nguyen, L.T.; Bui, T.P.; Le, N.T.; Dao, N.T.; Monteiro, M.; Pham, N.B.; Molnar, A.; Chu, H.H.; et al. Developing a Robust in Vivo Hairy Root System for Assessing Transgene Expression and Genome Editing Efficiency in Papaya. Plant Cell Tiss. Organ Cult. 2023, 152, 661–667. [Google Scholar] [CrossRef]
- Wei, R.; Zhang, W.; Li, C.; Hao, Z.; Huang, D.; Zhang, W.; Pan, X. Establishment of Agrobacterium-Mediated Transformation System to Juglans sigillata Dode ‘Qianhe-7’. Transgenic Res. 2023, 32, 193–207. [Google Scholar] [CrossRef] [PubMed]
- Zhang, H.; Peng, R.; Tan, X.; Li, Z. Establishing an Efficient Callus Genetic Transformation System for the Tung Tree (Vernicia fordii). Ind. Crop. Prod. 2024, 211, 118264. [Google Scholar] [CrossRef]
- An, Y.; Dong, H.; Zhao, W.; Shen, H.; Yang, L.; Li, S. A Stable and Efficient Genetic Transformation Method for Embryogenic Callus of Fraxinus mandshurica. Forests 2023, 14, 957. [Google Scholar] [CrossRef]
- Takata, N.; Eriksson, M.E. A Simple and Efficient Transient Transformation for Hybrid Aspen (Populus tremula × P. tremuloides). Plant Methods 2012, 8, 30. [Google Scholar] [CrossRef]
- Liu, G.; Ding, L.; Luo, C.; Yang, H.; Yang, D.; Liang, G.; Wang, L. Protection against DNA Damage and Inhibition of Lipid Peroxidation by Flavones from Eremosparton songoricum (Litv) Vass. Res. Chem. Intermed. 2006, 32, 145–152. [Google Scholar] [CrossRef]
- Choudhury, A.; Rajam, M.V. Genetic Transformation of Legumes: An Update. Plant Cell Rep. 2021, 40, 1813–1830. [Google Scholar] [CrossRef]
- Ma, H.; Liu, N.; Sun, X.; Zhu, M.; Mao, T.; Huang, S.; Meng, X.; Li, H.; Wang, M.; Liang, H. Establishment of an Efficient Transformation System and Its Application in Regulatory Mechanism Analysis of Biological Macromolecules in Tea Plants. Int. J. Biol. Macromol. 2023, 244, 125372. [Google Scholar] [CrossRef]
- Wu, H.Y.; Liu, K.H.; Wang, Y.C.; Wu, J.F.; Chiu, W.L.; Chen, C.Y.; Wu, S.H.; Sheen, J.; Lai, E.-M. AGROBEST: An Efficient Agrobacterium-Mediated Transient Expression Method for Versatile Gene Function Analyses in Arabidopsis Seedlings. Plant Methods 2014, 10, 19. [Google Scholar] [CrossRef]
- Celikkol Akcay, U.; Mahmoudian, M.; Kamci, H.; Yucel, M.; Oktem, H.A. Agrobacterium tumefaciens-Mediated Genetic Transformation of a Recalcitrant Grain Legume, Lentil (Lens Culinaris Medik). Plant Cell Rep. 2009, 28, 407–417. [Google Scholar] [CrossRef]
- Wang, P.; Li, R.; Liu, X.; Zhao, X.; Hyden, B.; Han, Y.; Zhang, X.; Wang, J.; Chen, H.; Cao, H. Establishment of Genetic Transformation System of Peach Callus. Sci. Hortic. 2024, 323, 112501. [Google Scholar] [CrossRef]
- Zhou, P.; Liu, X.; Liang, Y.; Zhang, Y.; Li, X.; Zhang, D. A Simple, Highly Efficient Agrobacterium tumefaciens-mediated Moss Transformation System with Broad Applications. aBIOTECH 2024. [Google Scholar] [CrossRef]
- Wang, X.; Zhou, F.; Liu, J.; Liu, W.; Zhang, S.; Li, D.; Song, J.; Wang, R.; Yang, Y. Establishment of Efficient Callus Genetic Transformation System for Pyrus armeniacaefolia. Sci. Hortic. 2021, 289, 110429. [Google Scholar] [CrossRef]
- Xi, Y.; Ling, Q.; Zhou, Y.; Liu, X.; Qian, Y. ZmNAC074, a Maize Stress-Responsive NAC Transcription Factor, Confers Heat Stress Tolerance in Transgenic Arabidopsis. Front. Plant Sci. 2022, 13, 986628. [Google Scholar] [CrossRef] [PubMed]
- Li, X.S.; Yang, H.L.; Zhang, D.Y.; Zhang, Y.M.; Wood, A.J. Reference Gene Selection in the Desert Plant Eremosparton songoricum. Int. J. Mol. Sci. 2012, 13, 6944–6963. [Google Scholar] [CrossRef]
- Livak, K.J.; Schmittgen, T.D. Analysis of Relative Gene Expression Data Using Real-Time Quantitative PCR and the 2−∆∆Ct Method. Methods 2001, 25, 402–408. [Google Scholar] [CrossRef]







Disclaimer/Publisher’s Note: The statements, opinions and data contained in all publications are solely those of the individual author(s) and contributor(s) and not of MDPI and/or the editor(s). MDPI and/or the editor(s) disclaim responsibility for any injury to people or property resulting from any ideas, methods, instructions or products referred to in the content. |
© 2024 by the authors. Licensee MDPI, Basel, Switzerland. This article is an open access article distributed under the terms and conditions of the Creative Commons Attribution (CC BY) license (https://creativecommons.org/licenses/by/4.0/).
Share and Cite
Lao, X.; Jin, P.; Yang, R.; Liang, Y.; Zhang, D.; Zeng, Y.; Li, X. Establishment of Agrobacterium-Mediated Transient Transformation System in Desert Legume Eremosparton songoricum (Litv.) Vass. Int. J. Mol. Sci. 2024, 25, 11934. https://doi.org/10.3390/ijms252211934
Lao X, Jin P, Yang R, Liang Y, Zhang D, Zeng Y, Li X. Establishment of Agrobacterium-Mediated Transient Transformation System in Desert Legume Eremosparton songoricum (Litv.) Vass. International Journal of Molecular Sciences. 2024; 25(22):11934. https://doi.org/10.3390/ijms252211934
Chicago/Turabian StyleLao, Xi’an, Pei Jin, Ruirui Yang, Yuqing Liang, Daoyuan Zhang, Youling Zeng, and Xiaoshuang Li. 2024. "Establishment of Agrobacterium-Mediated Transient Transformation System in Desert Legume Eremosparton songoricum (Litv.) Vass." International Journal of Molecular Sciences 25, no. 22: 11934. https://doi.org/10.3390/ijms252211934
APA StyleLao, X., Jin, P., Yang, R., Liang, Y., Zhang, D., Zeng, Y., & Li, X. (2024). Establishment of Agrobacterium-Mediated Transient Transformation System in Desert Legume Eremosparton songoricum (Litv.) Vass. International Journal of Molecular Sciences, 25(22), 11934. https://doi.org/10.3390/ijms252211934

