Modification of B-Nor Steroids Mediated by Filamentous Fungus Fusarium culmorum: Focus on 15α-Hydroxylase Activity
Abstract
1. Introduction
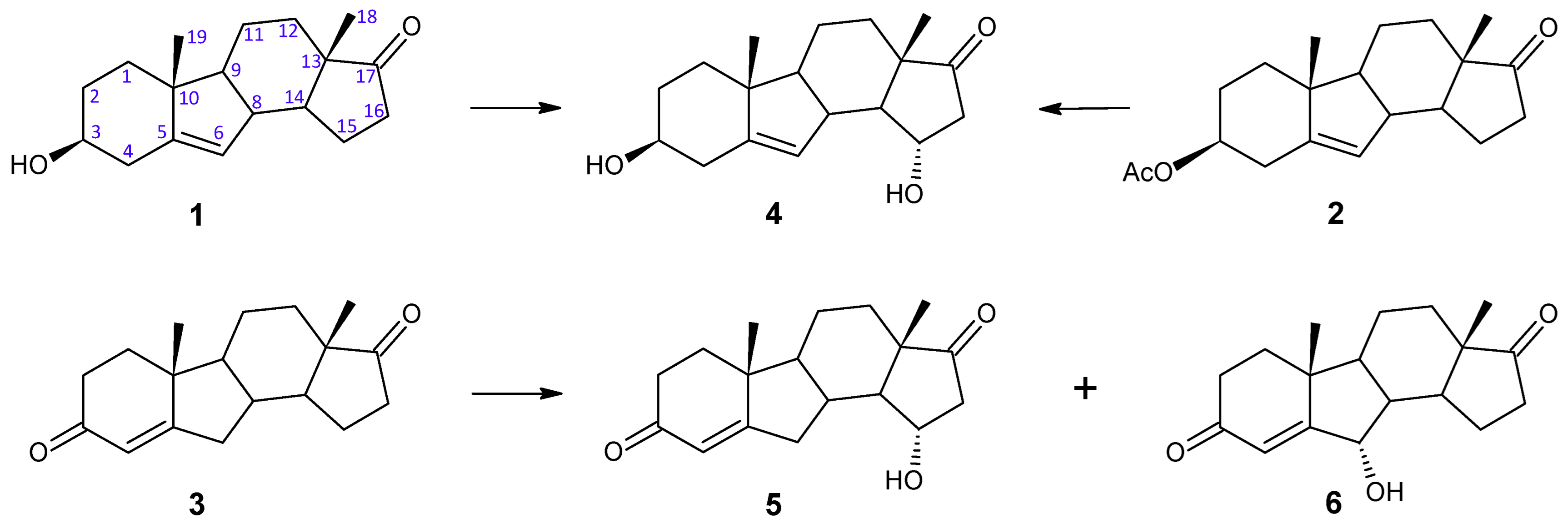
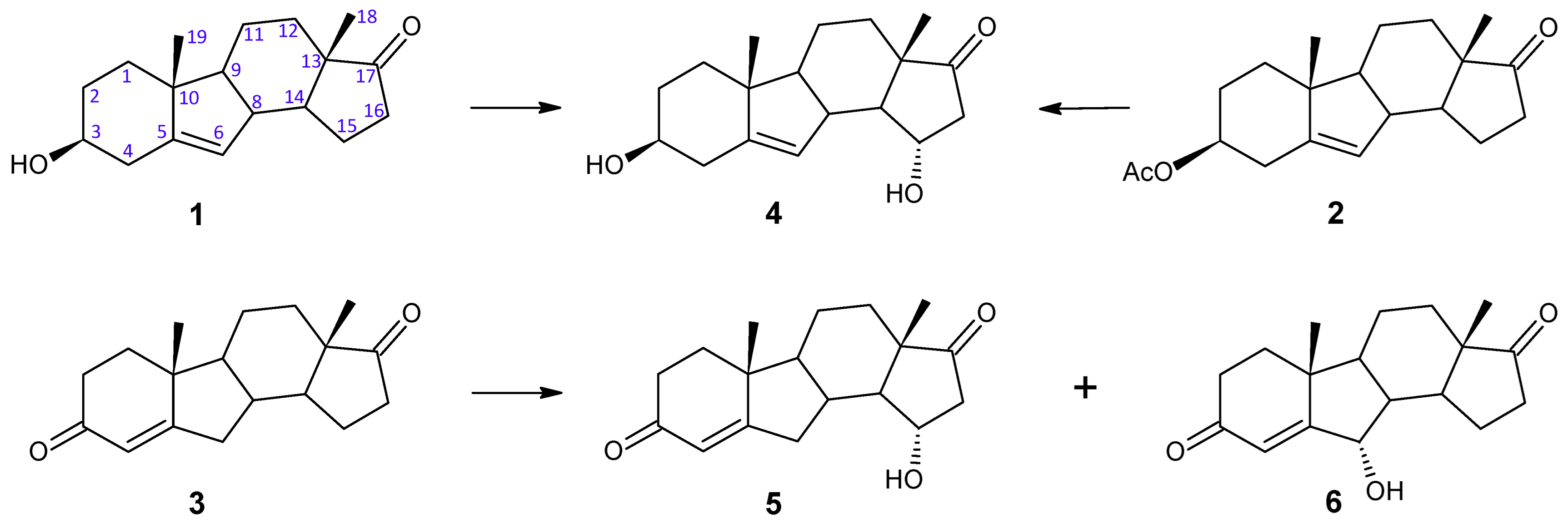
2. Results and Discussion
3. Materials and Methods
3.1. Chemicals
3.2. Preparation of 3β-Hydroxy-B-norandrost-5-en-17-one (1)
3.3. Preparation of B-Norandrost-4-en-3,17-dione (3)
3.4. Microorganism
3.5. Conditions of Cultivation and Transformation
3.6. Isolation and Identification of Products
3.7. Products Isolated After Transformations
3.8. Time Course Experiments
3.9. Pharmacokinetics and Biological Activity Prediction
4. Conclusions
Supplementary Materials
Author Contributions
Funding
Institutional Review Board Statement
Informed Consent Statement
Data Availability Statement
Conflicts of Interest
References
- Lednicer, D. Steroid Chemistry at a Glance, 1st ed.; Wiley: Chichester, UK, 2011; pp. 1–152. [Google Scholar]
- Łyczko, P.; Panek, A.; Świzdor, A. Highly regioselective and stereoselective biohydroxylations of oxandrolone. Catalysts 2021, 11, 16. [Google Scholar] [CrossRef]
- El-Kady, D.S.; Ali, N.A.; Sayed, A.H.; Abdelhalim, M.M.; Elmegeed, G.A.; Ahmed, H.H. Assessment of the antitumor potentiality of newly designed steroid derivatives: Pre-clinical study. Asian Pac. J. Cancer Prev. 2019, 20, 3057–3070. [Google Scholar] [CrossRef] [PubMed]
- Świzdor, A.; Kołek Panek, A.; Milecka-Tronina, N. Selective modifications of steroids performed by oxidative enzymes. Curr. Org. Chem. 2012, 16, 2551–2582. [Google Scholar] [CrossRef]
- Donova, M.; Egorova, O.V. Microbial steroid transformations: Current state and prospects. Appl. Microbiol. Biotechnol. 2012, 94, 1423–1447. [Google Scholar] [CrossRef]
- Sultana, N. Microbial biotransformation of bioactive and clinically useful steroids and some salient features of steroids and biotransformation. Steroids. 2018, 136, 76–92. [Google Scholar] [CrossRef]
- Fernández-Cabezón, L.; Galán, B.; Garcia, J.L. New insight on steroid biotechnology. Front. Microbiol. 2018, 9, 958. [Google Scholar] [CrossRef]
- Sui, L.; Chang, F.; Wang, Q.; Chang, Z.; Xia, H. Functional reconstitution of a steroidal hydroxylase from the fungus Thanatephorus cucumeris in Mycolicibacterium neoaurum for 15α-hydroxylation of progesterone. Biochem. Eng. J. 2023, 193, 108859. [Google Scholar] [CrossRef]
- Jia, L.; Dong, J.; Wang, R.; Mao, S.; Lu, F.; Singh, S.; Wang, Z.; Liu, X. Identification and characterization of the steroid 15α-hydroxylase gene from Penicillium raistrickii. Appl. Microbiol. Biotechnol. 2017, 101, 6409–6418. [Google Scholar] [CrossRef]
- Chen, J.; Fan, F.; Qu, G.; Tang, J.; Xi, J.; Bi, C.; Sun, Z.; Zhang, X. Identification of Absidia orchidis steroid 11β-hydroxylation system and its application in engineering Saccharomyces cerevisiae for one-step biotransformation to produce hydrocortisone. Metab. Eng. 2020, 57, 31–42. [Google Scholar] [CrossRef]
- Song, F.; Zheng, M.; Wang, J.; Liu, H.; Lin, Z.; Liu, B.; Deng, Z.; Cong, H.; Zhou, Q.; Qu, X. Chemoenzimatic synthesis of C14-functionalized steroids. Nat. Synth. 2023, 2, 729–739. [Google Scholar] [CrossRef]
- Wang, J.; Zhang, Y.; Liu, H.; Shang, Y.; Zhou, L.; Wei, P.; Yin, W.B.; Deng, Z.; Qu, X.; Zhou, Q. A biocatalytic hydroxylation-enabled unified approach to C19-hydroxylated steroids. Nat. Commun. 2019, 10, 3378. [Google Scholar] [CrossRef] [PubMed]
- Li, S.; Chang, Y.; Liu, Y.; Tian, W.; Chang, Z. A novel steroid hydroxylase from Nigrospora sphaerica with various hydroxylation capabilities to different steroid substrates. J. Steroid Biochem. Molec. Biol. 2023, 227, 106236. [Google Scholar] [CrossRef] [PubMed]
- Panek, A.; Wójcik, P.; Świzdor, A.; Szaleniec, M.; Janeczko, T. Biotransformation of Δ1-progesterone using selected entomopathogenic filamentous fungi and prediction of its products’ bioactivity. Int. J. Mol. Sci. 2023, 25, 508. [Google Scholar] [CrossRef] [PubMed]
- Chegaing, S.P.F.; Kengni, A.D.M.; Siddiqui, M.; Fowa, A.B.; Gatsing, D.; Choudhary, M.I. Fungal transformation of norandrostenedione with Cunninghamella blakesleeana and anti-bacterial activity of the transformed products. Steroids 2020, 162, 108679. [Google Scholar] [CrossRef] [PubMed]
- Aamer, M.; Siddiqui, M.; Jabeen, A.; Irshad, R.; Khan, F.-A.; Wahab, A.T.; Choudhary, M.I.; Wang, Y. New anti-inflammatory and non-cytotoxic metabolites of methylstenbolone obtained by microbial transformation. Bioorg. Chem. 2022, 129, 106187. [Google Scholar] [CrossRef]
- Mohammad, M.Y.; Al-Hiari, Y.M.; Abu-Darwish, M.S.; Habash, M.; Al-Najdawi, M.; Haniffa, H.M.; Choudhary, M.I. Microbial biotransformation of some anabolic steroids. Jordan J. Pharm. Sci. 2022, 15, 474–492. [Google Scholar] [CrossRef]
- Kuru, A.; Yildirim, K. Microbial conversion of pregnenolone by some filamentous fungi. Biocatal. Biotransfor. 2022, 42, 185–193. [Google Scholar] [CrossRef]
- Kołek, T.; Świzdor, A. Biotransformation XLV. Transformations of 4-ene-3-oxo steroids in Fusarium culmorum culture. J. Steroid Biochem. Mol. Biol. 1998, 67, 63–69. [Google Scholar] [CrossRef]
- Kołek, T. Biotransformation XLVII: Transformations of 5-ene steroids in Fusarium culmorum culture. J. Steroid Biochem. Mol. Biol. 1999, 71, 83–90. [Google Scholar] [CrossRef]
- Świzdor, A.; Kołek, T. Transformations of 4-and 17α-substituted testosterone analogues by Fusarium culmorum. Steroids 2005, 70, 817–824. [Google Scholar] [CrossRef]
- Świzdor, A.; Kołek, T.; Szpineter, A. Transformations of steroid esters by Fusarium culmorum. Z. Für Naturforschung C 2006, 61, 809–814. [Google Scholar] [CrossRef] [PubMed]
- Łyczko, P.; Panek, A.; Ceremuga, I.; Świzdor, A. The catalytic activity of mycelial fungi towards 7-oxo-DHEA—An endogenous derivative of steroid al hormone dehydroeoiandrosterone. Microb. Biotechnol. 2021, 14, 2187–2198. [Google Scholar] [CrossRef] [PubMed]
- Świzdor, A.; Szpineter, A.; Kołek, T. Regio- and stereoselective hydroxylation of bi- and tricyclic enones by fungal strain Fusarium culmorum. J. Mol. Catal. B Enzym. 2006, 42, 10–13. [Google Scholar] [CrossRef]
- Świzdor, A.; Kołek, T. Asymmetric reduction of tetralones and their methoxy derivatives by Fusarium culmorum. Biocatal. Biotransformation 2009, 27, 179–185. [Google Scholar] [CrossRef]
- Uyanik, C.; Hanson, J.R. The reactions of B-norsteroidal 4- and 5-enes. Chem. Res. 2009, 12, 713–719. [Google Scholar] [CrossRef]
- Dorfman, R.; Fajkoš, J.; Joska, J. Biological activity of various steroids including B-norsteroids. Steroids 1964, 3, 675–686. [Google Scholar] [CrossRef]
- Fare, L.R.; Holden, K.G.; Valenta, J.R. 11-Oxygenated B-Nortestosterone Derivatives. U.S. Patent 3,336,314, 15 August 1967. [Google Scholar]
- Miyamoto, T.; Kodoma, K.; Avamaki, H.Y.R.; van Soest, R.W.M. Orostanal, a novel abeo-sterol inducing apoptosis in leukemia cell from a marine sponge, Stelletta hiwasaensis. Tetrahedron Lett. 2001, 42, 6349–6351. [Google Scholar] [CrossRef]
- Wei, X.; Rodriguez, A.D.; Wang, Y.; Franzblau, S.G. Novel ring B abeo-sterols as growth inhibitors of Mycobacterium tuberculosis isolated from a Caribbean Sea sponge, Svenzea zeai. Tetrahedron Lett. 2007, 48, 8851–8854. [Google Scholar] [CrossRef]
- Wei, X.; Rodriguez, A.D.; Wang, Y.; Franzblau, S.G. Synthesis and in vitro biological evaluation of ring B abeo-sterols as novel inhibitors of Mycobacterium tuberculosis. Bioorganic Med. Chem. Lett. 2008, 18, 5448–5450. [Google Scholar] [CrossRef]
- Gan, C.; Fan, L.; Huang, Y.; Liu, Z.; Cui, J. Synthesis of novel ring B abeo-sterol derivatives and their antiproliferative activities. Med. Chem. 2013, 9, 846–854. [Google Scholar] [CrossRef]
- Gan, C.; Lin, Q.; Cui, J.; Feng, J.; Guo, J.; Liao, H.; Huang, Y. Synthesis and in vitro antiproliferative evaluation of some novel B-norcholesterols. Steroids 2014, 79, 37–43. [Google Scholar] [CrossRef] [PubMed]
- Huang, Y.M.; Cheng, Y.; Peng, Z.N.; Pang, L.P.; Li, J.Y.; Xia, J.A.; Zhang, Y.F.; Cui, J.G. Synthesis and antitumor activity of some cholesterol-based selenocyanate compounds. Steroids 2023, 194, 10917. [Google Scholar] [CrossRef] [PubMed]
- Suñol, C.; García, D.A.; Bujons, J.; Krištofíková, Z.; Matyáš, L.; Babot, Z.; Kasal, A. Activity of B-nor-analogues of neurosteroids on the GABAA receptor in primary neuronal culture. J. Med. Chem. 2006, 49, 3225–3234. [Google Scholar] [CrossRef] [PubMed]
- Hay, M.; Thomas, D.W.; Craighead, J.L.; Economides, C.; Rosenthal, J. Clinical development success rates for investigational drugs. Nat. Biotechnol. 2014, 32, 40–51. [Google Scholar] [CrossRef] [PubMed]
- Pogodin, P.V.; Lagunin, A.A.; Rudik, A.V.; Filimonov, D.A.; Druzhilovskiy, D.S.; Nicklaus, M.C.; Poroikov, V.V. How to achieve better results using PASS-based virtual screening: Case study for kinase inhibitors. Front. Chem. 2018, 6, 133. [Google Scholar] [CrossRef]
- Yi, G.; Zou, H.; Long, T.; Osire, T.; Wang, L.; Wei, X.; Long, M.; Rao, Z.; Liao, G. Novel cytochrome P450s for various hydroxylation of steroids from filamentous fungi. Bioresour. Technol. 2024, 394, 130244. [Google Scholar] [CrossRef]
- Kirk, D.N.; Toms, H.C.; Douglas, C.; White, K.A.; Smith, K.E.; Latif, S.; Hubbard, R.W.P. A survey of the high-field 1H NMR spectra of the steroid hormones, their hydroxylated derivatives, and related compounds. J. Chem. Soc. Perkin Trans. 2 1990, 1567–1594. [Google Scholar] [CrossRef]
- Šanda, V.; Fajkoš, J.; Protiva, J. Microbial oxygenation of B-norsteroids with Beauveria bassiana. Collect. Czechoslov. Chem. Commun. 1977, 42, 3646–3653. [Google Scholar] [CrossRef]
- Holland, L. Microbial hydroxylation of steroids. 7. Hydroxylation of B-nortestosterone and related compounds by Rhizopus arrhizus ATCC 11145, and 13C nuclear magnetic resonance spectra of some B-norsteroids. Can. J. Chem. 1981, 59, 1651–1655. [Google Scholar] [CrossRef]
- Romanutti, C.; Bruttomesso, A.C.; Castilla, V.; Bisceglia, J.A.; Galagovsky, R.; Wachsman, M.B. In vitro antiviral activity of dehydroepiandrosterone and its synthesis derivatives against vesicular stomatitis virus. Vet. J. 2009, 182, 327–335. [Google Scholar] [CrossRef]
- Daina, A.; Michielin, O.; Zoete, V. Swiss-ADME: A free web tool to evaluate pharmacokinetics, drug-likeness and medicinal chemistry friendliness of small molecules. Sci. Rep. 2017, 7, 42717. [Google Scholar] [CrossRef] [PubMed]
- Daina, A.; Zoete, V. A boiled-egg to predict gastrointestinal absorption and brain penetration of small molecules. Chem. Med. Chem. 2016, 11, 1117–1121. [Google Scholar] [CrossRef] [PubMed]
- Gamage, N.; Bartnett, A.; Hempel, N.; Duggleby, R.G.; Windmill, K.F.; Martin, J.L.; McManus, M.E. Human sulfotransferases and their role in chemical metabolism. Toxicol. Sci. 2005, 90, 5–22. [Google Scholar] [CrossRef] [PubMed]
- Rižner, T.L. The important roles of steroid sulfatase and sulfotransferases in gynecological diseases. Front. Pharmacol. 2016, 7, 30. [Google Scholar] [CrossRef]
- Rownland, A.; Miners, J.O.; Mackenzie, P.I. The UDP-glucuronosyltransferases: Their role in drug metabolism and detoxification. Int. J. Biochem. Cell Biol. 2013, 45, 1121–1132. [Google Scholar] [CrossRef]
- Kim, H.C.; Shin, E.J.; Jang, C.G.; Lee, M.K.; Eun, J.S.; Hong, J.T.; Oh, K.W. Pharmacological action of Panax Ginseng on the behavioral toxicities induced by psychotropic agents. Arch. Pharmacal Res. 2005, 28, 995–1001. [Google Scholar] [CrossRef]
- Bird, I.M.; Abbott, D.H. The hunt for a selective 17,20 lyase inhibitor; learning lessons from nature. J. Steroid Biochem. Mol. Biol. 2016, 163, 136–146. [Google Scholar] [CrossRef]
- Ricciotti, E.; FitzGerald, G.A. Prostaglandis and inflammation. Arterioscler. Thromb. Vasc. Biol. 2011, 31, 986–1000. [Google Scholar] [CrossRef]
- Yantsevich, A.V.; Dichenko, Y.V.; MacKenzie, F.; Mukha, D.V.; Baranovsky, A.V.; Gilep, A.A.; Usanov, S.A.; Strushkevich, N.V. Human steroid and oxysterol 7α-hydroxylase CYP7B1: Substrate specificity, azole binding and misfolding of clinically relevant mutants. FEBS J. 2014, 281, 1700–1713. [Google Scholar] [CrossRef]
- Poirier, D. Inhibitors of 17β-hydroxysteroid dehydrogenases. Curr. Med. Chem. 2003, 10, 453–477. [Google Scholar] [CrossRef]
- Kołek, T.; Milecka, N.; Świzdor, A.; Panek, A.; Białońska, A. Hydroxylation of DHEA, androstenediol and epiandrosterone by Mortierella isabellina AM212. Evidence indicating that both constitutive and inducible hydroxylases catalyze 7α- as well as 7β-hydroxylations of 5-ene substrates. Org. Biomol. Chem. 2011, 9, 5414–5422. [Google Scholar] [CrossRef] [PubMed]
- Świzdor, A.; Panek, A.; Milecka-Tronina, N. Hydroxylative activity of Aspergillus niger towards androst-4-ene and androst-5-ene steroids. Steroids 2017, 126, 101–106. [Google Scholar] [CrossRef] [PubMed]
- Wang, L.; Wu, X.; Gao, C.; Wei, L.; Li, Q.; Li, A. A Fungal P450 Enzyme from Fusarium graminearum with unique 12β-steroid hydroxylation activity. Appl. Environ. Microbiol. 2023, 89, e0196322. [Google Scholar] [CrossRef] [PubMed]






| Compound | Pass Prediction for CYP Substrate | |||||||
|---|---|---|---|---|---|---|---|---|
| 2B5 | 2C12 | 2J2 | 2A1 | 3A1 | 2A4 | 2A11 | ||
| 1 | Pa | 0.887 | 0.960 | 0.951 | 0.883 | 0.877 | 0.909 | 0.846 |
| Pi | 0.002 | 0.003 | 0.002 | 0.002 | 0.004 | 0.001 | 0.003 | |
| 2 | Pa | 0.901 | 0.913 | 0.922 | 0.818 | 0.901 | 0.854 | 0.807 |
| Pi | 0.002 | 0.009 | 0.003 | 0.003 | 0.003 | 0.002 | 0.003 | |
| 3 | Pa | 0.977 | 0.967 | 0.958 | 0.950 | 0.930 | 0.927 | 0.910 |
| Pi | 0.000 | 0.003 | 0.002 | 0.001 | 0.002 | 0.001 | 0.002 | |
| 4 | Pa | 0.817 | 0.932 | 0.920 | 0.771 | 0.875 | 0.855 | 0.788 |
| Pi | 0.004 | 0.006 | 0.003 | 0.003 | 0.004 | 0.002 | 0.004 | |
| 5 | Pa | 0.929 | 0.967 | 0.960 | 0.916 | 0.945 | 0.926 | 0.873 |
| Pi | 0.002 | 0.003 | 0.001 | 0.002 | 0.002 | 0.001 | 0.002 | |
| 6 | Pa | 0.920 | 0.964 | 0.955 | 0.902 | 0.897 | 0.917 | 0.845 |
| Pi | 0.002 | 0.003 | 0.002 | 0.002 | 0.003 | 0.001 | 0.003 | |
| Activity | Number of Compound | ||||||
|---|---|---|---|---|---|---|---|
| 1 | 2 | 4 | 3 | 5 | 6 | ||
| Testosterone 17β-dehydrogenase (NADP+) inhibitor | Pa | 0.977 | 0.949 | 0.963 | 0.981 | 0.982 | 0.979 |
| Pi | 0.001 | 0.003 | 0.002 | 0.001 | 0.001 | 0.001 | |
| 27-Hydroxycholesterol 7α-monooxygenase inhibitor | Pa | 0.973 | 0.936 | 0.955 | 0.956 | 0.943 | 0.936 |
| Pi | 0.001 | 0.002 | 0.001 | 0.001 | 0.002 | 0.002 | |
| Prostaglandin-E2 9-reductase inhibitor | Pa | 0.910 | 0.876 | 0.933 | 0.907 | 0.959 | 0.896 |
| Pi | 0.004 | 0.006 | 0.003 | 0.004 | 0.002 | 0.005 | |
| Lysase inhibitor | Pa | 0.873 | 0.808 | 0.788 | 0.922 | 0.897 | 0.911 |
| Pi | 0.004 | 0.009 | 0.011 | 0.003 | 0.004 | 0.003 | |
| Morphine 6-dehydrogenase inhibitor | Pa | 0.847 | 0.626 | 0.776 | 0.809 | 0.893 | 0.805 |
| Pi | 0.001 | 0.003 | 0.001 | 0.001 | 0.001 | 0.001 | |
| Sulfotransferase substrate | Pa | 0.912 | 0.857 | 0.902 | 0.800 | 0.890 | 0.738 |
| Pi | 0.002 | 0.003 | 0.002 | 0.004 | 0.003 | 0.004 | |
| UDP-glucuronosyltransferase substrate | Pa | 0.847 | 0.759 | 0.880 | 0.819 | 0.942 | 0.862 |
| Pi | 0.004 | 0.010 | 0.003 | 0.005 | 0.003 | 0.004 | |
| UGT1A substrate | Pa | 0.858 | 0.725 | 0.851 | 0.814 | 0.911 | 0.868 |
| Pi | 0.003 | 0.008 | 0.004 | 0.004 | 0.003 | 0.003 | |
| Activity | Number of Compound | ||||||
|---|---|---|---|---|---|---|---|
| 1 | 2 | 4 | 3 | 5 | 6 | ||
| Ovulation inhibitor | Pa | 0.917 | 0.897 | 0.849 | 0.949 | 0.917 | 0.873 |
| Pi | 0.002 | 0.002 | 0.003 | 0.001 | 0.002 | 0.002 | |
| Respiratory analeptic | Pa | 0.818 | 0.858 | 0.872 | 0.844 | 0.938 | 0.706 |
| Pi | 0.007 | 0.005 | 0.005 | 0.006 | 0.004 | 0.014 | |
| Cholesterol antagonist | Pa | 0.878 | 0.837 | 0.834 | 0.801 | 0.835 | 0.818 |
| Pi | 0.003 | 0.004 | 0.004 | 0.004 | 0.004 | 0.004 | |
| Protein synthesis stimulant | Pa | 0.823 | 0.839 | 0.725 | 0.771 | 0.768 | 0.743 |
| Pi | 0.001 | 0.001 | 0.001 | 0.001 | 0.001 | 0.001 | |
| Menopausal disorder treatment | Pa | 0.832 | 0.773 | 0.771 | 0.747 | 0.784 | 0.700 |
| Pi | 0.002 | 0.002 | 0.002 | 0.003 | 0.002 | 0.003 | |
| Antihypercholesterolemic | Pa | 0.802 | 0.781 | 0.718 | 0.789 | 0.802 | 0.682 |
| Pi | 0.005 | 0.005 | 0.006 | 0.005 | 0.005 | 0.009 | |
Disclaimer/Publisher’s Note: The statements, opinions and data contained in all publications are solely those of the individual author(s) and contributor(s) and not of MDPI and/or the editor(s). MDPI and/or the editor(s) disclaim responsibility for any injury to people or property resulting from any ideas, methods, instructions or products referred to in the content. |
© 2024 by the authors. Licensee MDPI, Basel, Switzerland. This article is an open access article distributed under the terms and conditions of the Creative Commons Attribution (CC BY) license (https://creativecommons.org/licenses/by/4.0/).
Share and Cite
Świzdor, A.; Janeczko, T.; Panek, A. Modification of B-Nor Steroids Mediated by Filamentous Fungus Fusarium culmorum: Focus on 15α-Hydroxylase Activity. Int. J. Mol. Sci. 2024, 25, 11913. https://doi.org/10.3390/ijms252211913
Świzdor A, Janeczko T, Panek A. Modification of B-Nor Steroids Mediated by Filamentous Fungus Fusarium culmorum: Focus on 15α-Hydroxylase Activity. International Journal of Molecular Sciences. 2024; 25(22):11913. https://doi.org/10.3390/ijms252211913
Chicago/Turabian StyleŚwizdor, Alina, Tomasz Janeczko, and Anna Panek. 2024. "Modification of B-Nor Steroids Mediated by Filamentous Fungus Fusarium culmorum: Focus on 15α-Hydroxylase Activity" International Journal of Molecular Sciences 25, no. 22: 11913. https://doi.org/10.3390/ijms252211913
APA StyleŚwizdor, A., Janeczko, T., & Panek, A. (2024). Modification of B-Nor Steroids Mediated by Filamentous Fungus Fusarium culmorum: Focus on 15α-Hydroxylase Activity. International Journal of Molecular Sciences, 25(22), 11913. https://doi.org/10.3390/ijms252211913

