Genetic Landscape of a Cohort of 120 Patients with Diminished Ovarian Reserve: Correlation with Infertility
Abstract
1. Introduction
2. Results
2.1. Cohort Characteristics
2.2. Molecular Findings
2.2.1. Positive Genetic Diagnosis in DOR and Different Pathways Implicated
2.2.2. Confirmation of the Causal Role of Genes in Ovarian Function
2.2.3. Genes Recurrently Involved in the Cohort of Patients with DOR
2.2.4. Genes Involved in Syndromic DOR
2.2.5. Co-Occurrence of Variants in Different Genes
2.2.6. Heterozygous Variants in Known Recessive Genes
2.2.7. Correlation Between the Genetic Cause and the Occurrence of Pregnancies
3. Discussion
4. Materials and Methods
4.1. Patients
4.2. Genetics Studies
4.3. Ethics Statement
5. Conclusions
Author Contributions
Funding
Institutional Review Board Statement
Informed Consent Statement
Data Availability Statement
Acknowledgments
Conflicts of Interest
References
- Cox, C.M.; Thoma, M.E.; Tchangalova, N.; Mburu, G.; Bornstein, M.J.; Johnson, C.L.; Kiarie, J. Infertility prevalence and the methods of estimation from 1990 to 2021: A systematic review and meta-analysis. Hum. Reprod Open 2022, 2022, hoac051. [Google Scholar] [CrossRef] [PubMed]
- Wang, R.; Kim, B.V.; van Wely, M.; Johnson, N.P.; Costello, M.F.; Zhang, H.; Ng, E.H.Y.; Legro, R.S.; Bhattacharya, S.; Norman, R.J.; et al. Treatment strategies for women with WHO group II anovulation: Systematic review and network meta-analysis. BMJ 2017, 356, j138. [Google Scholar] [CrossRef] [PubMed]
- Carson, S.A.; Kallen, A.N. Diagnosis and Management of Infertility: A Review. JAMA 2021, 326, 65–76. [Google Scholar] [CrossRef] [PubMed]
- European Society for Human Reproduction and Embryology (ESHRE) Guideline Group on POI; Webber, L.; Davies, M.; Anderson, R.; Bartlett, J.; Braat, D.; Cartwright, B.; Cifkova, R.; de Muinck Keizer-Schrama, S.; Hogervorst, E.; et al. ESHRE Guideline: Management of women with premature ovarian insufficiency. Hum. Reprod. 2016, 31, 926–937. [Google Scholar] [CrossRef]
- Huhtaniemi, I.; Hovatta, O.; La Marca, A.; Livera, G.; Monniaux, D.; Persani, L.; Heddar, A.; Jarzabek, K.; Laisk-Podar, T.; Salumets, A.; et al. Advances in the Molecular Pathophysiology, Genetics, and Treatment of Primary Ovarian Insufficiency. Trends Endocrinol. Metab. 2018, 29, 400–419. [Google Scholar] [CrossRef]
- Golezar, S.; Ramezani Tehrani, F.; Khazaei, S.; Ebadi, A.; Keshavarz, Z. The global prevalence of primary ovarian insufficiency and early menopause: A meta-analysis. Climacteric 2019, 22, 403–411. [Google Scholar] [CrossRef]
- Esteves, S.C.; Alviggi, C.; Humaidan, P.; Fischer, R.; Andersen, C.Y.; Conforti, A.; Bühler, K.; Sunkara, S.K.; Polyzos, N.P.; Galliano, D.; et al. The POSEIDON Criteria and Its Measure of Success Through the Eyes of Clinicians and Embryologists. Front. Endocrinol. 2019, 10, 814. [Google Scholar] [CrossRef]
- Greene, A.D.; Patounakis, G.; Segars, J.H. Genetic associations with diminished ovarian reserve: A systematic review of the literature. J. Assist. Reprod. Genet. 2014, 31, 935–946. [Google Scholar] [CrossRef]
- Morin, S.J.; Patounakis, G.; Juneau, C.R.; Neal, S.A.; Scott, R.T.; Seli, E. Diminished ovarian reserve and poor response to stimulation in patients <38 years old: A quantitative but not qualitative reduction in performance. Hum. Reprod. 2018, 33, 1489–1498. [Google Scholar] [CrossRef]
- Zhu, Q.; Li, Y.; Ma, J.; Ma, H.; Liang, X. Potential factors result in diminished ovarian reserve: A comprehensive review. J. Ovarian Res. 2023, 16, 208. [Google Scholar] [CrossRef]
- Heddar, A.; Ogur, C.; Da Costa, S.; Braham, I.; Billaud-Rist, L.; Findikli, N.; Beneteau, C.; Reynaud, R.; Mahmoud, K.; Legrand, S.; et al. Genetic landscape of a large cohort of Primary Ovarian Insufficiency: New genes and pathways and implications for personalized medicine. eBioMedicine 2022, 84, 104246. [Google Scholar] [CrossRef] [PubMed]
- Ke, H.; Tang, S.; Guo, T.; Hou, D.; Jiao, X.; Li, S.; Luo, W.; Xu, B.; Zhao, S.; Li, G.; et al. Landscape of pathogenic mutations in premature ovarian insufficiency. Nat. Med. 2023, 29, 483–492. [Google Scholar] [CrossRef] [PubMed]
- Zhao, M.; Feng, F.; Chu, C.; Yue, W.; Li, L. A novel EIF4ENIF1 mutation associated with a diminished ovarian reserve and premature ovarian insufficiency identified by whole-exome sequencing. J. Ovarian Res. 2019, 12, 119. [Google Scholar] [CrossRef] [PubMed]
- He, W.-B.; Zhang, Y.-X.; Tan, C.; Meng, L.-L.; Liu, G.; Li, Y.; Gong, F.; Wu, B.-L.; Lu, G.-X.; Lin, G.; et al. A recurrent mutation in TBPL2 causes diminished ovarian reserve and female infertility. J. Genet. Genomics 2020, 47, 785–788. [Google Scholar] [CrossRef] [PubMed]
- Yu, L.; Li, M.; Zhang, H.; He, Q.; Wan, F.; Zhang, C.; Wang, F. Novel pathogenic splicing variants in helicase for meiosis 1 (HFM1) are associated with diminished ovarian reserve and poor pregnancy outcomes. J. Assist. Reprod. Genet. 2022, 39, 2135–2141. [Google Scholar] [CrossRef]
- Hou, X.; Zeb, A.; Dil, S.; Zhou, J.; Zhang, H.; Shi, B.; Muhammad, Z.; Khan, I.; Zaman, Q.; Shah, W.A.; et al. A homozygous KASH5 frameshift mutation causes diminished ovarian reserve, recurrent miscarriage, and non-obstructive azoospermia in humans. Front. Endocrinol. 2023, 14, 1128362. [Google Scholar] [CrossRef]
- Li, N.; Xu, W.; Liu, H.; Zhou, R.; Zou, S.; Wang, S.; Li, S.; Yang, Z.; Piao, Y.; Zhang, Y. Whole exome sequencing reveals novel variants associated with diminished ovarian reserve in young women. Front. Genet. 2023, 14, 1154067. [Google Scholar] [CrossRef]
- Wan, Y.; Hong, Z.; Ma, B.; He, X.; Ma, L.; Wang, M.; Zhang, Y. Identification of compound heterozygous variants in MSH4 as a novel genetic cause of diminished ovarian reserve. Reprod. Biol. Endocrinol. 2023, 21, 76. [Google Scholar] [CrossRef]
- Eslami, A.; Farahmand, K.; Totonchi, M.; Madani, T.; Asadpour, U.; Zari Moradi, S.; Gourabi, H.; Mohseni-Meybodi, A. FMR1 premutation: Not only important in premature ovarian failure but also in diminished ovarian reserve. Hum. Fertil. 2017, 20, 120–125. [Google Scholar] [CrossRef]
- Pastore, L.M.; Young, S.L.; Manichaikul, A.; Baker, V.L.; Wang, X.Q.; Finkelstein, J.S. Distribution of the FMR1 gene in females by race/ethnicity: Women with diminished ovarian reserve versus women with normal fertility (SWAN study). Fertil. Steril. 2017, 107, 205–211.e1. [Google Scholar] [CrossRef]
- Tang, R.; Yu, Q. The significance of FMR1 CGG repeats in Chinese women with premature ovarian insufficiency and diminished ovarian reserve. Reprod. Biol. Endocrinol. 2020, 18, 82. [Google Scholar] [CrossRef] [PubMed]
- Namnoum, A.B.; Merriam, G.R.; Moses, A.M.; Levine, M.A. Reproductive dysfunction in women with Albright’s hereditary osteodystrophy. J. Clin. Endocrinol. Metab. 1998, 83, 824–829. [Google Scholar] [CrossRef] [PubMed]
- Mendes de Oliveira, E.; Keogh, J.M.; Talbot, F.; Henning, E.; Ahmed, R.; Perdikari, A.; Bounds, R.; Wasiluk, N.; Ayinampudi, V.; Barroso, I.; et al. Obesity-Associated GNAS Mutations and the Melanocortin Pathway. N. Engl. J. Med. 2021, 385, 1581–1592. [Google Scholar] [CrossRef] [PubMed]
- Persani, L.; Rossetti, R.; Di Pasquale, E.; Cacciatore, C.; Fabre, S. The fundamental role of bone morphogenetic protein 15 in ovarian function and its involvement in female fertility disorders. Hum. Reprod. Update 2014, 20, 869–883. [Google Scholar] [CrossRef] [PubMed]
- Dixit, H.; Rao, K.L.; Padmalatha, V.V.; Kanakavalli, M.; Deenadayal, M.; Gupta, N.; Chakrabarty, B.N.; Singh, L. Mutational analysis of the betaglycan gene-coding region in susceptibility for ovarian failure. Hum. Reprod. 2006, 21, 2041–2046. [Google Scholar] [CrossRef][Green Version]
- Chand, A.L.; Robertson, D.M.; Shelling, A.N.; Harrison, C.A. Mutational analysis of betaglycan/TGF-betaRIII in premature ovarian failure. Fertil. Steril. 2007, 87, 210–212. [Google Scholar] [CrossRef]
- Prueitt, R.L.; Ross, J.L.; Zinn, A.R. Physical mapping of nine Xq translocation breakpoints and identification of XPNPEP2 as a premature ovarian failure candidate gene. Cytogenet. Cell Genet. 2000, 89, 44–50. [Google Scholar] [CrossRef]
- Gioia, M.; Payero, L.; Salim, S.; Fajish, V.G.; Farnaz, A.F.; Pannafino, G.; Chen, J.J.; Ajith, V.P.; Momoh, S.; Scotland, M.; et al. Exo1 protects DNA nicks from ligation to promote crossover formation during meiosis. PLoS Biol. 2023, 21, e3002085. [Google Scholar] [CrossRef]
- Wei, K.; Clark, A.B.; Wong, E.; Kane, M.F.; Mazur, D.J.; Parris, T.; Kolas, N.K.; Russell, R.; Hou, H.; Kneitz, B.; et al. Inactivation of Exonuclease 1 in mice results in DNA mismatch repair defects, increased cancer susceptibility, and male and female sterility. Genes. Dev. 2003, 17, 603–614. [Google Scholar] [CrossRef]
- Luo, W.; Guo, T.; Li, G.; Liu, R.; Zhao, S.; Song, M.; Zhang, L.; Wang, S.; Chen, Z.-J.; Qin, Y. Variants in Homologous Recombination Genes EXO1 and RAD51 Related with Premature Ovarian Insufficiency. J. Clin. Endocrinol. Metab. 2020, 105, dgaa505. [Google Scholar] [CrossRef]
- Wang, F.; Liu, Y.; Ni, F.; Jin, J.; Wu, Y.; Huang, Y.; Ye, X.; Shen, X.; Ying, Y.; Chen, J.; et al. BNC1 deficiency-triggered ferroptosis through the NF2-YAP pathway induces primary ovarian insufficiency. Nat. Commun. 2022, 13, 5871. [Google Scholar] [CrossRef] [PubMed]
- Zhang, D.; Liu, Y.; Zhang, Z.; Lv, P.; Liu, Y.; Li, J.; Wu, Y.; Zhang, R.; Huang, Y.; Xu, G.; et al. Basonuclin 1 deficiency is a cause of primary ovarian insufficiency. Hum. Mol. Genet. 2018, 27, 3787–3800. [Google Scholar] [CrossRef] [PubMed]
- Delcour, C.; Amazit, L.; Patino, L.C.; Magnin, F.; Fagart, J.; Delemer, B.; Young, J.; Laissue, P.; Binart, N.; Beau, I. ATG7 and ATG9A loss-of-function variants trigger autophagy impairment and ovarian failure. Genet. Med. 2019, 21, 930–938. [Google Scholar] [CrossRef] [PubMed]
- Cenni, V.; Capanni, C.; Mattioli, E.; Schena, E.; Squarzoni, S.; Bacalini, M.G.; Garagnani, P.; Salvioli, S.; Franceschi, C.; Lattanzi, G. Lamin A involvement in ageing processes. Ageing Res. Rev. 2020, 62, 101073. [Google Scholar] [CrossRef]
- Chen, L.; Lee, L.; Kudlow, B.A.; Dos Santos, H.G.; Sletvold, O.; Shafeghati, Y.; Botha, E.G.; Garg, A.; Hanson, N.B.; Martin, G.M.; et al. LMNA mutations in atypical Werner’s syndrome. Lancet 2003, 362, 440–445. [Google Scholar] [CrossRef]
- McPherson, E.; Turner, L.; Zador, I.; Reynolds, K.; Macgregor, D.; Giampietro, P.F. Ovarian failure and dilated cardiomyopathy due to a novel lamin mutation. Am. J. Med. Genet. A 2009, 149A, 567–572. [Google Scholar] [CrossRef]
- Kandert, S.; Wehnert, M.; Müller, C.R.; Buendia, B.; Dabauvalle, M.-C. Impaired nuclear functions lead to increased senescence and inefficient differentiation in human myoblasts with a dominant p.R545C mutation in the LMNA gene. Eur. J. Cell Biol. 2009, 88, 593–608. [Google Scholar] [CrossRef]
- Moiseeva, O.; Bourdeau, V.; Vernier, M.; Dabauvalle, M.-C.; Ferbeyre, G. Retinoblastoma-independent regulation of cell proliferation and senescence by the p53-p21 axis in lamin A/C-depleted cells. Aging Cell 2011, 10, 789–797. [Google Scholar] [CrossRef]
- van Tienen, F.H.J.; Lindsey, P.J.; Kamps, M.A.F.; Krapels, I.P.; Ramaekers, F.C.S.; Brunner, H.G.; van den Wijngaard, A.; Broers, J.L.V. Assessment of fibroblast nuclear morphology aids interpretation of LMNA variants. Eur. J. Hum. Genet. 2019, 27, 389–399. [Google Scholar] [CrossRef]
- Qin, Y.; Guo, T.; Li, G.; Tang, T.-S.; Zhao, S.; Jiao, X.; Gong, J.; Gao, F.; Guo, C.; Simpson, J.L.; et al. CSB-PGBD3 Mutations Cause Premature Ovarian Failure. PLoS Genet. 2015, 11, e1005419. [Google Scholar] [CrossRef]
- Tiosano, D.; Mears, J.A.; Buchner, D.A. Mitochondrial Dysfunction in Primary Ovarian Insufficiency. Endocrinology 2019, 160, 2353–2366. [Google Scholar] [CrossRef] [PubMed]
- Hikmat, O.; Tzoulis, C.; Chong, W.K.; Chentouf, L.; Klingenberg, C.; Fratter, C.; Carr, L.J.; Prabhakar, P.; Kumaraguru, N.; Gissen, P.; et al. The clinical spectrum and natural history of early-onset diseases due to DNA polymerase gamma mutations. Genet. Med. 2017, 19, 1217–1225. [Google Scholar] [CrossRef]
- Chen, B.; Li, L.; Wang, J.; Zhou, Y.; Zhu, J.; Li, T.; Pan, H.; Liu, B.; Cao, Y.; Wang, B. Identification of the first homozygous POLG mutation causing non-syndromic ovarian dysfunction. Climacteric 2018, 21, 467–471. [Google Scholar] [CrossRef] [PubMed]
- Chiang, J.L.; Shukla, P.; Pagidas, K.; Ahmed, N.S.; Karri, S.; Gunn, D.D.; Hurd, W.W.; Singh, K.K. Mitochondria in Ovarian Aging and Reproductive Longevity. Ageing Res. Rev. 2020, 63, 101168. [Google Scholar] [CrossRef]
- Portnoi, M.-F.; Dumargne, M.-C.; Rojo, S.; Witchel, S.F.; Duncan, A.J.; Eozenou, C.; Bignon-Topalovic, J.; Yatsenko, S.A.; Rajkovic, A.; Reyes-Mugica, M.; et al. Mutations involving the SRY-related gene SOX8 are associated with a spectrum of human reproductive anomalies. Hum. Mol. Genet. 2018, 27, 1228–1240. [Google Scholar] [CrossRef]
- Morrell, N.W.; Aldred, M.A.; Chung, W.K.; Elliott, C.G.; Nichols, W.C.; Soubrier, F.; Trembath, R.C.; Loyd, J.E. Genetics and genomics of pulmonary arterial hypertension. Eur. Respir. J. 2019, 53, 1801899. [Google Scholar] [CrossRef]
- Jaillard, S.; Sreenivasan, R.; Beaumont, M.; Robevska, G.; Dubourg, C.; Knarston, I.M.; Akloul, L.; van den Bergen, J.; Odent, S.; Croft, B.; et al. Analysis of NR5A1 in 142 patients with premature ovarian insufficiency, diminished ovarian reserve, or unexplained infertility. Maturitas 2020, 131, 78–86. [Google Scholar] [CrossRef] [PubMed]
- Cao, D.; Shi, F.; Guo, C.; Liu, Y.; Lin, Z.; Zhang, J.; Li, R.H.W.; Yao, Y.; Liu, K.; Ng, E.H.Y.; et al. A pathogenic DMC1 frameshift mutation causes nonobstructive azoospermia but not primary ovarian insufficiency in humans. Mol. Hum. Reprod. 2021, 27, gaab058. [Google Scholar] [CrossRef]
- Pangas, S.A. Regulation of the ovarian reserve by members of the transforming growth factor beta family. Mol. Reprod. Dev. 2012, 79, 666–679. [Google Scholar] [CrossRef]
- Renault, L.; Patiño, L.C.; Magnin, F.; Delemer, B.; Young, J.; Laissue, P.; Binart, N.; Beau, I. BMPR1A and BMPR1B Missense Mutations Cause Primary Ovarian Insufficiency. J. Clin. Endocrinol. Metab. 2020, 105, dgz226. [Google Scholar] [CrossRef]
- Edson, M.A.; Nalam, R.L.; Clementi, C.; Franco, H.L.; Demayo, F.J.; Lyons, K.M.; Pangas, S.A.; Matzuk, M.M. Granulosa cell-expressed BMPR1A and BMPR1B have unique functions in regulating fertility but act redundantly to suppress ovarian tumor development. Mol. Endocrinol. 2010, 24, 1251–1266. [Google Scholar] [CrossRef] [PubMed]
- Jaswa, E.G.; McCulloch, C.E.; Simbulan, R.; Cedars, M.I.; Rosen, M.P. Diminished ovarian reserve is associated with reduced euploid rates via preimplantation genetic testing for aneuploidy independently from age: Evidence for concomitant reduction in oocyte quality with quantity. Fertil. Steril. 2021, 115, 966–973. [Google Scholar] [CrossRef]
- Fouks, Y.; Penzias, A.; Neuhausser, W.; Vaughan, D.; Sakkas, D. A diagnosis of diminished ovarian reserve does not impact embryo aneuploidy or live birth rates compared to patients with normal ovarian reserve. Fertil. Steril. 2022, 118, 504–512. [Google Scholar] [CrossRef] [PubMed]
- Heddar, A.; Guichoux, N.; Auger, N.; Misrahi, M. A SPIDR homozygous nonsense pathogenic variant in isolated primary ovarian insufficiency with chromosomal instability. Clin. Genet. 2022, 101, 242–246. [Google Scholar] [CrossRef]
- Chappell, K.; Francou, B.; Habib, C.; Huby, T.; Leoni, M.; Cottin, A.; Nadal, F.; Adnet, E.; Paoli, E.; Oliveira, C.; et al. Galaxy Is a Suitable Bioinformatics Platform for the Molecular Diagnosis of Human Genetic Disorders Using High-Throughput Sequencing Data Analysis: Five Years of Experience in a Clinical Laboratory. Clin. Chem. 2022, 68, 313–321. [Google Scholar] [CrossRef]
- Li, Q.; Wang, K. InterVar: Clinical Interpretation of Genetic Variants by the 2015 ACMG-AMP Guidelines. Am. J. Hum. Genet. 2017, 100, 267–280. [Google Scholar] [CrossRef] [PubMed]
- Kopanos, C.; Tsiolkas, V.; Kouris, A.; Chapple, C.E.; Albarca Aguilera, M.; Meyer, R.; Massouras, A. VarSome: The human genomic variant search engine. Bioinformatics 2019, 35, 1978–1980. [Google Scholar] [CrossRef] [PubMed]
- Baux, D.; Van Goethem, C.; Ardouin, O.; Guignard, T.; Bergougnoux, A.; Koenig, M.; Roux, A.-F. MobiDetails: Online DNA variants interpretation. Eur. J. Hum. Genet. 2021, 29, 356–360. [Google Scholar] [CrossRef]
- Richards, S.; Aziz, N.; Bale, S.; Bick, D.; Das, S.; Gastier-Foster, J.; Grody, W.W.; Hegde, M.; Lyon, E.; Spector, E.; et al. Standards and guidelines for the interpretation of sequence variants: A joint consensus recommendation of the American College of Medical Genetics and Genomics and the Association for Molecular Pathology. Genet. Med. 2015, 17, 405–424. [Google Scholar] [CrossRef]




| Mean Age | 30.8 [16–35] | |
| Ethnicity | Number of Patients | Percentage |
| European | 91 | 75.5% |
| North-African | 24 | 20% |
| African | 2 | 2% |
| Asian | 3 | 2.5% |
| Initial Clinical Presentation | ||
| Isolated | 113 | 94% |
| Syndromic | 7 | 6% |
| Pregnancy | ||
| Yes spontaneously | 25 | 20.8% |
| 1 pregnancy | 18 | 14.4% |
| 2 pregnancies | 6 | 4.8% |
| 3 pregnancies | 1 | 0.8% |
| Yes with IVF | 1 | 0.8% |
| No | 94 | 78.4% |
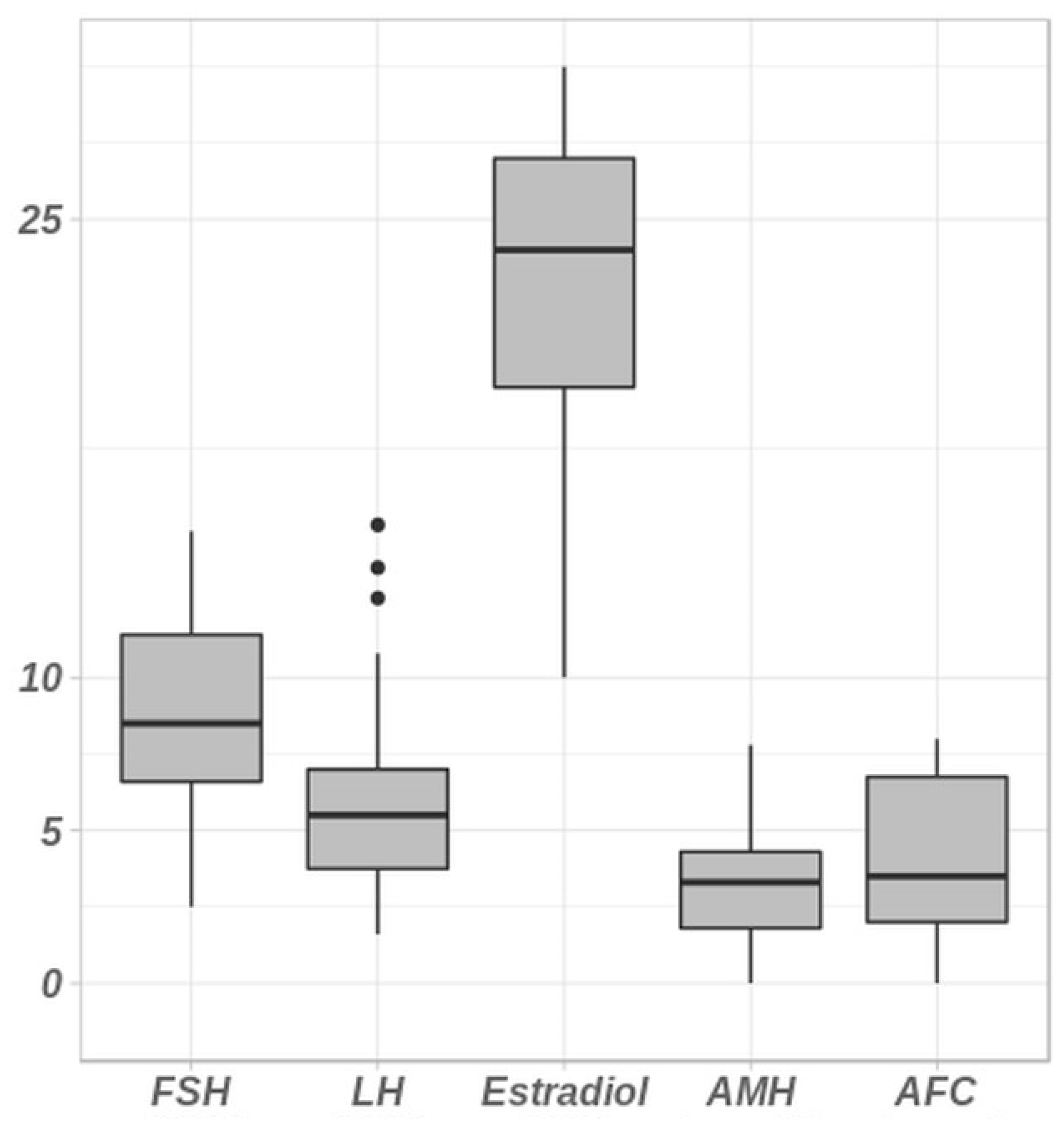
| Hormonal Assays | Mean | Range |
| FSH (IU/L) | 8.9 | [2.52–14.8] |
| LH (IU/L) | 5.69 | [1.6–15] |
| Estradiol (IU/L) | 47.19 | [10–113] |
| AMH (ng/L) | 0.46 | [0.03–1.2] |
| ID | Ethnicity | Age | Pregnancy | Gene | Variant | Haplotype | ACMG | Pathway |
|---|---|---|---|---|---|---|---|---|
| 101 | European | 34 | 0 | EXO1 | NM_130398.4:c.2485G>T p.(Glu829Ter) | Het | 4 | DNA Repair and Meiosis |
| 24 | European | 32 | 0 | ERCC6 | NM_000124.4:c.2924G>T p.(Arg975Leu) | Het | 4 | DNA Repair and Meiosis |
| 33 | European | 26 | 0 | BNC1 | NM_001717.4:c.436-2A>G p.? | Het | 5 | Follicular Growth |
| 41 | European | 30 | 0 | ERCC6 | NM_000124.4:c.1996C>T p.(Arg666Cys) | Het | 4 | DNA Repair and Meiosis |
| POLG | NM_001126131.2:c.1760C>T p.(Pro587Leu) | Het | 5 | Metabolism and Mitochondria | ||||
| POLG | NM_001126131.2:c.752C>T p.(Thr251Ile) | Het | 4 | Metabolism and Mitochondria | ||||
| 42 | European | 34 | 0 | ERCC6 | NM_000124.4:c.1996C>T p.(Arg666Cys) | Het | 4 | DNA Repair and Meiosis |
| 44 | European | 28 | 0 | ERCC6 | NM_000124.4:c.1996C>T p.(Arg666Cys) | Het | 4 | DNA Repair and Meiosis |
| 83 | European | 32 | 0 | ERCC6 | NM_000124.4:c.1996C>T p.(Arg666Cys) | Het | 4 | DNA Repair and Meiosis |
| 77 | North-African | 35 | 2 | LMNA | NM_170707.4:c.1633C>T p.(Arg545Cys) | Het | 4 | Aging |
| 17 | European | 29 | 0 | LMNA | NM_170707.4:c.647G>A p.(Arg216His) | Het | 4 | Aging |
| 45 | European | 32 | 1 | LMNA | NM_170707:c.659G>A p.(Arg220His) | Het | 4 | Aging |
| 12 | European | 31 | 0 | LMNA | NM_170707.4:c.350A>G p.(Lys117Arg) | Het | 4 | Aging |
| 0 | POLG | NM_001126131.2:c.678G>C p.(Gln226His) | Het | 3 | Metabolism and Mitochondria | |||
| 20 | European | 34 | 2 | LMNA | NM_170707.4:c.1201C>T p.(Arg401Cys) | Het | 4 | Aging |
| 70 | European | 34 | 1 | LMNA | NM_170707:c.1718C>T p.(Ser573Leu) | Het | 4 | Aging |
| 15 | European | 27 | 0 | POLG | NM_001126131.2:c.2209G>C p.(Gly737Arg) | Het | 4 | Metabolism and Mitochondria |
| 84 | European | 32 | 0 | POLG | NM_001126131.2:c.1550G>T p.(Gly517Val) | Het | 4 | Metabolism and Mitochondria |
| 38 | European | 34 | 0 | POLG | NM_001126131.2:c.1550G>T p.(Gly517Val) | Het | 4 | Metabolism and Mitochondria |
| 56 | European | 30 | 2 | POLG | NM_001126131.2:c.2492A>G p.(Tyr831Cys) | Het | 4 | Metabolism and Mitochondria |
| 99 | North-African | 34 | 0 | XPNPEP2 | NM_003399.6:c.235-1G>C p.? | Het | 4 | Metabolism |
| 1 | European | 16 | 0 | GNAS | NM_080425.3:c.2524C>T p.(Arg842Cys) | Het | 5 | Follicular Growth |
| 95 | European | 34 | 1 | TGFBR3 | NM_003243):c.2059C>T p.(Arg687ter) | Het | 4 | Follicular Growth |
| 101 | European | 35 | 0 | AIRE | NM_000383:c.601G>T p.(Gly201Ter)/c.586T>A p.(Ser196Thr) | Comp Het | 4/3 | Follicular Growth |
| 65 | European | 20 | 0 | BMPR1A | NM_004329.3:c.850C>T p.(Arg284Cys) | Het | 4 | Follicular Growth |
| 61 | North-African | 34 | 0 | BMPR1B | NM_001256793:c.1165A>G p.(Ser389Gly) | Het | 4 | Follicular Growth |
| 88 | European | 35 | 0 | BMPR1B | NM_001256793.2:c.761G>A p.(Arg254His) | Het | 4 | Follicular Growth |
| GALT | NM_000155.4: c.563A>G p.(Gln188Arg) | Het | 5 | Metabolism and Mitochondria | ||||
| 102 | European | 33 | 1 | BMPR1B | NM_001256793.2:c.761G>A p.(Arg254His) | Het | 4 | Follicular Growth |
| GALT | NM_000155.4: c.563A>G p.(Gln188Arg) | Het | 5 | Metabolism and Mitochondria | ||||
| 46 | European | 30 | 2 | SOX8 | NM_014587.5:c.1144G>A p.(Asp382Asn) | Het | 4 | Ovarian development |
| 48 | North-African | 34 | 1 | SOX8 | NM_014587.5:c.1144G>A p.(Asp382Asn) | Het | 4 | Ovarian development |
| PCCB | NM_000532.5:c.1220G>T p.(Gly407Val) | Het | 4 | Metabolism and Mitochondria | ||||
| 57 | European | 34 | 0 | SOX8 | NM_014587.5:c.1246G>A p.(Ala416Thr) | Het | 4 | Ovarian development |
| 0 | ERCC6 | NM_000124.4:c.2875G>C p.(Val959Leu) | Het | 3 | DNA Repair and Meiosis | |||
| 86 | North-African | 35 | 0 | ATG7 | NM_006395.3:c.1277C>T p.(Pro426Leu) | Het | 4 | Autophagy |
| ID | Ethnicity | Age | Pregnancy | Gene | Variant | Haplotype | ACMG | Pathway |
|---|---|---|---|---|---|---|---|---|
| 48 | European | 33 | 1 | POLG | NM_001126131:c.1399G>A:p.A467T | Het | 4 (Carrier) | Metabolism and Mitochondria |
| 54 | European | 25 | 0 | PMM2 | NM_000303.3:c.713G>A:p.Arg238His | Het | 4 (Carrier) | Metabolism and Mitochondria |
| 83 | Turkish | 27 | 0 | ATM | NM_000051.4:c.2502dup p.Val835SerfsTer7 | Het | 4 (Carrier) | DNA Repair and Meiosis |
| 78 | North-African | 33 | 0 | ATM | NM_000051.4:c.8781_8786+2del/c.1810C>T:p.Pro604Ser | Het | 4 (Carrier) | DNA Repair and Meiosis |
| 67 | European | 33 | 0 | RECQL4 | NM_004260.4:c.1155delG:p.Glu388SerfsTer18 | Het | 3 | DNA Repair and Meiosis |
| ATM | NM_000051:c.3925G>A:p.Ala1309Thr/c.5558A>T:p.Asp1853Val | Pres Comp Het | DNA Repair and Meiosis | |||||
| 6 | European | 29 | 0 | GDF9 | NM_005260.5:c.261C>G:p.His87Gln | Het | 3 | Follicular Growth |
| 8 | European | 33 | 0 | ATM | NM_000051.4:c.8041G>C:p.Val2681Leu | Het | 3 | DNA Repair and Meiosis |
| 12 | European | 35 | 0 | HSD17B4 | NM_000414.4: c.1165G>A: p.Gly389Arg | Het | 3 | Metabolism and Mitochondria |
| AIRE | NM_000383.4:c.70A>G:p.Ser24Gly | Het | Follicular Growth | |||||
| 22 | North-African | 34 | 0 | POF1B | NM_024921.4:c.986G>A:p.Arg329Gln | Het | 3 | Follicular Growth |
| 23 | European | 31 | 0 | ERCC6 | NM_000124.4:c.4309T>A:p.Phe1437Ile | Het | 3 | DNA Repair and Meiosis |
| 25 | European | 30 | 1 | BMPR1B | NM_001256793.2:c.41T>G:p.Phe14Cys | Het | 3 | Follicular Growth |
| 28 | North-African | 34 | 0 | WRN | NM_000553.6:c.1909C>T:p.Arg637Trp | Het | 3 | DNA Repair and Meiosis |
| 30 | North-African | 32 | 0 | BMPR2 | NM_001204.7:c.2233C>T:p.Leu745Phe | Het | 3 | Follicular Growth |
| EIF2B4 | NM_172195.3:c.259G>A:p.Ala87Thr | Het | 3 | Metabolism and Mitochondria | ||||
| 37 | European | 33 | 0 | BMPR2 | NM_001204.7:c.1862C>A: p.Thr621Lys | Het | 3 | Follicular Growth |
| 38 | European | 34 | 0 | AMH | NM_000479.5:c.872T>C:p.Leu291Pro | Het | 3 | Follicular Growth |
| 39 | North-African | 32 | 0 | INHA | NM_002191.4:c.338A>G:p.Tyr113Cys | Het | 3 | Follicular Growth |
| WDR62 | NM_001083961.2:c.3514C>T:p.Pro1172Ser | Het | DNA Repair and Meiosis | |||||
| RCBTB1 | NM_018191.4:c.343G>C:p.Gly115Arg | Het | Follicular Growth | |||||
| 41 | European | 27 | 0 | CSMD1 | NM_033225.6:c.2521G>A:p.Gly841Arg | Het | 3 | Follicular Growth |
| 46 | European | 27 | 0 | CSMD1 | NM_033225:c.8047C>G:p.P2683A | Het | 3 | Follicular Growth |
| 59 | European | 33 | 0 | AR | NM_000044.6:c.53C>G:p.Thr18Ser/c.1886-4A>G:p.? | Pres Comp Het | 3 | Ovarian Development |
| 57 | European | 29 | 0 | FOXO3 | NM_001455.4:c.451T>G:p.Ser151Ala | Het | 3 | Follicular Growth |
| 62 | European | 34 | 0 | ESR1 | NM_001122740.2:c.172G>T:p.Ala58Ser | Het | 3 | Ovarian Development |
| 68 | North-African | 34 | 1 | STAR | NM_000349.3:c.178G>A:p.Gly60Ser | Het | 3 | Metabolism and Mitochondria |
| 69 | North-African | 31 | 0 | WDR62 | NM_001083961:c.3688C>T:p.Arg1230Cys | Het | DNA Repair and Meiosis | |
| CSMD1 | NM_033225:c.7960C>T:p.Leu2654Phe | Het | 3 | Follicular Growth | ||||
| 71 | North-African | 35 | 0 | FANCM | NM_020937.4:c.4865_4867delAAG:p.Glu1622del/c.1397-4A>G/c.5067G>A:p.Ala1689Ala | Pres Comp Het | 3 | DNA Repair and Meiosis |
| 82 | European | 30 | 1 | LONP1 | NM_004793.4:c.2560C>T | Het | 3 | Metabolism and Mitochondria |
| 88 | European | 29 | 0 | PCCB | NM_000532:c.774C>G:p.His258Gln | Hom | 3 | Metabolism and Mitochondria |
| 62 | European | 34 | 0 | GNAS | NM_080425.3:c.2207A>G:p.Gln736Arg | Het | 3 | Follicular Growth |
Disclaimer/Publisher’s Note: The statements, opinions and data contained in all publications are solely those of the individual author(s) and contributor(s) and not of MDPI and/or the editor(s). MDPI and/or the editor(s) disclaim responsibility for any injury to people or property resulting from any ideas, methods, instructions or products referred to in the content. |
© 2024 by the authors. Licensee MDPI, Basel, Switzerland. This article is an open access article distributed under the terms and conditions of the Creative Commons Attribution (CC BY) license (https://creativecommons.org/licenses/by/4.0/).
Share and Cite
Lafraoui, I.; Heddar, A.; Cantalloube, A.; Braham, I.; Peigné, M.; Beneteau, C.; Gricourt, S.; Poirsier, C.; Legrand, S.; Stoeva, R.; et al. Genetic Landscape of a Cohort of 120 Patients with Diminished Ovarian Reserve: Correlation with Infertility. Int. J. Mol. Sci. 2024, 25, 11915. https://doi.org/10.3390/ijms252211915
Lafraoui I, Heddar A, Cantalloube A, Braham I, Peigné M, Beneteau C, Gricourt S, Poirsier C, Legrand S, Stoeva R, et al. Genetic Landscape of a Cohort of 120 Patients with Diminished Ovarian Reserve: Correlation with Infertility. International Journal of Molecular Sciences. 2024; 25(22):11915. https://doi.org/10.3390/ijms252211915
Chicago/Turabian StyleLafraoui, Imène, Abdelkader Heddar, Adèle Cantalloube, Inès Braham, Maëliss Peigné, Claire Beneteau, Solenne Gricourt, Claire Poirsier, Stéphanie Legrand, Radka Stoeva, and et al. 2024. "Genetic Landscape of a Cohort of 120 Patients with Diminished Ovarian Reserve: Correlation with Infertility" International Journal of Molecular Sciences 25, no. 22: 11915. https://doi.org/10.3390/ijms252211915
APA StyleLafraoui, I., Heddar, A., Cantalloube, A., Braham, I., Peigné, M., Beneteau, C., Gricourt, S., Poirsier, C., Legrand, S., Stoeva, R., Metayer-Amelot, L., Lobersztajn, A., Lebrun, S., Gruchy, N., Abdennebi, I., Cedrin-Durnerin, I., Fernandez, H., Luton, D., Torre, A., ... Misrahi, M. (2024). Genetic Landscape of a Cohort of 120 Patients with Diminished Ovarian Reserve: Correlation with Infertility. International Journal of Molecular Sciences, 25(22), 11915. https://doi.org/10.3390/ijms252211915

