Gut Bacterial Composition and Nutritional Implications in Mexican and Spanish Individuals with Inflammatory Bowel Disease Compared to Healthy Controls
Abstract
1. Introduction
2. Results
2.1. Anthropometric and Dietary Analysis
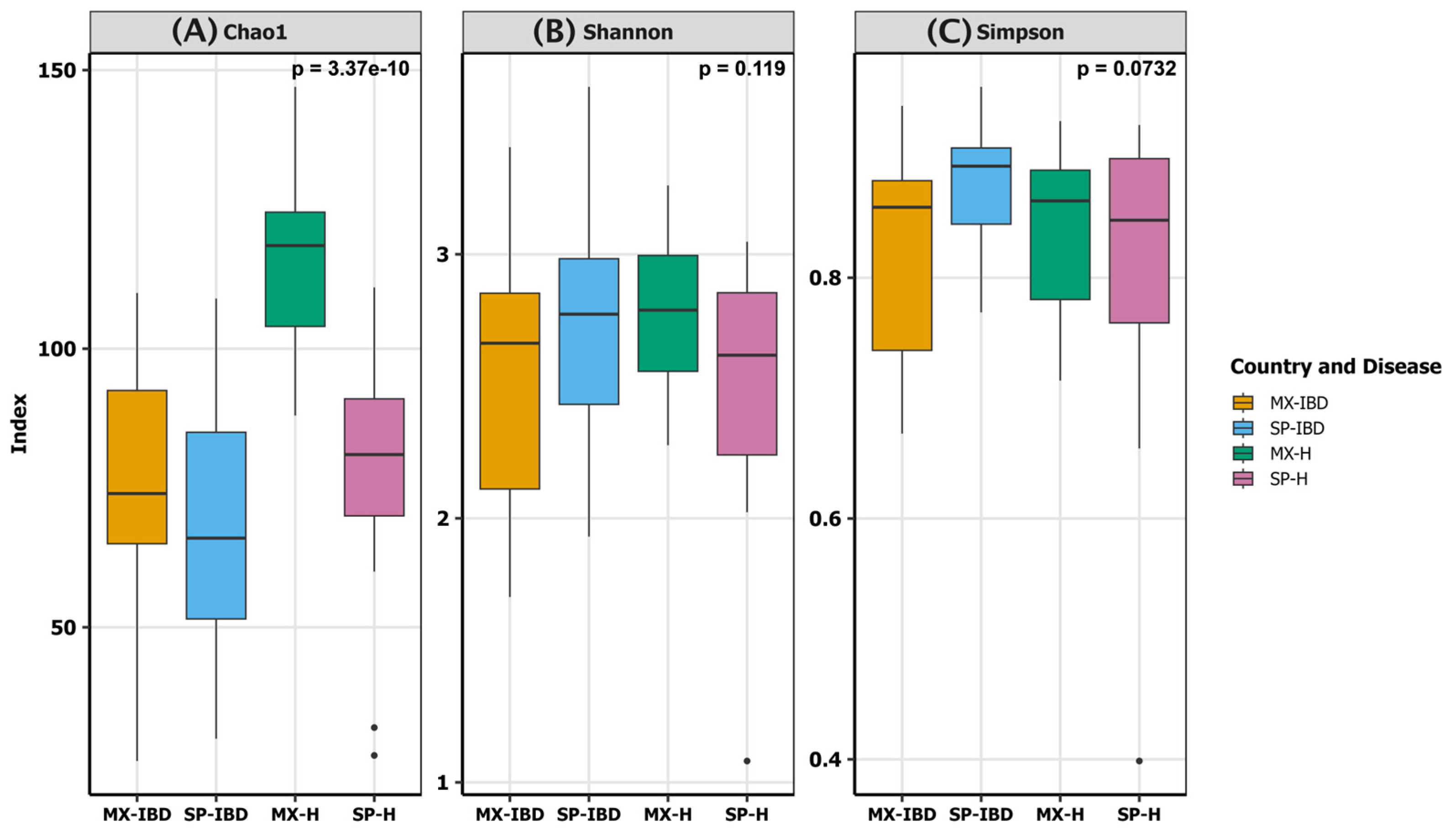
2.2. Gut Microbiota Characterization
2.3. Interplay Between Microbiota, Host Factors, and Diet
3. Discussion
4. Materials and Methods
4.1. Participant Recruitment and Sample Collection
4.2. Dietary Assessment
4.3. Anthropometric Evaluation
4.4. Microbiota Analysis
4.4.1. Fecal Sample Collection and Processing
4.4.2. Library Construction and Sequencing
4.4.3. Bioinformatic Analysis
4.5. Statistical Analysis
5. Conclusions
Supplementary Materials
Author Contributions
Funding
Institutional Review Board Statement
Informed Consent Statement
Data Availability Statement
Conflicts of Interest
References
- McDowell, C.; Farooq, U.; Haseeb, M. Inflammatory bowel disease. In StatPearls; StatPearls Publishing: Treasure Island, FL, USA, 2024. [Google Scholar]
- Kotlyar, D.S.; Blonski, W.C.; Lichtenstein, G.R. Chapter 338—Advances in understanding the pathogenesis of inflammatory bowel disease. In Handbook of Cell Signaling, 2nd ed.; Bradshaw, R.A., Dennis, E.A., Eds.; Academic Press: San Diego, CA, USA, 2010; pp. 2945–2957. ISBN 978-0-12-374145-5. [Google Scholar]
- Alemany-Cosme, E.; Sáez-González, E.; Moret, I.; Mateos, B.; Iborra, M.; Nos, P.; Sandoval, J.; Beltrán, B. Oxidative stress in the pathogenesis of Crohn’s disease and the interconnection with immunological response, microbiota, external environmental factors, and epigenetics. Antioxidants 2021, 10, 64. [Google Scholar] [CrossRef] [PubMed]
- Roberts, S.E.; Thorne, K.; Thapar, N.; Broekaert, I.; Benninga, M.A.; Dolinsek, J.; Mas, E.; Miele, E.; Orel, R.; Pienar, C.; et al. A systematic review and meta-analysis of paediatric inflammatory bowel disease incidence and prevalence across Europe. J. Crohn’s Colitis 2020, 14, 1119–1148. [Google Scholar] [CrossRef] [PubMed]
- Borowitz, S.M. The epidemiology of inflammatory bowel disease: Clues to pathogenesis? Front. Pediatr. 2023, 10, 1103713. [Google Scholar] [CrossRef] [PubMed]
- Yamamoto-Furusho, J.K.; Sarmiento-Aguilar, A.; Toledo-Mauriño, J.J.; Bozada-Gutiérrez, K.E.; Bosques-Padilla, F.J.; Martínez-Vázquez, M.A.; Marroquín-Jiménez, V.; García-Figueroa, R.; Jaramillo-Buendía, C.; Miranda-Cordero, R.M.; et al. Incidence and prevalence of inflammatory bowel disease in Mexico from a nationwide cohort Study in a period of 15 years (2000–2017). Medicine 2019, 98, e16291. [Google Scholar] [CrossRef] [PubMed]
- López-Cortés, R.; Herrero-Hahn, R.; la Rosa-Eduardo, D.; Montoya-Juárez, R.; García-Caro, M.P.; Marín-Fernández, B.; Hueso-Montoro, C. Cultural adaptation and validation of the inflammatory bowel disease disability index in a Spanish population and its association with sociodemographic and clinical factors. Int. J. Environ. Res. Public Health 2019, 16, 635. [Google Scholar] [CrossRef] [PubMed]
- Qiu, P.; Ishimoto, T.; Fu, L.; Zhang, J.; Zhang, Z.; Liu, Y. The gut microbiota in inflammatory bowel disease. Front. Cell. Infect. Microbiol. 2022, 12, 733992. [Google Scholar] [CrossRef]
- García-Gamboa, R.; Díaz-Torres, O.; Senés-Guerrero, C.; Gradilla-Hernández, M.S.; Moya, A.; Pérez-Brocal, V.; Garcia-Gonzalez, A.; González-Avila, M. Associations between bacterial and fungal communities in the human gut microbiota and their implications for nutritional status and body weight. Sci. Rep. 2024, 14, 5703. [Google Scholar] [CrossRef]
- Aldars-García, L.; Chaparro, M.; Gisbert, J.P. Systematic review: The gut microbiome and its potential clinical application in inflammatory bowel disease. Microorganisms 2021, 9, 977. [Google Scholar] [CrossRef]
- Pittayanon, R.; Lau, J.T.; Leontiadis, G.I.; Tse, F.; Yuan, Y.; Surette, M.; Moayyedi, P. Differences in gut microbiota in patients with vs without inflammatory bowel diseases: A systematic review. Gastroenterology 2020, 158, 930–946.e1. [Google Scholar] [CrossRef]
- Alam, M.T.; Amos, G.C.A.; Murphy, A.R.J.; Murch, S.; Wellington, E.M.H.; Arasaradnam, R.P. Microbial imbalance in inflammatory bowel disease patients at different taxonomic levels. Gut Pathog. 2020, 12, 1. [Google Scholar] [CrossRef]
- Bamba, S.; Inatomi, O.; Nishida, A.; Ohno, M.; Imai, T.; Takahashi, K.; Naito, Y.; Iwamoto, J.; Honda, A.; Inohara, N.; et al. Relationship between the gut microbiota and bile acid composition in the ileal mucosa of Crohn’s disease. Intest. Res. 2022, 20, 370–380. [Google Scholar] [CrossRef] [PubMed]
- Fitzpatrick, J.A.; Melton, S.L.; Yao, C.K.; Gibson, P.R.; Halmos, E.P. Dietary management of adults with IBD—The emerging role of dietary therapy. Nat. Rev. Gastroenterol. Hepatol. 2022, 19, 652–669. [Google Scholar] [CrossRef] [PubMed]
- Lê, A.; Mantel, M.; Marchix, J.; Bodinier, M.; Jan, G.; Rolli-Derkinderen, M. Inflammatory bowel disease therapeutic strategies by modulation of the microbiota: How and when to introduce pre-, pro-, syn-, or postbiotics? Am. J. Physiol. Gastrointest. Liver Physiol. 2022, 323, G523–G553. [Google Scholar] [CrossRef] [PubMed]
- Jabłońska, B.; Mrowiec, S. Nutritional status and its detection in patients with inflammatory bowel diseases. Nutrients 2023, 15, 1991. [Google Scholar] [CrossRef] [PubMed]
- Yi, X.; Lu, H.; Liu, X.; He, J.; Li, B.; Wang, Z.; Zhao, Y.; Zhang, X.; Yu, X. Unravelling the enigma of the human microbiome: Evolution and selection of sequencing technologies. Microb. Biotechnol. 2023, 17, e14364. [Google Scholar] [CrossRef]
- Sanchis-Artero, L.; Martínez-Blanch, J.F.; Manresa-Vera, S.; Cortés-Castell, E.; Rodriguez-Morales, J.; Cortés-Rizo, X. Evaluation of changes in gut microbiota in patients with Crohn’s disease after anti-TNFα treatment: Prospective multicenter observational study. Int. J. Environ. Res. Public Health 2020, 17, 5120. [Google Scholar] [CrossRef]
- Zhuang, X.; Tian, Z.; Feng, R.; Li, M.; Li, T.; Zhou, G.; Qiu, Y.; Chen, B.; He, Y.; Chen, M.; et al. Fecal microbiota alterations associated with clinical and endoscopic response to infliximab therapy in Crohn’s disease. Inflamm. Bowel Dis. 2020, 26, 1636–1647. [Google Scholar] [CrossRef]
- Pigneur, B.; Lepage, P.; Mondot, S.; Schmitz, J.; Goulet, O.; Doré, J.; Ruemmele, F.M. Mucosal healing and bacterial composition in response to enteral nutrition vs steroid-based induction therapy—A randomised prospective clinical trial in children with Crohn’s disease. J. Crohn’s Colitis 2019, 13, 846–855. [Google Scholar] [CrossRef]
- Park, Y.M.; Ha, E.; Gu, K.-N.; Shin, G.Y.; Lee, C.K.; Kim, K.; Kim, H.J. Host genetic and gut microbial signatures in familial inflammatory bowel disease. Clin. Transl. Gastroenterol. 2020, 11, e00213. [Google Scholar] [CrossRef]
- Clooney, A.G.; Eckenberger, J.; Laserna-Mendieta, E.; Sexton, K.A.; Bernstein, M.T.; Vagianos, K.; Sargent, M.; Ryan, F.J.; Moran, C.; Sheehan, D.; et al. Ranking microbiome variance in inflammatory bowel disease: A large longitudinal intercontinental study. Gut 2021, 70, 499–510. [Google Scholar] [CrossRef]
- Tian, T.; Zhao, Y.; Yang, Y.; Wang, T.; Jin, S.; Guo, J.; Liu, Z. The protective role of short-chain fatty acids acting as signal molecules in chemotherapy- or radiation-induced intestinal inflammation. Am. J. Cancer Res. 2020, 10, 3508–3531. [Google Scholar] [PubMed]
- Wiredu Ocansey, D.K.; Hang, S.; Yuan, X.; Qian, H.; Zhou, M.; Valerie Olovo, C.; Zhang, X.; Mao, F. The diagnostic and prognostic potential of gut bacteria in inflammatory bowel disease. Gut Microbes 2023, 15, 2176118. [Google Scholar] [CrossRef] [PubMed]
- Rodríguez-García, A.; Arroyo, A.; García-Vicente, R.; Morales, M.L.; Gómez-Gordo, R.; Justo, P.; Cuéllar, C.; Sánchez-Pina, J.; López, N.; Alonso, R.; et al. Short-chain fatty acid production by gut microbiota predicts treatment response in multiple myeloma. Clin. Cancer Res. 2024, 30, 904–917. [Google Scholar] [CrossRef] [PubMed]
- Parada Venegas, D.; De la Fuente, M.K.; Landskron, G.; González, M.J.; Quera, R.; Dijkstra, G.; Harmsen, H.J.M.; Faber, K.N.; Hermoso, M.A. Short chain fatty acids (SCFAs)-mediated gut epithelial and immune regulation and its relevance for inflammatory bowel diseases. Front. Immunol. 2019, 10, 277. [Google Scholar] [CrossRef] [PubMed]
- Santana, P.T.; Rosas, S.L.B.; Ribeiro, B.E.; Marinho, Y.; de Souza, H.S.P. Dysbiosis in inflammatory bowel disease: Pathogenic role and potential therapeutic targets. Int. J. Mol. Sci. 2022, 23, 3464. [Google Scholar] [CrossRef]
- Santos-Marcos, J.A.; Perez-Jimenez, F.; Camargo, A. The role of diet and intestinal microbiota in the development of metabolic syndrome. J. Nutr. Biochem. 2019, 70, 1–27. [Google Scholar] [CrossRef]
- Fernandez-Julia, P.J.; Munoz-Munoz, J.; van Sinderen, D. A comprehensive review on the impact of β-glucan metabolism by Bacteroides and Bifidobacterium species as members of the gut microbiota. Int. J. Biol. Macromol. 2021, 181, 877–889. [Google Scholar] [CrossRef]
- Mah, C.; Jayawardana, T.; Leong, G.; Koentgen, S.; Lemberg, D.; Connor, S.J.; Rokkas, T.; Grimm, M.C.; Leach, S.T.; Hold, G.L. Assessing the relationship between the gut microbiota and inflammatory bowel disease therapeutics: A systematic review. Pathogens 2023, 12, 262. [Google Scholar] [CrossRef]
- Al-Amrah, H.; Saadah, O.I.; Mosli, M.; Annese, V.; Al-Hindi, R.; Edris, S.; Alshehri, D.; Alatawi, H.; Alatawy, M.; Bahieldin, A. Composition of the gut microbiota in patients with inflammatory bowel disease in Saudi Arabia: A pilot study. Saudi J. Gastroenterol. 2023, 29, 102. [Google Scholar] [CrossRef]
- Mohebali, N.; Weigel, M.; Hain, T.; Sütel, M.; Bull, J.; Kreikemeyer, B.; Breitrück, A. Faecalibacterium prausnitzii, Bacteroides faecis and Roseburia intestinalis attenuate clinical symptoms of experimental colitis by regulating Treg/Th17 cell balance and intestinal barrier integrity. Biomed. Pharmacother. 2023, 167, 115568. [Google Scholar] [CrossRef]
- Fujimoto, T.; Imaeda, H.; Takahashi, K.; Kasumi, E.; Bamba, S.; Fujiyama, Y.; Andoh, A. Decreased abundance of Aecalibacterium prausnitzii in the gut microbiota of Crohn’s disease. J. Gastroenterol. Hepatol. 2013, 28, 613–619. [Google Scholar] [CrossRef] [PubMed]
- Radhakrishnan, S.T.; Alexander, J.L.; Mullish, B.H.; Gallagher, K.I.; Powell, N.; Hicks, L.C.; Hart, A.L.; Li, J.V.; Marchesi, J.R.; Williams, H.R.T. Systematic review: The association between the gut microbiota and medical therapies in inflammatory bowel disease. Aliment. Pharmacol. Ther. 2022, 55, 26–48. [Google Scholar] [CrossRef] [PubMed]
- Llopis, M.; Antolin, M.; Carol, M.; Borruel, N.; Casellas, F.; Martinez, C.; Espín-Basany, E.; Guarner, F.; Malagelada, J.R. Lactobacillus casei downregulates commensals’ inflammatory signals in Crohn’s disease mucosa. Inflamm. Bowel Dis. 2009, 15, 275–283. [Google Scholar] [CrossRef] [PubMed]
- Sokol, H.; Pigneur, B.; Watterlot, L.; Lakhdari, O.; Bermudez-Humaran, L.G.; Gratadoux, J. Faecalibacterium prausnitzii is an anti-inflammatory commensal bacterium identified by gut microbiota analysis of Crohn disease patients. Proc. Natl. Acad. Sci. USA 2008, 105, 16731–16736. [Google Scholar] [CrossRef] [PubMed]
- Abdulqadir, R.; Engers, J.; Al-Sadi, R. Role of Bifidobacterium in modulating the intestinal epithelial tight junction barrier: Current knowledge and perspectives. Curr. Dev. Nutr. 2023, 7, 102026. [Google Scholar] [CrossRef]
- Bosselaar, S.; Dhelin, L.; Dautel, E.; Titecat, M.; Duthoy, S.; Stelmaszczyk, M.; Delory, N.; De Sousa Violante, M.; Machuron, F.; Ait-Abderrahim, H.; et al. Taxonomic and phenotypic analysis of bifidobacteria isolated from IBD patients as potential probiotic strains. BMC Microbiol. 2024, 24, 233. [Google Scholar] [CrossRef]
- Shiba, T.; Aiba, Y.; Ishikawa, H.; Ushiyama, A.; Takagi, A.; Mine, T.; Koga, Y. The suppressive effect of bifidobacteria on Bacteroides vulgatus, a putative pathogenic microbe in inflammatory bowel disease. Microbiol. Immunol. 2003, 47, 371–378. [Google Scholar] [CrossRef]
- Elena, R.-I.M.; Gabriela, G.-D.; Arnulfo, G.-C.; Enrique, C.A. Studying the gut microbiome of Latin America and Hispanic/Latino populations. Insight into obesity and diabetes: Systematic review. Curr. Diabetes Rev. 2019, 15, 294–301. [Google Scholar] [CrossRef]
- Zheng, M.; Han, R.; Yuan, Y.; Xing, Y.; Zhang, W.; Sun, Z.; Liu, Y.; Li, J.; Mao, T. The role of Akkermansia muciniphila in inflammatory bowel disease: Current knowledge and perspectives. Front. Immunol. 2023, 13, 1089600. [Google Scholar] [CrossRef]
- García-Gamboa, R.; Kirchmayr, M.R.; Gradilla-Hernández, M.S.; Pérez-Brocal, V.; Moya, A.; González-Avila, M. The intestinal mycobiota and its relationship with overweight, obesity and nutritional aspects. J. Hum. Nutr. Diet. 2021, 34, 645–655. [Google Scholar] [CrossRef]
- Ma, N.; Tian, Y.; Wu, Y.; Ma, X. Contributions of the interaction between dietary protein and gut microbiota to intestinal health. Curr. Protein Pept. Sci. 2017, 18, 795–808. [Google Scholar] [CrossRef] [PubMed]
- Verburgt, C.M.; Heutink, W.P.; Kuilboer, L.I.M.; Dickmann, J.D.; van Etten-Jamaludin, F.S.; Benninga, M.A.; de Jonge, W.J.; Van Limbergen, J.E.; Tabbers, M.M. Antibiotics in pediatric inflammatory bowel diseases: A systematic review. Expert Rev. Gastroenterol. Hepatol. 2021, 15, 891–908. [Google Scholar] [CrossRef] [PubMed]
- Klindworth, A.; Pruesse, E.; Schweer, T.; Peplies, J.; Quast, C.; Horn, M.; Glöckner, F.O. Evaluation of general 16S ribosomal RNA gene PCR primers for classical and next-generation sequencing-based diversity studies. Nucleic Acids Res. 2013, 41, e1. [Google Scholar] [CrossRef] [PubMed]
- Gao, B.; Chi, L.; Zhu, Y.; Shi, X.; Tu, P.; Li, B.; Yin, J.; Gao, N.; Shen, W.; Schnabl, B. An introduction to next generation sequencing bioinformatic analysis in gut microbiome studies. Biomolecules 2021, 11, 530. [Google Scholar] [CrossRef] [PubMed]
- Bolyen, E.; Rideout, J.R.; Dillon, M.R.; Bokulich, N.A.; Abnet, C.C.; Al-Ghalith, G.A.; Alexander, H.; Alm, E.J.; Arumugam, M.; Asnicar, F.; et al. Reproducible, interactive, scalable and extensible microbiome data science using QIIME 2. Nat. Biotechnol. 2019, 37, 852–857. [Google Scholar] [CrossRef]
- Callahan, B.J.; McMurdie, P.J.; Rosen, M.J.; Han, A.W.; Johnson, A.J.A.; Holmes, S.P. DADA2: High-resolution sample inference from Illumina amplicon data. Nat. Methods 2016, 13, 581–583. [Google Scholar] [CrossRef]
- Quast, C.; Pruesse, E.; Yilmaz, P.; Gerken, J.; Schweer, T.; Yarza, P.; Peplies, J.; Glöckner, F.O. The SILVA ribosomal RNA gene database project: Improved data processing and web-based tools. Nucleic Acids Res. 2012, 41, D590–D596. [Google Scholar] [CrossRef]
- R Core Team. R: The R Project for Statistical Computing. Available online: https://www.r-project.org/ (accessed on 27 August 2024).
- Villanueva, R.A.M.; Chen, Z.J. Ggplot2: Elegant graphics for data analysis (2nd Ed.). Meas. Interdiscip. Res. Perspect. 2019, 17, 160–167. [Google Scholar] [CrossRef]
- Love, M.I.; Huber, W.; Anders, S. Moderated estimation of fold change and dispersion for RNA-Seq data with DESeq2. Genome Biol. 2014, 15, 550. [Google Scholar] [CrossRef]
- Oksanen, J.; Simpson, G.L.; Blanchet, F.G.; Kindt, R.; Legendre, P.; Minchin, P.R.; O’Hara, R.B.; Solymos, P.; Stevens, M.H.H.; Szoecs, E.; et al. Vegan: Community Ecology Package. 2022. Available online: https://cran.r-project.org/web/packages/vegan/index.html (accessed on 30 October 2024).
- Warton, D.I.; Wright, S.T.; Wang, Y. Distance-based multivariate analyses confound location and dispersion effects. Methods Ecol. Evol. 2012, 3, 89–101. [Google Scholar] [CrossRef]
- LeBrun, E.S.; King, R.S.; Back, J.A.; Kang, S. Microbial community structure and function decoupling across a phosphorus gradient in streams. Microb. Ecol. 2018, 75, 64–73. [Google Scholar] [CrossRef] [PubMed]
- Beck, M.W. Ordination Plots with Ggplot2—Ggord. Available online: https://fawda123.github.io/ggord/reference/ggord.html (accessed on 27 August 2024).
- Díaz-Torres, O.; Lugo-Melchor, O.Y.; de Anda, J.; Pacheco, A.; Yebra-Montes, C.; Gradilla-Hernández, M.S.; Senés-Guerrero, C. Bacterial dynamics and their influence on the biogeochemical cycles in a subtropical hypereutrophic lake during the rainy season. Front. Microbiol. 2022, 13, 832477. [Google Scholar] [CrossRef] [PubMed]
- Wei, T.; Simko, V. R Package “Corrplot”: Visualization of a Correlation Matrix. 2021. Available online: https://github.com/taiyun/corrplot (accessed on 30 October 2024).





| Characteristics | Groups of Participants | p Value | |||
|---|---|---|---|---|---|
| MX-IBD | SP-IBD | MX-H | SP-H | ||
| n | 15 | 27 | 20 | 17 | |
| Gender (female/male) | 8/7 | 10/17 | 12/8 | 9/8 | |
| Weight (kg) | 69.1 ± 15.2 | 77.8 ± 17.3 | 60.6 ± 6.1 | 69.6 ± 15.9 | 0.0015 * |
| Female | 65.4 ± 14.6 | 65.2 ± 15.1 | 58.12 ± 4.9 | 62.9 ± 13.2 | 0.0417 * |
| Male | 73.2 ± 15.6 | 83.3 ± 21.0 | 64.35 ± 6.3 | 78.1 ± 16.6 | 0.0139 * |
| Fat mass % | 26.9 ± 5.3 | 32.6 ± 11.6 | 24.7 ± 5.6 | 29.2 ± 4.9 | 0.0334 * |
| Female | 34.5 ± 7.7 | 32.9 ± 11.9 | 24.22 ± 5.3 | 31.8 ± 5.0 | 0.0250 * |
| Male | 20.3 ± 4.9 | 32.2 ± 6.8 | 23.90 ± 5.0 | 25.7 ± 3.9 | 0.0389 * |
| Lean mass % | 31.3 ± 2.9 | 24.2 ± 1.3 | 29.7 ± 5.7 | 23.7 ± 3.4 | 0.0001 * |
| Female | 27.38 ± 3.1 | 18.7 ± 1.1 | 29.2 ± 6.2 | 21.6 ± 3.0 | 0.0200 * |
| Male | 32.6 ± 3.3 | 29.5 ± 2.0 | 30.70 ± 5.1 | 26.5 ± 4.4 | 0.0567 |
| Daily caloric intake (kcals) | 941.1 ± 135.5 | 1471.8 ± 548.03 | 1580.6 ± 188.8 | 1347.7 ± 463.5 | 0.0001 * |
| Carbohydrates % | 44.2 ± 19.0 | 54.1 ± 6.7 | 46.4 ± 9.9 | 53.7 ± 7.9 | 0.0139 * |
| Proteins % | 21.6 ± 4.0 | 19.8 ± 4.3 | 22.6 ± 4.9 | 17.6 ± 3.2 | 0.0359 * |
| Lipids % | 34.1 ± 7.3 | 24.3 ± 6.6 | 30.8 ± 8.1 | 25.7 ± 6.5 | 0.0179 * |
| Simple carbohydrates % | 11.3 ± 14.3 | 4.8 ± 4.7 | 1 ± 2.0 | 3.02 ± 3.8 | 0.0005 * |
| Complex carbohydrates % | 32.8 ± 6.1 | 49.2 ± 6.7 | 45.4 ± 7.7 | 50.7 ± 8.1 | 0.0001 * |
| Dairy products % | 1.8 ± 0.4 | 4.8 ± 1.2 | 4.05 ± 1.7 | 3.8 ± 1.3 | 0.0097 * |
| Meat % | 13.6 ± 3.6 | 8.9 ± 2.6 | 12.12 ± 3.5 | 7.1 ± 2.05 | 0.006 * |
| Vegetal % | 5.2 ± 1.2 | 6.0 ± 1.01 | 5.9 ± 1.1 | 6.7 ± 1.5 | 0.4855 |
Disclaimer/Publisher’s Note: The statements, opinions and data contained in all publications are solely those of the individual author(s) and contributor(s) and not of MDPI and/or the editor(s). MDPI and/or the editor(s) disclaim responsibility for any injury to people or property resulting from any ideas, methods, instructions or products referred to in the content. |
© 2024 by the authors. Licensee MDPI, Basel, Switzerland. This article is an open access article distributed under the terms and conditions of the Creative Commons Attribution (CC BY) license (https://creativecommons.org/licenses/by/4.0/).
Share and Cite
García-Gamboa, R.; Díaz-Torres, O.; Gradilla-Hernández, M.S.; Pérez-Brocal, V.; Moya, A.; González-Avila, M. Gut Bacterial Composition and Nutritional Implications in Mexican and Spanish Individuals with Inflammatory Bowel Disease Compared to Healthy Controls. Int. J. Mol. Sci. 2024, 25, 11887. https://doi.org/10.3390/ijms252211887
García-Gamboa R, Díaz-Torres O, Gradilla-Hernández MS, Pérez-Brocal V, Moya A, González-Avila M. Gut Bacterial Composition and Nutritional Implications in Mexican and Spanish Individuals with Inflammatory Bowel Disease Compared to Healthy Controls. International Journal of Molecular Sciences. 2024; 25(22):11887. https://doi.org/10.3390/ijms252211887
Chicago/Turabian StyleGarcía-Gamboa, Ricardo, Osiris Díaz-Torres, Misael Sebastián Gradilla-Hernández, Vicente Pérez-Brocal, Andrés Moya, and Marisela González-Avila. 2024. "Gut Bacterial Composition and Nutritional Implications in Mexican and Spanish Individuals with Inflammatory Bowel Disease Compared to Healthy Controls" International Journal of Molecular Sciences 25, no. 22: 11887. https://doi.org/10.3390/ijms252211887
APA StyleGarcía-Gamboa, R., Díaz-Torres, O., Gradilla-Hernández, M. S., Pérez-Brocal, V., Moya, A., & González-Avila, M. (2024). Gut Bacterial Composition and Nutritional Implications in Mexican and Spanish Individuals with Inflammatory Bowel Disease Compared to Healthy Controls. International Journal of Molecular Sciences, 25(22), 11887. https://doi.org/10.3390/ijms252211887

