Is Osteopontin a Reliable Biomarker for Endometriosis?
Abstract
1. Introduction
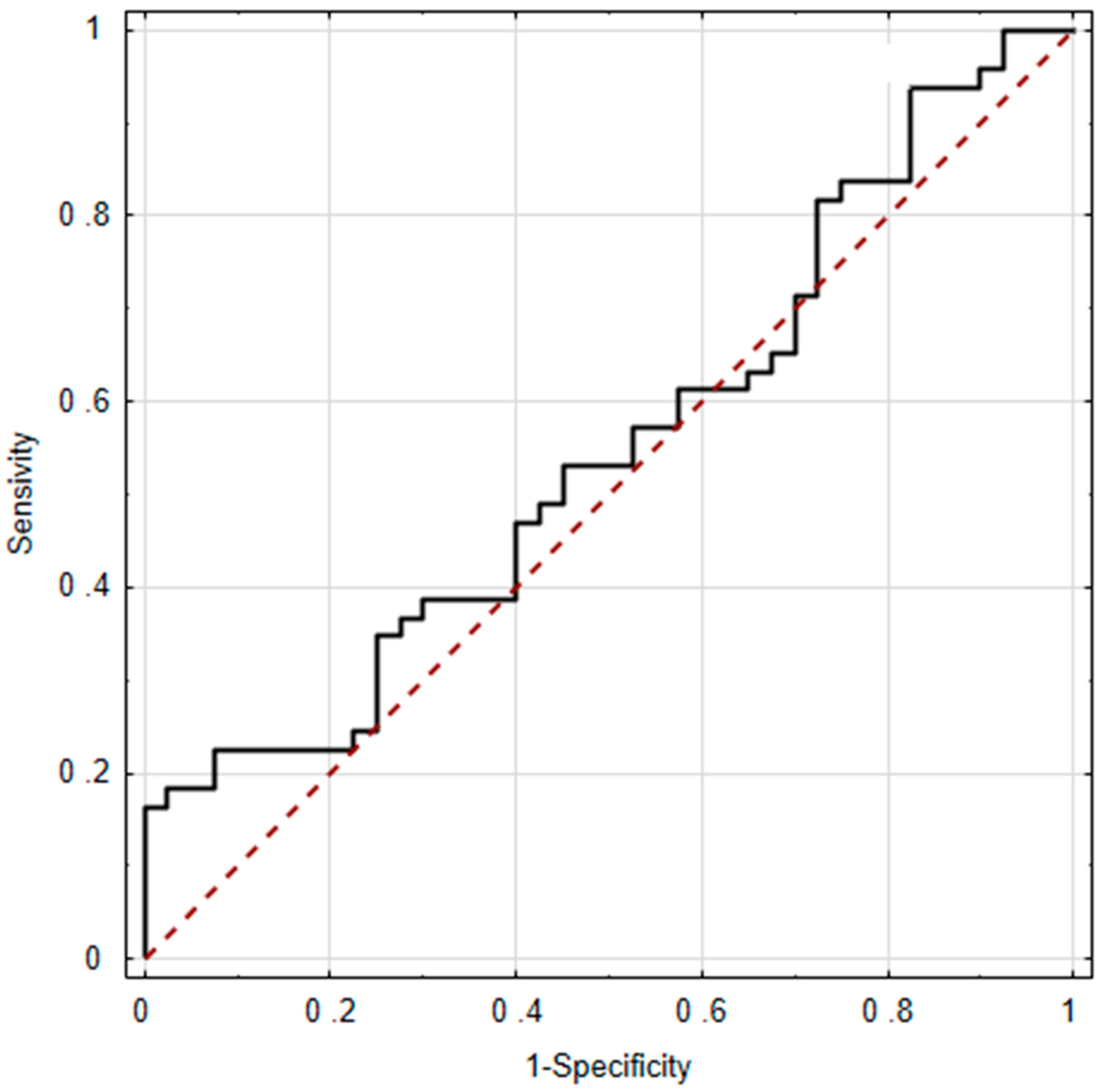
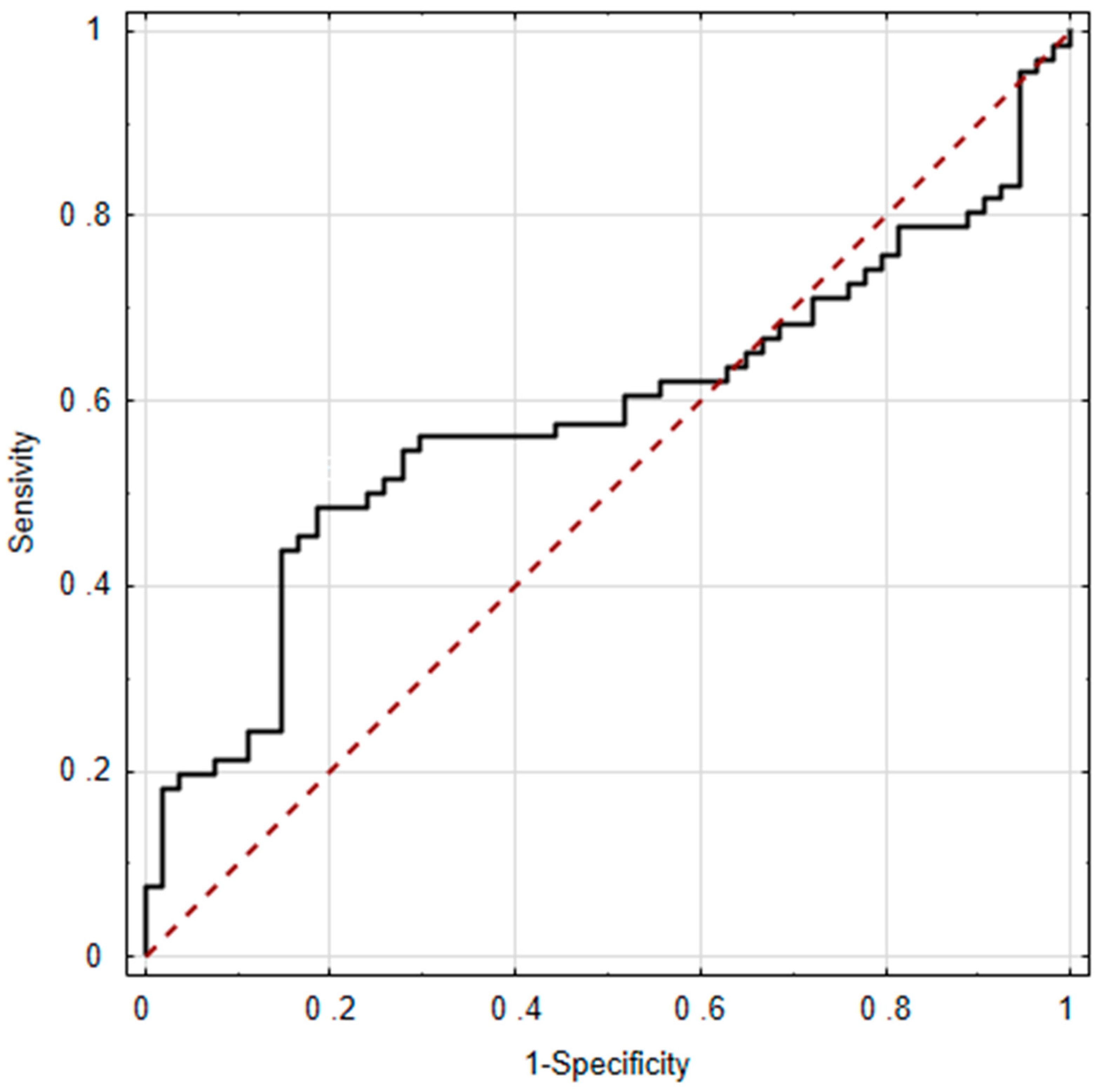
2. Results
3. Discussion
4. Materials and Methods
4.1. Study Population
4.2. Method of Measuring Osteopontin Concentration
4.3. Statistical Analyses
5. Conclusions
Author Contributions
Funding
Institutional Review Board Statement
Informed Consent Statement
Data Availability Statement
Acknowledgments
Conflicts of Interest
Appendix A
Materials and Methods
Study Population
Appendix B
Appendix B.1. Method of Measuring Osteopontin Concentration
Appendix B.1.1. Reagents
Appendix B.1.2. SPRi Measurement Procedure
References
- Becker, C.M.; Bokor, A.; Heikinheimo, O.; Horne, A.; Jansen, F.; Kiesel, L.; King, K.; Kvaskoff, M.; Nap, A.; Petersen, K.; et al. ESHRE guideline: Endometriosis. Hum. Reprod. Open 2022, 2022, hoac009. [Google Scholar] [CrossRef] [PubMed]
- Mowers, E.L.; Lim, C.S.; Skinner, B.; Mahnert, N.; Kamdar, N.; Morgan, D.M.; As-Sanie, S. Prevalence of Endometriosis During Abdominal or Laparoscopic Hysterectomy for Chronic Pelvic Pain. Obstet. Gynecol. 2016, 127, 1045–1053. [Google Scholar] [CrossRef] [PubMed]
- Cramer, D.W.; Missmer, S.A. The epidemiology of endometriosis. Ann. N. Y. Acad. Sci. 2002, 955, 11–22, discussion 34–36, 396–406. [Google Scholar] [CrossRef] [PubMed]
- Zondervan, K.T.; Becker, C.M.; Missmer, S.A. Endometriosis. N. Engl. J. Med. 2020, 382, 1244–1256. [Google Scholar] [CrossRef] [PubMed]
- Chapron, C.; Marcellin, L.; Borghese, B.; Santulli, P. Rethinking mechanisms, diagnosis and management of endometriosis. Nat. Rev. Endocrinol. 2019, 15, 666–682. [Google Scholar] [CrossRef]
- Li, L.; Lou, K.; Chu, A.; O’Brien, E.; Molina, A.; Riley, K. Complementary therapy for endometriosis related pelvic pain. J. Endometr. Pelvic Pain Disord. 2023, 15, 34–43. [Google Scholar] [CrossRef]
- Eskenazi, B.; Warner, M.L. Epidemiology of endometriosis. Obstet. Gynecol. Clin. N. Am. 1997, 24, 235–258. [Google Scholar] [CrossRef]
- Buyalos, R.P.; Agarwal, S.K. Endometriosis-associated infertility. Curr. Opin. Obstet. Gynecol. 2000, 12, 377–381. [Google Scholar] [CrossRef]
- Wrobel, M.; Wielgos, M.; Laudanski, P. Diagnostic delay of endometriosis in adults and adolescence-current stage of knowledge. Adv. Med. Sci. 2022, 67, 148–153. [Google Scholar] [CrossRef]
- Kacperczyk-Bartnik, J.; Żeber-Lubecka, N.; Feduniw, S.; Bartnik, P.; Włodarczyk, M.; Abramiuk, M.; Ciebiera, M. The Holy Grail of endometriosis biomarkers in the diagnostic process—How much would it be worth and what does it look like? J. Endometr. Pelvic Pain Disord. 2023, 15, 109–115. [Google Scholar] [CrossRef]
- Sampson, J.A. Metastatic or Embolic Endometriosis, due to the Menstrual Dissemination of Endometrial Tissue into the Venous Circulation. Am. J. Pathol. 1927, 3, 93–110. [Google Scholar] [PubMed]
- Halme, J.; Hammond, M.G.; Hulka, J.F.; Raj, S.G.; Talbert, L.M. Retrograde menstruation in healthy women and in patients with endometriosis. Obstet. Gynecol. 1984, 64, 151–154. [Google Scholar]
- Laudanski, P.; Szamatowicz, J.; Ramel, P. Matrix metalloproteinase-13 and membrane type-1 matrix metalloproteinase in peritoneal fluid of women with endometriosis. Gynecol. Endocrinol. 2005, 21, 106–110. [Google Scholar] [CrossRef]
- Laudanski, P.; Charkiewicz, R.; Kuzmicki, M.; Szamatowicz, J.; Świątecka, J.; Mroczko, B.; Niklinski, J. Profiling of selected angiogenesis-related genes in proliferative eutopic endometrium of women with endometriosis. Eur. J. Obstet. Gynecol. Reprod. Biol. 2014, 172, 85–92. [Google Scholar] [CrossRef] [PubMed]
- Laudanski, P.; Gorodkiewicz, E.; Ramotowska, B.; Charkiewicz, R.; Kuzmicki, M.; Szamatowicz, J. Determination of cathepsins B, D and G concentration in eutopic proliferative endometrium of women with endometriosis by the surface plasmon resonance imaging (SPRI) technique. Eur. J. Obstet. Gynecol. Reprod. Biol. 2013, 169, 80–83. [Google Scholar] [CrossRef]
- Szamatowicz, J.; Laudanski, P.; Tomaszewska, I.; Szamatowicz, M. Chemokine growth-regulated-alpha: A possible role in the pathogenesis of endometriosis. Gynecol. Endocrinol. 2002, 16, 137–141. [Google Scholar] [CrossRef] [PubMed]
- Bartnik, P.; Kacperczyk-Bartnik, J.; Goławski, K.; Sierdziński, J.; Mańka, G.; Kiecka, M.; Lipa, M.; Warzecha, D.; Spaczyński, R.; Piekarski, P.; et al. Plasma and Peritoneal Fluid ZEB Levels in Patients with Endometriosis and Infertility. Biomedicines 2022, 10, 2460. [Google Scholar] [CrossRef]
- Skarżyńska, E.; Wróbel, M.; Zborowska, H.; Kołek, M.F.; Mańka, G.; Kiecka, M.; Lipa, M.; Warzecha, D.; Spaczyński, R.; Piekarski, P.; et al. The Influence of Lactoferrin in Plasma and Peritoneal Fluid on Iron Metabolism in Women with Endometriosis. Int. J. Mol. Sci. 2023, 24, 1619. [Google Scholar] [CrossRef]
- Lisowska-Myjak, B.; Skarżyńska, E.; Wróbel, M.; Mańka, G.; Kiecka, M.; Lipa, M.; Warzecha, D.; Spaczyński, R.; Piekarski, P.; Banaszewska, B.; et al. Investigation of the Changes in Concentrations of Vitamin D-Binding Protein and Lactoferin in Plasma and Peritoneal Fluid of Patients with Endometriosis. Int. J. Mol. Sci. 2023, 24, 7828. [Google Scholar] [CrossRef]
- Fan, Y.Y.; Chen, H.Y.; Chen, W.; Liu, Y.N.; Fu, Y.; Wang, L.N. Expression of inflammatory cytokines in serum and peritoneal fluid from patients with different stages of endometriosis. Gynecol. Endocrinol. 2018, 34, 507–512. [Google Scholar] [CrossRef]
- De Andrade, V.T.; Nacul, A.P.; Dos Santos, B.R.; Lecke, S.B.; Spritzer, P.M.; Morsch, D.M. Circulating and peritoneal fluid interleukin-6 levels and gene expression in pelvic endometriosis. Exp. Ther. Med. 2017, 14, 2317–2322. [Google Scholar] [CrossRef] [PubMed]
- Krasnyi, A.M.; Sadekova, A.A.; Smolnova, T.Y.; Chursin, V.V.; Buralkina, N.A.; Chuprynin, V.D.; Yarotskaya, E.; Pavlovich, S.V.; Sukhikh, G.T. The Levels of Ghrelin, Glucagon, Visfatin and Glp-1 Are Decreased in the Peritoneal Fluid of Women with Endometriosis along with the Increased Expression of the CD10 Protease by the Macrophages. Int. J. Mol. Sci. 2022, 23, 10361. [Google Scholar] [CrossRef]
- Kalaitzopoulos, D.R.; Lempesis, I.G.; Samartzis, N.; Kolovos, G.; Dedes, I.; Daniilidis, A.; Nirgianakis, K.; Leeners, B.; Goulis, D.G.; Samartzis, E.P. Leptin concentrations in endometriosis: A systematic review and meta-analysis. J. Reprod. Immunol. 2021, 146, 103338. [Google Scholar] [CrossRef]
- Zyguła, A.; Sankiewicz, A.; Sakowicz, A.; Dobrzyńska, E.; Dakowicz, A.; Mańka, G.; Kiecka, M.; Spaczynski, R.; Piekarski, P.; Banaszewska, B.; et al. Is the leptin/BMI ratio a reliable biomarker for endometriosis? Front. Endocrinol. 2024, 15, 1359182. [Google Scholar] [CrossRef]
- Hwang, J.H.; Wang, T.; Lee, K.S.; Joo, J.K.; Lee, H.G. Vitamin D binding protein plays an important role in the progression of endometriosis. Int. J. Mol. Med. 2013, 32, 1394–1400. [Google Scholar] [CrossRef] [PubMed]
- Figula, J.; Baran, R.M.; Jach, R. Osteopontin as a marker of endometriosis—The current state of knowledge. Ginekol. Pol. 2024, 95, 152–155. [Google Scholar] [CrossRef] [PubMed]
- Kahles, F.; Findeisen, H.M.; Bruemmer, D. Osteopontin: A novel regulator at the cross roads of inflammation, obesity and diabetes. Mol. Metab. 2014, 3, 384–393. [Google Scholar] [CrossRef]
- Icer, M.A.; Gezmen-Karadag, M. The multiple functions and mechanisms of osteopontin. Clin. Biochem. 2018, 59, 17–24. [Google Scholar] [CrossRef]
- Chęcińska-Maciejewska, Z.; Ciborek, A.; Krauss, H.; Gibas-Dorna, M. Advantages of breastfeeding for the mother-infant dyad. J. Health Inequal. 2024, 10, 64–71. [Google Scholar] [CrossRef]
- Asou, Y.; Rittling, S.R.; Yoshitake, H.; Tsuji, K.; Shinomiya, K.; Nifuji, A.; Denhardt, D.T.; Noda, M. Osteopontin facilitates angiogenesis, accumulation of osteoclasts, and resorption in ectopic bone. Endocrinology 2001, 142, 1325–1332. [Google Scholar] [CrossRef]
- Denhardt, D.T.; Noda, M.; O’Regan, A.W.; Pavlin, D.; Berman, J.S. Osteopontin as a means to cope with environmental insults: Regulation of inflammation, tissue remodeling, and cell survival. J. Clin. Investig. 2001, 107, 1055–1061. [Google Scholar] [CrossRef] [PubMed]
- Massimiani, M.; Lacconi, V.; La Civita, F.; Ticconi, C.; Rago, R.; Campagnolo, L. Molecular Signaling Regulating Endometrium-Blastocyst Crosstalk. Int. J. Mol. Sci. 2019, 21, 23. [Google Scholar] [CrossRef] [PubMed]
- Cerne, K.; Hadzialjevic, B.; Skof, E.; Verdenik, I.; Kobal, B. Potential of osteopontin in the management of epithelial ovarian cancer. Radiol. Oncol. 2019, 53, 105–115. [Google Scholar] [CrossRef]
- Al Maghrabi, H.; Gomaa, W.; Al-Maghrabi, J. Increased osteopontin expression in endometrial carcinoma is associated with better survival outcome. Ginekol. Pol. 2020, 91, 73–78. [Google Scholar] [CrossRef]
- Cho, H.; Hong, S.W.; Oh, Y.J.; Kim, M.A.; Kang, E.S.; Lee, J.M.; Kim, S.W.; Kim, S.H.; Kim, J.H.; Kim, Y.T.; et al. Clinical significance of osteopontin expression in cervical cancer. J. Cancer Res. Clin. Oncol. 2008, 134, 909–917. [Google Scholar] [CrossRef]
- Zhao, Y.; Huang, Z.; Gao, L.; Ma, H.; Chang, R. Osteopontin/SPP1: A potential mediator between immune cells and vascular calcification. Front. Immunol. 2024, 15, 1395596. [Google Scholar] [CrossRef] [PubMed]
- Peterson, A.W.; Halter, M.; Tona, A.; Bhadriraju, K.; Plant, A.L. Using surface plasmon resonance imaging to probe dynamic interactions between cells and extracellular matrix. Cytom. Part A 2010, 77, 895–903. [Google Scholar] [CrossRef]
- Puiu, M.; Bala, C. SPR and SPR Imaging: Recent Trends in Developing Nanodevices for Detection and Real-Time Monitoring of Biomolecular Events. Sensors 2016, 16, 870. [Google Scholar] [CrossRef]
- Sankiewicz, A.; Romanowicz, L.; Laudanski, P.; Zelazowska-Rutkowska, B.; Puzan, B.; Cylwik, B.; Gorodkiewicz, E. SPR imaging biosensor for determination of laminin-5 as a potential cancer marker in biological material. Anal. Bioanal. Chem. 2016, 408, 5269–5276. [Google Scholar] [CrossRef]
- Grzywa, R.; Gorodkiewicz, E.; Burchacka, E.; Lesner, A.; Laudański, P.; Łukaszewski, Z.; Sieńczyk, M. Determination of cathepsin G in endometrial tissue using a surface plasmon resonance imaging biosensor with tailored phosphonic inhibitor. Eur. J. Obstet. Gynecol. Reprod. Biol. 2014, 182, 38–42. [Google Scholar] [CrossRef]
- Sankiewicz, A.; Laudanski, P.; Romanowicz, L.; Hermanowicz, A.; Roszkowska-Jakimiec, W.; Debek, W.; Gorodkiewicz, E. Development of surface plasmon resonance imaging biosensors for detection of ubiquitin carboxyl-terminal hydrolase L1. Anal. Biochem. 2015, 469, 4–11. [Google Scholar] [CrossRef] [PubMed]
- Wróbel, M.; Zuzanna, Z.; Ołdak, Ł.; Kalicka, A.; Mańka, G.; Kiecka, M.; Spaczyński, R.Z.; Piekarski, P.; Banaszewska, B.; Jakimiuk, A.; et al. Evaluation of Proteasome and Immunoproteasome Levels in Plasma and Peritoneal Fluid in Patients with Endometriosis. Int. J. Mol. Sci. 2023, 24, 14363. [Google Scholar] [CrossRef] [PubMed]
- Laudański, P.; Rogalska, G.; Warzecha, D.; Lipa, M.; Mańka, G.; Kiecka, M.; Spaczyński, R.; Piekarski, P.; Banaszewska, B.; Jakimiuk, A.; et al. Autoantibody screening of plasma and peritoneal fluid of patients with endometriosis. Hum. Reprod. 2023, 38, 629–643. [Google Scholar] [CrossRef] [PubMed]
- Du, J.; Mao, H.; Ouyang, H.; Xin, Y. Osteopontin induced vascular endothelial growth factor production in dispersed nasal polyp cells through the phosphatidylinositol 3-kinase-protein kinase B and the extracellular signal-regulated kinase 1/2 pathways. Am. J. Rhinol. Allergy 2017, 31, 35–41. [Google Scholar] [CrossRef]
- D’amico, F.; Skarmoutsou, E.; Quaderno, G.; Malaponte, G.; LA Corte, C.; Scibilia, G.; D’agate, G.; Scollo, P.; Fraggetta, F.; Spandidos, D.A.; et al. Expression and localisation of osteopontin and prominin-1 (CD133) in patients with endometriosis. Int. J. Mol. Med. 2013, 31, 1011–1016. [Google Scholar] [CrossRef]
- Cao, Y.; Liu, X.; Guo, S.W. Plasma High Mobility Group Box 1 (HMGB1), Osteopontin (OPN), and Hyaluronic Acid (HA) as Admissible Biomarkers for Endometriosis. Sci. Rep. 2019, 9, 9272. [Google Scholar] [CrossRef]
- Moszynski, R.; Szubert, S.; Szpurek, D.; Michalak, S.; Sajdak, S. Role of osteopontin in differential diagnosis of ovarian tumors. J. Obstet. Gynaecol. Res. 2013, 39, 1518–1525. [Google Scholar] [CrossRef]
- Yang, M.; Jiang, C.; Chen, H.; Nian, Y.; Bai, Z.; Ha, C. The involvement of osteopontin and matrix metalloproteinase- 9 in the migration of endometrial epithelial cells in patients with endometriosis. Reprod. Biol. Endocrinol. 2015, 13, 95. [Google Scholar] [CrossRef]
- Cho, S.; Ahn, Y.S.; Choi, Y.S.; Seo, S.K.; Nam, A.; Kim, H.Y.; Kim, J.; Park, K.H.; Cho, D.J.; Lee, B.S. Endometrial osteopontin mRNA expression and plasma osteopontin levels are increased in patients with endometriosis. Am. J. Reprod. Immunol. 2009, 61, 286–293. [Google Scholar] [CrossRef]
- Hapangama, D.K.; Raju, R.S.; Valentijn, A.J.; Barraclough, D.; Hart, A.; Turner, M.A.; Platt-Higgins, A.; Barraclough, R.; Rudland, P.S. Aberrant expression of metastasis-inducing proteins in ectopic and matched eutopic endometrium of women with endometriosis: Implications for the pathogenesis of endometriosis. Hum. Reprod. 2012, 27, 394–407. [Google Scholar] [CrossRef]
- Casals, G.; Ordi, J.; Creus, M.; Fabregues, F.; Carmona, F.; Casamitjana, R.; Balasch, J. Expression pattern of osteopontin and alphavbeta3 integrin during the implantation window in infertile patients with early stages of endometriosis. Hum. Reprod. 2012, 27, 805–813. [Google Scholar] [CrossRef] [PubMed]
- Wei, Q.; St Clair, J.B.; Fu, T.; Stratton, P.; Nieman, L.K. Reduced expression of biomarkers associated with the implantation window in women with endometriosis. Fertil. Steril. 2009, 91, 1686–1691. [Google Scholar] [CrossRef] [PubMed]
- Streuli, I.; Santulli, P.; Chouzenoux, S.; Chapron, C.; Batteux, F. Serum Osteopontin Levels Are Decreased in Focal Adenomyosis. Reprod. Sci. 2017, 24, 773–782. [Google Scholar] [CrossRef] [PubMed]
- Albu, D.R.; Mihalceanu, E.; Pangal, A.; Vulpoi, C.; Onofriescu, M.; Nitoi, L.; Mihaila, A.; Costachescu, G.; Constantinescu, D.; Dumitrascu, I. Can osteopontin be considered a biomarker for endometriosis? Rev. Chim. 2017, 68, 2132–2134. [Google Scholar] [CrossRef]
- Załęcka, J.; Zielińska, Z.; Ołdak, Ł.; Sakowicz, A.; Mańka, G.; Kiecka, M.; Spaczyński, R.; Piekarski, P.; Banaszewska, B.; Jakimiuk, A.; et al. The SPRi determination of cathepsin L and S in plasma and peritoneal fluid of women with endometriosis. Adv. Med. Sci. 2024, 69, 224–230. [Google Scholar] [CrossRef]
- Wojtyla, C.; Tolwinski, I.; Laudanski, P. The Use of the Neoglycolipid-Based Oligosaccharide Microarray System in the Diagnosis of Endometriosis—Preliminary Study. J. Inflamm. Res. 2024, 17, 899–908. [Google Scholar] [CrossRef]
- Zygarowicz, M.; Kacperczyk-Bartnik, J.; Sierdzinski, J.; Wojtyla, C.; Pierzynski, P.; Manka, G.; Kiecka, M.; Spaczynski, R.Z.; Piekarski, P.; Banaszewska, B.; et al. Plasma and Peritoneal Fluid Annexin A2 Levels in Patients with Endometriosis. J. Inflamm. Res. 2023, 16, 5959–5969. [Google Scholar] [CrossRef] [PubMed]
- Rahmioglu, N.; Fassbender, A.; Vitonis, A.F.; Tworoger, S.S.; Hummelshoj, L.; D’Hooghe, T.M.; Adamson, G.D.; Giudice, L.C.; Becker, C.M.; Zondervan, K.T.; et al. World Endometriosis Research Foundation Endometriosis Phenome and Biobanking Harmonization Project: III. Fluid biospecimen collection, processing, and storage in endometriosis research. Fertil. Steril. 2014, 102, 1233–1243. [Google Scholar] [CrossRef]
- Falkowski, P.; Mrozek, P.; Lukaszewski, Z.; Oldak, L.; Gorodkiewicz, E. An Immunosensor for the Determination of Cathepsin S in Blood Plasma by Array SPRi-A Comparison of Analytical Properties of Silver-Gold and Pure Gold Chips. Biosensors 2021, 11, 298. [Google Scholar] [CrossRef]


| Variable | N | Endometriosis (M ± SD) | N | Controls (M ± SD) | p-Value | 
|---|---|---|---|---|---|
| Age [years] | 48 | 31.90 ± 4.50 | 38 | 30.42 ± 6.52; 38 | 0.23 | 
| BMI [kg/m2] (Me ± IQR) | 47 | 21.967 ± 2.974 | 34 | 21.754 ± 4.828; 34 | 0.55 | 
| N/A | 1 | -- | 4 | -- | -- | 
| N | % | N | % | ||
| rAFS stage of disease | |||||
| I | 14 | 31.11 | -- | -- | -- | 
| II | 7 | 15.56 | -- | -- | -- | 
| III | 18 | 40.00 | -- | -- | -- | 
| IV | 6 | 13.33 | -- | -- | -- | 
| Presence of endometrioma (%) | 27 | 55.1 | -- | -- | -- | 
| Presence of primary infertility (%) | 23 | 46.94 | 11 | 27.50 | 0.03 | 
| Presence of secondary infertility (%) | 5 | 10.20 | 6 | 15.00 | 0.24 | 
| Menstrual cycle phase: | |||||
| Proliferative | 30 | 62.50 | 29 | 72.50 | 0.32 | 
| Luteal | 18 | 37.50 | 11 | 27.50 | 
| Variable | N | Endometriosis | N | Controls | p-Value | 
|---|---|---|---|---|---|
| Age [year] (M ± SD; N) | 67 | 32.99 ± 4.70 | 53 | 32.057 ± 6.50 | 0.82 | 
| BMI [kg/m2] (Me ± IQR; N) | 61 | 21.565 ± 3.09 | 50 | 22.739 ± 5.30 | 0.04 | 
| N/A | 6 | -- | 3 | -- | -- | 
| N | % | ||||
| rAFS stage of disease %. N | |||||
| I | 22 | 34.38 | -- | -- | -- | 
| II | 11 | 17.19 | -- | -- | -- | 
| III | 22 | 34.38 | -- | -- | -- | 
| IV | 9 | 14.06 | -- | -- | |
| Presence of endometrioma | 36 | 53.73 | -- | -- | |
| Presence of primary infertility (%) | 31 | 46.27 | 20 | 37.03 | 0.15 | 
| Presence of secondary infertility (%) | 7 | 10.45 | 8 | 14.81 | 0.23 | 
| Menstrual cycle phase (Me ± IQR; N) | |||||
| Proliferative | 47 | 47 ± 71.21 | 41 | 41 ± 75.93 | 0.56 | 
| Luteal | 19 | 19 ± 28.79 | 13 | 13 ± 24.08 | 
| Factors | N | M | −95% CI | +95% CI | Min. | Max. | SD | t | p | η2 | 
|---|---|---|---|---|---|---|---|---|---|---|
| Peritoneal fluid | ||||||||||
| Endometriosis | 49 | 19.04 | 17.50 | 20.58 | 8.36 | 32.75 | 5.37 | −1.04 | 0.29 | 0.01 | 
| Control | 40 | 17.87 | 16.23 | 19.51 | 6.99 | 25.20 | 5.130 | |||
| Plasma | ||||||||||
| Endometriosis | 66 | 19.86 | 18.21 | 21.51 | 6.02 | 37.13 | 6.72 | −1.43 | 0.15 | 0.02 | 
| Control | 54 | 18.39 | 17.17 | 19.61 | 6.34 | 29.51 | 4.46 | |||
| Factors | N | M | −95% CI | +95% CI | Min. | Maks. | SD | t | p | η2 | |
|---|---|---|---|---|---|---|---|---|---|---|---|
| rAFS stage of disease | |||||||||||
| Peritoneal fluid | I–II | 21 | 18.27 | 15.62 | 20.91 | 9.10 | 32.75 | 5.81 | −1.10 | 0.27 | 0.03 | 
| III–IV | 24 | 20.05 | 17.90 | 22.21 | 8.36 | 27.03 | 5.10 | ||||
| Plasma | I–II | 33 | 19.54 | 17.41 | 21.67 | 6.02 | 32.39 | 6.000 | −0.56 | 0.57 | <0.01 | 
| III–IV | 30 | 20.51 | 17.67 | 23.34 | 7.68 | 37.13 | 7.59 | ||||
| Endometrioma | |||||||||||
| Peritoneal fluid | Yes | 27 | 19.40 | 17.30 | 21.50 | 8.36 | 27.03 | 5.31 | −1.05 | 0.29 | 0.01 | 
| No | 62 | 18.13 | 16.80 | 19.46 | 6.99 | 32.75 | 5.24 | ||||
| Plasma | Yes | 35 | 20.12 | 17.59 | 22.65 | 7.68 | 37.13 | 7.36 | −1.11 | 0.26 | 0.01 | 
| No | 85 | 18.82 | 17.72 | 19.91 | 6.02 | 32.39 | 5.08 | ||||
| Cycle phase | |||||||||||
| Peritoneal fluid | Proliferative | 59 | 18.34 | 16.87 | 19.80 | 6.99 | 32.75 | 5.62 | −0.56 | 0.57 | <0.01 | 
| Secretive | 29 | 19.01 | 17.28 | 20.74 | 8.36 | 25.89 | 4.55 | ||||
| Plasma | Proliferative | 87 | 19.71 | 18.42 | 20.99 | 6.019 | 37.13 | 6.03 | 1.35 | 0.17 | 0.02 | 
| Secretive | 32 | 18.09 | 16.27 | 19.91 | 9.04 | 32.39 | 5.04 | ||||
| Disclaimer/Publisher’s Note: The statements, opinions and data contained in all publications are solely those of the individual author(s) and contributor(s) and not of MDPI and/or the editor(s). MDPI and/or the editor(s) disclaim responsibility for any injury to people or property resulting from any ideas, methods, instructions or products referred to in the content. | 
© 2024 by the authors. Licensee MDPI, Basel, Switzerland. This article is an open access article distributed under the terms and conditions of the Creative Commons Attribution (CC BY) license (https://creativecommons.org/licenses/by/4.0/).
Share and Cite
Zygula, A.; Kiecka, K.; Sankiewicz, A.; Kuzmicki, M.; Ciebiera, M.; Issat, T.; Drygas, W.; Cendrowski, K.; Gorodkiewicz, E.; Laudanski, P. Is Osteopontin a Reliable Biomarker for Endometriosis? Int. J. Mol. Sci. 2024, 25, 11857. https://doi.org/10.3390/ijms252211857
Zygula A, Kiecka K, Sankiewicz A, Kuzmicki M, Ciebiera M, Issat T, Drygas W, Cendrowski K, Gorodkiewicz E, Laudanski P. Is Osteopontin a Reliable Biomarker for Endometriosis? International Journal of Molecular Sciences. 2024; 25(22):11857. https://doi.org/10.3390/ijms252211857
Chicago/Turabian StyleZygula, Aleksandra, Kamil Kiecka, Anna Sankiewicz, Mariusz Kuzmicki, Michal Ciebiera, Tadeusz Issat, Wojciech Drygas, Krzysztof Cendrowski, Ewa Gorodkiewicz, and Piotr Laudanski. 2024. "Is Osteopontin a Reliable Biomarker for Endometriosis?" International Journal of Molecular Sciences 25, no. 22: 11857. https://doi.org/10.3390/ijms252211857
APA StyleZygula, A., Kiecka, K., Sankiewicz, A., Kuzmicki, M., Ciebiera, M., Issat, T., Drygas, W., Cendrowski, K., Gorodkiewicz, E., & Laudanski, P. (2024). Is Osteopontin a Reliable Biomarker for Endometriosis? International Journal of Molecular Sciences, 25(22), 11857. https://doi.org/10.3390/ijms252211857
 
        



 
       