Study of the Genetic Mechanisms of Siberian Stone Pine (Pinus sibirica Du Tour) Adaptation to the Climatic and Pest Outbreak Stresses Using Dendrogenomic Approach
Abstract
1. Introduction
2. Results
2.1. SNP Calling
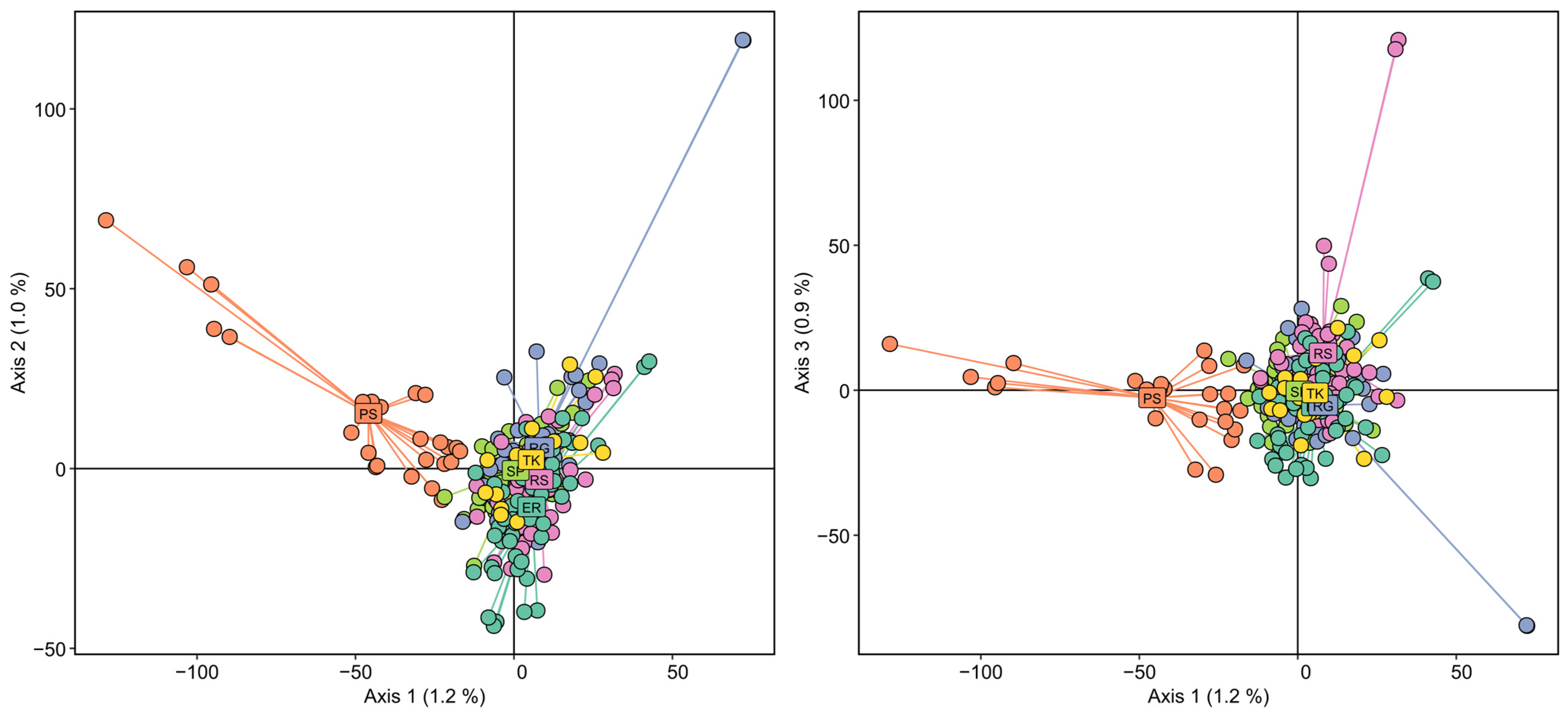
2.2. Genetic Structure of Populations
2.3. TRW Growth Trends
2.4. Associations Between Dendrophenotypes and the Level of Individual Heterozygosity
2.5. Associations Between Dendrophenotypes and Genotypes
2.6. Annotation of SNPs
3. Discussion
4. Materials and Methods
4.1. Plant Material, Dendrochronology, and Dendrophenotypes
4.2. DNA Extraction and ddRADseq
4.3. SNP Calling
4.4. Genetic Structure of Populations
4.5. Associations Between Dendrophenotypes and the Level of Individual Heterozygosity
4.6. Associations Between Dendrophenotypes and Genotypes
4.7. Annotation of SNPs
5. Conclusions
Supplementary Materials
Author Contributions
Funding
Data Availability Statement
Acknowledgments
Conflicts of Interest
References
- Thompson, I.; Mackey, B.; McNulty, S.; Mosseler, A. Forest resilience, biodiversity, and climate change. In A Synthesis of the Biodiversity/Resilience/Stability Relationship in Forest Ecosystems; Technical Series, Ed.; Secretariat of the Convention on Biological Diversity: Montreal, QC, Canada, 2009; pp. 1–67. Available online: https://research.fs.usda.gov/treesearch/36775 (accessed on 1 August 2024).
- Alfaro, R.I.; Fady, B.; Vendramin, G.G.; Dawson, I.K.; Fleming, R.A.; Sáenz-Romero, C.; Lindig-Cisneros, R.A.; Murdock, T.; Vinceti, B.; Navarro, C.M.; et al. The role of forest genetic resources in responding to biotic and abiotic factors in the context of anthropogenic climate change. For. Ecol. Manag. 2014, 333, 76–87. [Google Scholar] [CrossRef]
- Kijowska-Oberc, J.; Staszak, A.M.; Kamiński, J.; Ratajczak, E. Adaptation of Forest Trees to Rapidly Changing Climate. Forests 2020, 11, 123. [Google Scholar] [CrossRef]
- Krutovsky, K.V. Dendrogenomics is a new interdisciplinary field of research of the adaptive genetic potential of forest tree populations integrating dendrochronology, dendroecology, dendroclimatology and genomics. Russ. J. Genet. 2022, 58, 1273–1286. [Google Scholar] [CrossRef]
- Novikova, S.V.; Oreshkova, N.V.; Sharov, V.V.; Zhirnova, D.F.; Belokopytova, L.V.; Babushkina, E.A.; Krutovsky, K.V. Study of the Genetic Adaptation Mechanisms of Siberian Larch (Larix sibirica Ledeb.) Regarding Climatic Stresses Based on Dendrogenomic Analysis. Forests 2023, 14, 2358. [Google Scholar] [CrossRef]
- Babushkina, E.A.; Zhirnova, D.F.; Belokopytova, L.V.; Tychkov, I.I.; Vaganov, E.A.; Krutovsky, K.V. Response of four tree species to changing climate in a moisture-limited area of South Siberia. Forests 2019, 10, 999. [Google Scholar] [CrossRef]
- Zhirnova, D.F.; Belokopytova, L.V.; Krutovsky, K.V.; Kholdaenko, Y.A.; Babushkina, E.A.; Vaganov, E.A. Spatial-coherent dynamics and climatic signal in radial growth of Siberian stone pine (Pinus sibirica Du Tour) in subalpine stands along the Western Sayan Mountains. Forests 2022, 13, 1994. [Google Scholar] [CrossRef]
- Chertov, O.; Bhatti, J.S.; Komarov, A. Chapter 16—Impact of Temperature Increase and Precipitation Alteration at Climate Change on Forest Productivity and Soil Carbon in Boreal Forest Ecosystems in Canada and Russia: Simulation Approach with the EFIMOD Model. In Climate Change and Variability; Simard, S., Ed.; Intech Open: London, UK, 2010; pp. 303–326. [Google Scholar] [CrossRef][Green Version]
- Fritts, H.C. Tree Rings and Climate; Academic Press: London, UK; New York, NY, USA, 1976; ISBN 978-0-12-268450-0. [Google Scholar]
- Demidko, D.A.; Sultson, S.M.; Mikhaylov, P.V.; Verkhovets, S.V. Influence of Weather Conditions and Climate Oscillations on the Pine Looper Bupalus piniaria (L.) Outbreaks in the Forest-Steppe of the West Siberian Plain. Forests 2022, 13, 15. [Google Scholar] [CrossRef]
- Chen, Z.-Q.; Zan, Y.; Zhou, L.; Karlsson, B.; Tuominen, H.; García-Gil, M.R.; Wu, H.X. Genetic Architecture behind Developmental and Seasonal Control of Tree Growth and Wood Properties in Norway Spruce. Front. Plant Sci. 2022, 13, 927673. [Google Scholar] [CrossRef]
- Liu, C.C.; Liu, Y. Accelerating the process of tree breeding: A review and progress of GWAS applications in forest trees. Tree Genet. Mol. Breed. 2024, 14, 12–21. [Google Scholar] [CrossRef]
- Gautam, K.; Thakur, S.; Kumar, R.V. Molecular Basis of Forest Genetic Resource Improvement: Progress and Prospects. In Biotechnological Approaches for Sustaining Forest Trees and Their Products; Thomas, D., Razdan, M.K., Kumar, A., Eds.; Springer: Singapore, 2024; pp. 151–180. [Google Scholar] [CrossRef]
- Krajmerová, D.; Hrivnák, M.; Gömöry, D. Exon-Enriched Set of Single-Nucleotide Polymorphisms Shows Associations with Climate in European Beech (Fagus sylvatica L.). Forests 2024, 15, 1229. [Google Scholar] [CrossRef]
- Lados, B.B.; Cseke, K.; Benke, A.; Köbölkuti, Z.A.; Molnár, C.É.; Nagy, L.; Móricz, N.; Németh, T.M.; Borovics, A.; Mészáros, I.; et al. dd RAD-seq generated genomic SNP dataset of Central and Southeast European Turkey oak (Quercus cerris L.) populations. Genet. Resour. Crop Evol. 2024, 71, 3193–3203. [Google Scholar] [CrossRef]
- Lombardi, E.; Shestakova, T.A.; Santini, F.; Resco de Dios, V.; Voltas, J. Harnessing tree-ring phenotypes to disentangle gene by environment interactions and their climate dependencies in a circum-Mediterranean pine. Ann. Bot. 2022, 130, 509–523. [Google Scholar] [CrossRef] [PubMed]
- Ledig, F.T. Genetic Variation in Pinus. In Ecology and Biogeography of Pinus; Richardson, D.M., Ed.; Cambridge University Press: Cambridge, UK, 1998; pp. 251–280. [Google Scholar]
- Krutovsky, K.V.; Burczyk, J.; Chybicki, I.; Finkeldey, R.; Pyhäjärvi, T.; Robledo-Arnuncio, J.J. Gene Flow, Spatial Structure, Local Adaptation, and Assisted Migration in Trees. In Genomics of Tree Crops; Schnell, R.J., Priyadarshan, P.M., Eds.; Springer: New York, NY, USA, 2012; pp. 71–116. [Google Scholar] [CrossRef]
- Neale, D.B.; Wheeler, N.C. Neutral Genetic Variation. In The Conifers: Genomes, Variation and Evolution, 1st ed.; Springer Nature: Cham, Switzerland, 2019; pp. 181–224. [Google Scholar] [CrossRef]
- Krutovskii, K.V.; Politov, D.V.; Altukhov, Y.P. Isozyme study of population genetic structure, mating system and phylogenetic relationships of the five stone pine species (subsection Cembrae, section Strobi, subgenus Strobus). In Population Genetics and Genetic Conservation of Forest Trees; Baradat, P., Adams, W.T., Müller-Starck, G., Eds.; SPB Academic Publishing: Amsterdam, The Netherlands, 1995; pp. 279–304. [Google Scholar]
- Oreshkova, N.V.; Sedel’nikova, T.S.; Pimenov, A.V.; Efremov, S.P. Analysis of genetic structure and differentiation of the bog and dry land populations of Pinus sibirica Du Tour based on nuclear microsatellite loci. Russ. J. Genet. 2014, 50, 934–941. [Google Scholar] [CrossRef]
- Shuvaev, D.N.; Ibe, A.A. Genetic structure and postglacial recolonization of Pinus sibirica Du Tour in the West Siberian Plain, inferred from nuclear microsatellite markers. Silvae Genet. 2021, 70, 99–107. [Google Scholar] [CrossRef]
- Shuvaev, D.N.; Semerikov, V.L.; Kuznetsova, G.V.; Putintseva, Y.A. Late Quaternary history of Siberian stone pine as revealed by genetic and paleoecological data. Tree Genet. Genomes 2023, 19, 16. [Google Scholar] [CrossRef]
- Lu, M.; Krutovsky, K.V.; Nelson, C.D.; Koralewski, T.E.; Byram, T.D.; Loopstra, C.A. Exome genotyping, linkage disequilibrium and population structure in loblolly pine (Pinus taeda L.). BMC Genom. 2016, 17, 730. [Google Scholar] [CrossRef]
- Johnson, J.S.; Chhetri, P.; Krutovsky, K.V.; Cairns, D.M. Growth and its relationship to individual genetic diversity of mountain hemlock (Tsuga mertensiana) at alpine treeline in Alaska: Combining dendrochronology and genomics. Forests 2017, 8, 418. [Google Scholar] [CrossRef]
- Cuervo-Alarcon, L.; Arend, M.; Müller, M.; Sperisen, C.; Finkeldey, R.; Krutovsky, K.V. A candidate gene association analysis identifies SNPs potentially involved in drought tolerance in European beech (Fagus sylvatica L.). Sci. Rep. 2021, 11, 2386. [Google Scholar] [CrossRef]
- Babushkina, E.A.; Vaganov, E.A.; Grachev, A.M.; Oreshkova, N.V.; Belokopytova, L.V.; Kostyakova, T.V.; Krutovsky, K.V. The effect of individual genetic heterozygosity on general homeostasis, heterosis and resilience in Siberian larch (Larix sibirica Ledeb.) using dendrochronology and microsatellite loci genotyping. Dendrochronologia 2016, 38, 26–37. [Google Scholar] [CrossRef]
- Fukui, K.; Kuramitsu, S. Structure and function of the small MutS-related domain. Mol. Biol. Int. 2011, 2011, 691735. [Google Scholar] [CrossRef]
- Cook, E.R.; Kairiukstis, L.A. Methods of Dendrochronology. Applications in the Environmental Sciences; Springer: Dordrecht, The Netherlands, 1990; p. 394. [Google Scholar] [CrossRef]
- Rinn, F. TSAP-Win Time Series Analysis and Presentation for Dendrochronology and Related Applications. 2024. Available online: https://software.rinntech.com/tsap (accessed on 22 July 2024).
- Holmes, R.L. Computer-Assisted Quality Control in Tree-Ring Dating and Measurement. Tree Ring Bull. 1983, 43, 69–75. Available online: https://repository.arizona.edu/handle/10150/261223 (accessed on 1 August 2024).
- Cook, E.; Krusic, P. Program ARSTAN: A Tree-Ring Standardization Program Based on Detrending and Autoregressive Time Series Modeling, with Interactive Graphics; Lamont-Doherty Earth Observatory, Columbia University: Palisades, NY, USA, 2005. [Google Scholar]
- Zhirnova, D.F.; Belokopytova, L.V.; Upadhyay, K.K.; Koshurnikova, N.N.; Maptov, N.B.; Kholdaenko, Y.A.; Vaganov, E.A.; Babushkina, E.A. Climatic reactions in the radial growth of Pinus sibirica Du Tour from the lower to the upper limit along the Western Sayan Mountains, Siberia. For. Ecol. Manag. 2024, 563, 121995. [Google Scholar] [CrossRef]
- Lloret, F.; Keeling, E.G.; Sala, A. Components of Tree Resilience: Effects of Successive Low-Growth Episodes in Old Ponderosa Pine Forests. Oikos 2011, 120, 1909–1920. [Google Scholar] [CrossRef]
- Demidko, D.A.; Krivets, S.A.; Bisirova, E.M. Connection between radial increment and tree vitality of Siberian stone pine. Tomsk State Univ. J. Biol. 2010, 4, 68–80, (In Russian with English Abstract). [Google Scholar]
- Swetnam, T.W.; Thompson, M.A.; Sutherland, E.K. Spruce Budworms Handbook: Using Dendrochronology to Measure Radial Growth of Defoliated Trees; Agriculture Handbook No. 639; USDA Forest Service: Washington, DC, USA, 1985; p. 38. Available online: http://hdl.handle.net/10150/304642 (accessed on 1 August 2024).
- Guiterman, C.H.; Lynch, A.M.; Axelson, J.N. dfoliatR: An R Package for Detection and Analysis of Insect Defoliation Signals in Tree Rings. Dendrochronologia 2020, 63, 125750. [Google Scholar] [CrossRef]
- Zang, C.; Biondi, F. treeclim: An R package for the numerical calibration of proxy-climate relationships. Ecography 2015, 38, 431–436. [Google Scholar] [CrossRef]
- Nikolaeva, S.N.; Velisevich, S.N.; Savchuk, D.A. Ontogeny of Siberian Stone Pine (Pinus Sibirica Du Tour) in Sowtheastern West Siberian Plane. J. Sib. Fed. Univ. Biol. 2011, 4, 3–22, (In Russian with English Abstract). [Google Scholar]
- Zhang, W.-T.; Jiang, Y.; Dong, M.-Y.; Kang, M.-Y.; Yang, H.-C. Relationship between the radial growth of Picea meyeri and climate along elevations of the Luyashan Mountain in North-Central China. For. Ecol. Manag. 2012, 265, 142–149. [Google Scholar] [CrossRef]
- Zhirnova, D.F.; Babushkina, E.A.; Belokopytova, L.V.; Vaganov, E.A. To which side are the scales swinging? Growth stability of Siberian larch under permanent moisture deficit with periodic droughts. For. Ecol. Manag. 2020, 459, 117841. [Google Scholar] [CrossRef]
- Porebski, S.; Bailey, L.G.; Baum, B.R. Modification of a CTAB DNA Extraction Protocol for Plants Containing High Polysaccharide and Polyphenol Components. Plant Mol. Biol. Rep. 1997, 15, 8–15. [Google Scholar] [CrossRef]
- Peterson, B.K.; Weber, J.N.; Kay, E.H.; Fisher, H.S.; Hoekstra, H.E. Double Digest RADseq: An Inexpensive Method for De Novo SNP Discovery and Genotyping in Model and Non-Model Species. PLoS ONE 2012, 7, e37135. [Google Scholar] [CrossRef] [PubMed]
- Parchman, T.L.; Gompert, Z.; Mudge, J.; Schilkey, F.D.; Benkman, C.W.; Buerkle, C.A. Genome-Wide Association Genetics of an Adaptive Trait in Lodgepole Pine: Association Mapping of Serotiny. Mol. Ecol. 2012, 21, 2991–3005. [Google Scholar] [CrossRef] [PubMed]
- Catchen, J.; Hohenlohe, P.A.; Bassham, S.; Amores, A.; Cresko, W.A. Stacks: An Analysis Tool Set for Population Genomics. Mol. Ecol. 2013, 22, 3124–3140. [Google Scholar] [CrossRef] [PubMed]
- Neale, D.B.; Zimin, A.V.; Meltzer, A.; Bhattarai, A.; Amee, M.; Figueroa Corona, L.; Allen, B.J.; Puiu, D.; Wright, J.; De La Torre, A.R.; et al. A Genome Sequence for the Threatened Whitebark Pine. G3 Genes Genomes Genet. 2024, 14, jkae061. [Google Scholar] [CrossRef] [PubMed]
- Langmead, B.; Salzberg, S.L. Fast Gapped-Read Alignment with Bowtie 2. Nat. Methods 2012, 9, 357–359. [Google Scholar] [CrossRef]
- Bradbury, P.J.; Zhang, Z.; Kroon, D.E.; Casstevens, T.M.; Ramdoss, Y.; Buckler, E.S. TASSEL: Software for Association Mapping of Complex Traits in Diverse Samples. Bioinformatics 2007, 23, 2633–2635. [Google Scholar] [CrossRef]
- Pembleton, L.W.; Cogan, N.O.I.; Forster, J.W. StAMPP: An R Package for Calculation of Genetic Differentiation and Structure of Mixed-Ploidy Level Populations. Mol. Ecol. Resour. 2013, 13, 946–952. [Google Scholar] [CrossRef]
- Dray, S.; Dufour, A.-B. The Ade4 Package: Implementing the Duality Diagram for Ecologists. J. Stat. Soft. 2007, 22, 1–20. [Google Scholar] [CrossRef]
- Mussmann, S.M.; Douglas, M.R.; Chafin, T.K.; Douglas, M.E. AdmixPipe: Population Analyses in Admixture for Non-Model Organisms. BMC Bioinform. 2020, 21, 337. [Google Scholar] [CrossRef]
- Evanno, G.; Regnaut, S.; Goudet, J. Detecting the number of clusters of individuals using the software structure: A simulation study. Mol. Ecol. 2005, 14, 2611–2620. [Google Scholar] [CrossRef]
- Excoffier, L.; Lischer, H.E.L. Arlequin Suite Ver 3.5: A New Series of Programs to Perform Population Genetics Analyses under Linux and Windows. Mol. Ecol. Resour. 2010, 10, 564–567. [Google Scholar] [CrossRef] [PubMed]
- Oksanen, J.; Simpson, G.L.; Blanchet, F.G.; Kindt, R.; Legendre, P.; Minchin, P.R.; O’Hara, R.B.; Solymos, P.; Stevens, M.H.H.; Szoecs, E.; et al. Vegan: Community Package (Version 2.5-6). The Comprehensive R Archive Network. 2024. Available online: https://cran.r-project.org/web/packages/vegan/index.html (accessed on 1 June 2024).
- Nei, M. Genetic Distance between Populations. Am. Nat. 1972, 106, 283–292. [Google Scholar] [CrossRef]
- R Core Team. R: A Language and Environment for Statistical Computing; R Foundation for Statistical Computing: Vienna, Austria, 2013; Available online: https://www.r-project.org (accessed on 1 July 2024).
- Zhou, X.; Carbonetto, P.; Stephens, M. Polygenic Modeling with Bayesian Sparse Linear Mixed Models. PLoS Genet. 2013, 9, e1003264. [Google Scholar] [CrossRef] [PubMed]
- Huang, M.; Liu, X.; Zhou, Y.; Summers, R.M.; Zhang, Z. BLINK: A Package for the next Level of Genome-Wide Association Studies with Both Individuals and Markers in the Millions. Gigascience 2019, 8, giy154. [Google Scholar] [CrossRef] [PubMed]
- Lipka, A.E.; Tian, F.; Wang, Q.; Peiffer, J.; Li, M.; Bradbury, P.J.; Gore, M.A.; Buckler, E.S.; Zhang, Z. GAPIT: Genome Association and Prediction Integrated Tool. Bioinformatics 2012, 28, 2397–2399. [Google Scholar] [CrossRef]
- Doran, A.G.; Creevey, C.J. Snpdat: Easy and rapid annotation of results from de novo snp discovery projects for model and non-model organisms. BMC Bioinform. 2013, 14, 45. [Google Scholar] [CrossRef]









| Population | π | Ho ± SE | He ± SE | FIS ± SE |
|---|---|---|---|---|
| PS | 0.00085 | 0.204 ± 0.0005 | 0.204 ± 0.0005 | 0.016 ± 0.005 |
| TK | 0.00089 | 0.210 ± 0.0005 | 0.212 ± 0.0005 | 0.027 ± 0.003 |
| ER | 0.00091 | 0.220 ± 0.0005 | 0.222 ± 0.0004 | 0.017 ± 0.007 |
| RG | 0.00090 | 0.204 ± 0.0004 | 0.219 ± 0.0004 | 0.072 ± 0.008 |
| RS | 0.00087 | 0.198 ± 0.0004 | 0.212 ± 0.0004 | 0.065 ± 0.008 |
| SP | 0.00090 | 0.214 ± 0.0005 | 0.219 ± 0.0004 | 0.028 ± 0.008 |
| Population | PS | TK | ER | RG | RS |
|---|---|---|---|---|---|
| TK | 0.0188 [0.0184–0.0192] | ||||
| ER | 0.0176 [0.0173–0.0180] | 0.0052 [0.0049–0.0054] | |||
| RG | 0.0163 [0.0160–0.0166] | 0.0031 [0.0029–0.0034] | 0.0039 [0.0038–0.0040] | ||
| RS | 0.0181 [0.0179–0.0185] | 0.0057 [0.0054–0.0060] | 0.0050 [0.0048–0.0052] | 0.0033 [0.0031–0.0034] | |
| SP | 0.0150 [0.0146–0.0153] | 0.0060 [0.0058–0.0063] | 0.0054 [0.0052–0.0056] | 0.0040 [0.0038–0.0041] | 0.0041 [0.0039–0.0042] |
| Source of Variation | Sum of Squares | Variance Components | Percentage Variation | F-Indices |
|---|---|---|---|---|
| Among groups | 22,275.6 | 115.2 | 1.2 | FST = 0.017 FSC = 0.005 FCT = 0.012 |
| Among populations within groups | 53,233.7 | 47.9 | 0.5 | |
| Within populations | 4,333,517.1 | 9405.6 | 98.3 | |
| Total | 4,409,026.4 | 9568.7 | 100 |
| Population | Location | Number of Trees | Elevation (masl) | Geographic Coordinates |
|---|---|---|---|---|
| PS | Near the village of Belousovo, 25 km southeast of the city of Tomsk | 25 | 140–180 | 56.30969 N° 85.17264 E° |
| TK | Tensin Spring, Ergaki Nature Park, foothills of the Ergaki Mountain Range, Western Sayan Mountains, Krasnoyarsk Krai, Southern Siberia | 18 | 420–460 | 53.039444 N° 93.155833 E° |
| ER | Lakes Uyutnoye and Raduzhnoye, Ergaki Nature Park, Ergaki Mountain Range, Western Sayan Mountains, Krasnoyarsk Krai, Southern Siberia | 50 | 1400–1500 | 52.839667 N° 93.328000 E° |
| RG | Malaya Golaya River, Natural Biosphere Reserve “Sayano-Shushensky”, Western Sayan Mountains, Krasnoyarsk Krai, Southern Siberia | 50 | 500–1000 | 52.55529462 N° 92.11411037 E° |
| RS | Sarla River, Natural Biosphere Reserve “Sayano-Shushensky”, Western Sayan Mountains, Krasnoyarsk Krai, Southern Siberia | 50 | 1550–1700 | 52.23402773 N° 92.24586698 E° |
| SP | Sayan Pass, Western Sayan Mountains, Republic of Khakassia, Southern Siberia | 50 | 2000–2050 | 51.7144165 N° 89.8624165 E° |
| Dendrophenotypes and Traits | Description (Reference Years) | PS | TK | ER | RG5 | RG8 | RS | SP |
|---|---|---|---|---|---|---|---|---|
| meanTRW | mean tree-ring width over the entire observation period for all populations (1931–2020 for PS, 45–489 years for TK, ER, RG, RS, and SP) | + | + | + | + | + | + | + |
| varTRW | variance of tree-ring width over the entire observation period (1931–2020 for PS, 45–489 years for TK, ER, RG, RS, and SP) | + | + | + | + | + | + | + |
| meanL | mean needle length for first-year needles (2022) | + | + | + | + | + | + | + |
| varL | variance of needle length for first-year needles (2022) | + | + | + | + | + | + | + |
| trend | radial growth trends over the 30-year period prior to sampling for all populations (1993–2022) | + | + | + | + | + | + | + |
| meanTRW30 | mean tree-ring width over the 30-year period prior to sampling | + | + | + | + | + | + | + |
| Rt1, Rt2, Rt3, Rt4, Rt5 | resistance index (1937–1938, 1947, 1961, 1967, 1988) | - | - | + | - | - | + | + |
| Rt6, Rt7, Rt8 | resistance index (1953, 1957, 1965) | - | + | - | - | - | - | - |
| Rt9 | resistance index (1990) | - | + | - | + | - | - | - |
| Rt10, Rt11, Rt12 | resistance index (1955, 1959, 2008) | - | - | - | + | - | - | - |
| Rt13, Rt14, Rt15 | resistance index (1959–1961, 1965–1973, 1997) | - | - | - | - | + | - | - |
| Rc1, Rc2, Rc3, Rc4, Rc5 | recovery index (1937–1938, 1947, 1961, 1967, 1988) | - | - | + | - | - | + | + |
| Rc6, Rc7, Rc8 | recovery index (1953, 1957, 1965) | - | + | - | - | - | - | - |
| Rc9 | recovery index (1990) | - | + | - | + | - | - | - |
| Rc10, Rc11, Rc12 | recovery index (1955, 1959, 2008) | - | - | - | + | - | - | - |
| Rc13, Rc14, Rc15 | recovery index (1959–1961, 1965–1973, 1997) | - | - | - | - | + | - | - |
| Rs1, Rs2, Rs3, Rs4, Rs5 | resilience index (1937–1938, 1947, 1961, 1967, 1988) | - | - | + | - | - | + | + |
| Rs6, Rs7, Rs8 | resilience index (1953, 1957, 1965) | - | + | - | - | - | - | - |
| Rs9 | resilience index (1990) | - | + | - | + | - | - | - |
| Rs10, Rs11, Rs12 | resilience index (1955, 1959, 2008) | - | - | - | + | - | - | - |
| Rs13, Rs14, Rs15 | resilience index (1959–1961, 1965–1973, 1997) | - | - | - | - | + | - | - |
| RRs1, RRs2, RRs3, RRs4, RRs5 | relative resilience index (1937–1938, 1947, 1961, 1967, 1988) | - | - | + | - | - | + | + |
| RRs6, RRs7, RRs8 | relative resilience index (1953, 1957, 1965) | - | + | - | - | - | - | - |
| RRs9 | relative resilience index (1990) | - | + | - | + | - | - | - |
| RRs10, RRs11, RRs12 | relative resilience index (1955, 1959, 2008) | - | - | - | + | - | - | - |
| RRs13, RRs14, RRs15 | relative resilience index (1959–1961, 1965–1973, 1997) | - | - | - | - | + | - | - |
| meanRt_p_jun, meanRt_p_dec | mean resistance index for years when the TRW depended on the precipitation in June or December of the previous year | + | - | - | - | - | - | - |
| meanRt_p_MAR | mean resistance index for years when the TRW depended on the precipitation in March of the current year | + | - | - | - | - | - | - |
| meanRt_t_APR | mean resistance index for years when the TRW depended on the temperature in April of the current year | + | - | - | - | - | - | - |
| meanRt_t_apr | mean resistance index for years when the TRW depended on the temperature in April of the previous year | + | - | - | - | - | - | - |
| meanRc_p_jun, meanRc_p_dec | mean recovery index for years when the TRW depended on the precipitation in June or December of the previous year | + | - | - | - | - | - | - |
| meanRc_p_MAR | mean recovery index for years when the TRW depended on the precipitation in March of the current year | + | - | - | - | - | - | - |
| meanRc_t_apr | mean recovery index for years when the TRW depended on the temperature in April of the previous year | + | - | - | - | - | - | - |
| meanRs_p_jun, meanRs_p_dec | mean resilience index for years when the TRW depended on the precipitation in June or December of the previous year | + | - | - | - | - | - | - |
| meanRs_p_MAR | mean resilience index for years when the TRW depended on the precipitation in March of the current year | + | - | - | - | - | - | - |
| meanRs_t_APR | mean resilience index for years when the TRW depended on the temperature in April of the current year | + | - | - | - | - | - | - |
| meanRs_t_apr | mean resilience index for years when the TRW depended on the temperature in April of the previous year | + | - | - | - | - | - | - |
| meanRRs_p_jun, meanRRs_p_dec | mean relative resilience index for years when the TRW depended on the precipitation in June or December of the previous year | + | - | - | - | - | - | - |
| meanRRs_p_MAR | mean relative resilience index for years when the TRW depended on the precipitation in March of the current year | + | - | - | - | - | - | - |
| meanRRs_t_APR | mean relative resilience index for years when the TRW depended on the temperature in April of the current year | + | - | - | - | - | - | - |
| meanRRs_t_apr | mean relative resilience index for years when the TRW depended on the temperature in April of the previous year | + | - | - | - | - | - | - |
| mean Rt, Rc, Rs, RRs | averaged across multiple years of climatic stresses | - | + | + | + | + | + | + |
| prop_impact_defol | proportion of trees that responded to the loss of needles | + | - | - | - | - | - | - |
| meanTRW_1931-1945, meanTRW_1946-1960, meanTRW_1961-1975, meanTRW_1976-1990, meanTRW_1991-2005, meanTRW_2006-2020 | mean annual tree-ring width for the time periods 1931–1945, 1946–1960, 1961–1975, 1976–1990, 1991–2005, 2006–2020 | + | - | - | - | - | - | - |
| varTRW_1931-1945, varTRW_1946-1960, varTRW_1961-1975, varTRW_1976-1990, varTRW_1991-2005, varTRW_2006-2020 | variance of annual tree ring width for the time periods 1931–1945, 1946–1960, 1961–1975, 1976–1990, 1991–2005, 2006–2020 | + | - | - | - | - | - | - |
| defol_1922, defol_1923, defol_1938, defol_1972, defol_1990, defol_2016 | the presence of a fairly deep and sharp decline in growth caused by defoliation in 1922, 1923, 1938, 1972, 1990, 2016 | + | - | - | - | - | - | - |
Disclaimer/Publisher’s Note: The statements, opinions and data contained in all publications are solely those of the individual author(s) and contributor(s) and not of MDPI and/or the editor(s). MDPI and/or the editor(s) disclaim responsibility for any injury to people or property resulting from any ideas, methods, instructions or products referred to in the content. |
© 2024 by the authors. Licensee MDPI, Basel, Switzerland. This article is an open access article distributed under the terms and conditions of the Creative Commons Attribution (CC BY) license (https://creativecommons.org/licenses/by/4.0/).
Share and Cite
Novikova, S.V.; Oreshkova, N.V.; Sharov, V.V.; Kuzmin, D.A.; Demidko, D.A.; Bisirova, E.M.; Zhirnova, D.F.; Belokopytova, L.V.; Babushkina, E.A.; Krutovsky, K.V. Study of the Genetic Mechanisms of Siberian Stone Pine (Pinus sibirica Du Tour) Adaptation to the Climatic and Pest Outbreak Stresses Using Dendrogenomic Approach. Int. J. Mol. Sci. 2024, 25, 11767. https://doi.org/10.3390/ijms252111767
Novikova SV, Oreshkova NV, Sharov VV, Kuzmin DA, Demidko DA, Bisirova EM, Zhirnova DF, Belokopytova LV, Babushkina EA, Krutovsky KV. Study of the Genetic Mechanisms of Siberian Stone Pine (Pinus sibirica Du Tour) Adaptation to the Climatic and Pest Outbreak Stresses Using Dendrogenomic Approach. International Journal of Molecular Sciences. 2024; 25(21):11767. https://doi.org/10.3390/ijms252111767
Chicago/Turabian StyleNovikova, Serafima V., Natalia V. Oreshkova, Vadim V. Sharov, Dmitry A. Kuzmin, Denis A. Demidko, Elvina M. Bisirova, Dina F. Zhirnova, Liliana V. Belokopytova, Elena A. Babushkina, and Konstantin V. Krutovsky. 2024. "Study of the Genetic Mechanisms of Siberian Stone Pine (Pinus sibirica Du Tour) Adaptation to the Climatic and Pest Outbreak Stresses Using Dendrogenomic Approach" International Journal of Molecular Sciences 25, no. 21: 11767. https://doi.org/10.3390/ijms252111767
APA StyleNovikova, S. V., Oreshkova, N. V., Sharov, V. V., Kuzmin, D. A., Demidko, D. A., Bisirova, E. M., Zhirnova, D. F., Belokopytova, L. V., Babushkina, E. A., & Krutovsky, K. V. (2024). Study of the Genetic Mechanisms of Siberian Stone Pine (Pinus sibirica Du Tour) Adaptation to the Climatic and Pest Outbreak Stresses Using Dendrogenomic Approach. International Journal of Molecular Sciences, 25(21), 11767. https://doi.org/10.3390/ijms252111767

