Metabolome and Transcriptome Analyses Reveal Metabolomic Variations and Key Transcription Factors Involved in Lipid Biosynthesis During Seed Development in Carya illinoinensis
Abstract
1. Introduction
2. Results
2.1. Morphological and Oil Content Analysis of Pecan Developing Embryo Samples
2.2. Metabolic Differences in Embryo Samples During Pecan Seed Development
2.3. Lipid Composition Analyses in Pecan Embryos During Seed Development
2.4. Transcriptome Analysis of Pecan Seed Development
2.5. Gene Expression and Metabolite Accumulation for Lipid Metabolism Pathway
2.6. Expression Patterns of Differentially Expressed Transcription Factors During Pecan Seed Development
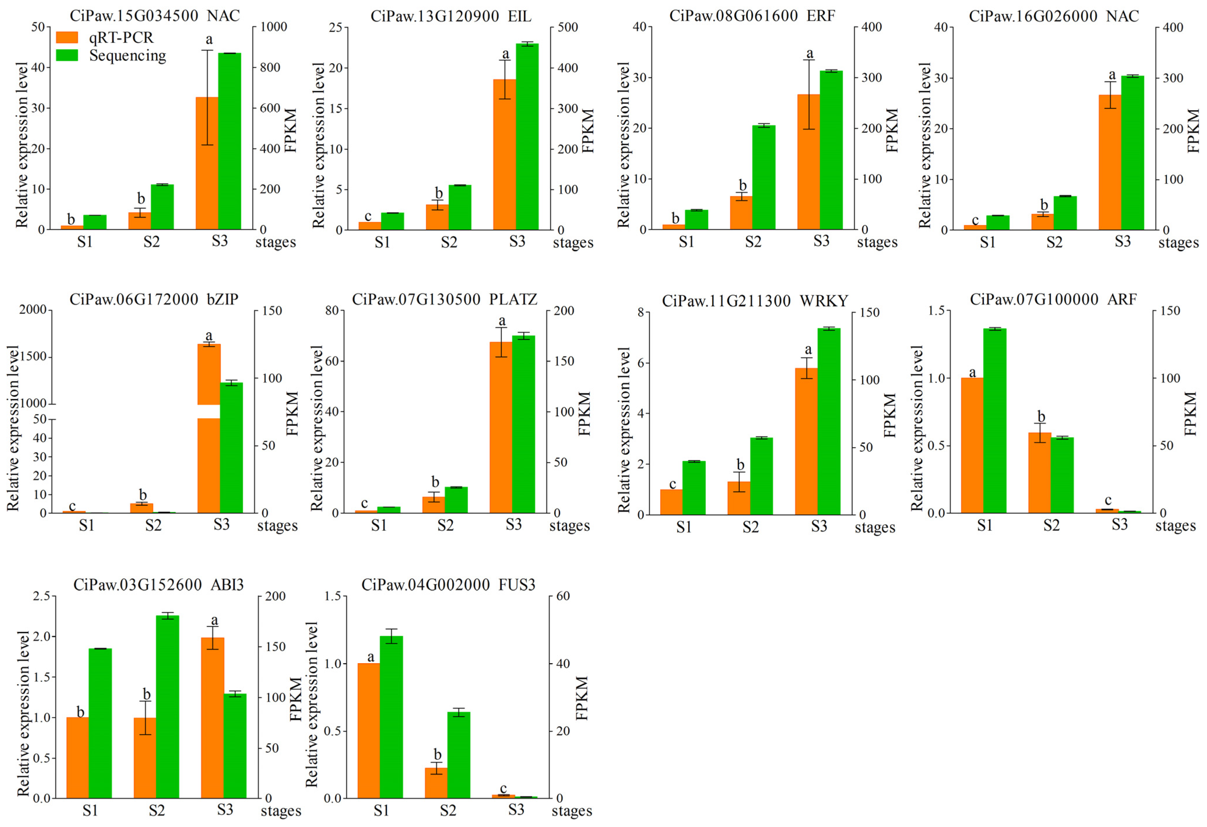
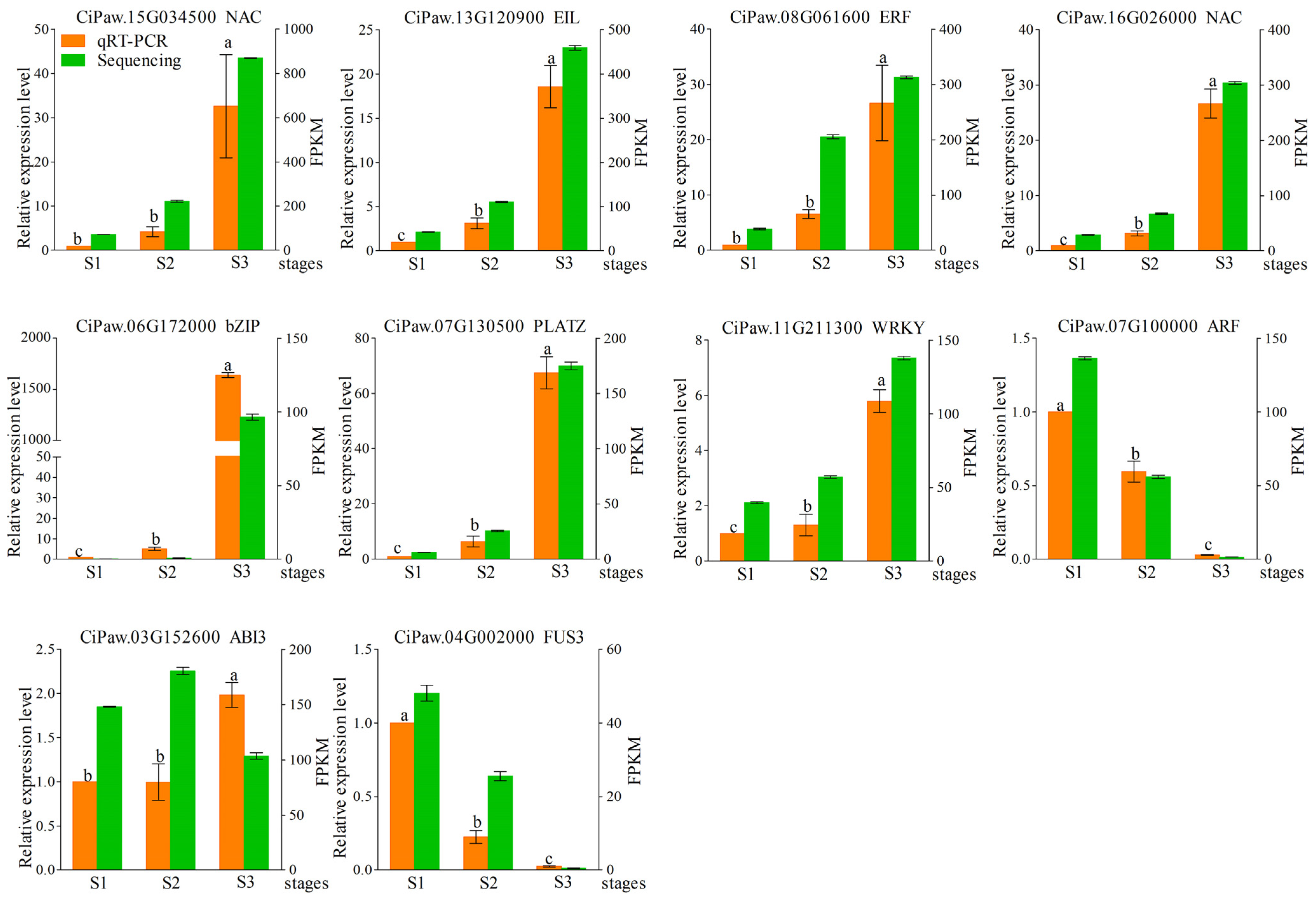
2.7. Expression Validation and Correlation Analysis of TF Genes and Subcellular Localization of CiABI3 and CiFUS3
3. Discussion
3.1. Lipid Metabolism and Fatty Acid Composition in Pecan Embryo During Seed Development
3.2. Transcriptional Regulation and Key Transcription Factor Analysis During Pecan Seed Development
4. Materials and Methods
4.1. Plant Materials
4.2. Oil Content and Fatty Acid Component Determination
4.3. Metabolomics Analysis
4.4. RNA Extraction and Quality Assessment
4.5. Transcriptomics Analysis
4.6. Identification of Differentially Expressed Transcription Factors
4.7. Validation of the Expression Patterns of Genes
4.8. Correlation Analysis
4.9. Subcellular Localization Analysis
4.10. Statistical Analysis
Supplementary Materials
Author Contributions
Funding
Institutional Review Board Statement
Informed Consent Statement
Data Availability Statement
Conflicts of Interest
References
- Jia, X.; Li, M.; Luo, H.; Zhai, M.; Guo, Z.; Li, Y.; Qiao, Y.; Wang, L. Transcriptome Survey Reveals Candidate Genes Involved in Lipid Metabolism of Carya illinoinensis. Int. J. Agric. Biol. 2018, 20, 991–1004. [Google Scholar]
- Huang, R.; Huang, Y.; Sun, Z.; Huang, J.; Wang, Z. Transcriptome Analysis of Genes Involved in Lipid Biosynthesis in the Developing Embryo of Pecan (Carya illinoinensis). J. Agric. Food Chem. 2017, 65, 4223–4236. [Google Scholar] [CrossRef] [PubMed]
- Atanasov, A.G.; Sabharanjak, S.M.; Zengin, G.; Mollica, A.; Szostak, A.; Simirgiotis, M.; Huminiecki, L.; Horbanczuk, O.K.; Nabavi, S.M.; Mocan, A. Pecan Nuts: A Review of Reported Bioactivities and Health Effects. Trends Food Sci. Technol. 2018, 71, 246–257. [Google Scholar] [CrossRef]
- Theodoulou, F.L.; Eastmond, P.J. Seed Storage Oil Catabolism: A Story of Give and Take. Curr. Opin. Plant Biol. 2012, 15, 322–328. [Google Scholar] [CrossRef] [PubMed]
- Zhang, C.; Ren, H.; Yao, X.; Wang, K.; Chang, J. Full-Length Transcriptome Analysis of Pecan (Carya illinoinensis) Kernels. G3-Genes Genomes Genet. 2021, 11, jkab182. [Google Scholar] [CrossRef]
- Ye, Y.; Nikovics, K.; To, A.; Lepiniec, L.; Fedosejevs, E.T.; Van Doren, S.R.; Baud, S.; Thelen, J.J. Docking of Acetyl-CoA Carboxylase to the Plastid Envelope Membrane Attenuates Fatty Acid Production in Plants. Nat. Commun. 2020, 11, 6191. [Google Scholar] [CrossRef]
- Lehti-Shiu, M.D.; Panchy, N.; Wang, P.; Uygun, S.; Shiu, S.-H. Diversity, Expansion, and Evolutionary Novelty of Plant DNA-Binding Transcription Factor Families. Biochim. Biophys. Acta-Gene Regul. Mech. 2017, 1860, 3–20. [Google Scholar] [CrossRef]
- Dhaka, N.; Sharma, R. MicroRNA-Mediated Regulation of Agronomically Important Seed Traits: A Treasure Trove with Shades of Grey! Crit. Rev. Biotechnol. 2021, 41, 594–608. [Google Scholar] [CrossRef]
- Kong, Q.; Yuan, L.; Ma, W. WRINKLED1, a “Master Regulator” in Transcriptional Control of Plant Oil Biosynthesis. Plants 2019, 8, 238. [Google Scholar] [CrossRef]
- Tong, N.; Shu, Q.; Wang, B.; Peng, L.; Liu, Z. Histology, Physiology, and Transcriptomic and Metabolomic Profiling Reveal the Developmental Dynamics of Annual Shoots in Tree Peonies (Paeonia suffruticosa Andr.). Hortic. Res. 2023, 10, uhad152. [Google Scholar] [CrossRef]
- Cai, K.; Zhao, Q.; Li, H.; Zhang, Q.; Li, Y.; Han, R.; Jiang, T.; Pei, X.; Zhang, L.; Zhao, X.; et al. Deciphering Aroma Formation during Flowering in Nectar Tree (Tilia amurensis): Insights from Integrated Metabolome and Transcriptome Analysis. For. Res. 2023, 3, 24. [Google Scholar] [CrossRef]
- Jin, F.; Zhou, Y.; Zhang, P.; Huang, R.; Fan, W.; Li, B.; Li, G.; Song, X.; Pei, D. Identification of Key Lipogenesis Stages and Proteins Involved in Walnut Kernel Development. J. Agric. Food Chem. 2023, 71, 4306–4318. [Google Scholar] [CrossRef] [PubMed]
- Yan, S.; Wang, X.; Yang, C.; Wang, J.; Wang, Y.; Wu, B.; Qiao, L.; Zhao, J.; Mohammad, P.; Zheng, X.; et al. Insights Into Walnut Lipid Metabolism From Metabolome and Transcriptome Analysis. Front. Genet. 2021, 12, 715731. [Google Scholar] [CrossRef] [PubMed]
- Xu, Z.; Ni, J.; Shah, F.A.; Wang, Q.; Wang, Z.; Wu, L.; Fu, S. Transcriptome Analysis of Pecan Seeds at Different Developing Stages and Identification of Key Genes Involved in Lipid Metabolism. PLoS ONE 2018, 13, e0195913. [Google Scholar] [CrossRef]
- Zhao, Z.; Wang, F.; Hu, T.; Zhou, C. Lipidomic Analyses of Five Carya illinoinensis Cultivars. Food Sci. Nutr. 2023, 11, 6336–6348. [Google Scholar] [CrossRef]
- Zhang, C.; Ren, H.; Yao, X.; Wang, K.; Chang, J.; Shao, W. Metabolomics and Transcriptomics Analyses Reveal Regulatory Networks Associated with Fatty Acid Accumulation in Pecan Kernels. J. Agric. Food Chem. 2022, 70, 16010–16020. [Google Scholar] [CrossRef]
- Yang, R.; Chen, H.; Zhang, D.; Zhang, Q.; Huang, Y. Integrated Transcriptomic and Lipidomic Analysis Provides Key Insights into Lipid Content Changes during Pecan (Carya illinoensis) Fruit Development. Plant Genome 2024, 17. [Google Scholar] [CrossRef]
- Zhu, K.; Fan, P.; Liu, H.; Zhao, J.; Tan, P.; Mo, Z.; Peng, F. Pecan Kinome: Classification and Expression Analysis of All Protein Kinases in Carya illinoinensis. For. Res. 2021, 1, 14. [Google Scholar] [CrossRef]
- Lyu, Y.-Z.; Jiang, H.; Sun, H.-N.; Yang, Y.; Chao, Y.; Huang, L.-B.; Dong, X.-Y. Lipidomic and Comparative Transcriptomic Analysis of Fatty Acid Synthesis Pathway in Carya illinoinensis Embryo. Tree Physiol. 2023, 43, 1675–1690. [Google Scholar] [CrossRef]
- Bourgis, F.; Kilaru, A.; Cao, X.; Ngando-Ebongue, G.-F.; Drira, N.; Ohlrogge, J.B.; Arondel, V. Comparative Transcriptome and Metabolite Analysis of Oil Palm and Date Palm Mesocarp That Differ Dramatically in Carbon Partitioning. Proc. Natl. Acad. Sci. USA 2011, 108, 12527–12532. [Google Scholar] [CrossRef]
- Chang, X.; Li, X.; Meng, H.; Li, H.; Wu, X.; Gong, G.; Chen, H.; Yang, C.; Zhang, M.; Liu, T.; et al. Physiological and Metabolic Analyses Provide Insight into Soybean Seed Resistance to Fusarium fujikuroi Causing Seed Decay. Front. Plant Sci. 2022, 13, 993519. [Google Scholar] [CrossRef] [PubMed]
- Huang, C.; Li, Y.; Wang, K.; Xi, J.; Xu, Y.; Hong, J.; Si, X.; Ye, H.; Lyu, S.; Xia, G.; et al. Integrated Transcriptome and Proteome Analysis of Developing Embryo Reveals the Mechanisms Underlying the High Levels of Oil Accumulation in Carya cathayensis Sarg. Tree Physiol. 2022, 42, 684–702. [Google Scholar] [CrossRef] [PubMed]
- Zhao, X.; Yang, G.; Liu, X.; Yu, Z.; Peng, S. Integrated Analysis of Seed microRNA and mRNA Transcriptome Reveals Important Functional Genes and microRNA-Targets in the Process of Walnut (Juglans Regia) Seed Oil Accumulation. Int. J. Mol. Sci. 2020, 21, 9093. [Google Scholar] [CrossRef] [PubMed]
- Bera, S.K.; Kamdar, J.H.; Kasundra, S.V.; Patel, S.V.; Jasani, M.D.; Mauryal, A.K.; Dash, P.; Chandrashekar, A.B.; Rani, K.; Manivannan, N.; et al. Steady Expression of High Oleic Acid in Peanut Bred by Marker-Assisted Backcrossing for Fatty Acid Desaturase Mutant Alleles and Its Effect on Seed Germination along with Other Seedling Traits. PLoS ONE 2019, 14, e0226252. [Google Scholar] [CrossRef]
- Yang, W.; Xin, Z.; Xie, L.; Zhai, Y.; Zhang, Y.; Niu, L.; Zhang, Q. Integrative Lipidomics Profile Uncovers the Mechanisms Underlying High-Level α-Linolenic Acid Accumulation in Paeonia rockii Seeds. Hortic. Res. 2023, 10, uhad106. [Google Scholar] [CrossRef]
- Zhu, K.; Wei, L.; Ma, W.; Hu, X.; Zhao, J.; Tan, P.; Liu, H.; Feng, G.; Fan, P.; Peng, F. Transcriptome Analysis of Pecan (Carya illinoinensis) Differentially Expressed Genes in Response to Drought Stress. Forests 2023, 14, 608. [Google Scholar] [CrossRef]
- Yeap, W.-C.; Lee, F.-C.; Shan, D.K.S.; Musa, H.; Appleton, D.R.; Kulaveerasingam, H. WRI1-1, ABI5, NF-YA3 and NF-YC2 Increase Oil Biosynthesis in Coordination with Hormonal Signaling during Fruit Development in Oil Palm. Plant J. 2017, 91, 97–113. [Google Scholar] [CrossRef]
- Cheng, K.; Pan, Y.-F.; Liu, L.-M.; Zhang, H.-Q.; Zhang, Y.-M. Integrated Transcriptomic and Bioinformatics Analyses Reveal the Molecular Mechanisms for the Differences in Seed Oil and Starch Content Between Glycine max and Cicer arietinum. Front. Plant Sci. 2021, 12, 743680. [Google Scholar] [CrossRef]
- Roscoe, T.J.; Vaissayre, V.; Paszkiewicz, G.; Clavijo, F.; Kelemen, Z.; Michaud, C.; Lepiniec, L.; Dubreucq, B.; Zhou, D.-X.; Devic, M. Regulation of FUSCA3 Expression During Seed Development in Arabidopsis. Plant Cell Physiol. 2019, 60, 476–487. [Google Scholar] [CrossRef]
- Yang, Z.; Liu, X.; Wang, K.; Li, Z.; Jia, Q.; Zhao, C.; Zhang, M. ABA-INSENSITIVE 3 with or without FUSCA3 Highly up-Regulates Lipid Droplet Proteins and Activates Oil Accumulation. J. Exp. Bot. 2022, 73, 2077–2092. [Google Scholar] [CrossRef]
- Duong, S.; Vonapartis, E.; Li, C.-Y.; Patel, S.; Gazzarrini, S. The E3 Ligase ABI3-INTERACTING PROTEIN2 Negatively Regulates FUSCA3 and Plays a Role in Cotyledon Development in Arabidopsis thaliana. J. Exp. Bot. 2017, 68, 1555–1567. [Google Scholar] [CrossRef] [PubMed][Green Version]
- Li, J.; Ding, J.; Yu, X.; Li, H.; Ruan, C. Identification and Expression Analysis of Critical microRNA-Transcription Factor Regulatory Modules Related to Seed Development and Oil Accumulation in Developing Hippophae rhamnoides Seeds. Ind. Crop. Prod. 2019, 137, 33–42. [Google Scholar] [CrossRef]
- Zhou, X.; Dai, Y.; Wu, H.; Zhong, P.; Luo, L.; Shang, Y.; Tan, P.; Peng, F.; Tian, Z. Characterization of CiWRI1 from Carya illinoinensis in Seed Oil Biosynthesis. Forests 2020, 11, 818. [Google Scholar] [CrossRef]
- Wang, L.; Chen, F.; Lan, Y.; Liu, H.; Wu, M.; Yan, H.; Xiang, Y. Genome-Wide Identification of B3 Superfamily in Pecan (Carya illinoensis): In Silico and Experimental Analyses. Sci. Hortic. 2023, 307, 111533. [Google Scholar] [CrossRef]
- Dabrowski, G.; Czaplicki, S.; Konopka, I. Composition and Quality of Poppy (Papaver somniferum L.) Seed Oil Depending on the Extraction Method. LWT-Food Sci. Technol. 2020, 134, 110167. [Google Scholar] [CrossRef]
- Kumari, A.; Parida, A.K. Metabolomics and Network Analysis Reveal the Potential Metabolites and Biological Pathways Involved in Salinity Tolerance of the Halophyte Salvadora persica. Environ. Exp. Bot. 2018, 148, 85–99. [Google Scholar] [CrossRef]
- Kim, D.; Langmead, B.; Salzberg, S.L. HISAT: A Fast Spliced Aligner with Low Memory Requirements. Nat. Methods 2015, 12, 357-U121. [Google Scholar] [CrossRef]
- Lovell, J.T.; Bentley, N.B.; Bhattarai, G.; Jenkins, J.W.; Sreedasyam, A.; Alarcon, Y.; Bock, C.; Boston, L.B.; Carlson, J.; Cervantes, K.; et al. Four Chromosome Scale Genomes and a Pan-Genome Annotation to Accelerate Pecan Tree Breeding. Nat. Commun. 2021, 12, 4125. [Google Scholar] [CrossRef]
- Pertea, M.; Pertea, G.M.; Antonescu, C.M.; Chang, T.-C.; Mendell, J.T.; Salzberg, S.L. StringTie Enables Improved Reconstruction of a Transcriptome from RNA-Seq Reads. Nat. Biotechnol. 2015, 33, 290–295. [Google Scholar] [CrossRef]
- Li, B.; Dewey, C.N. RSEM: Accurate Transcript Quantification from RNA-Seq Data with or without a Reference Genome. BMC Bioinform. 2011, 12, 323. [Google Scholar] [CrossRef]
- Ernst, J.; Bar-Joseph, Z. STEM: A Tool for the Analysis of Short Time Series Gene Expression Data. BMC Bioinform. 2006, 7, 191. [Google Scholar] [CrossRef] [PubMed]
- Zheng, Y.; Jiao, C.; Sun, H.; Rosli, H.G.; Pombo, M.A.; Zhang, P.; Banf, M.; Dai, X.; Martin, G.B.; Giovannoni, J.J.; et al. iTAK: A Program for Genome-Wide Prediction and Classification of Plant Transcription Factors, Transcriptional Regulators, and Protein Kinases. Mol. Plant. 2016, 9, 1667–1670. [Google Scholar] [CrossRef] [PubMed]
- Zhu, K.; Fan, P.; Liu, H.; Tan, P.; Ma, W.; Mo, Z.; Zhao, J.; Chu, G.; Peng, F. Insight into the CBL and CIPK Gene Families in Pecan (Carya illinoinensis): Identification, Evolution and Expression Patterns in Drought Response. BMC Plant Biol. 2022, 22, 221. [Google Scholar] [CrossRef] [PubMed]
- Livak, K.J.; Schmittgen, T.D. Analysis of Relative Gene Expression Data Using Real-Time Quantitative PCR and the 2−ΔΔCT Method. Methods 2001, 25, 402–408. [Google Scholar] [CrossRef] [PubMed]









| Fatty Acid Composition | Stages (Mean ± SD) | |||
|---|---|---|---|---|
| S1 | S2 | S3 | ||
| Saturated FA | myristic acid (C14:0) | 21.32 ± 0.2 c | 58.60 ± 1.79 b | 89.88 ± 6.89 a |
| pentadecanoic acid (C15:0) | 18.71 ± 0.13 b | 29.94 ± 0.70 a | 31.20 ± 2.11 a | |
| palmitic acid (C16:0) | 1644.56 ± 52.69 c | 6943.99 ± 141.99 b | 9363.03 ± 388.72 a | |
| margaric acid (C17:0) | 18.34 ± 0.22 c | 88.08 ± 1.66 b | 151.94 ± 7.89 a | |
| stearic acid (C18:0) | 503.17 ± 12.17 c | 2806.48 ± 42.13 b | 5597.37 ± 406.79 a | |
| tricosylic acid(C23:0) | 33.23 ± 0.71 b | 36.93 ± 1.78 a | 36.20 ± 1.22 a | |
| lignoceric acid (C24:0) | 6.08 ± 0.23 c | 12.76 ± 0.46 b | 18.49 ± 0.53 a | |
| Unsaturated FA | palmitoleic acid (C16:1) | 29.73 ± 0.36 c | 148.39 ± 1.21 b | 180.95 ± 8.95 a |
| heptadecenoic acid (C17:1) | ND | 76.31 ± 1.08 b | 109.99 ± 4.01 a | |
| oleic acid (C18:1) | 7058.15 ± 112.49 c | 74,071.92 ± 3643.51 b | 105,881.08 ± 7862.46 a | |
| eicosenoic acid (C20:1) | 41.72 ± 0.97 c | 162.06 ± 2.65 b | 298.29 ± 25.06 a | |
| nervonic acid (C24:1) | 8.50 ± 0.15 c | 14.37 ± 0.57 b | 23.37 ± 1.69 a | |
| linoleic acid (C18:2n6) | 5721.37 ± 84.07 c | 28,959.31 ± 683.77 b | 43,588.83 ± 3139.27 a | |
| α-linolenic acid (C18:3n3) | 43.75 ± 1.97 c | 349.59 ± 8.09 b | 660.59 ± 47.86 a | |
| γ-linolenic acid (C18:3n6) | 566.08 ± 6.26 c | 1673.86 ± 19.92 b | 2409.61 ± 200.06 a | |
| eicosatrienoic acid (C20:3n6) | 6.41 ± 0.06 c | 14.69 ± 0.22 b | 16.91 ± 0.46 a | |
| arachidonic acid (C20:4n6) | 27.07 ± 0.13 c | 47.41 ± 1.43 b | 72.88 ± 4.02 a | |
Disclaimer/Publisher’s Note: The statements, opinions and data contained in all publications are solely those of the individual author(s) and contributor(s) and not of MDPI and/or the editor(s). MDPI and/or the editor(s) disclaim responsibility for any injury to people or property resulting from any ideas, methods, instructions or products referred to in the content. |
© 2024 by the authors. Licensee MDPI, Basel, Switzerland. This article is an open access article distributed under the terms and conditions of the Creative Commons Attribution (CC BY) license (https://creativecommons.org/licenses/by/4.0/).
Share and Cite
Zhu, K.; Wei, L.; Hussain, H.; Tan, P.; Wei, G.; Zhao, J.; Zhou, S.; Liu, H.; Peng, F. Metabolome and Transcriptome Analyses Reveal Metabolomic Variations and Key Transcription Factors Involved in Lipid Biosynthesis During Seed Development in Carya illinoinensis. Int. J. Mol. Sci. 2024, 25, 11571. https://doi.org/10.3390/ijms252111571
Zhu K, Wei L, Hussain H, Tan P, Wei G, Zhao J, Zhou S, Liu H, Peng F. Metabolome and Transcriptome Analyses Reveal Metabolomic Variations and Key Transcription Factors Involved in Lipid Biosynthesis During Seed Development in Carya illinoinensis. International Journal of Molecular Sciences. 2024; 25(21):11571. https://doi.org/10.3390/ijms252111571
Chicago/Turabian StyleZhu, Kaikai, Lu Wei, Hammad Hussain, Pengpeng Tan, Guo Wei, Juan Zhao, Sichen Zhou, Hui Liu, and Fangren Peng. 2024. "Metabolome and Transcriptome Analyses Reveal Metabolomic Variations and Key Transcription Factors Involved in Lipid Biosynthesis During Seed Development in Carya illinoinensis" International Journal of Molecular Sciences 25, no. 21: 11571. https://doi.org/10.3390/ijms252111571
APA StyleZhu, K., Wei, L., Hussain, H., Tan, P., Wei, G., Zhao, J., Zhou, S., Liu, H., & Peng, F. (2024). Metabolome and Transcriptome Analyses Reveal Metabolomic Variations and Key Transcription Factors Involved in Lipid Biosynthesis During Seed Development in Carya illinoinensis. International Journal of Molecular Sciences, 25(21), 11571. https://doi.org/10.3390/ijms252111571

