Spraying KH2PO4 Alleviates the Damage of Spring Low-Temperature Stress by Improving the Physiological Characteristics of Wheat Flag Leaves
Abstract
1. Introduction
2. Results
2.1. Antioxidant Enzyme Activity
2.2. Osmotic Adjustment Substances
2.3. Flag Leaf Anatomy
2.4. Ultrastructure of Chloroplasts
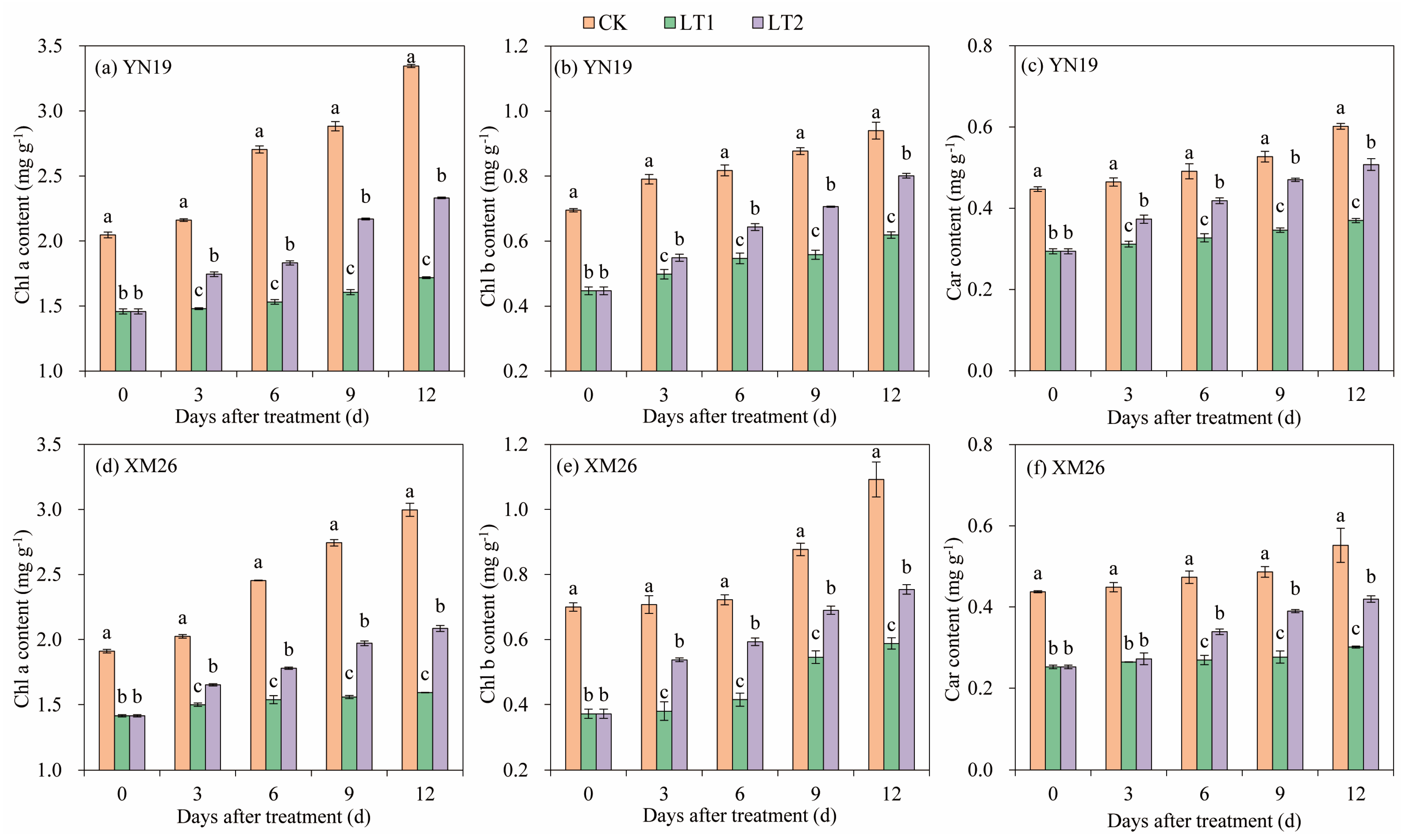
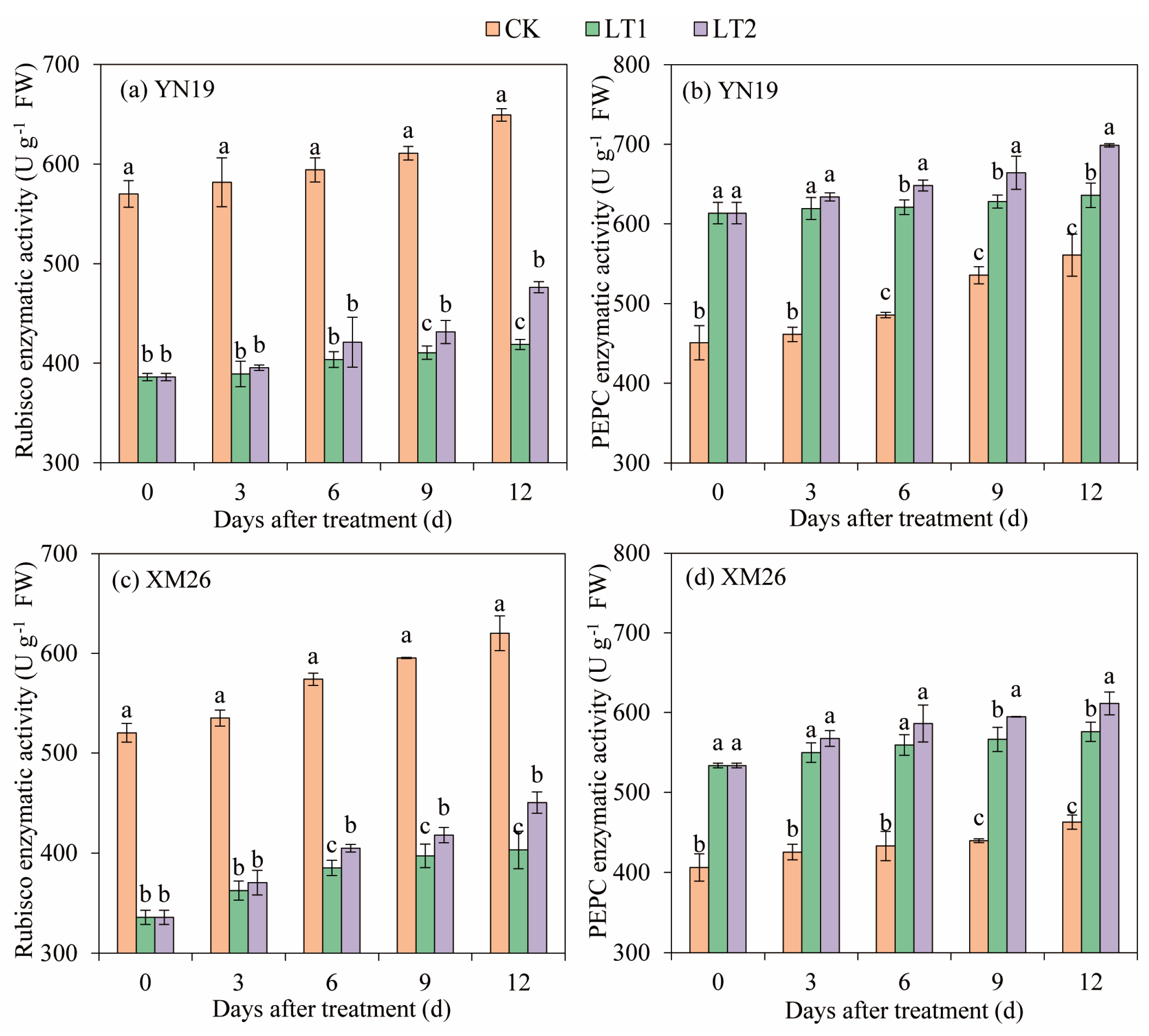
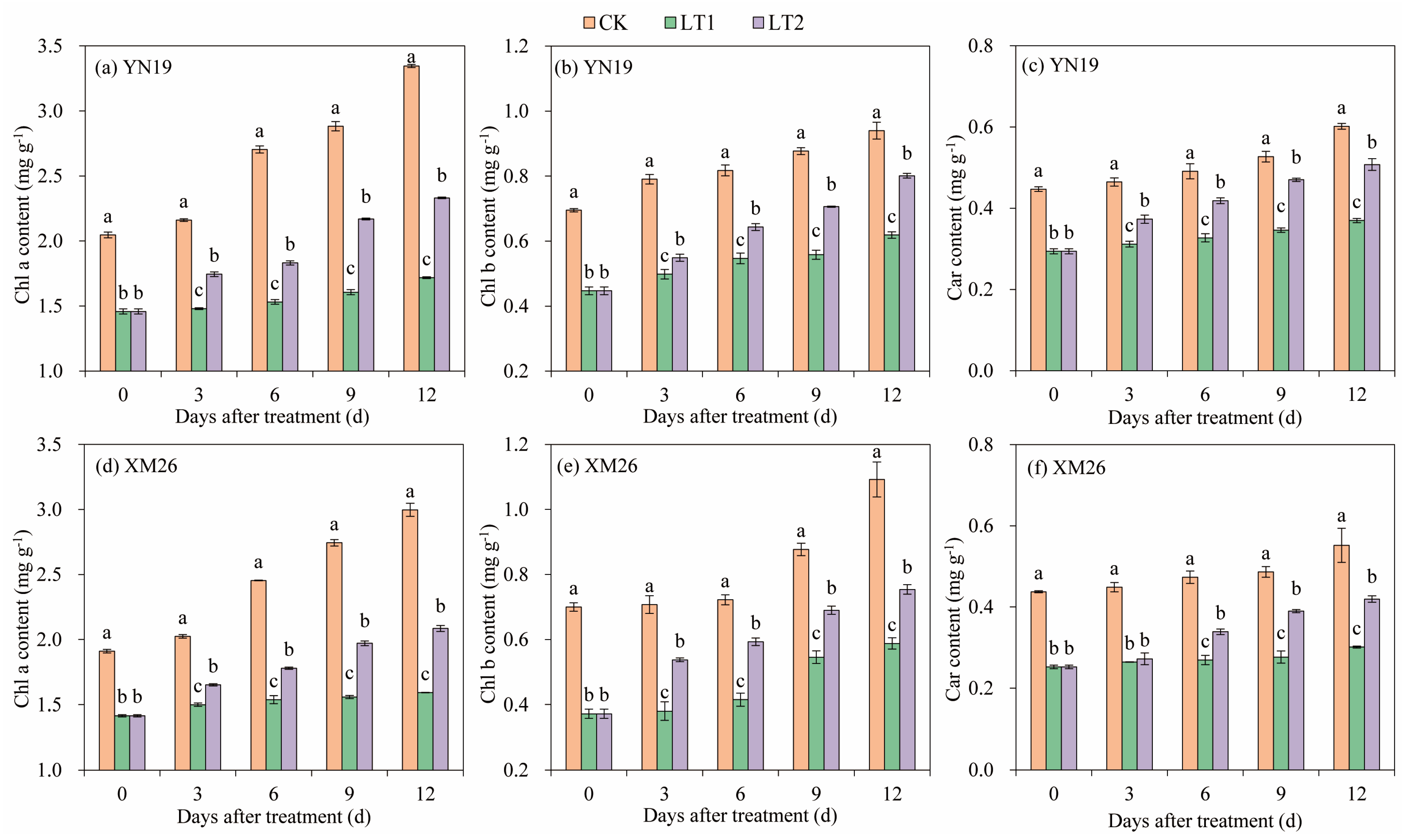
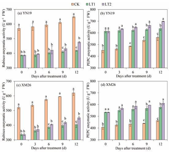
2.5. Photosynthetic Pigment and Photosynthetic Enzyme Activity
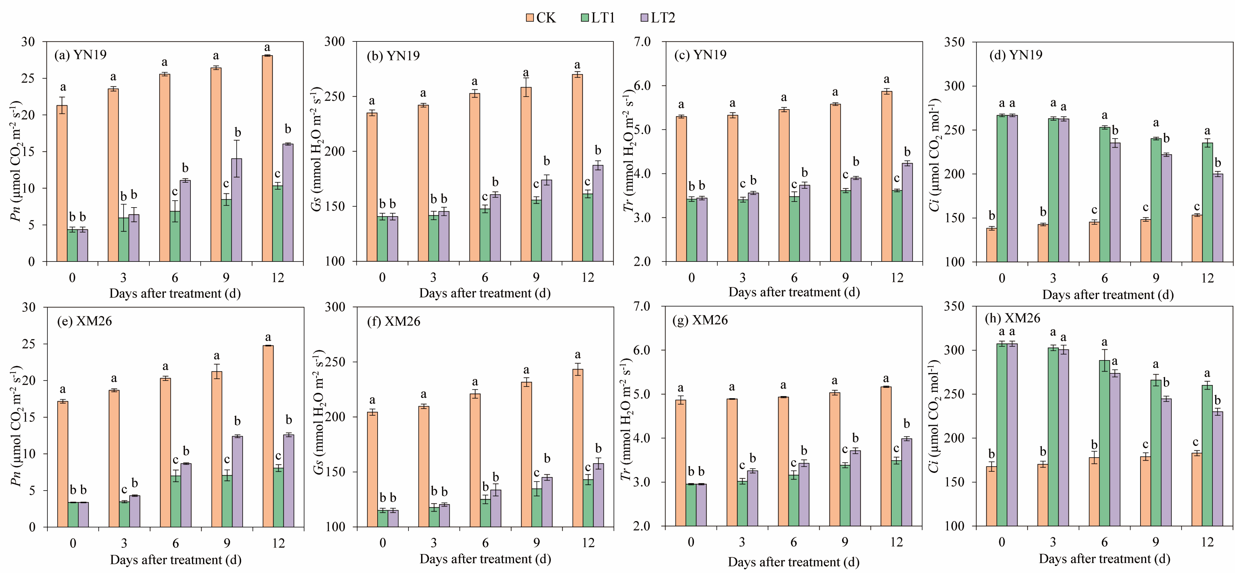
2.6. Photosynthetic Parameters
2.7. Yield and Its Component Factors
2.8. Correlation Analysis
3. Discussion
3.1. Effects of Spraying KH2PO4 on Antioxidant Enzyme Activity and Osmotic Adjustment Substances of Wheat Flag Leaves Under Spring LTS
3.2. Effects of Spraying KH2PO4 on Anatomical Structure of Wheat Flag Leaves Under Spring LTS
3.3. Effect of Spraying KH2PO4 on Photosynthetic Characteristics of Wheat Flag Leaves Under Spring LTS
3.4. Effect of Spraying KH2PO4 on Wheat Yield Under Spring LTS
4. Materials and Methods
4.1. Plant Materials and Treatment
4.2. Determination of Antioxidant Enzyme Activity and Malondialdehyde Content
4.3. Determination of Osmotic Regulatory Substances
4.4. Light Microscopy
4.5. Ultrastructure Observation of Chloroplasts
4.6. Determination of Photosynthetic Pigments
4.7. Determination of Photosynthetic Enzyme Activity
4.8. Determination of Photosynthetic Parameters
4.9. Yield and its Component Factors
4.10. Statistical Analyses
5. Conclusions
Author Contributions
Funding
Institutional Review Board Statement
Informed Consent Statement
Data Availability Statement
Acknowledgments
Conflicts of Interest
References
- Mao, H.D.; Jiang, C.; Tang, C.L.; Nie, X.J.; Du, L.Y.; Liu, Y.L.; Cheng, P.; Wu, Y.F.; Liu, H.Q.; Kang, Z.S.; et al. Wheat adaptation to environmental stresses under climate change: Molecular basis and genetic improvement. Mol. Plant 2023, 16, 1564–1589. [Google Scholar] [CrossRef] [PubMed]
- Erenstein, O.; Chamberlin, J.; Sonder, K. Estimating the global number and distribution of maize and wheat farms. Glob. Food Secur.-Agric. Policy 2021, 30, 100558. [Google Scholar] [CrossRef]
- Xiao, L.J.; Liu, L.L.; Senthold, A.; Xia, Y.M.; Tang, L.; Liu, B.; Cao, W.X.; Zhu, Y. Estimating spring frost and its impact on yield across winter wheat in China. Agric. For. Meteorol. 2018, 260, 154–164. [Google Scholar] [CrossRef]
- Tshewang, S.; Jessop, R.; Birchall, C. Effect of frost on triticale and wheat varieties at flowering in the north eastern Australian cereal belt. Cereal Res. Commun. 2017, 45, 655–664. [Google Scholar] [CrossRef]
- Holman, J.D.; Schlegel, A.J.; Thompson, C.R.; Lingenfelser, J.E. Influence of precipitation, temperature and 56 years on winter wheat yields in western Kansas. Crop Manag. 2011, 10, 11–21. [Google Scholar] [CrossRef]
- Crimp, S.J.; Zheng, B.Y.; Khimashia, N.; Gobbett, D.L.; Scott Chapman, S.; Howden, M.; Nicholls, N. Recent changes in southern Australian frost occurrence: Implications for wheat production risk. Crop Pasture Sci. 2016, 67, 801–811. [Google Scholar] [CrossRef]
- Trnka, M.; Rötter, R.; Ruiz-Ramos, M.; Kersebaum, K.C.; Olesen, J.E.; Zalud, Z.; Semenov, M.A. Adverse weather conditions for European wheat production will become more frequent with climate change. Nat. Clim. Change 2014, 4, 637–643. [Google Scholar] [CrossRef]
- Xu, H.; Hassan, M.A.; Sun, D.; Wu, Z.; Jiang, G.; Liu, B.; Ni, Q.; Yang, W.; Fang, H.; Li, J.C.; et al. Effects of low temperature stress on source–sink organs in wheat and phosphorus mitigation strategies. Front. Plant Sci. 2022, 13, 807844. [Google Scholar] [CrossRef]
- Hassan, M.A.; Xiang, C.; Farooq, M.; Muhammad, N.; Yan, Z.; Hui, X.; Ke, Y.Y.; Bruno, A.K.; Zhang, L.L.; Li, J.C. Cold stress in wheat: Plant acclimation responses and management strategies. Front. Plant Sci. 2021, 12, 676884. [Google Scholar] [CrossRef]
- Allen, D.J.; Ort, D.R. Impacts of chilling temperatures on photosynthesis in warm-climate plants. Trends Plant Sci. 2001, 6, 36–42. [Google Scholar] [CrossRef]
- Zhang, Y.; Cai, H.M.; Liu, L.Z.; Xu, H.; Chen, X.; Li, J.C. Screening of varieties resistant to late-spring coldness in wheat and effects of late-spring coldness on the ultrastructure of wheat cells. Agronomy 2023, 13, 3011. [Google Scholar] [CrossRef]
- Zhang, F.Y.; Jiang, N.; Zhang, H.Q.; Huo, Z.G.; Yang, Z.Q. Effect of low temperature on photosynthetic characteristics, senescence characteristics, and endogenous hormones of winter wheat "JI MAI 22" during the jointing stage. Agronomy 2023, 13, 2650. [Google Scholar] [CrossRef]
- Fan, Q.H.; Sun, W.C.; Li, Z.J.; Liang, Y.C. Effect of silicon on photosynthesis and its major relevant enzyme activities in wheat leaves under short-term cold stress. Plant Nutr. Fert. Sci. 2009, 15, 544–550. [Google Scholar]
- Li, X.N.; Pu, H.C.; Liu, F.L.; Zhou, Q.; Cai, J.; Dai, T.B.; Cao, W.X.; Jiang, D. Winter wheat photosynthesis and grain yield responses to spring freeze. Agron. J. 2015, 107, 1002–1010. [Google Scholar] [CrossRef]
- Li, C.Y.; Yang, J.; Zhu, M.; Ding, J.F.; Zhu, X.K.; Zhou, G.S.; Guo, W.S. Urea amendment alleviated morphological and physiological damages and yield loss of winter wheat subjected to low temperature stress at jointing stage. Plant Growth Regul. 2022, 98, 589–598. [Google Scholar] [CrossRef]
- Xu, H.; Wu, Z.; Xu, B.; Sun, D.; Hassan, M.A.; Cai, H.; Wu, Y.; Yu, M.; Chen, A.; Li, J.; et al. Optimized phosphorus application alleviated adverse effects of short-term low-temperature stress in winter wheat by enhancing photosynthesis and improved accumulation and partitioning of dry matter. Agronomy 2022, 12, 1700. [Google Scholar] [CrossRef]
- Xu, H.; Hou, K.Y.; Fang, H.; Liu, Q.Q.; Wu, Q.; Lin, F.F.; Deng, R.; Zhang, L.J.; Chen, X.; Li, J.C. Twice-split phosphorus application alleviates low-temperature impacts on wheat by improved spikelet development and setting. J. Integr. Agric. 2023, 22, 3667–3680. [Google Scholar] [CrossRef]
- Xu, H.; Hassan, M.A.; Li, J.C. Twice-split phosphorus application alleviates low temperature stress by improving root physiology and phosphorus accumulation, translocation, and partitioning in wheat. Agronomy 2023, 13, 2643. [Google Scholar] [CrossRef]
- Fang, H.; Huang, J.; Zhu, X.; Hassan, M.A.; Ren, J.; Huang, J.; Zheng, B.; Chen, X.; Lin, F.; Li, J. Postponed application of phosphorus and potassium fertilizers mitigates the damage of late spring coldness by improving winter wheat root physiology. Plants 2024, 13, 2311. [Google Scholar] [CrossRef]
- Wang, W.L.; Wang, X.; Huang, M.; Cal, J.; Zhou, Q.; Dai, T.B.; Jiang, D. Alleviation of field low-temperature stress in winter wheat by exogenous application of salicylic acid. J. Plant Growth Regul. 2021, 40, 811–823. [Google Scholar] [CrossRef]
- Zhang, N.; Li, L.J.; Zhang, L.R.; Li, J.; Fang, Y.H.; Zhao, L.; Ren, Y.; Chen, F. Abscisic acid enhances tolerance to spring freeze stress and regulates the expression of ascorbate–glutathione biosynthesis-related genes and stress-responsive genes in common wheat. Mol. Breed. 2020, 40, 108. [Google Scholar] [CrossRef]
- Liang, Z.M.; Luo, J.; Wei, B.; Liao, Y.C.; Liu, Y. Trehalose can alleviate decreases in grain number per spike caused by low-temperature stress at the booting stage by promoting floret fertility in wheat. J. Agron. Crop Sci. 2021, 207, 717–732. [Google Scholar] [CrossRef]
- Zhang, W.J.; Huang, Z.L.; Xu, K.F.; Liu, L.; Zeng, Y.L.; Ma, S.Y.; Fan, Y.H. The effect of plant growth regulators on recovery of wheat physiological and yield-related characteristics at booting stage following chilling stress. Acta Physiol. Plant. 2019, 41, 133. [Google Scholar] [CrossRef]
- Zhang, H.; Liu, L.; Wang, Z.; Feng, G.; Gao, Q.; Li, X. Induction of low temperature tolerance in wheat by pre-soaking and parental treatment with melatonin. Molecules 2021, 26, 1192. [Google Scholar] [CrossRef]
- Huang, W.X.; Dai, W.C.; Chen, T.T.; Cai, H.M.; Weng, Y.; Tang, Z.W.; Yin, C.; Wang, P.N.; Zheng, B.Q.; Li, J.C.; et al. Spraying KH2PO4 enhances the physiological activity of wheat flag leaves and roots to alleviate the damage caused by late spring coldness. Plant Nutr. Fert. Sci. 2024, 30, 1222–1233. [Google Scholar]
- Dai, W.C.; Wang, P.N.; Weng, Y.; Huang, J.W.; Yu, M.; Wu, Y.; Cai, H.M.; Zheng, B.Q.; Li, J.C.; Chen, X. Effects of foliar spraying KH2PO4 on wheat grain setting characteristics under late spring coldness. Chin. J. Agrometeorol. 2023, 44, 889–902. [Google Scholar]
- Sun, K.W.; Zhang, J.; Wang, Y.; Qian, W.J.; Gong, S.T.; Li, Z.P.; Song, Y.J.; Yin, X.Y.; Ding, Z.T.; Fan, K. Foliar spraying KH2PO4 promotes shoot development by inducing stomatal opening and sugar transport in tea leaves. Sci. Hortic. 2024, 337, 113588. [Google Scholar] [CrossRef]
- Li, J.; Li, Z.; Li, X.; Tang, X.; Liu, H.; Li, J.; Song, Y.H. Effects of spraying KH2PO4 on flag leaf physiological characteristics and grain yield and quality under heat stress during the filling period in winter wheat. Plants 2023, 12, 1801. [Google Scholar] [CrossRef]
- Su, H.; Li, J.P.; Hu, Y.M.; Zhu, Y.L.; Li, J.C.; Song, Y.H. Effect of spraying KH2PO4 on leaf physiological characteristics and freezing damage of young spike of cold stress at wheat booting stage. J. Triticeae Crops 2021, 41, 585–593. [Google Scholar]
- Thakur, P.; Kumar, S.; Malik, J.A.; Berger, J.D.; Nayyar, H. Cold stress effects on reproductive development in grain crops: An overview. Environ. Exp. Bot. 2010, 67, 429–443. [Google Scholar] [CrossRef]
- Hossain, M.A.; Bhattacharjee, S.; Armin, S.M.; Qian, P.P.; Xin, W.; Li, H.Y.; Burritt, D.J.; Fujita, M.; Tran, L.S.P. Hydrogen peroxide priming modulates abiotic oxidative stress tolerance: Insights from ROS detoxification and scavenging. Front. Plant Sci. 2015, 6, 420. [Google Scholar] [CrossRef] [PubMed]
- Tang, S.; Zhang, H.X.; Li, L.; Liu, X.; Chen, L.; Chen, W.Z.; Ding, Y.F. Exogenous spermidine enhances the photosynthetic and antioxidant capacity of rice under heat stress during early grain-filling period. Funct. Plant Biol. 2018, 45, 911–921. [Google Scholar] [CrossRef] [PubMed]
- Lv, X.; Han, J.; Liao, Y.; Liu, Y. Effect of phosphorus and potassium foliage application post-anthesis on grain filling and hormonal changes of wheat. Field Crops Res. 2017, 214, 83–93. [Google Scholar] [CrossRef]
- Hosseinifard, M.; Stefaniak, S.; Ghorbani Javid, M.; Soltani, E.; Wojtyla, Ł.; Garnczarska, M. Contribution of exogenous proline to abiotic stresses tolerance in plants: A review. Int. J. Mol. Sci. 2022, 23, 5186. [Google Scholar] [CrossRef]
- Li, C.Y.; Xu, W.; Liu, L.W.; Lei, X.W.; Yang, J.; Zhou, D.D.; Zhu, X.K.; Guo, W.S. Effect of short time low temperature from anther connective stage to anthesis on wheat yield and physiological characteristics. J. Triticeae Crops 2016, 36, 77–85. [Google Scholar]
- Liu, L.J.; Cang, J.; Yu, J.; Wang, X.; Huang, R.; Wang, J.F.; Lu, B.W. Effects of exogenous abscisic acid on carbohydrate metabolism and the expression levels of correlative key enzymes in winter wheat under low temperature. Biosci. Biotechnol. Biochem. 2013, 77, 516–525. [Google Scholar] [CrossRef]
- Zhang, W.J.; Huang, Z.L.; Wang, Q.; Guan, Y.N. Effects of low temperature on leaf anatomy and photosynthetic performance in different genotypes of wheat following a rice crop. Int. J. Agric. Biol. 2015, 17, 1165–1171. [Google Scholar] [CrossRef]
- Sun, Y.; Wang, X.; Ma, C.; Zhang, Q. Effects of nitrogen and phosphorus addition on agronomic characters, photosynthetic performance and anatomical structure of alfalfa in northern xinjiang, China. Agronomy 2022, 12, 1613. [Google Scholar] [CrossRef]
- Xiong, M.B.; Lei, X.Z.; Tian, Y.B.; Song, G.Y. Effects of potassium on wheat stem-leaf anatomical structure. J. Triticeae Crops 2003, 23, 53–57. [Google Scholar]
- Wang, L.X.; Liang, W.Y.; Xing, J.H.; Tan, F.L.; Chen, Y.Y.; Huang, L.; Cheng, C.L.; Chen, W. Dynamics of chloroplast proteome in salt-stressed Mangrove Kandelia candel (L.) Druce. J. Proteome Res. 2013, 12, 5124–5136. [Google Scholar] [CrossRef]
- Liu, L.Z.; Zhang, Y.; Zhang, L.; Cai, H.M.; Yu, M.; Wei, F.Z.; Chen, X.; Li, J.C. Effects of low temperature stress during the anther differentiation period on leaf anatomical structure and photosynthetic characteristics of wheat. Chin. J. Agrometeorol. 2023, 44, 58–70. [Google Scholar]
- Wang, J.S.; Wu, J.J.; Ma, F.M.; Lin, W.G.; Zhong, P.; Dong, D.J. Observation of soybean ultrastructure with different phosphorous treatments. Soybean Sci. 2012, 31, 242–246. [Google Scholar]
- Hu, W.S.; Lu, Z.F.; Meng, F.J.; Ren, T.; Lu, J.W. Effect of potassium application rate on photosynthesis of winter oilseed rape (Brassica napus) silique wall. Plant Physiol. J. 2019, 55, 774–782. [Google Scholar]
- Wang, Y.; Zhu, Q.; Wang, Z.W.; Wang, J.P.; Wang, Z.; Yu, F.Y.; Zhang, L.H. Effects of foliar application of amino acid-chelated selenite on photosynthetic characteristics of peanut (Arachis hypogaea L.) leaves at the podding stage. Plant Soil Environ. 2024, 70, 17–25. [Google Scholar] [CrossRef]
- Borovik, O.A.; Grabelnych, O.I.; Koroleva, N.A.; Pobezhimova, T.P.; Voinikov, V.K. The influence of carbohydrate status and low temperature on the respiratory metabolism of mitochondria from etiolated leaves of winter wheat. J. Stress Physiol. Biochem. 2014, 10, 118–130. [Google Scholar]
- Perdomo, J.A.; Capó-Bauçà, S.; Carmo-Silva, E.; Galmés, J. Rubisco and Rubisco activase play an important role in the biochemi-cal limitations of photosynthesis in rice, wheat, and maize under high temperature and water deficit. Front. Plant Sci. 2017, 8, 490. [Google Scholar] [CrossRef]
- Van Kiet, H.; Nose, A. Effects of temperature on growth and photosynthesis in the seedling stage of the sheath blight-resistant rice genotype 32R. Plant. Prod. Sci. 2016, 19, 246–256. [Google Scholar] [CrossRef]
- Nie, Z.; Li, S.; Hu, C.; Sun, X.; Tan, Q.; Liu, H. Effects of molybdenum and phosphorus fertilizers on cold resistance in winter wheat. J. Plant Nutr. 2015, 38, 808–820. [Google Scholar] [CrossRef]
- Hayes, P.E.; Clode, P.L.; Oliveira, R.S.; Lambers, H. Proteaceae from phosphorus-impoverished habitats preferentially allocate phosphorus to photosynthetic cells: An adaptation improving phosphorus-use efficiency. Plant Cell Environ. 2018, 41, 605–619. [Google Scholar] [CrossRef]
- Zhang, Y.; Liu, L.; Chen, X.; Li, J. Effects of low-temperature stress during the anther differentiation period on winter wheat photosynthetic performance and spike-setting characteristics. Plants 2022, 11, 389. [Google Scholar] [CrossRef]
- Yaakob, M.A.; Mohamed, R.M.S.R.; Al-Gheethi, A.; Ravishankar, G.A.; Ambati, R.R. Influence of nitrogen and phosphorus on microalgal growth, biomass, lipid, and fatty acid production: An overview. Cells 2021, 10, 393. [Google Scholar] [CrossRef] [PubMed]
- Chen, X.; Liu, L.Z.; Cai, H.M.; Zheng, B.Q.; Li, J.C. Effects of spring low-temperature stress on winter wheat seed-setting charac-teristics of spike. Plant Soil Environ. 2024, 7, 84–92. [Google Scholar] [CrossRef]
- Jiang, G.; Hassan, M.A.; Muhammad, N.; Arshad, M.; Chen, X.; Xu, Y.H.; Xu, H.; Ni, Q.Q.; Liu, B.B.; Yang, W.K.; et al. Comparative physiology and transcriptome analysis of young spikes in response to late spring coldness in wheat (Triticum aestivum L.). Front. Plant Sci. 2022, 13, 811884. [Google Scholar] [CrossRef] [PubMed]
- Lin, F.F.; Li, C.; Xu, B.; Chen, J.; Chen, A.H.; Hassan, M.A.; Liu, B.B.; Xu, H.; Chen, X.; Sun, J.Q.; et al. Late spring cold reduces grain number at various spike positions by regulating spike growth and assimilate distribution in winter wheat. Crop J. 2023, 11, 1272–1278. [Google Scholar] [CrossRef]
- Liu, H.J.; Ni, Y.J.; Ren, D.C.; Du, K.M.; Ge, J.; Zhu, P.P.; Zhao, J.J.; Wu, Y.F.; Hu, X. Estimation and distribution of minimum air temperature within winter wheat canopy in prone period of late frost. Chin. J. Agrometeorol. 2018, 39, 786–795. [Google Scholar]
- Chen, T.; Zhang, B.L. Measurements of proline and malondialdehyde content and antioxidant enzyme activities in leaves of drought stressed cotton. Bio-protocol 2016, 6, e1913. [Google Scholar] [CrossRef]
- Liu, D.; Liu, M.; Liu, X.; Cheng, X.; Liang, Z. Silicon priming created an enhanced tolerance in alfalfa (Medicago sativa L.) seedlings in response to high alkaline stress. Front. Plant Sci. 2018, 9, 716. [Google Scholar] [CrossRef]
- Peng, M.L.; Zhao, X.Z.; Wang, X.D.; Chen, F.; Zhang, W.; Sun, C.M.; Zhang, C.; Guan, R.Z.; Zhang, J.F. Phenotypic identification and genetic analysis of a chlorophyll deficient mutant yl1 in Brassica napus. Chin. J. Oil Crop Sci. 2021, 43, 443–451. [Google Scholar]








| Variety | Days (d) | Treatment | SOD (U g−1 FW) | POD (U g−1 FW) | CAT (U g−1 FW) | MDA (μmol g−1 FW) |
|---|---|---|---|---|---|---|
| YN19 | 0 | CK | 409.36 ± 10.05 b | 26.38 ± 2.66 b | 371.53 ± 12.23 b | 15.43 ± 1.09 b |
| LT1 | 688.12 ± 6.59 a | 62.14 ± 2.30 a | 447.99 ± 4.29 a | 23.95 ± 0.88 a | ||
| LT2 | 688.12 ± 6.59 a | 62.14 ± 2.30 a | 447.99 ± 4.29 a | 23.95 ± 0.88 a | ||
| 3 | CK | 428.46 ± 6.37 b | 33.04 ± 2.38 b | 377.40 ± 4.49 b | 15.90 ± 0.73 b | |
| LT1 | 696.87 ± 4.48 a | 64.38 ± 3.52 a | 453.89 ± 9.73 a | 25.21 ± 0.43 a | ||
| LT2 | 707.64 ± 6.38 a | 68.89 ± 4.03 a | 462.29 ± 4.17 a | 24.46 ± 1.21 a | ||
| 6 | CK | 449.97 ± 12.54 c | 38.62 ± 3.22 c | 389.45 ± 4.80 b | 16.69 ± 1.34 c | |
| LT1 | 707.63 ± 6.86 b | 69.78 ± 2.61 b | 458.56 ± 3.54 a | 29.95 ± 0.20 a | ||
| LT2 | 738.35 ± 21.85 a | 77.34 ± 1.60 a | 469.92 ± 13.13 a | 25.81 ± 2.37 b | ||
| 9 | CK | 467.18 ± 3.32 c | 45.49 ± 0.93 c | 394.42 ± 3.23 c | 18.81 ± 0.62 c | |
| LT1 | 657.31 ± 11.66 b | 63.60 ± 5.23 b | 431.83 ± 4.07 b | 32.05 ± 1.45 a | ||
| LT2 | 709.94 ± 4.15 a | 75.41 ± 2.94 a | 464.77 ± 7.06 a | 26.84 ± 1.77 c | ||
| 12 | CK | 485.24 ± 6.99 c | 53.36 ± 3.62 c | 383.52 ± 2.05 c | 19.70 ± 1.75 c | |
| LT1 | 606.25 ± 7.09 b | 60.67 ± 0.86 b | 422.50 ± 8.76 b | 36.44 ± 2.05 a | ||
| LT2 | 688.75 ± 4.28 a | 71.78 ± 0.28 a | 455.01 ± 7.12 a | 29.27 ± 1.23 b | ||
| XM26 | 0 | CK | 381.17 ± 3.85 b | 23.38 ± 1.79 b | 342.65 ± 11.64 b | 17.22 ± 1.12 b |
| LT1 | 621.63 ± 27.92 a | 42.61 ± 2.08 a | 406.79 ± 4.08 a | 29.02 ± 1.00 a | ||
| LT2 | 621.63 ± 27.92 a | 42.61 ± 2.08 a | 406.79 ± 4.08 a | 29.02 ± 1.00 a | ||
| 3 | CK | 403.19 ± 2.20 c | 24.04 ± 1.48 b | 354.79 ± 2.79 b | 18.03 ± 1.43 b | |
| LT1 | 647.89 ± 9.95 b | 53.27 ± 3.80 a | 444.88 ± 8.44 a | 30.15 ± 0.85 a | ||
| LT2 | 666.77 ± 5.80 a | 55.96 ± 3.91 a | 452.60 ± 3.90 a | 30.01 ± 1.17 a | ||
| 6 | CK | 425.74 ± 4.09 c | 34.45 ± 2.50 c | 378.90 ± 13.43 c | 19.37 ± 0.89 c | |
| LT1 | 655.41 ± 5.07 b | 55.38 ± 2.13 b | 461.82 ± 9.74 b | 35.56 ± 1.20 a | ||
| LT2 | 686.45 ± 6.53 a | 60.33 ± 0.86 a | 481.57 ± 3.45 a | 32.01 ± 0.66 b | ||
| 9 | CK | 439.56 ± 6.94 c | 37.14 ± 2.77 c | 374.47 ± 10.30 c | 21.34 ± 1.80 c | |
| LT1 | 618.28 ± 8.20 b | 52.68 ± 0.91 b | 449.74 ± 1.25 b | 39.30 ± 1.41 a | ||
| LT2 | 663.57 ± 8.28 a | 61.90 ± 0.04 a | 477.37 ± 3.54 a | 32.24 ± 0.93 b | ||
| 12 | CK | 456.27 ± 2.08 c | 42.72 ± 1.82 c | 368.43 ± 3.31 c | 22.69 ± 1.03 c | |
| LT1 | 577.70 ± 2.79 b | 48.73 ± 0.45 b | 422.12 ± 3.69 b | 42.47 ± 2.10 a | ||
| LT2 | 646.29 ± 9.79 a | 55.90 ± 2.35 a | 464.57 ± 1.42 a | 35.24 ± 0.78 b |
| Variety | Days (d) | Treatment | Proline (μg g−1 FW) | Soluble Protein (mg g−1 FW) |
|---|---|---|---|---|
| YN19 | 0 | CK | 128.45 ± 6.63 b | 15.52 ± 0.08 b |
| LT1 | 143.90 ± 4.21 a | 26.06 ± 1.55 a | ||
| LT2 | 143.90 ± 4.21 a | 26.06 ± 1.55 a | ||
| 3 | CK | 129.78 ± 6.46 b | 17.15 ± 1.22 b | |
| LT1 | 144.59 ± 6.74 a | 28.30 ± 0.32 a | ||
| LT2 | 146.61 ± 4.81 a | 29.00 ± 1.62 a | ||
| 6 | CK | 141.36 ± 4.44 b | 19.11 ± 1.18 c | |
| LT1 | 147.37 ± 2.19 ab | 30.19 ± 1.73 b | ||
| LT2 | 154.82 ± 4.72 a | 36.23 ± 1.88 a | ||
| 9 | CK | 144.45 ± 3.84 c | 24.11 ± 1.73 c | |
| LT1 | 155.49 ± 1.91 b | 31.60 ± 2.35 b | ||
| LT2 | 169.02 ± 0.48 a | 37.74 ± 2.67 a | ||
| 12 | CK | 150.83 ± 4.93 c | 27.46 ± 2.08 c | |
| LT1 | 166.48 ± 6.67 b | 34.00 ± 3.98 b | ||
| LT2 | 188.39 ± 5.32 a | 41.21 ± 2.15 a | ||
| XM26 | 0 | CK | 127.21 ± 3.58 b | 11.83 ± 0.49 b |
| LT1 | 142.17 ± 0.37 a | 19.52 ± 2.44 a | ||
| LT2 | 142.17 ± 0.37 a | 19.52 ± 2.44 a | ||
| 3 | CK | 128.19 ± 4.24 b | 14.57 ± 2.62 b | |
| LT1 | 152.30 ± 4.37 a | 22.42 ± 0.81 a | ||
| LT2 | 154.31 ± 2.54 a | 23.01 ± 0.26 a | ||
| 6 | CK | 139.59 ± 5.68 b | 17.69 ± 2.01 b | |
| LT1 | 153.69 ± 5.39 a | 25.72 ± 2.01 a | ||
| LT2 | 156.62 ± 0.98 a | 28.43 ± 3.00 a | ||
| 9 | CK | 141.69 ± 7.60 b | 19.33 ± 1.46 c | |
| LT1 | 158.22 ± 4.56 a | 25.49 ± 0.96 b | ||
| LT2 | 166.51 ± 1.24 a | 32.74 ± 1.92 a | ||
| 12 | CK | 142.57 ± 4.35 c | 22.86 ± 3.35 c | |
| LT1 | 160.67 ± 7.70 b | 30.62 ± 0.45 b | ||
| LT2 | 174.72 ± 3.60 a | 36.59 ± 1.79 a |
| Variety | Treatment | Leaf Thickness (μm) | UE Thickness (μm) | LE Thickness (μm) | PT Thickness (μm) | ST Thickness (μm) | Tightness of the Blade Structure | Blade Structure Dredging Density |
|---|---|---|---|---|---|---|---|---|
| YN19 | CK | 190.63 ± 0.35 a | 15.23 ± 0.06 a | 14.50 ± 0.30 a | 55.53 ± 0.21 a | 44.63 ± 0.21 a | 0.29 ± 0.0006 a | 0.23 ± 0.0009 a |
| LT1 | 156.30 ± 2.51 c | 7.10 ± 0.10 c | 8.06 ± 0.15 c | 30.00 ± 0.44 c | 25.67 ± 0.25 c | 0.19 ± 0.0055 c | 0.16 ± 0.0022 c | |
| LT2 | 172.63 ± 1.55 b | 10.60 ± 0.10 b | 11.37 ± 0.25 b | 40.70 ± 0.92 b | 33.57 ± 0.15 b | 0.24 ± 0.0033 b | 0.19 ± 0.0017 b | |
| XM26 | CK | 179.00 ± 1.35 a | 13.73 ± 0.06 a | 12.60 ± 0.10 a | 48.90 ± 0.17 a | 37.40 ± 0.20 a | 0.27 ± 0.0029 a | 0.21 ± 0.0015 a |
| LT1 | 146.53 ± 1.86 c | 6.60 ± 0.10 c | 7.53 ± 0.15 c | 26.07 ± 0.42 c | 23.73 ± 0.15 c | 0.18 ± 0.0011 c | 0.16 ± 0.0031 c | |
| LT2 | 164.03 ± 1.44 b | 9.70 ± 0.10 b | 10.60 ± 0.20 b | 35.27 ± 0.42 b | 30.30 ± 0.46 b | 0.22 ± 0.0033 b | 0.18 ± 0.0012 b |
| Variety | Treatment | Number of Chloroplasts | Chloroplast Area (μm2) | Chloroplast Length/Width |
|---|---|---|---|---|
| YN19 | CK | 19.67 ± 2.08 a | 24.67 ± 1.53 a | 2.42 ± 0.02 a |
| LT1 | 7.00 ± 1.00 c | 11.67 ± 1.53 c | 1.65 ± 0.02 c | |
| LT2 | 13.67 ± 1.53 b | 16.33 ± 1.15 b | 1.91 ± 0.02 b | |
| XM26 | CK | 17.00 ± 1.73 a | 21.33 ± 1.53 a | 2.27 ± 0.02 a |
| LT1 | 6.33 ± 0.58 c | 9.67 ± 0.58 c | 1.51 ± 0.02 c | |
| LT2 | 12.33 ± 1.15 b | 14.00 ± 1.00 b | 1.84 ± 0.02 b |
| Variety | Treatment | Number of Grana | Number of Grana Lamellae | Grana Thickness (μm) |
|---|---|---|---|---|
| YN19 | CK | 21.67 ± 0.58 a | 20.67 ± 0.58 a | 0.25 ± 0.02 a |
| LT1 | 9.33 ± 1.53 c | 8.33 ± 1.53 c | 0.14 ± 0.02 c | |
| LT2 | 15.33 ± 1.53 b | 15.67 ± 1.53 b | 0.19 ± 0.02 b | |
| XM26 | CK | 19.33 ± 1.53 a | 18.67 ± 1.53 a | 0.21 ± 0.02 a |
| LT1 | 6.00 ± 1.00 c | 6.00 ± 1.00 c | 0.13 ± 0.02 c | |
| LT2 | 12.67 ± 1.53 b | 14.33 ± 1.53 b | 0.17 ± 0.02 b |
| Variety | Treatment | GNPS | TGW (g) | GYPS (g) | YLR (%) | YRR (%) |
|---|---|---|---|---|---|---|
| YN19 | CK | 44.33 ± 2.08 a | 47.49 ± 0.48 a | 2.68 ± 0.04 a | - | - |
| LT1 | 29.33 ± 1.53 c | 35.64 ± 0.46 c | 1.70 ± 0.02 c | 36.57 | - | |
| LT2 | 36.33 ± 2.31 b | 42.91 ± 0.96 b | 2.05 ± 0.03 b | 23.51 | 35.71 | |
| XM26 | CK | 48.00 ± 1.00 a | 46.21 ± 1.89 a | 2.75 ± 0.02 a | - | - |
| LT1 | 19.00 ± 0.00 c | 32.39 ± 0.52 c | 1.31 ± 0.06 c | 52.36 | - | |
| LT2 | 27.00 ± 0.00 b | 38.10 ± 0.53 b | 1.77 ± 0.04 b | 35.64 | 31.94 |
Disclaimer/Publisher’s Note: The statements, opinions and data contained in all publications are solely those of the individual author(s) and contributor(s) and not of MDPI and/or the editor(s). MDPI and/or the editor(s) disclaim responsibility for any injury to people or property resulting from any ideas, methods, instructions or products referred to in the content. |
© 2024 by the authors. Licensee MDPI, Basel, Switzerland. This article is an open access article distributed under the terms and conditions of the Creative Commons Attribution (CC BY) license (https://creativecommons.org/licenses/by/4.0/).
Share and Cite
Chen, X.; Weng, Y.; Chen, T.; Dai, W.; Tang, Z.; Cai, H.; Zheng, B.; Li, J. Spraying KH2PO4 Alleviates the Damage of Spring Low-Temperature Stress by Improving the Physiological Characteristics of Wheat Flag Leaves. Int. J. Mol. Sci. 2024, 25, 11542. https://doi.org/10.3390/ijms252111542
Chen X, Weng Y, Chen T, Dai W, Tang Z, Cai H, Zheng B, Li J. Spraying KH2PO4 Alleviates the Damage of Spring Low-Temperature Stress by Improving the Physiological Characteristics of Wheat Flag Leaves. International Journal of Molecular Sciences. 2024; 25(21):11542. https://doi.org/10.3390/ijms252111542
Chicago/Turabian StyleChen, Xiang, Ying Weng, Tiantian Chen, Wenci Dai, Zhiwei Tang, Hongmei Cai, Baoqiang Zheng, and Jincai Li. 2024. "Spraying KH2PO4 Alleviates the Damage of Spring Low-Temperature Stress by Improving the Physiological Characteristics of Wheat Flag Leaves" International Journal of Molecular Sciences 25, no. 21: 11542. https://doi.org/10.3390/ijms252111542
APA StyleChen, X., Weng, Y., Chen, T., Dai, W., Tang, Z., Cai, H., Zheng, B., & Li, J. (2024). Spraying KH2PO4 Alleviates the Damage of Spring Low-Temperature Stress by Improving the Physiological Characteristics of Wheat Flag Leaves. International Journal of Molecular Sciences, 25(21), 11542. https://doi.org/10.3390/ijms252111542
