Abstract
Peptoids have emerged as a useful alternative to peptides. However, N-acylated peptoids have occasionally undergone truncation at the terminal peptoid unit under acidic conditions. We previously reported on the mechanistic and electronic aspects of the acid-catalyzed truncation of N-acylated peptoids. To gain further insight, we systematically investigated the conformational and electronic effects of the terminal side chains of peptoids. The n→π* interaction, based on cis/trans-amide bond conformation, is considered to be one of the determining factors. In this study, it was demonstrated that both conformational and electronic factors contribute to this unusual truncation.
1. Introduction
Peptoids (N-substituted glycine oligomers) within the family of peptidomimetics have garnered increasing interests from researchers [1,2,3,4]. The absence of amide hydrogen in their backbone structure endows them with diverse structural and functional features, such as secondary structures [5], improved cell permeability [6], and resistance to proteolysis [7]. Over the past decades, the range and utility of peptoids have expanded to include numerous functions, such as asymmetric catalysis [8], molecular transport [9,10], nanomaterial properties [5,11], and disease diagnosis [12]. Peptoids are also gaining popularity in the field of therapeutics [13,14]. This wide range of applications highlights the interest among chemists and biologists in exploring the diverse potential of peptoids.
Edman degradation is widely used for the sequential degradation of polypeptides, utilizing the reaction with phenylisothiocyanate followed by treatment with trifluoroacetic acid. This iterative degradation method can also be successfully applied to peptoids [15]. Additionally, several reports have indicated that N-acetylated peptides with N-methylamino acid at the N-terminal position can be truncated under acidic conditions [16,17]. Similar truncation has been observed in N-acylated amino acid amides or peptides, demonstrating acyl group-dependent instability under acidic conditions [18]. In that study, it was shown that the lability of dipeptide is correlated with the Hammett σ constant of benzoyl substituents. Recently, a mild approach for the N-terminal degradation of peptoids, involving bromoacetylation followed by treatment with silver perchlorate, was reported [19].
As a method for the N-terminal degradation of peptoids, we previously reported the truncation of N-acylated peptoids under acidic conditions [20]. In this study, the electronic effects of acyl groups were thoroughly investigated to support the proposed truncation mechanism (Figure 1). The inclusion of strong electron-withdrawing functionalities, such as 4-nitrobenzoyl and trifluoroacetyl groups, was found to reduce the truncation effect compared to the introduction of electron-donating groups.
Figure 1.
Proposed mechanism for the N-terminal truncation of N-acetylated peptoid [20].
These results motivated us to explore the structural perturbation caused by N-alkyl side chains in the acid-mediated truncation of N-acylated peptoids. We also aimed to investigate whether the deletion of the N-terminal unit in peptoids is influenced by both the conformation and the electronic effects of the N-α branching side chain. In this study, we present a detailed systematic analysis of the role of N-terminal side chains in determining the unusual truncation of N-acylated peptoids.
2. Results and Discussion
In our previous studies, we reported that when the isopropyl group was present as a terminal side chain, the truncated products were the only ones observed [20]. The cis/trans-amide isomerism of peptoids is also known to be influenced by the incorporation of branched side chains with steric and stereoelectronic characteristics [21]. This result led us to hypothesize that the conformational effect of side chains plays a significant role in this peptoid truncation. To test this hypothesis, we examined other variants of the isopropyl group, including tert-butyl, 2-butyl, cyclohexyl, and cyclopentyl groups. Using the conventional submonomer strategy for peptoids synthesis, we synthesized several model peptoids containing these branched alkyl side chains to facilitate comparisons (Table 1). We found that peptoids (1A′–4A’) produced the truncated peptoid 6 quantitatively after treatment with 50% trifluoroacetic acid (TFA) for 1 h. Peptoid 5A′ was converted to the truncated peptoid 6 with a 93.4% yield after 1 h and a quantitative yield after 3 h. These experimental data (Supplementary Materials: Table S1 and Figures S1–S8) aligned well with our initial assumptions, clearly demonstrating that the conformational effects of branched side chains at the terminal units play a key role in this acid-catalyzed degradation.
Table 1.
TFA-assisted truncation of peptoids with N-branched alkyl side chains a.
To investigate the influence of chain length and sequence on truncation, we also treated peptoids of various chain lengths (4 mer–7 mer) containing an N-cyclohexyl group as the terminal side chain under acidic conditions (Table 2). Three peptoids (entries 1–3) gave the corresponding truncated peptoids as the only products after a 1 h reaction in both 50% and 92% TFA. The degradation of the longer peptoid 9A′ was not complete after 1 h in either TFA solution. However, it afforded the truncated product in quantitative yield after 3 h under both conditions. Additionally, peptoid 10A′ with a different sequence produced about 74% and 100% of the truncated peptoid 11 after treatment with both TFA cocktails for 1 h and 3 h, respectively. These experiments (Table S2 and Figures S9–S19) demonstrated that the truncation of N-acetylated peptoids with a branched cyclohexyl side chain is not significantly dependent on the chain length or sequence of the peptoids.
Table 2.
TFA-assisted truncation of peptoids with Ncyh unit.
To determine whether the unusual truncation reaction also occurs in the solution phase, we prepared peptoid 4A′ on TentaGel MB RAM resin, buffered by photo-cleavable ANP linker (Scheme S1 and Figures S20–S21) [22]. The N-acetylated linear peptoid was then cleaved from the resin by UV irradiation in a MeOH/H2O (1/1) mixture for 3 h, yielding the pure non-truncated sequence (4A), which was collected from HPLC and then lyophilized. The compound (4A) was subsequently treated with a 92% TFA cocktail mixture in solution phase, resulting in the quantitative formation of the truncated peptoid (6). In contrast, treating the pure N-acetylated peptoid (4A) with a different acid cocktail of HCl (12 N)/MeOH (1/1) for 1 h yielded only 37.8% of the truncated peptoid.
To elucidate the influence of N-aryl side chains on acid-assisted truncation of N-acetylated peptoids, we synthesized several peptoids with N-aryl groups at the terminal position (Table 3). We employed four aniline derivatives—aniline, p-anisidine, ethyl 4-aminobenzoate, and 4-nitroaniline—as terminal side chains. Due to their lower reactivity, the aromatic amines were first incubated with the resins for 12 s in a microwave, repeated three times, followed by shaking the reaction mixture at 40 °C for 4 h. Three of the amines, except 4-nitroaniline, which did not react even at elevated temperatures, underwent nucleophilic substitution to afford the corresponding linear peptoids containing a terminal N-aryl side chain. The unprotected terminal secondary amines of these peptoids were then capped with acetic anhydride (50 eq.), N,N-diisopropylethylamine (DIPEA) (50 eq.), and 4-dimethylaminopyridine (DMAP) (10 eq.) at 35 °C overnight. This treatment was repeated to achieve the complete conversion of the unprotected terminal amines to N-acetylated peptoids (12A′ and 13A′). For the peptoid containing 4-aminoethylbenzoate, the resins were treated twice with acetyl chloride (50 eq.) and DIPEA (50 eq.) in THF 35 °C overnight, yielding the N-acetylated peptoid (14A′).
Table 3.
TFA-assisted truncation of peptoids with N-aryl side chains.
The N-acetylated peptoids (12A′–14A′) were treated with a cleavage cocktail of 50% or 92% TFA for both 1 h and 3 h. As expected, the degradation was significantly slowed by the electronic effects of the aryl side chains. Additionally, the differences in truncation efficiency corresponded with the pKa values of the conjugate acids of the aryl amines. Specifically, in the case of p-anisidine (entries 3–4), which contains an electron-donating group, the deletion sequence was produced slightly more than with aniline. Conversely, in the case of ethyl 4-aminobenzoate (entries 5–6), which contains an electron-withdrawing group, the corresponding deletion sequence was not detected. These results (Table S3 and Figures S22–S29) clearly indicate that the electron availability on the amide nitrogen is a key factor in this truncation, which is consistent with the proposed mechanism.
We also synthesized several peptoids with different chain lengths (4 mer–7 mer) and sequences, each containing an N-aryl side chain at the terminal unit, to determine whether these factors had any adverse effect on truncation (Table 4). In all cases (entries 1–4), the N-acetylated peptoids yielded the corresponding deletion products (11, 15B–17B) (Table S4 and Figures S30–S38). Based on this observation, we can infer that chain length and sequence identity have little to no effect on the acid-catalyzed truncation.
Table 4.
TFA-assisted truncation of peptoids with Nans unit.
Finally, to compare the effects of N-branched and N-unbranched alkyl side chains on relative truncation reactivity, we selected several alkyl side chains, including 2-butyl, isobutyl, n-butyl, and 1-phenylethyl groups, as terminal N-alkyl substituents. As expected, we observed the incomplete truncation of the peptoids (18A′ and 19A′) containing N-unbranched alkyl side chains, even after extended treatment with the acid mixture. In contrast, peptoid 3A′, with a 2-butyl group, was completely truncated after 1 h (Table 5). The 1-phenylethyl group is noteworthy in peptoid chemistry due to its chiral nature, which can influence peptoid secondary structures. We observed that peptoid 20A′ was completely degradaded after treatment with 92% TFA for 3 h. It exhibited enhanced reactivity compared to the other peptoids (18A′ and 19A′) with N-unbranched side chains, but slightly lower reactivity than peptoid 3A′ with an N-branched side chain (Table S5 and Figures S39–S47).
Table 5.
Comparison of N-branched and N-unbranched alkyl side chains on TFA-assisted truncation of peptoids.
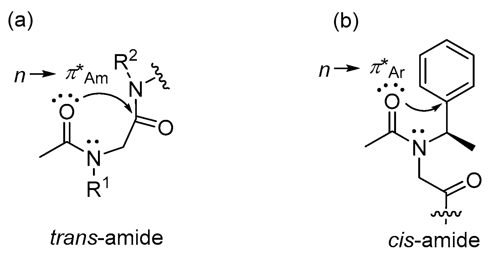
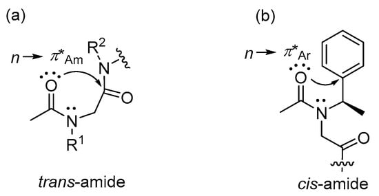
These results may be influenced by several factors, including electronic and conformational effects. In particular, the cis/trans-amide isomerism of peptoid is likely critical in acid-catalyzed truncation. This isomerism may be regulated by n→π*Am and n→π*Ar interactions, where n represents a nonbonding orbital of amide oxygen, and π*Am and π*Ar are π* antibonding orbitals of the amide carbon and the aromatic ring at the side chain, respectively (Figure 2) [23]. The typical secondary structures of peptoids can be controlled by selecting appropriate side chains based on cis/trans-amide isomerism [24]. We hypothesized, based on the reaction mechanism pathway, that the n→π*Am interaction facilitates the formation of a five-membered intermediate, leading to sequence deletion. Our study has shown that the trans-amide conformation favors peptoid truncation. Branched side chains as bulky electron-donating groups might enhance the n→π*Am interaction in the trans-amide conformation due to both electronic and conformational effects. In the case of the 1-phenylethyl group, cis-amide conformation may occur via the n→π*Ar interaction, causing the reaction to proceed more slowly due to the electron-withdrawing effect of the aromatic ring.
Figure 2.
Schematic representation of (a) n→π*Am and (b) n→π*Ar interactions in mechanistic pathway.
3. Materials and Methods
Chemical reagents were obtained from commercial suppliers and used without further purification unless otherwise specified. Rink amide AM (capacity: 0.37 mmol/g) and TentaGel MB RAM (capacity: 0.41 mmol/g) resins were purchased from GL Biochem and RAPP polymere, respectively. Peptoid synthesis was carried out using standard glass peptide synthesis vessels in an incubator shaker (JEIO TECH: Daejeon, Korea, model: SI-600R) or in a microwave oven (Daewoo: Seoul, Korea, model: KR-B200R) at a power of 100 W. Reverse-phase HPLC experiments were conducted using an ACE 5 C18-HL (250 mm × 4.6 mm) reverse phase column on a Shimadzu binary HPLC system equipped with a UV-visible detector set to 220 nm. MALDI-TOF MS was performed on an Axima Performance mass spectrometer (Shimadzu: Tokyo, Japan) using α-cyano-4-hydroxycinnamic acid as the matrix at the National Research Facilities and Equipment Center (NanoBio·Energy Materials Center) at Ewha Womans University.
3.1. General Procedure for Peptoid Synthesis
Peptoids were synthesized on Rink amide AM resins using the conventional sub-monomer strategy in 25 mL standard glass peptide synthesis vessels [2]. The resins were swollen in DMF at 25 °C for 1 h. After draining DMF, the beads were incubated with 20% piperidine in DMF for 1 h and thoroughly washed with DMF (8 × 3 mL). The beads were then treated with 2 M bromoacetic acid (2 mL) and 3.2 M DIC (2 mL) and irradiated in a microwave oven (100 W) for three 12 s intervals, with shaking for 30 s after each pulse. After thorough washing with DMF (8 × 3 mL), the beads were treated with primary amines (2 M, 2 mL) in DMF and irradiated in the microwave for three 12 s intervals, with shaking for 30 s after each pulse. This process of bromoacetylation followed by displacement was repeated to achieve the desired peptoid chain length.
For branched amines, the beads were treated with primary branched amines (2 M, 2 mL) in DMF and irradiated in the microwave (100 W) for three 12 s intervals, with shaking for 30 s after each pulse, followed by shaking the resins for 30 min at 25 °C in the incubator shaker.
For aromatic amines, the beads were treated with primary aromatic amines (2 M, 2 mL) in DMF in the microwave (100 W) for three 12 s intervals, with shaking for 30 s after each pulse, and then the resins were shaken 4 h at 40 °C in the incubator shaker.
3.2. General Procedure for Acetylation of N-Terminal of Peptoids
For the synthesis of N-acetylated peptoids, the resins containing the desired peptoid sequences were treated with acetic anhydride (50 eq.), DIPEA (50 eq.), and 4-dimethylaminopyridine (DMAP) (10 eq.) in DMF (2 mL) and shaken at 35 °C overnight. After this treatment, the resins were washed with DMF (8 × 3 mL) and DCM (8 × 3 mL). For peptoids with aromatic side chains at the terminal position, this treatment was repeated to ensure the complete conversion of unprotected terminal amines to N-acetylated peptoids. In the case of the peptoid containing 4-aminoethylbenzoate, the resins were treated twice with acetyl chloride (50 eq.) and DIPEA (50 eq.) in THF 35 °C overnight.
3.3. General Procedure for TFA-Assisted Cleavage and Reverse-Phase HPLC
The peptoid-tethered resin, thoroughly washed with DCM, was suspended in a cleavage cocktail (Condition A: 50% TFA/3% TIS/5% H2O/42% DCM; Condition B: 92% TFA/3% TIS/5% H2O) for 1–3 h. After removing the cleavage solution by blowing with N2 gas, 50% aq. acetonitrile containing 0.05% TFA was added. The mixture was filtered through a 0.2 μm PTFE filter tip and freeze-dried. It was then redissolved in 50% aq. acetonitrile for HPLC and MALDI-TOF analyses. Reverse-phase HPLC experiments were conducted using a C18 reverse-phase column on a Shimadzu binary HPLC system equipped with a UV-visible detector set to 220 nm. The typical flow rate for analytical HPLC was 1 mL/min, employing a gradient elution of water/acetonitrile from 20% ACN/H2O to 80% ACN/H2O with 0.05% TFA over 40 min. Relative yields were determined by HPLC analysis based on the integration of each peak.
4. Conclusions
In summary, we systematically investigated the conformational and electronic effects of terminal side chains on the acid-catalyzed truncation of N-acylated peptoids. The experimental data conclusively demonstrated that both electronic and conformational effects of the terminal side chains are critical for truncation. The n→π* interaction plays a vital role in the proposed truncation mechanism. The electron-donating and steric effects of bulky branched side chains may facilitate the n→π*Am interaction in the trans-amide conformation, thereby enhancing the formation of oxazolinium ion intermediate in the truncation mechanism. Conversely, electron-withdrawing N-aryl side chains significantly retard the truncation process. Along with our previous investigation into the electronic effects of terminal acyl groups [20], this study is crucial for understanding peptoid conformation and the unusual truncation behavior of N-acylated peptoids.
Supplementary Materials
The following supporting information can be downloaded at https://www.mdpi.com/article/10.3390/ijms252111390/s1.
Author Contributions
Conceptualization, Y.-U.K.; methodology, R.P.; validation, R.P.; formal analysis, R.P. and Y.-U.K.; investigation, R.P.; data curation, R.P.; writing—original draft preparation, Y.-U.K.; writing—review and editing, Y.-U.K.; supervision, Y.-U.K.; project administration, Y.-U.K.; funding acquisition, Y.-U.K. All authors have read and agreed to the published version of the manuscript.
Funding
This work was supported by the National Research Foundation of Korea (NRF) grant funded by the Korean government (MSIT) (2022R1F1A1076193).
Institutional Review Board Statement
Not applicable.
Informed Consent Statement
Not applicable.
Data Availability Statement
The data are included in the article or the Supplementary Material. Additional data from this study are available upon request from the authors.
Conflicts of Interest
The authors declare no conflicts of interest.
References
- Zuckermann, R.N.; Kerr, J.M.; Kent, S.B.H.; Moos, W.H. Efficient Method for the Preparation of Peptoids [Oligo(N-substituted glycines)] by Submonomer Solid-Phase Synthesis. J. Am. Chem. Soc. 1992, 114, 10646–10647. [Google Scholar] [CrossRef]
- Olivos, H.J.; Alluri, P.G.; Reddy, M.M.; Salony, D.; Kodadek, T. Microwave-Assisted Solid-Phase Synthesis of Peptoids. Org. Lett. 2002, 4, 4057–4059. [Google Scholar] [CrossRef]
- Culf, A.S.; Ouellette, R.J. Solid-Phase Synthesis of N-Substituted Glycine Oligomers (α-Peptoids) and Derivatives. Molecules 2010, 15, 5282–5335. [Google Scholar] [CrossRef] [PubMed]
- Clapperton, A.M.; Babi, J.; Tran, H. A Field Guide to Optimizing Peptoid Synthesis. ACS Polym. Au 2022, 2, 417–429. [Google Scholar] [CrossRef]
- Mannige, R.V.; Haxton, T.K.; Proulx, C.; Robertson, E.J.; Battigelli, A.; Butterfoss, G.L.; Zuckermann, R.N.; Whitelam, S. Peptoid Nanosheets Exhibit a New Secondary-Structure Motif. Nature 2015, 526, 415–420. [Google Scholar] [CrossRef]
- Kwon, Y.U.; Kodadek, T. Quantitative Evaluation of the Relative Cell Permeability of Peptoids and Peptides. J. Am. Chem. Soc. 2007, 129, 1508–1509. [Google Scholar] [CrossRef] [PubMed]
- Miller, S.M.; Simmon, R.J.; Ng, S.; Zuckermann, R.N.; Kerr, J.M.; Moos, W.H. Comparison of the Proteolytic Susceptibilities of Homologous L-Amino Acid, D-Amino Acid, and N-Substituted Glycine Peptide and Peptoid Oligomers. Drug Dev. Res. 1995, 35, 20–32. [Google Scholar] [CrossRef]
- Schettini, R.; Riccardis, F.D.; Sala, G.D.; Izzo, I. Enantioselective Alkylation of Amino Acid Derivatives Promoted by Cyclic Peptoids under Phase-Transfer Conditions. J. Org. Chem. 2016, 81, 2494–2505. [Google Scholar] [CrossRef]
- Wender, P.A.; Mitchell, D.J.; Pattabiraman, K.; Pelkey, E.T.; Steinman, L.; Rothbard, J.B. The Design, Synthesis, and Evaluation of Molecules that Enable or Enhance Cellular Uptake: Peptoid Molecular Transporters. Proc. Natl. Acad. Sci. USA 2000, 97, 13003–13008. [Google Scholar] [CrossRef]
- Rosalba, T.P.F.; Matos, G.D.R.; Salvador, C.E.M.; Andrade, C.K.Z. Rational Design and Multicomponent Synthesis of Lipid–Peptoid Nanocomposites towards a Customized Drug Delivery System Assembly. Molecules 2023, 28, 5725. [Google Scholar] [CrossRef]
- Robertson, E.J.; Battigelli, A.; Proulx, C.; Mannige, R.V.; Haxton, T.K.; Yun, L.; Whitelam, S.; Zuckermann, R.N. Design, Synthesis, Assembly, and Engineering of Peptoid Nanosheets. Acc. Chem. Res. 2016, 49, 379–389. [Google Scholar] [CrossRef]
- Giorgio, A.; Del Gatto, A.; Pennacchio, S.; Salviano, M.; Zaccarro, L. Peptoids: Smart and Emerging Candidates for the Diagnosis of Cancer, Neurological and Autoimmune Disorders. Int. J. Mol. Sci. 2023, 24, 16333. [Google Scholar] [CrossRef]
- Bolt, H.L.; Eggimann, G.A.; Jahoda, C.A.B.; Zuckermann, R.N.; Sharples, G.J.; Cobb, S.L. Exploring the Links between Peptoid Antibacterial Activity and Toxicity. MedChemComm 2017, 8, 886–896. [Google Scholar] [CrossRef]
- Molchanova, N.; Hansen, P.R.; Franzyk, H. Advances in Development of Antimicrobial Peptidomimetics as Potential Drugs. Molecules 2017, 22, 1430. [Google Scholar] [CrossRef]
- Sun, J.; Zuckermann, R.N. Peptoid Polymers: A Highly Designable Bioinspired Material. ACS Nano 2013, 7, 4715–4732. [Google Scholar] [CrossRef]
- Creighton, C.J.; Romoff, T.T.; Bu, J.H.; Goodman, M. Mechanistic Studies of an Unusual Amide Bond Scission. J. Am. Chem. Soc. 1999, 121, 6786–6791. [Google Scholar] [CrossRef]
- Fang, W.J.; Bennett, M.A.; Aldrich, J.V. Deletion of Ac-NMePhe1 from [NMePhe1]arodyn under Acidic Conditions, Part 2: Effects of Cleavage Conditions and N-Terminal Functionality. Biopolymers 2011, 96, 97–102. [Google Scholar] [CrossRef]
- Samaritoni, J.G.; Copes, A.T.; Crews, D.K.; Glos, C.; Thompson, A.L.; Wilson, C.; O’Donnell, M.J.; Scott, W.L. Unexpected Hydrolytic Instability of N-Acylated Amino Acid Amides and Peptides. J. Org. Chem. 2014, 79, 3140–3151. [Google Scholar] [CrossRef]
- Proulx, C.; Noё, F.; Yoo, S.; Connolly, M.D.; Zuckermann, R.N. On-Resin N-Terminal Peptoid Degradation: Toward Mild Sequencing Conditions. Biopolymers 2016, 106, 726–736. [Google Scholar] [CrossRef] [PubMed]
- Kim, S.; Biswas, G.; Park, S.; Kim, A.; Park, H.; Park, E.; Kim, J.; Kwon, Y.U. Unusual truncation of N-acylated peptoids under acidic conditions. Org. Biomol. Chem. 2014, 12, 5222–5226. [Google Scholar] [CrossRef] [PubMed]
- Kalita, D.; Sahariah, B.; Mookerjee, S.P.; Sarma, B.K. Strategies to Control the Cis-Trans Isomerization of Peptoid Amide Bonds. Chem. Asian J. 2022, 17, e202200149. [Google Scholar] [CrossRef]
- Li, H.; Hah, J.M.; Lawrence, D.S. Light-Mediated Liberation of Enzymatic Activity: “Small Molecule” Caged Protein Equivalents. J. Am. Chem. Soc. 2008, 130, 10474–10475. [Google Scholar] [CrossRef][Green Version]
- Gorske, B.C.; Bastian, B.L.; Geske, G.D.; Blackwell, H.E. Local and Tunable n→π* Interactions Regulate Amide Isomerism in the Peptoid Backbone. J. Am. Chem. Soc. 2007, 129, 8928–8929. [Google Scholar] [CrossRef]
- Gorske, B.C.; Stringer, J.R.; Bastian, B.L.; Fowler, S.A.; Blackwell, H.E. New Strategies for the Design of Folded Peptoids Revealed by a Survey of Noncovalent Interactions in Model Systems. J. Am. Chem. Soc. 2009, 131, 16555–16567. [Google Scholar] [CrossRef]
Disclaimer/Publisher’s Note: The statements, opinions and data contained in all publications are solely those of the individual author(s) and contributor(s) and not of MDPI and/or the editor(s). MDPI and/or the editor(s) disclaim responsibility for any injury to people or property resulting from any ideas, methods, instructions or products referred to in the content. |
© 2024 by the authors. Licensee MDPI, Basel, Switzerland. This article is an open access article distributed under the terms and conditions of the Creative Commons Attribution (CC BY) license (https://creativecommons.org/licenses/by/4.0/).






