The Degradation of Absorbable Surgical Threads in Body Fluids: Insights from Infrared Spectroscopy Studies
Abstract
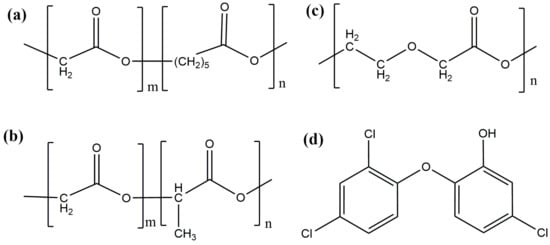
1. Introduction
2. Results and Discussion
2.1. Experimental and Simulated Spectra of Surgical Thread Biopolymer Band Assignments
2.2. Principal Component Analysis
2.3. Mechanisms and Spectral Analysis of Surgical Thread Degradation
2.3.1. Sterile Environment
2.3.2. Bacterially Contaminated Environment
2.3.3. Identification of Degradation Products
2.4. Mechanical Strength Evaluation of Surgical Threads
2.5. Morphological Evaluation of Surgical Threads
2.6. Thermal Stability of PDS Surgical Threads
3. Materials and Methods
3.1. Materials
3.2. Methods
3.2.1. Fourier-Transform Infrared Spectroscopy (FTIR)
3.2.2. Principal Component Analysis (PCA)
3.2.3. Density Functional Theory (DFT) Calculations
3.2.4. Mechanical Strength Testing
3.2.5. Differential Scanning Calorimetry (DSC)
3.2.6. Scanning Electron Microscopy (SEM)
4. Conclusions
Supplementary Materials
Author Contributions
Funding
Institutional Review Board Statement
Informed Consent Statement
Data Availability Statement
Acknowledgments
Conflicts of Interest
References
- Schneider, L.A.; Korber, A.; Grabbe, S.; Dissemond, J. Influence of pH on wound-healing: A new perspective for wound-therapy? Arch. Dermatol. Res. 2007, 298, 413–420. [Google Scholar] [CrossRef] [PubMed]
- Adanur, S. Wellington Sears Handbook of Industrial Textiles, 1st ed.; CRC Press: Boca Raton, FL, USA, 1995; 832p. [Google Scholar]
- Kim, J.C.; Lee, Y.K.; Lim, B.S.; Rhee, S.H.; Yang, H.C. Comparison of tensile and knot security properties of surgical threads. J. Mater. Sci.-Mater. Med. 2007, 18, 2363–2369. [Google Scholar] [CrossRef] [PubMed]
- Nobile, L.; Checchi, L.; Monaco, G. Experimental analysis of tensile properties of some suturing materials. J. Mater. Sci.-Mater. Med. 1997, 8, 53–56. [Google Scholar] [CrossRef] [PubMed]
- Dennis, C.; Sethu, S.; Nayak, S.; Mohan, L.; Morsi, Y.; Manivasagam, G. Suture materials—Current and emerging trends. J. Biomed. Mater. Res. A 2016, 104, 1544–1559. [Google Scholar] [CrossRef]
- Chu, C.C. Wound Closure Biomaterials and Devices; Chu, C.C., von Fraunhofer, J.A., Greisler, H.P., Eds.; CRC Press: Boca Raton, FL, USA, 2018; 416p. [Google Scholar]
- Vaid, R.; Pasquinelli, M.A.; King, M.W. Bioresorbable Polymers for Surgical Suture Applications, in Encyclopedia of Renewable and Sustainable Materials, 1st ed.; Choudhury, I.A., Hashmi, S., Eds.; Elsevier Science: Amsterdam, The Netherlands, 2020; pp. 1–17. [Google Scholar]
- D’avila Carvalho Erbetta, C. Synthesis and Characterization of Poly (d,l-Lactide-co-Glycolide) Copolymer. J. Biomater. Nanobiotechnol. 2012, 3, 208–225. [Google Scholar] [CrossRef]
- Blessy, J.; Anne, G.; Sreeraj, G.; Nandakumar, K.; Sabu, T. Polymer suture for simultaneous wound healing and drug delivery—A review. Int. J. Pharm. 2017, 524, 454–466. [Google Scholar]
- Chu, C.C. Materials for Absorbable and Nonabsorbable Surgical Threads, in Biotextiles as Medical Implants; King, M.W., Gupta, B.S., Guidoin, R., Eds.; Woodhead Publishing: Cambridge, UK, 2013; pp. 275–334. [Google Scholar]
- Chellamani, K.P.; Veerasubramanian, D.; Vignesh Balaji, R.S. Surgical Sutures: An overview. J. Acad. Ind. Res. 2013, 1, 778–782. [Google Scholar]
- Qin, Y. (Ed.) Surgical Sutures, in Medical Textile Materials; Woodhead Publishing: Cambridge, UK, 2016; pp. 123–132. [Google Scholar]
- Vert, M. Degradable and bioresorbable polymers in surgery and in pharmacology: Beliefs and facts. J. Mater. Sci. Mater. Med. 2009, 20, 437–446. [Google Scholar] [CrossRef]
- Woodruff, M.A.; Hutmacher, D.W. The return of a forgotten polymer—Polycaprolactone in the 21st century. Prog. Polym. Sci. 2010, 35, 1217–1256. [Google Scholar] [CrossRef]
- Ginde, R.; Gupta, R. In vitro chemical degradation of poly(glycolicacid) pellets and fibers. J. Appl. Polym. Sci. 1987, 33, 2411–2429. [Google Scholar] [CrossRef]
- Pillai, C.K.S.; Sharma, C.P. Review Paper: Absorbable Polymeric Surgical Sutures: Chemistry, Production, Properties, Biodegradability, and Performance. J. Biomater. Appl. 2010, 25, 291–366. [Google Scholar] [CrossRef] [PubMed]
- Wang, X.L.; Yang, K.K.; Wang, Y.Z. Properties of starch blends with biodegradable polymers. J. Macromol. Sci. Part C Polym. Rev. 2003, 43, 385–409. [Google Scholar] [CrossRef]
- Albertsson, A.C. Degradable polymers. J. Macromol. Sci. Part A. Pure Appl. Chem. 1993, A30, 757–765. [Google Scholar] [CrossRef]
- Holland, S.J.; Tighe, B.J. Biodegradable polymers. Adv. Pharm. Sci. 1992, 6, 101–164. [Google Scholar]
- Chen, G. Degradation Behavior of Aliphatic Biodegradable Polyester; Society of Plastics Engineers: Danbury, CT, USA, 2010; pp. 1–2. [Google Scholar]
- Mainil-Varlet, P.; Curtis, R.; Gogolewski, S. Effect of in vivo and in vitro degradation on molecular and mechanical properties of various low-molecular-weight polylactides. J. Biomed. Mater. Res. 1997, 36, 360–380. [Google Scholar] [CrossRef]
- Agrawal, C.M.; Athanasiou, K.A. Technique to control pH in vicinity of biodegrading PLA-PGA implants. J. Biomed. Mater. Res. Appl. Biomater. 1997, 38, 105–114. [Google Scholar] [CrossRef]
- Malin, M.; Hiljanen-Vainio, M.; Karjalainen, T.; Seppälä, J. Biodegradable lactone copolymers. II. Hydrolytic study of e-caprolactone and lactide copolymers. J. Appl. Polym. Sci. 1996, 59, 1289–1298. [Google Scholar] [CrossRef]
- Tracy, M.A.; Ward, K.L.; Firouzabadian, L.; Wang, Y.; Dong, N.; Qian, R.; Zhang, Y. Factors affecting the degradation rate of poly(lactide-co-glycolide) microspheres in vivo and in vitro. Biomaterials 1999, 20, 1057–1062. [Google Scholar] [CrossRef]
- Birnbaum, D.T.; Brannon-Peppas, L. Molecular weight distribution during degradation and release of PLGA nanoparticles containing epirubicin HCl. J. Biomater. Sci. Polym. Ed. 2003, 14, 87–102. [Google Scholar] [CrossRef]
- Dunn, A.S.; Campbell, P.G.; Marra, K.G. The influence of polymer blend composition on the degradation of polymer/hydroxyapatite biomaterials. J. Mater. Sci. Mater. Med. 2001, 12, 673–677. [Google Scholar] [CrossRef]
- Lu, L.; Garcia, C.A.; Mikos, A.G. In vitro degradation of thin poly(DL-lactic-co-glycolic acid) films. J. Biomed. Mater. Res. 1999, 46, 236–244. [Google Scholar] [CrossRef]
- Zong, X.-H.; Wang, Z.-G.; Hsiao, B.S.; Chu, B. Structure and morphology changes in absorbable poly(glycolide) and poly(glycolide-co-lactide) during in vitro degradation. Macromolecules 1999, 32, 8107–8114. [Google Scholar] [CrossRef]
- Göpferich, A. Mechanisms of polymer degradation and erosion. Biomaterials 1996, 17, 103–128. [Google Scholar] [CrossRef] [PubMed]
- Li, S. Hydrolytic degradation characteristics of aliphatic polyesters derived from lactic and glycolic acids. J. Biomed. Mater. Res. Appl. Biomater. 1999, 48, 342–353. [Google Scholar] [CrossRef]
- Sriromreun, P.; Petchsuk, A.; Opaprakasit, M.; Opaprakasit, P. Standard methods for characterizations of structure and hydrolytic degradation of aliphatic/aromatic copolyesters. Polym. Deg. Stab. 2013, 98, 169–176. [Google Scholar] [CrossRef]
- Sun, L.; Wanasekara, N.; Chalivendra, V.; Calvert, P. Nano-Mechanical Studies on Polyglactin Sutures Subjected to In Vitro Hydrolytic and Enzymatic Degradation. J. Nanosci. Nanotechnol. 2015, 15, 93–99. [Google Scholar] [CrossRef]
- Loskot, J.; Jezbera, D.; Bezrouk, A.; Doležal, R.; Andrýs, R.; Francová, V.; Miškář, D.; Fučíková, A.M. Raman Spectroscopy as a NovelMethod for the Characterization of PolydioxanoneMedical Stents Biodegradation. Materials 2021, 14, 5462–5478. [Google Scholar] [CrossRef]
- Freudenberg, S.; Rewerka, S.; Kaessa, M.; Weissb, C.; Dorn-Beineckec, A.; Posta, S. Biodegradation of Absorbable Sutures in Body Fluids and pH Buffers. Eur. Surg. Res. 2004, 36, 376–385. [Google Scholar] [CrossRef]
- Niculescu, M.; Antoniac, A.; Vasile, E.; Semenescu, A.; Trante, O.; Sohaciu, M.; Musetescu, A. Evaluation of Biodegradability of Surgical Synthetic Absorbable Suture Materials: An In Vitro Study. Mater. Plast. 2016, 53, 642–645. [Google Scholar]
- Gierek, M.; Merkel, K.; Ochała-Gierek, G.; Niemiec, P.; Szyluk, K.; Kuśnierz, K. Which Suture to Choose in Hepato-Pancreatic-Biliary Surgery? Assessment of the Influence of Pancreatic Juice and Bile on the Resistance of Suturing Materials—In Vitro Research. Biomedicines 2022, 10, 1053. [Google Scholar] [CrossRef]
- Andrianello, S.; Pea, A.; Pulvirenti, A.; Allegrini, V.; Marchegiani, G.; Malleo, G.; Butturini, G.; Salvia, R.; Bassi, C. Pancreaticojejunostomy after pancreaticoduodenectomy: Suture material and incidence of post-operative pancreatic fistula. Pancreatology 2016, 16, 138–141. [Google Scholar] [CrossRef] [PubMed]
- Harnoss, J.C.; Ulrich, A.B.; Harnoss, J.M.; Diener, M.K.; Büchler, M.W.; Welsch, T. Use and results of consensus definitions in pancreatic surgery: A systematic review. Surgery 2014, 155, 47–57. [Google Scholar] [CrossRef] [PubMed]
- Tomimaru, Y.; Noguchi, K.; Noura, S.; Imamura, H.; Iwazawa, T.; Dono, K. Factors affecting healing time of post-operative pancreatic fistula in patients undergoing pancreaticoduodenectomy. Mol. Clin. Oncol. 2019, 10, 435–440. [Google Scholar] [PubMed]
- Belyaev, O.; Rosenkranz, S.; Munding, J.; Herzog, T.; Chromik, A.M.; Tannapfel, A.; Uhl, W. Quantitative assessment and determinants of suture-holding capacity of human pancreas. J. Surg. Res. 2013, 184, 807–812. [Google Scholar] [CrossRef]
- Kleespies, A.; Albertsmeier, M.; Obeidat, F.; Seeliger, H.; Jauch, K.W.; Bruns, C.J. The challenge of pancreatic anastomosis. Langenbecks. Arch. Surg. 2008, 393, 459–471. [Google Scholar] [CrossRef]
- Buchs, N.C.; Gervaz, P.; Secic, M.; Bucher, P.; Mugnier-Konrad, B.; Morel, P. Incidence, consequences, and risk factors for anastomotic dehiscence after colorectal surgery: A prospective monocentric study. Int. J. Color. Dis. 2008, 23, 265–270. [Google Scholar] [CrossRef]
- Penninga, L.; Svendsen, L.B. Pancreas-preserving total duodenectomy: A 10-year experience. J. Hepatobiliary Pancreat. Sci. 2011, 18, 717–723. [Google Scholar] [CrossRef]
- Hashimoto, Y.; Traverso, L.W. Pancreatic anastomotic failure rate after pancreaticoduodenectomy decreases with microsurgery. J. Am. Coll. Surg. 2010, 211, 510–521. [Google Scholar] [CrossRef]
- Kirihara, Y.; Takahashi, N.; Hashimoto, Y.; Sclabas, G.M.; Khan, S.; Moriya, T.; Sakagami, J.; Huebner, M.; Sarr, M.G.; Farnell, M.B. Prediction of pancreatic anastomotic failure after pancreatoduodenectomy: The use of preoperative, quantitative computed tomography to measure remnant pancreatic volume and body composition. Ann. Surg. 2013, 257, 512–519. [Google Scholar] [CrossRef]
- El Nakeeb, A.; Salah, T.; Sultan, A.; El Hemaly, M.; Askr, W.; Ezzat, H.; Hamdy, E.; Atef, E.; El Hanafy, E.; El-Geidie, A.; et al. Pancreatic Anastomotic Leakage after Pancreaticoduodenectomy. Risk factors, Clinical predictors, and Management (Single Center Experience). World J. Surg. 2013, 37, 1405–1418. [Google Scholar] [CrossRef]
- Tian, F.; Appert, H.E.; Howard, J.M. The disintegration of absorbable suture materials on exposure to human digestive juices: An update. Am. Surg. 1994, 60, 287–291. [Google Scholar] [PubMed]
- Kearney, C.M.; Buckley, C.T.; Jenner, F.; Moissonnier, P.; Brama, P.A. Elasticity and breaking strength of synthetic suture materials incubated in various equine physiological and pathological solutions. Equine Vet. J. 2014, 46, 494–498. [Google Scholar] [CrossRef] [PubMed]
- Andrianello, S.; Marchegiani, G.; Malleo, G.; Allegrini, V.; Pulvirenti, A.; Giardino, A.; Butturini, G.; Girelli, R.; Salvia, R.; Bassi, C. Polyester sutures for pancreaticojejunostomy protect against post-operative pancreatic fistula: A case-control, risk-adjusted analysis. HPB 2018, 20, 977–983. [Google Scholar] [CrossRef]
- Merkel, K.; Rydarowski, H. FTIR Study and Mechanical Properties of Cellulose. J. Biobased Mater. Bioenergy 2012, 6, 399–409. [Google Scholar] [CrossRef]
- Merkel, K.; Rydarowski, H.; Kazimierczak, J.; Bloda, A. Processing and characterization of reinforced polyethylene composites made with lignocellulosic fibres isolated from waste plant biomass such as hemp. Compos. Part B 2014, 67, 138–144. [Google Scholar] [CrossRef]
- Partini, M.; Pantani, R. Determination of crystallinity of an aliphatic polyester by FTIR spectroscopy. Polym. Bull. 2007, 59, 403–412. [Google Scholar] [CrossRef]
- Sabino, M.A. Oxidation of polycaprolactone to induce compatibility with other degradable polyesters. Polym. Deg. Stab. 2007, 92, 986–996. [Google Scholar] [CrossRef]
- Wu, H.; Guo, T.; Feng, Z.; Bu, J.; Yang, S.; Dai, Z.; Teng, C.; Ouyang, H.; Wei, W. Surface coating prolongs the degradation and maintains the mechanical strength of surgical suture in vivo. Colloids Surf. B Biointerface 2022, 209, 112214. [Google Scholar] [CrossRef]
- Antoniac, I.; Antoniac, A.; Gheorghita, D.; Gradinaru, S. In Vitro Study on Biodegradation of Absorbable Suture Materials Used for Surgical Applications. Mater. Plast. 2021, 58, 130–139. [Google Scholar] [CrossRef]
- Jilili, Y.; Li, F.; Ma, Y.; Zhen, W. Analysis of the degradation and crystallization behavior during the thermal degradation of poly(lactic acid)/modified hectorite nanocomposites films by simultaneous rheology and FTIR technology. Int. J. Biol. Macromol. 2024, 270, 132403. [Google Scholar] [CrossRef]
- Tertyshnaya, Y.V.; Podzorova, M.V.; Khramkova, A.V.; Ovchinnikov, V.A.; Krivandin, A.V. Structural Rearrangements of Polylactide/Natural Rubber Composites during Hydro- and Biotic Degradation. Polymers 2023, 15, 1930. [Google Scholar] [CrossRef] [PubMed]
- Jilili, Y.; Luo, D.; Zhen, W.; Guo, C.; Wang, L. Design and Evaluation of Natural Degradation Behavior of Poly (lactic acid)/Organo-Modified-Ni-Zn-Al-Layered Double Hydroxides Nanocomposites Film. J. Polym. Environ. 2024, 32, 1515–1530. [Google Scholar] [CrossRef]
- Frisch, M.J.; Trucks, G.W.; Schlegel, H.B.; Scuseria, G.E.; Robb, M.A.; Cheeseman, J.R.; Scalmani, G.; Barone, V.; Mennucci, B.; Petersson, G.A.; et al. Gaussian 09, Revision E.01; Gaussian, Inc.: Wallingford, CT, USA, 2009. [Google Scholar]
- Becke, A.D. Density-functional exchange-energy approximation with correct asymptotic behavior. Phys. Rev. A 1988, 38, 3098–3100. [Google Scholar] [CrossRef] [PubMed]
- Lyu, S.P.; Untereker, D. Degradability of Polymers for Implantable Biomedical Devices. Int. J. Mol. Sci. 2009, 10, 4033–4065. [Google Scholar] [CrossRef]
- Williams, D.F.; Zhong, S.P. Biodeterioration/Biodegradation of Polymeric Medical Devices In Situ. Int. Biodeter. Biodegrad. 1994, 34, 95–130. [Google Scholar] [CrossRef]
- He, Y.; Inoue, Y. Novel FTIR method for determining the crystallinity of poly(ε-caprolactone). Polym. Int. 2000, 49, 623–626. [Google Scholar] [CrossRef]
- Sanchis, A.; Prolongo, M.G.; Salom, C.; Masegosa, R.M. Melting Behavior, Miscibility, and Hydrogen-Bonded Interactions of Poly(e-caprolactone)/Poly(4-hydroxystyrene-co-methoxystyrene) Blends. J. Polym. Sci. Polym. Phys. Ed. 1998, 36, 95–104. [Google Scholar] [CrossRef]
- Kister, G.; Cassanas, G.; Vert, M. Morphology of poly(glycolic acid) by IR and Raman spectroscopies. Spectrochim. Acta Part A 1997, 53, 1399–1403. [Google Scholar] [CrossRef]
- Díaz-Celorio, E.; Franco, L.; Rodríguez-Galán, A.; Puiggalí, J. Synthesis of glycolide/trimethylene carbonate copolymers: Influence of microstructure on properties. Eur. Polym. J. 2012, 48, 60–73. [Google Scholar] [CrossRef]
- Hyman, N.; Manchester, T.L.; Osler, T.; Burns, B.; Cataldo, P.A. Anastomotic leaks after intestinal anastomosis: It’s later than you think. Ann. Surg. 2007, 245, 254–258. [Google Scholar] [CrossRef]
- Mast, B.A. Healing in other tissues. Surg. Clin. N. Am. 1997, 77, 529–547. [Google Scholar] [CrossRef] [PubMed]
- Martens, M.F.; Hendriks, T. Post-operative changes in collagen synthesis in intestinal anastomoses of the rat: Differences between small and large bowel. Gut 1991, 32, 1482–1487. [Google Scholar] [CrossRef] [PubMed]
- Deveney, K.E.; Way, L.W. Effect of different absorbable sutures on healing of gastrointestinal anastomoses. Am. J. Surg. 1977, 133, 86–94. [Google Scholar] [CrossRef] [PubMed]
- Gorham, S.D.; Monsour, M.J.; Scott, R. The in vitro assessment of a collagen/Vicryl (Polyglactin) composite film together with candidate suture materials for use in urinary tract surgery. Urol. Res. 1987, 15, 53–59. [Google Scholar] [CrossRef]
- Andrea, B.; Hontela, D.; Hontela, A. Triclosan: Environmental exposure, toxicityand mechanisms of action. J. Appl. Toxicol. 2011, 31, 285–311. [Google Scholar]
- Dhillon, G.S.; Kaur, S.; Pulicharla, R.; Brar, S.K.; Cledón, M.; Verma, M.; Surampalli, R.Y. Triclosan: Current Status, Occurrence, Environmental Risks and Bioaccumulation Potential. Int. J. Environ. Res. Public Health 2015, 12, 5657–5684. [Google Scholar] [CrossRef]
- Savitzky, A.; Golay, M.J.E. Smoothing and Differentiation of Data by Simplified Least Squares Procedures. Anal. Chem. 1964, 36, 1627–1639. [Google Scholar] [CrossRef]
- Vongsvivut, J.; Truong, V.K.; Al Kobaisi, M.; Maclaughlin, S.; Tobin, M.J.; Crawford, R.J.; Ivanova, E.P. Synchrotron macro ATR-FTIR microspectroscopic analysis of silica nanoparticle-embedded polyester coated steel surfaces subjected to prolonged UV and humidity exposure. PLoS ONE 2017, 12, e0188345. [Google Scholar] [CrossRef]
- Kohler, A.; Afseth, N.K.; Martens, H. Chemometrics in Biospectroscopy. In Applications of Vibrational Spectroscopy in Food Science; Li-Chan, E., Griffiths, P.R., Chalmers, J.M., Eds.; John Wiley & Sons: Chichester, UK, 2010; pp. 89–101. [Google Scholar]












| EXP | Assignments | |||||
|---|---|---|---|---|---|---|
| Monocryl | Vicryl | PDS | ||||
| ν (cm−1) | IR (a.u.) | ν (cm−1) | IR (a.u.). | ν (cm−1) | IR (a.u.) | |
| 515 | w | 535 563 | w | 580 | w | γ C=O, out of plane def. |
| 628 | m | 665 685 | m | 703 | m | β C=O, in-plane def. (COO) +νCCC |
| 720 | m,br | 760 | m, br | 723 | m | δCH2 rocking |
| 807 850 | m | 808 850 | m | 850 873 932 | m | νs COC |
| 955 | m | -- | -- | 930 | m | νas C-O-C + νCCC (skeletal) |
| 975 | m | 975 | m | -- | -- | νCCC (skeletal) |
| -- | -- | 1047 | m, sh | 1050 | s | νas O-C-C |
| 1087 | s | 1090 | s | 1070 | s | νas O-C-C in glycolide seg. |
| 1150 | vs | 1160 1180 | vs | 1120 1202 | s s,sh | νas C-C(O)-O in ester |
| -- 1742 | -- vs | 1720 1745 | s, sh vs | 1734 1746 | s, sh vs | νC=O |
| 2850 2870 | vw | 2849 | vw | 2851 2882 | m | νsCH2 νasCH2 |
| 2916 2957 | vw | 2917 2957 | vw | 2958 2989 | m | νsCH3 νasCH3 |
Disclaimer/Publisher’s Note: The statements, opinions and data contained in all publications are solely those of the individual author(s) and contributor(s) and not of MDPI and/or the editor(s). MDPI and/or the editor(s) disclaim responsibility for any injury to people or property resulting from any ideas, methods, instructions or products referred to in the content. |
© 2024 by the authors. Licensee MDPI, Basel, Switzerland. This article is an open access article distributed under the terms and conditions of the Creative Commons Attribution (CC BY) license (https://creativecommons.org/licenses/by/4.0/).
Share and Cite
Merkel, K.; Grzybowska, K.; Strach, A.; Gierek, M. The Degradation of Absorbable Surgical Threads in Body Fluids: Insights from Infrared Spectroscopy Studies. Int. J. Mol. Sci. 2024, 25, 11333. https://doi.org/10.3390/ijms252011333
Merkel K, Grzybowska K, Strach A, Gierek M. The Degradation of Absorbable Surgical Threads in Body Fluids: Insights from Infrared Spectroscopy Studies. International Journal of Molecular Sciences. 2024; 25(20):11333. https://doi.org/10.3390/ijms252011333
Chicago/Turabian StyleMerkel, Katarzyna, Katarzyna Grzybowska, Aleksandra Strach, and Marcin Gierek. 2024. "The Degradation of Absorbable Surgical Threads in Body Fluids: Insights from Infrared Spectroscopy Studies" International Journal of Molecular Sciences 25, no. 20: 11333. https://doi.org/10.3390/ijms252011333
APA StyleMerkel, K., Grzybowska, K., Strach, A., & Gierek, M. (2024). The Degradation of Absorbable Surgical Threads in Body Fluids: Insights from Infrared Spectroscopy Studies. International Journal of Molecular Sciences, 25(20), 11333. https://doi.org/10.3390/ijms252011333

