Profiling Bioactive Components of Natural Eggshell Membrane (NEM) for Cartilage Protection and Its Protective Effect on Oxidative Stress in Human Chondrocytes
Abstract
1. Introduction
2. Results and Discussion
2.1. Profiling of Bioactive Components from NEM
2.1.1. Nutritional Profiling of NEM
2.1.2. Comprehensive Peptide Profiling of NEM via LC–MS/MS Analysis
2.1.3. Digestive Protein Hydrolysis of NEM Using an In Vitro Digestion Model
2.2. Protective Effect of NEM on Oxidative Stress in Human Chondrocytes
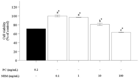
2.2.1. Cell Viability of SW-1353 Treated with NEM
2.2.2. ABTS Cationic Radical Scavenging Activity of NEM
2.2.3. Superoxide Dismutase (SOD) Expression from SW-1353 with NEM
2.2.4. Protective Effect of NEM Against H2O2-Induced Intracellular ROS Levels and Apoptosis in SW-1353
3. Materials and Methods
3.1. Chemicals and Reagents
3.2. Sample Preparation
3.3. Analysis of Bioactive Components from NEM
3.3.1. Determination of Hyaluronic Acid Content
3.3.2. Determination of Collagen by Hydroxyproline Content
3.3.3. Determination of Sulfated Glycosaminoglycans (sGAG) Quantified as Chondroitin Sulfate
3.3.4. Determination of Protein Content
3.3.5. Peptide Profiling by LC–MS/MS
3.4. Digestive Protein Hydrolysis of NEM Using an In Vitro Digestion Model System
3.5. Preventive Effect of NEM on Oxidative Stress in Human Chondrocytes
3.5.1. Cell Culture of Chondrocytes
3.5.2. Measurement of Cell Viability by MTT Assay
3.5.3. ABTS Radical Scavenging Ability
3.5.4. Intracellular Superoxide Dismutase (SOD) Expression from SW-1353 with NEM
3.5.5. Superoxide Dismutase (SOD) Activity Using Hyperspectral Imaging
- Raw images were normalized by removing black reference, white reference, and noise.
- Using the region of interest (ROI), samples were designated and identified, and reflectance values were extracted in all ranges of wavelength.
- A reflectance value graph at a specific wavelength was presented, and the mean reflectance values for each sample were derived for statistical analysis.
3.5.6. Preventive Effect of NEM on the Intracellular ROS Level and Apoptosis Induced by H2O2 in SW-1353
3.6. Statistical Analysis
4. Conclusions
Author Contributions
Funding
Institutional Review Board Statement
Informed Consent Statement
Data Availability Statement
Acknowledgments
Conflicts of Interest
References
- Ansari, M.Y.; Ahmad, N.; Haqqi, T.M. Oxidative stress and inflammation in osteoarthritis pathogenesis: Role of polyphenols. Biomed. Pharmacother. 2020, 129, 110452. [Google Scholar] [CrossRef] [PubMed]
- Lv, R.; Dong, Y.; Bao, Z.; Zhang, S.; Lin, S.; Sun, N. Advances in the activity evaluation and cellular regulation pathways of food-derived antioxidant peptides. Trends Food Sci. Technol. 2022, 122, 171–186. [Google Scholar] [CrossRef]
- Pihlanto, A. Antioxidative peptides derived from milk proteins. Int. Dairy J. 2006, 16, 1306–1314. [Google Scholar] [CrossRef]
- Zhuang, C.; Wang, Y.; Zhang, Y.; Xu, N. Oxidative stress in osteoarthritis and antioxidant effect of polysaccharide from Angelica sinensis. Int. J. Biol. Macromol. 2018, 115, 281–286. [Google Scholar] [CrossRef] [PubMed]
- Sun, K.; Luo, J.; Jing, X.; Guo, J.; Yao, X.; Hao, X.; Ye, Y.; Liang, S.; Lin, J.; Wang, G.; et al. Astaxanthin protects against osteoarthritis via Nrf2: A guardian of cartilage homeostasis. Aging 2019, 11, 10513. [Google Scholar] [CrossRef]
- Winata, A.; Lorenz, K. Antioxidant potential of 5-n-pentadecylresorcinol. J. Food Process. Preserv. 1996, 20, 417–429. [Google Scholar] [CrossRef]
- Kim, E.-N.; Lee, H.-S.; Jeong, G.-S. Cudratricusxanthone O inhibits H2O2-induced cell damage by activating Nrf2/HO-1 pathway in human chondrocytes. Antioxidants 2020, 9, 788. [Google Scholar] [CrossRef]
- Poulet, B.; Beier, F. Targeting Oxidative Stress to Reduce Osteoarthritis; Springer: Berlin/Heidelberg, Germany, 2016; pp. 1–2. [Google Scholar]
- Mobasheri, A.; Biesalski, H.K.; Shakibaei, M.; Henrotin, Y. Antioxidants and Osteoarthritis; Springer: Berlin/Heidelberg, Germany, 2012. [Google Scholar]
- Shen, C.-L.; Smith, B.J.; Lo, D.-F.; Chyu, M.-C.; Dunn, D.M.; Chen, C.-H.; Kwun, I.-S. Dietary polyphenols and mechanisms of osteoarthritis. J. Nutr. Biochem. 2012, 23, 1367–1377. [Google Scholar] [CrossRef]
- Wang, H.C.; Brumaghim, J.L. Polyphenol Compounds as Antioxidants for Disease Prevention: Reactive Oxygen Species Scavenging, Enzyme Regulation, and Metal Chelation Mechanisms in E. coli and Human Cells, in Oxidative Stress: Diagnostics, Prevention, and Therapy; ACS Publications: Washington, DC, USA, 2011; pp. 99–175. [Google Scholar]
- Wen, C.; Zhang, J.; Zhang, H.; Duan, Y.; Ma, H. Plant protein-derived antioxidant peptides: Isolation, identification, mechanism of action and application in food systems: A review. Trends Food Sci. Technol. 2020, 105, 308–322. [Google Scholar] [CrossRef]
- Yang, J.; Sun-Waterhouse, D.; Xiao, Y.; He, W.; Zhao, M.; Su, G. Osteoarthritis-alleviating effects in papain-induced model rats of chicken cartilage hydrolysate and its peptide fractions. Int. J. Food Sci. Technol. 2019, 54, 2711–2717. [Google Scholar] [CrossRef]
- Shi, Y.; Kovacs-Nolan, J.; Jiang, B.; Tsao, R.; Mine, Y. Peptides derived from eggshell membrane improve antioxidant enzyme activity and glutathione synthesis against oxidative damage in Caco-2 cells. J. Funct. Foods 2014, 11, 571–580. [Google Scholar] [CrossRef]
- Moure, A.; Domínguez, H.; Parajó, J.C. Antioxidant properties of ultrafiltration-recovered soy protein fractions from industrial effluents and their hydrolysates. Process Biochem. 2006, 41, 447–456. [Google Scholar] [CrossRef]
- Zhao, Q.-C.; Zhao, J.-Y.; Ahn, D.U.; Jin, Y.-G.; Huang, X. Separation and identification of highly efficient antioxidant peptides from eggshell membrane. Antioxidants 2019, 8, 495. [Google Scholar] [CrossRef] [PubMed]
- Huang, X.; Zhou, Y.; Ma, M.; Cai, Z.; Li, T. Chemiluminescence evaluation of antioxidant activity and prevention of DNA damage effect of peptides isolated from soluble eggshell membrane protein hydrolysate. J. Agric. Food Chem. 2010, 58, 12137–12142. [Google Scholar] [CrossRef] [PubMed]
- Miguel, M.; Dávalos, A.; Bartolomé, B.; López-Fandiño, R. Antioxidant Activity of Peptides Derived from Egg White Proteins by Enzymatic Hydrolysis. J. Food Prot. 2004, 67, 1939–1944. [Google Scholar] [CrossRef]
- Tanzadehpanah, H.; Asoodeh, A.; Chamani, J. An antioxidant peptide derived from Ostrich (Struthio camelus) egg white protein hydrolysates. Food Res. Int. 2012, 49, 105–111. [Google Scholar] [CrossRef]
- Zhu, L.; Ma, M.; Ahn, D.U.; Guyonnet, V.; Wang, L.; Zheng, Y.; He, Q.; Xiong, H.; Huang, X. Hatched eggshell membrane can be a novel source of antioxidant hydrolysates to protect against H2O2-induced oxidative stress in human chondrocytes. Antioxidants 2022, 11, 2428. [Google Scholar] [CrossRef]
- Martínez-Puig, D.; Costa-Larrión, E.; Rubio-Rodríguez, N.; Gálvez-Martín, P. Collagen supplementation for joint health: The link between composition and scientific knowledge. Nutrients 2023, 15, 1332. [Google Scholar] [CrossRef]
- Martel-Pelletier, J.; Roubille, C.; Abram, F.; Hochberg, M.; Dorais, M.; Delorme, P.; Raynauld, J.; Pelletier, J. First-line analysis of the effects of treatment on progression of structural changes in knee osteoarthritis over 24 months: Data from the osteoarthritis initiative progression cohort. Ann. Rheum. Dis. 2015, 74, 547–556. [Google Scholar] [CrossRef]
- Nakasone, Y.; Watabe, K.; Watanabe, K.; Tomonaga, A.; Nagaoka, I.; Yamamoto, T.; Yamaguchi, H. Effect of a glucosamine-based combination supplement containing chondroitin sulfate and antioxidant micronutrients in subjects with symptomatic knee osteoarthritis: A pilot study. Exp. Ther. Med. 2011, 2, 893–899. [Google Scholar] [CrossRef]
- Yang, T.; Li, Y.; Ma, M.; Lin, Q.; Sun, S.; Zhang, B.; Feng, X.; Liu, J. Protective effect of soluble eggshell membrane protein hydrolysate on cardiac ischemia/reperfusion injury. Food Nutr. Res. 2015, 59, 28870. [Google Scholar] [CrossRef] [PubMed]
- Wattanasiritham, L.; Theerakulkait, C.; Wickramasekara, S.; Maier, C.S.; Stevens, J.F. Isolation and identification of antioxidant peptides from enzymatically hydrolyzed rice bran protein. Food Chem. 2016, 192, 156–162. [Google Scholar] [CrossRef] [PubMed]
- Wedekind, K.J.; Ruff, K.J.; Atwell, C.A.; Evans, J.L.; Bendele, A.M. Beneficial effects of natural eggshell membrane (NEM) on multiple indices of arthritis in collagen-induced arthritic rats. Mod. Rheumatol. 2017, 27, 838–848. [Google Scholar] [CrossRef] [PubMed]
- Li, X.; Cai, Z.; Ahn, D.U.; Huang, X. Development of an antibacterial nanobiomaterial for wound-care based on the absorption of AgNPs on the eggshell membrane. Colloids Surf. B Biointerfaces 2019, 183, 110449. [Google Scholar] [CrossRef] [PubMed]
- Li, X.; Ma, M.; Ahn, D.U.; Huang, X. Preparation and characterization of novel eggshell membrane-chitosan blend films for potential wound-care dressing: From waste to medicinal products. Int. J. Biol. Macromol. 2019, 123, 477–484. [Google Scholar] [CrossRef]
- Migliore, A.; Procopio, S. Effectiveness and utility of hyaluronic acid in osteoarthritis. Clin. Cases Miner. Bone Metab. 2015, 12, 31. [Google Scholar] [CrossRef]
- Ruff, K.J.; Winkler, A.; Jackson, R.W.; DeVore, D.P.; Ritz, B.W. Eggshell membrane in the treatment of pain and stiffness from osteoarthritis of the knee: A randomized, multicenter, double-blind, placebo-controlled clinical study. Clin. Rheumatol. 2009, 28, 907–914. [Google Scholar] [CrossRef]
- Pokora, M.; Zambrowicz, A.; Dąbrowska, A.; Eckert, E.; Setner, B.; Szołtysik, M.; Szewczuk, Z.; Zabłocka, A.; Polanowski, A.; Trziszka, T.; et al. An attractive way of egg white protein by-product use for producing of novel anti-hypertensive peptides. Food Chem. 2014, 151, 500–505. [Google Scholar] [CrossRef]
- Zhu, L.; Xiong, H.; Huang, X.; Guyonnet, V.; Ma, M.; Chen, X.; Zheng, Y.; Wang, L.; Hu, G. Identification and molecular mechanisms of novel antioxidant peptides from two sources of eggshell membrane hydrolysates showing cytoprotection against oxidative stress: A combined in silico and in vitro study. Food Res. Int. 2022, 157, 111266. [Google Scholar] [CrossRef]
- Butts, C.A.; Monro, J.A.; Moughan, P.J. In vitro determination of dietary protein and amino acid digestibility for humans. Br. J. Nutr. 2012, 108, S282–S287. [Google Scholar] [CrossRef]
- Beaubier, S.; Framboisier, X.; Ioannou, I.; Galet, O.; Kapel, R. Simultaneous quantification of the degree of hydrolysis, protein conversion rate and mean molar weight of peptides released in the course of enzymatic proteolysis. J. Chromatogr. B 2019, 1105, 1–9. [Google Scholar] [CrossRef] [PubMed]
- Grimble, G. The significance of peptides in clinical nutrition. Annu. Rev. Nutr. 1994, 14, 419–447. [Google Scholar] [CrossRef] [PubMed]
- Nasri, M. Protein hydrolysates and biopeptides: Production, biological activities, and applications in foods and health benefits. A review. Adv. Food Nutr. Res. 2017, 81, 109–159. [Google Scholar] [PubMed]
- Shahidi, F.; Zhong, Y. Novel antioxidants in food quality preservation and health promotion. Eur. J. Lipid Sci. Technol. 2010, 112, 930–940. [Google Scholar] [CrossRef]
- Nimalaratne, C.; Bandara, N.; Wu, J. Purification and characterization of antioxidant peptides from enzymatically hydrolyzed chicken egg white. Food Chem. 2015, 188, 467–472. [Google Scholar] [CrossRef]
- Ighodaro, O.; Akinloye, O. First line defence antioxidants-superoxide dismutase (SOD), catalase (CAT) and glutathione peroxidase (GPX): Their fundamental role in the entire antioxidant defence grid. Alex. J. Med. 2018, 54, 287–293. [Google Scholar] [CrossRef]
- Boshkovski, B.; Doupis, G.; Zapolska, A.; Kalaitzidis, C.; Koubouris, G. Hyperspectral imagery detects water deficit and salinity effects on photosynthesis and antioxidant enzyme activity of three greek olive varieties. Sustainability 2022, 14, 1432. [Google Scholar] [CrossRef]
- Yagi, M.; Endo, K.; Komori, K.; Sekiya, I. Comparison of the effects of oxidative and inflammatory stresses on rat chondrocyte senescence. Sci. Rep. 2023, 13, 7697. [Google Scholar] [CrossRef]
- Chen, Y.; McMillan-Ward, E.; Kong, J.; Israels, S.J.; Gibson, S.B. Oxidative stress induces autophagic cell death independent of apoptosis in transformed and cancer cells. Cell Death Differ. 2008, 15, 171–182. [Google Scholar] [CrossRef]
- The Ministry of Health, Labour and Welfare. Supplement II to the Japanese Pharmacopoeia Fifteenth Edition; The Ministry of Health, Labour and Welfare: Tokyo, Japan, 2009.
- Kolar, K. Colorimetric determination of hydroxyproline as measure of collagen content in meat and meat products: NMKL collaborative study. J. Assoc. Off. Anal. Chem. 1990, 73, 54–57. [Google Scholar] [CrossRef]
- De Jong, J.; Wevers, R.; Sambeek, R.L.-V. Measuring urinary glycosaminoglycans in the presence of protein: An improved screening procedure for mucopolysaccharidoses based on dimethylmethylene blue. Clin. Chem. 1992, 38, 803–807. [Google Scholar] [CrossRef] [PubMed]
- Association of Official Agricultural Chemists. Protein (crude) in animal feed and pet food 984.13. Off. Methods Anal. Off. Anal. Chem. Int. 1995, 1, 30–31. [Google Scholar]
- Zaky, A.A.; Liu, Y.; Han, P.; Chen, Z.; Jia, Y. Effect of pepsin–trypsin in vitro gastro-intestinal digestion on the antioxidant capacities of ultra-filtrated rice bran protein hydrolysates (molecular weight > 10 kDa; 3–10 kDa, and <3 kDa). Int. J. Pept. Res. Ther. 2020, 26, 1661–1667. [Google Scholar]
- Zhao, D.; Xu, Y.; Gu, T.; Wang, H.; Yin, Y.; Sheng, B.; Li, Y.; Nian, Y.; Wang, C.; Li, C.; et al. Peptidomic investigation of the interplay between enzymatic tenderization and the digestibility of beef semimembranosus proteins. J. Agric. Food Chem. 2019, 68, 1136–1146. [Google Scholar] [CrossRef]
- Kumar, P.; Nagarajan, A.; Uchil, P.D. Analysis of cell viability by the MTT assay. Cold Spring Harb. Protoc. 2018, 2018, pdb-prot095505. [Google Scholar] [CrossRef]
- Sun, T.; Powers, J.R.; Tang, J. Evaluation of the antioxidant activity of asparagus, broccoli and their juices. Food Chem. 2007, 105, 101–106. [Google Scholar] [CrossRef]
- Yu, D.; Zha, Y.; Zhong, Z.; Ruan, Y.; Li, Z.; Sun, L.; Hou, S. Improved detection of reactive oxygen species by DCFH-DA: New insight into self-amplification of fluorescence signal by light irradiation. Sens. Actuators B Chem. 2021, 339, 129878. [Google Scholar] [CrossRef]








| Bioactive Component | Content (%) |
|---|---|
| Hyaluronic acid | 1.1 ± 0.07 |
| Total sulfated glycosaminoglycans as chondroitin sulfate | 1.2 ± 0.25 |
| Collagen | 3.1 ± 0.33 |
| Total protein | 54.4 ± 2.40 |
| No. | Peptide Sequence | Delta (ppm) | Wavelength (nm) | Confidence Interval (%) | Retention Time (min) | Z | m/z | MS Area |
|---|---|---|---|---|---|---|---|---|
| 1 | VYL | 0.70 | 214, 254 and 280 nm | 99.8 | 14.57 | 1 | 394.2336 | 633,690 |
| 2 | SWVE | 0.93 | 99.8 | 12.44 | 1 | 520.2402 | 522,964 | |
| 3 | TEW | 0.34 | 99.9 | 9.55 | 1 | 435.1874 | 133,194 | |
| 4 | EKLTEW | 0.38 | 99.4 | 15.34 | 2 | 403.2081 | 94,455 | |
| 5 | HNPTNTIVYF | 0.59 | 100.0 | 22.59 | 2 | 603.3011 | 67,261 | |
| 6 | KSRPILPIYLK | 0.64 | 99.9 | 21.13 | 3 | 443.2868 | 62,447 | |
| 7 | YSPL | 1.19 | 100.0 | 13.56 | 1 | 479.2500 | 43,327 | |
| 8 | IYL | 0.07 | 99.1 | 18.70 | 1 | 408.2493 | 41,438 | |
| 9 | VYLPQ | 0.39 | 100.0 | 15.53 | 2 | 310.1761 | 35,395 | |
| 10 | SRPILPIYLK | 0.20 | 100.0 | 24.01 | 3 | 400.5885 | 20,484 |
Disclaimer/Publisher’s Note: The statements, opinions and data contained in all publications are solely those of the individual author(s) and contributor(s) and not of MDPI and/or the editor(s). MDPI and/or the editor(s) disclaim responsibility for any injury to people or property resulting from any ideas, methods, instructions or products referred to in the content. |
© 2024 by the authors. Licensee MDPI, Basel, Switzerland. This article is an open access article distributed under the terms and conditions of the Creative Commons Attribution (CC BY) license (https://creativecommons.org/licenses/by/4.0/).
Share and Cite
Kim, J.-W.; Lee, D.-H.; Lee, K.-W.; Na, I.-S.; Lee, N.-Y.; Kim, J.-K.; Chun, Y.-S.; Yoon, N.-K.; Kim, B.-K.; Yang, S.-K.; et al. Profiling Bioactive Components of Natural Eggshell Membrane (NEM) for Cartilage Protection and Its Protective Effect on Oxidative Stress in Human Chondrocytes. Int. J. Mol. Sci. 2024, 25, 11304. https://doi.org/10.3390/ijms252011304
Kim J-W, Lee D-H, Lee K-W, Na I-S, Lee N-Y, Kim J-K, Chun Y-S, Yoon N-K, Kim B-K, Yang S-K, et al. Profiling Bioactive Components of Natural Eggshell Membrane (NEM) for Cartilage Protection and Its Protective Effect on Oxidative Stress in Human Chondrocytes. International Journal of Molecular Sciences. 2024; 25(20):11304. https://doi.org/10.3390/ijms252011304
Chicago/Turabian StyleKim, Jin-Woo, Dong-Ho Lee, Kang-Woo Lee, In-Su Na, Na-Yeon Lee, Jong-Kyu Kim, Yoon-Seok Chun, Nam-Kyu Yoon, Byung-Kwon Kim, Sung-Keun Yang, and et al. 2024. "Profiling Bioactive Components of Natural Eggshell Membrane (NEM) for Cartilage Protection and Its Protective Effect on Oxidative Stress in Human Chondrocytes" International Journal of Molecular Sciences 25, no. 20: 11304. https://doi.org/10.3390/ijms252011304
APA StyleKim, J.-W., Lee, D.-H., Lee, K.-W., Na, I.-S., Lee, N.-Y., Kim, J.-K., Chun, Y.-S., Yoon, N.-K., Kim, B.-K., Yang, S.-K., & Shim, S.-M. (2024). Profiling Bioactive Components of Natural Eggshell Membrane (NEM) for Cartilage Protection and Its Protective Effect on Oxidative Stress in Human Chondrocytes. International Journal of Molecular Sciences, 25(20), 11304. https://doi.org/10.3390/ijms252011304

