Geldanamycins: Potent Hsp90 Inhibitors with Significant Potential in Cancer Therapy
Abstract
1. Introduction
2. Heat Shock Proteins
- (a)
- Protein kinases, such as epidermal growth factor receptor (EGFR), human epidermal growth factor receptor 2 (HER2), cyclin-dependent kinase 4 (CDK4), and rapidly accelerated fibrosarcoma 1 (RAF1).
- (b)
- Transcription factors, such as p53, HSF-1, and HIF-1.
- (c)
- Steroid hormone receptors.
- (d)
- Chromatin remodeling factors.
- (e)
- Telomerase.
3. Mode of Action of Geldanamycin
4. Geldanamycin Structure, Biosynthesis, and Toxicity
5. Substitution of Position C(19)
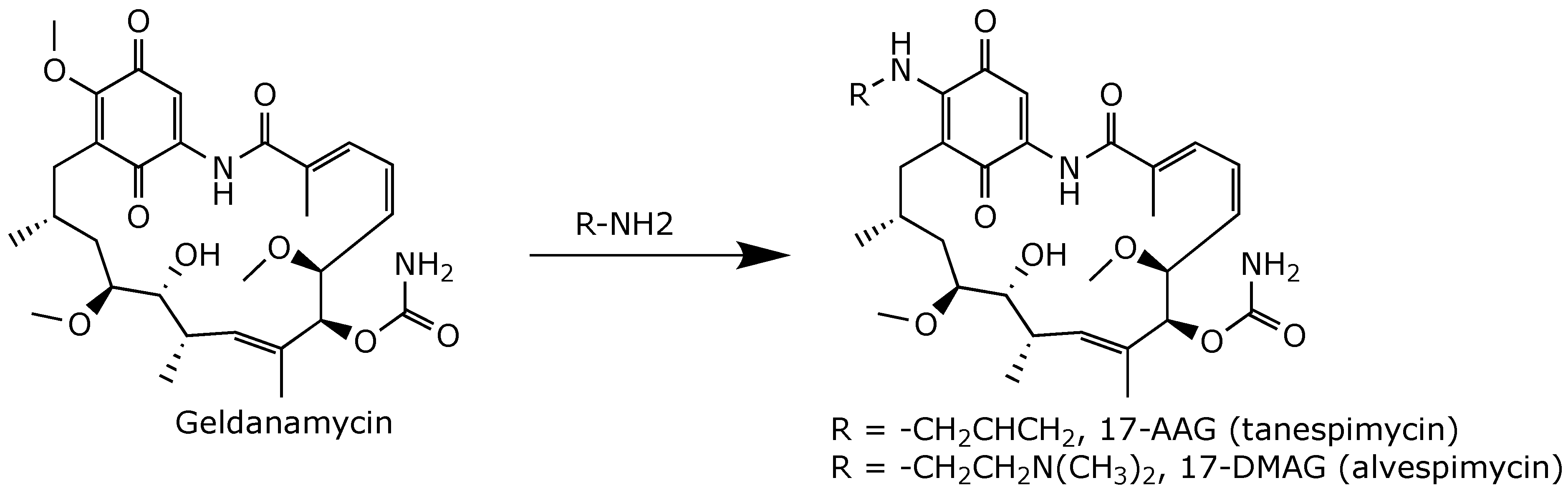
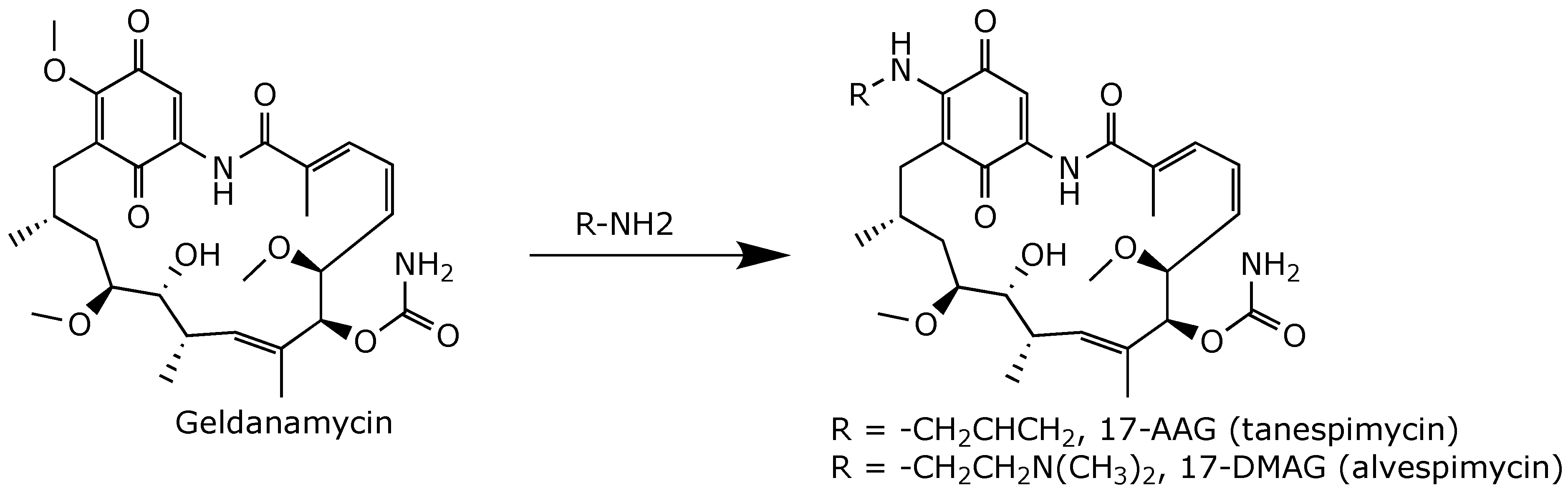
6. Substitution of Position C(17)
7. Replacement of the Benzoquinone Ring
8. Targeting Specific Client Proteins
9. Geldanamycin Prodrugs
10. Geldanamycin-Based Hsp90 Degraders
11. Conclusions
Author Contributions
Funding
Institutional Review Board Statement
Informed Consent Statement
Data Availability Statement
Conflicts of Interest
References
- Sung, H.; Ferlay, J.; Siegel, R.L.; Laversanne, M.; Soerjomataram, I.; Jemal, A.; Bray, F. Global Cancer Statistics 2020: GLOBOCAN Estimates of Incidence and Mortality Worldwide for 36 Cancers in 185 Countries. CA Cancer J. Clin. 2021, 71, 209–249. [Google Scholar] [CrossRef] [PubMed]
- Ferrarini, M.; Heltai, S.; Zocchi, M.R.; Rugarli, C. Unusual expression and localization of heat-shock proteins in human tumor cells. Int. J. Cancer 1992, 51, 613–619. [Google Scholar] [CrossRef] [PubMed]
- Chaudhury, S.; Welch, T.R.; Blagg, B.S. Hsp90 as a target for drug development. ChemMedChem 2006, 1, 1331–1340. [Google Scholar] [CrossRef]
- Avendaño, C.; Menéndez, J.C. Chapter 14—Miscellaneous small-molecule and biological approaches to targeted cancer therapy. In Medicinal Chemistry of Anticancer Drugs, 3rd ed.; Avendaño, C., Menéndez, J.C., Eds.; Elsevier: Boston, MA, USA, 2023; pp. 743–822. [Google Scholar]
- DeBoer, C.; Meulman, P.A.; Wnuk, R.J.; Peterson, D.H. Geldanamycin, a new antibiotic. J. Antibiot. 1970, 23, 442–447. [Google Scholar] [CrossRef]
- Whitesell, L.; Mimnaugh, E.G.; De Costa, B.; Myers, C.E.; Neckers, L.M. Inhibition of heat shock protein HSP90-pp60v-src heteroprotein complex formation by benzoquinone ansamycins: Essential role for stress proteins in oncogenic transformation. Proc. Natl. Acad. Sci. USA 1994, 91, 8324–8328. [Google Scholar] [CrossRef]
- Supko, J.G.; Hickman, R.L.; Grever, M.R.; Malspeis, L. Preclinical pharmacologic evaluation of geldanamycin as an antitumor agent. Cancer Chemother. Pharmacol. 1995, 36, 305–315. [Google Scholar] [CrossRef] [PubMed]
- Fukuyo, Y.; Hunt, C.R.; Horikoshi, N. Geldanamycin and its anti-cancer activities. Cancer Lett. 2010, 290, 24–35. [Google Scholar] [CrossRef]
- Jolly, C.; Morimoto, R.I. Role of the heat shock response and molecular chaperones in oncogenesis and cell death. J. Natl. Cancer Inst. 2000, 92, 1564–1572. [Google Scholar] [CrossRef] [PubMed]
- Chen, G.; Bradford, W.D.; Seidel, C.W.; Li, R. Hsp90 stress potentiates rapid cellular adaptation through induction of aneuploidy. Nature 2012, 482, 246–250. [Google Scholar] [CrossRef]
- Chen, B.; Zhong, D.; Monteiro, A. Comparative genomics and evolution of the HSP90 family of genes across all kingdoms of organisms. BMC Genom. 2006, 7, 156. [Google Scholar] [CrossRef]
- Taipale, M.; Jarosz, D.F.; Lindquist, S. HSP90 at the hub of protein homeostasis: Emerging mechanistic insights. Nat. Rev. Mol. Cell Biol. 2010, 11, 515–528. [Google Scholar] [CrossRef] [PubMed]
- Cyran, A.M.; Zhitkovich, A. Heat Shock Proteins and HSF1 in Cancer. Front. Oncol. 2022, 12, 860320. [Google Scholar] [CrossRef] [PubMed]
- Butler, L.M.; Ferraldeschi, R.; Armstrong, H.K.; Centenera, M.M.; Workman, P. Maximizing the Therapeutic Potential of HSP90 Inhibitors. Mol. Cancer Res. 2015, 13, 1445–1451. [Google Scholar] [CrossRef] [PubMed]
- Birbo, B.; Madu, E.E.; Madu, C.O.; Jain, A.; Lu, Y. Role of HSP90 in Cancer. Int. J. Mol. Sci. 2021, 22, 10317. [Google Scholar] [CrossRef]
- Rastogi, S.; Joshi, A.; Sato, N.; Lee, S.; Lee, M.J.; Trepel, J.B.; Neckers, L. An update on the status of HSP90 inhibitors in cancer clinical trials. Cell Stress Chaperones 2024, 29, 519–539. [Google Scholar] [CrossRef]
- Krukenberg, K.A.; Street, T.O.; Lavery, L.A.; Agard, D.A. Conformational dynamics of the molecular chaperone Hsp90. Q. Rev. Biophys. 2011, 44, 229–255. [Google Scholar] [CrossRef]
- Albakova, Z.; Mangasarova, Y.; Albakov, A.; Gorenkova, L. HSP70 and HSP90 in Cancer: Cytosolic, Endoplasmic Reticulum and Mitochondrial Chaperones of Tumorigenesis. Front. Oncol. 2022, 12, 829520. [Google Scholar] [CrossRef]
- Joshi, A.; Ito, T.; Picard, D.; Neckers, L. The Mitochondrial HSP90 Paralog TRAP1: Structural Dynamics, Interactome, Role in Metabolic Regulation, and Inhibitors. Biomolecules 2022, 12, 880. [Google Scholar] [CrossRef]
- Pearl, L.H.; Prodromou, C. Structure and mechanism of the Hsp90 molecular chaperone machinery. Annu. Rev. Biochem. 2006, 75, 271–294. [Google Scholar] [CrossRef]
- Zuehlke, A.; Johnson, J.L. Hsp90 and co-chaperones twist the functions of diverse client proteins. Biopolymers 2010, 93, 211–217. [Google Scholar] [CrossRef]
- Hoter, A.; El-Sabban, M.E.; Naim, H.Y. The HSP90 Family: Structure, Regulation, Function, and Implications in Health and Disease. Int. J. Mol. Sci. 2018, 19, 2560. [Google Scholar] [CrossRef] [PubMed]
- Pearl, L.H.; Prodromou, C. Structure and in vivo function of Hsp90. Curr. Opin. Struct. Biol. 2000, 10, 46–51. [Google Scholar] [CrossRef] [PubMed]
- Pearl, L.H.; Prodromou, C. Structure, function, and mechanism of the Hsp90 molecular chaperone. Adv. Protein Chem. 2001, 59, 157–186. [Google Scholar] [CrossRef]
- Prodromou, C.; Pearl, L.H. Structure and functional relationships of Hsp90. Curr. Cancer Drug Targets 2003, 3, 301–323. [Google Scholar] [CrossRef]
- Sanchez, J.; Carter, T.R.; Cohen, M.S.; Blagg, B.S.J. Old and New Approaches to Target the Hsp90 Chaperone. Curr. Cancer Drug Targets 2020, 20, 253–270. [Google Scholar] [CrossRef]
- Hartl, F.U.; Hayer-Hartl, M. Molecular chaperones in the cytosol: From nascent chain to folded protein. Science 2002, 295, 1852–1858. [Google Scholar] [CrossRef]
- Hartl, F.U.; Bracher, A.; Hayer-Hartl, M. Molecular chaperones in protein folding and proteostasis. Nature 2011, 475, 324–332. [Google Scholar] [CrossRef]
- Neckers, L. Development of small molecule Hsp90 inhibitors: Utilizing both forward and reverse chemical genomics for drug identification. Curr. Med. Chem. 2003, 10, 733–739. [Google Scholar] [CrossRef] [PubMed]
- Franke, J.; Eichner, S.; Zeilinger, C.; Kirschning, A. Targeting heat-shock-protein 90 (Hsp90) by natural products: Geldanamycin, a show case in cancer therapy. Nat. Prod. Rep. 2013, 30, 1299–1323. [Google Scholar] [CrossRef]
- Stebbins, C.E.; Russo, A.A.; Schneider, C.; Rosen, N.; Hartl, F.U.; Pavletich, N.P. Crystal structure of an Hsp90-geldanamycin complex: Targeting of a protein chaperone by an antitumor agent. Cell 1997, 89, 239–250. [Google Scholar] [CrossRef]
- Marcu, M.G.; Schulte, T.W.; Neckers, L. Novobiocin and related coumarins and depletion of heat shock protein 90-dependent signaling proteins. J. Natl. Cancer Inst. 2000, 92, 242–248. [Google Scholar] [CrossRef] [PubMed]
- Donnelly, A.; Blagg, B.S. Novobiocin and additional inhibitors of the Hsp90 C-terminal nucleotide-binding pocket. Curr. Med. Chem. 2008, 15, 2702–2717. [Google Scholar] [CrossRef]
- Brandt, G.E.; Schmidt, M.D.; Prisinzano, T.E.; Blagg, B.S. Gedunin, a novel hsp90 inhibitor: Semisynthesis of derivatives and preliminary structure-activity relationships. J. Med. Chem. 2008, 51, 6495–6502. [Google Scholar] [CrossRef]
- Patwardhan, C.A.; Fauq, A.; Peterson, L.B.; Miller, C.; Blagg, B.S.; Chadli, A. Gedunin inactivates the co-chaperone p23 protein causing cancer cell death by apoptosis. J. Biol. Chem. 2013, 288, 7313–7325. [Google Scholar] [CrossRef]
- Wei, H.; Zhang, Y.; Jia, Y.; Chen, X.; Niu, T.; Chatterjee, A.; He, P.; Hou, G. Heat shock protein 90: Biological functions, diseases, and therapeutic targets. MedComm 2024, 5, e470. [Google Scholar] [CrossRef] [PubMed]
- Zhang, T.; Li, Y.; Yu, Y.; Zou, P.; Jiang, Y.; Sun, D. Characterization of celastrol to inhibit hsp90 and cdc37 interaction. J. Biol. Chem. 2009, 284, 35381–35389. [Google Scholar] [CrossRef]
- Li, N.; Xu, M.; Wang, B.; Shi, Z.; Zhao, Z.; Tang, Y.; Wang, X.; Sun, J.; Chen, L. Discovery of Novel Celastrol Derivatives as Hsp90-Cdc37 Interaction Disruptors with Antitumor Activity. J. Med. Chem. 2019, 62, 10798–10815. [Google Scholar] [CrossRef]
- Hadden, M.K.; Lubbers, D.J.; Blagg, B.S. Geldanamycin, radicicol, and chimeric inhibitors of the Hsp90 N-terminal ATP binding site. Curr. Top Med. Chem. 2006, 6, 1173–1182. [Google Scholar] [CrossRef] [PubMed]
- Rampogu, S.; Parate, S.; Parameswaran, S.; Park, C.; Baek, A.; Son, M.; Park, Y.; Park, S.J.; Lee, K.W. Natural compounds as potential Hsp90 inhibitors for breast cancer-Pharmacophore guided molecular modelling studies. Comput. Biol. Chem. 2019, 83, 107113. [Google Scholar] [CrossRef]
- Xu, W.; Marcu, M.; Yuan, X.; Mimnaugh, E.; Patterson, C.; Neckers, L. Chaperone-dependent E3 ubiquitin ligase CHIP mediates a degradative pathway for c-ErbB2/Neu. Proc. Natl. Acad. Sci. USA 2002, 99, 12847–12852. [Google Scholar] [CrossRef]
- Xie, Q.; Wondergem, R.; Shen, Y.; Cavey, G.; Ke, J.; Thompson, R.; Bradley, R.; Daugherty-Holtrop, J.; Xu, Y.; Chen, E.; et al. Benzoquinone ansamycin 17AAG binds to mitochondrial voltage-dependent anion channel and inhibits cell invasion. Proc. Natl. Acad. Sci. USA 2011, 108, 4105–4110. [Google Scholar] [CrossRef] [PubMed]
- Skrzypczak, N.; Pyta, K.; Ruszkowski, P.; Mikolajczak, P.; Kucinska, M.; Murias, M.; Gdaniec, M.; Bartl, F.; Przybylski, P. Anticancer activity and toxicity of new quaternary ammonium geldanamycin derivative salts and their mixtures with potentiators. J. Enzym. Inhib. Med. Chem. 2021, 36, 1898–1904. [Google Scholar] [CrossRef] [PubMed]
- Guo, W.; Reigan, P.; Siegel, D.; Ross, D. Enzymatic reduction and glutathione conjugation of benzoquinone ansamycin heat shock protein 90 inhibitors: Relevance for toxicity and mechanism of action. Drug Metab. Dispos. 2008, 36, 2050–2057. [Google Scholar] [CrossRef] [PubMed]
- Chang, C.H.; Drechsel, D.A.; Kitson, R.R.; Siegel, D.; You, Q.; Backos, D.S.; Ju, C.; Moody, C.J.; Ross, D. 19-substituted benzoquinone ansamycin heat shock protein-90 inhibitors: Biological activity and decreased off-target toxicity. Mol. Pharmacol. 2014, 85, 849–857. [Google Scholar] [CrossRef] [PubMed]
- Kim, C.-G.; Yu, T.-W.; Fryhle, C.B.; Handa, S.; Floss, H.G. 3-Amino-5-hydroxybenzoic acid synthase, the terminal enzyme in the formation of the precursor of mC7N units in rifamycin and related antibiotics. J. Biol. Chem. 1998, 273, 6030–6040. [Google Scholar] [CrossRef]
- Arakawa, K.; Müller, R.; Mahmud, T.; Yu, T.-W.; Floss, H.G. Characterization of the early stage aminoshikimate pathway in the formation of 3-amino-5-hydroxybenzoic acid: The RifN protein specifically converts kanosamine into kanosamine 6-phosphate. J. Am. Chem. Soc. 2002, 124, 10644–10645. [Google Scholar] [CrossRef]
- Rascher, A.; Hu, Z.; Viswanathan, N.; Schirmer, A.; Reid, R.; Nierman, W.C.; Lewis, M.; Hutchinson, C.R. Cloning and characterization of a gene cluster for geldanamycin production in Streptomyces hygroscopicus NRRL 3602. FEMS Microbiol. Lett. 2003, 218, 223–230. [Google Scholar] [CrossRef][Green Version]
- Lee, D.; Lee, K.; Cai, X.F.; Dat, N.T.; Boovanahalli, S.K.; Lee, M.; Shin, J.C.; Kim, W.; Jeong, J.K.; Lee, J.S.; et al. Biosynthesis of the heat-shock protein 90 inhibitor geldanamycin: New insight into the formation of the benzoquinone moiety. Chembiochem 2006, 7, 246–248. [Google Scholar] [CrossRef]
- Hong, Y.S.; Lee, D.; Kim, W.; Jeong, J.K.; Kim, C.G.; Sohng, J.K.; Lee, J.H.; Paik, S.G.; Lee, J.J. Inactivation of the carbamoyltransferase gene refines post-polyketide synthase modification steps in the biosynthesis of the antitumor agent geldanamycin. J. Am. Chem. Soc. 2004, 126, 11142–11143. [Google Scholar] [CrossRef]
- Eichner, S.; Eichner, T.; Floss, H.G.; Fohrer, J.; Hofer, E.; Sasse, F.; Zeilinger, C.; Kirschning, A. Broad substrate specificity of the amide synthase in S. hygroscopicus—new 20-membered macrolactones derived from geldanamycin. J. Am. Chem. Soc. 2012, 134, 1673–1679. [Google Scholar] [CrossRef]
- Hermane, J.; Eichner, S.; Mancuso, L.; Schroder, B.; Sasse, F.; Zeilinger, C.; Kirschning, A. New geldanamycin derivatives with anti Hsp properties by mutasynthesis. Org. Biomol. Chem. 2019, 17, 5269–5278. [Google Scholar] [CrossRef] [PubMed]
- Cysyk, R.L.; Parker, R.J.; Barchi, J.J., Jr.; Steeg, P.S.; Hartman, N.R.; Strong, J.M. Reaction of geldanamycin and C17-substituted analogues with glutathione: Product identifications and pharmacological implications. Chem. Res. Toxicol. 2006, 19, 376–381. [Google Scholar] [CrossRef] [PubMed]
- Skrzypczak, N.; Pyta, K.; Ruszkowski, P.; Gdaniec, M.; Bartl, F.; Przybylski, P. Synthesis, structure and anticancer activity of new geldanamycin amine analogs containing C(17)- or C(20)-flexible and rigid arms as well as closed or open ansa-bridges. Eur. J. Med. Chem. 2020, 202, 112624. [Google Scholar] [CrossRef] [PubMed]
- Powis, G. Free radical formation by antitumor quinones. Free. Radic. Biol. Med. 1989, 6, 63–101. [Google Scholar] [CrossRef] [PubMed]
- Monks, T.J.; Hanzlik, R.P.; Cohen, G.M.; Ross, D.; Graham, D.G. Quinone chemistry and toxicity. Toxicol. Appl. Pharmacol. 1992, 112, 2–16. [Google Scholar] [CrossRef]
- Murray, M. P450 enzymes. Inhibition mechanisms, genetic regulation and effects of liver disease. Clin. Pharmacokinet. 1992, 23, 132–146. [Google Scholar] [CrossRef]
- Li, L.; Wang, L.; You, Q.D.; Xu, X.L. Heat Shock Protein 90 Inhibitors: An Update on Achievements, Challenges, and Future Directions. J. Med. Chem. 2020, 63, 1798–1822. [Google Scholar] [CrossRef]
- Kitson, R.R.; Chang, C.H.; Xiong, R.; Williams, H.E.; Davis, A.L.; Lewis, W.; Dehn, D.L.; Siegel, D.; Roe, S.M.; Prodromou, C.; et al. Synthesis of 19-substituted geldanamycins with altered conformations and their binding to heat shock protein Hsp90. Nat. Chem. 2013, 5, 307–314. [Google Scholar] [CrossRef][Green Version]
- Kitson, R.R.A.; Moody, C.J. Synthesis of novel geldanamycin derivatives. Tetrahedron 2021, 82, 131927. [Google Scholar] [CrossRef]
- Kitson, R.R.; Moody, C.J. An improved route to 19-substituted geldanamycins as novel Hsp90 inhibitors--potential therapeutics in cancer and neurodegeneration. Chem. Commun. 2013, 49, 8441–8443. [Google Scholar] [CrossRef][Green Version]
- Solit, D.B.; Zheng, F.F.; Drobnjak, M.; Munster, P.N.; Higgins, B.; Verbel, D.; Heller, G.; Tong, W.; Cordon-Cardo, C.; Agus, D.B.; et al. 17-Allylamino-17-demethoxygeldanamycin induces the degradation of androgen receptor and HER-2/neu and inhibits the growth of prostate cancer xenografts. Clin. Cancer Res. 2002, 8, 986–993. [Google Scholar] [PubMed]
- Snader, K.M.; Vishnuvajjala, B.; Hollingshead, M.G.; Sausville, E.A. Geldanamycin Derivative And Method of Treating Cancer Using Same. WO2002079167A1, 28 March 2002. [Google Scholar]
- Solit, D.B.; Ivy, S.P.; Kopil, C.; Sikorski, R.; Morris, M.J.; Slovin, S.F.; Kelly, W.K.; DeLaCruz, A.; Curley, T.; Heller, G.; et al. Phase I trial of 17-allylamino-17-demethoxygeldanamycin in patients with advanced cancer. Clin. Cancer Res. 2007, 13, 1775–1782. [Google Scholar] [CrossRef] [PubMed]
- Talaei, S.; Mellatyar, H.; Asadi, A.; Akbarzadeh, A.; Sheervalilou, R.; Zarghami, N. Spotlight on 17-AAG as an Hsp90 inhibitor for molecular targeted cancer treatment. Chem. Biol. Drug Des. 2019, 93, 760–786. [Google Scholar] [CrossRef] [PubMed]
- Mellatyar, H.; Talaei, S.; Pilehvar-Soltanahmadi, Y.; Barzegar, A.; Akbarzadeh, A.; Shahabi, A.; Barekati-Mowahed, M.; Zarghami, N. Targeted cancer therapy through 17-DMAG as an Hsp90 inhibitor: Overview and current state of the art. Biomed. Pharmacother. 2018, 102, 608–617. [Google Scholar] [CrossRef]
- Lancet, J.; Baer, M.R.; Gojo, I.; Burton, M.; Quinn, M.; Tighe, S.M.; Bhalla, K.; Kersey, K.; Wells, S.; Zhong, Z.; et al. Phase 1, Pharmacokinetic (PK) and Pharmacodynamic (PD) Study of Intravenous Alvespimycin (KOS-1022) in Patients with Refractory Hematological Malignancies. Blood 2006, 108, 1961. [Google Scholar] [CrossRef]
- Kim, Y.S.; Alarcon, S.V.; Lee, S.; Lee, M.J.; Giaccone, G.; Neckers, L.; Trepel, J.B. Update on Hsp90 inhibitors in clinical trial. Curr. Top Med. Chem. 2009, 9, 1479–1492. [Google Scholar] [CrossRef]
- Jhaveri, K.; Taldone, T.; Modi, S.; Chiosis, G. Advances in the clinical development of heat shock protein 90 (Hsp90) inhibitors in cancers. Biochim. Biophys. Acta 2012, 1823, 742–755. [Google Scholar] [CrossRef]
- Kang, B.H.; Plescia, J.; Song, H.Y.; Meli, M.; Colombo, G.; Beebe, K.; Scroggins, B.; Neckers, L.; Altieri, D.C. Combinatorial drug design targeting multiple cancer signaling networks controlled by mitochondrial Hsp90. J. Clin. Investig. 2009, 119, 454–464. [Google Scholar] [CrossRef]
- Hayat, U.; Elliott, G.T.; Olszanski, A.J.; Altieri, D.C. Feasibility and safety of targeting mitochondria for cancer therapy-preclinical characterization of gamitrinib, a first-in-class, mitochondriaL-targeted small molecule Hsp90 inhibitor. Cancer Biol. Ther. 2022, 23, 117–126. [Google Scholar] [CrossRef]
- Ge, J.; Normant, E.; Porter, J.R.; Ali, J.A.; Dembski, M.S.; Gao, Y.; Georges, A.T.; Grenier, L.; Pak, R.H.; Patterson, J.; et al. Design, synthesis, and biological evaluation of hydroquinone derivatives of 17-amino-17-demethoxygeldanamycin as potent, water-soluble inhibitors of Hsp90. J. Med. Chem. 2006, 49, 4606–4615. [Google Scholar] [CrossRef]
- Modi, S.; Saura, C.; Henderson, C.; Lin, N.U.; Mahtani, R.; Goddard, J.; Rodenas, E.; Hudis, C.; O’Shaughnessy, J.; Baselga, J. A multicenter trial evaluating retaspimycin HCL (IPI-504) plus trastuzumab in patients with advanced or metastatic HER2-positive breast cancer. Breast Cancer Res. Treat. 2013, 139, 107–113. [Google Scholar] [CrossRef] [PubMed]
- Skrzypczak, N.; Pyta, K.; Bohusz, W.; Lesniewska, A.; Gdaniec, M.; Ruszkowski, P.; Schilf, W.; Bartl, F.; Przybylski, P. Cascade Transformation of the Ansamycin Benzoquinone Core into Benzoxazole Influencing Anticancer Activity and Selectivity. J. Org. Chem. 2023, 88, 9469–9474. [Google Scholar] [CrossRef] [PubMed]
- Li, Z.; Jia, L.; Tang, H.; Shen, Y.; Shen, C. LZY3016, a novel geldanamycin derivative, inhibits tumor growth in an MDA-MB-231 xenograft model. RSC Adv. 2023, 13, 13586–13591. [Google Scholar] [CrossRef] [PubMed]
- Skrzypczak, N.; Buczkowski, A.; Bohusz, W.; Nowak, E.; Tokarska, K.; Lesniewska, A.; Alzebari, A.M.; Ruszkowski, P.; Gdaniec, M.; Bartl, F.; et al. Modifications of geldanamycin via CuAAC altering affinity to chaperone protein Hsp90 and cytotoxicity. Eur. J. Med. Chem. 2023, 256, 115450. [Google Scholar] [CrossRef] [PubMed]
- Patel, K.; Piagentini, M.; Rascher, A.; Tian, Z.Q.; Buchanan, G.O.; Regentin, R.; Hu, Z.; Hutchinson, C.R.; McDaniel, R. Engineered biosynthesis of geldanamycin analogs for Hsp90 inhibition. Chem. Biol. 2004, 11, 1625–1633. [Google Scholar] [CrossRef]
- Schwecke, T.; Aparicio, J.F.; Molnar, I.; Konig, A.; Khaw, L.E.; Haydock, S.F.; Oliynyk, M.; Caffrey, P.; Cortes, J.; Lester, J.B.; et al. The biosynthetic gene cluster for the polyketide immunosuppressant rapamycin. Proc. Natl. Acad. Sci. USA 1995, 92, 7839–7843. [Google Scholar] [CrossRef]
- Zhang, M.Q.; Gaisser, S.; Nur, E.A.M.; Sheehan, L.S.; Vousden, W.A.; Gaitatzis, N.; Peck, G.; Coates, N.J.; Moss, S.J.; Radzom, M.; et al. Optimizing natural products by biosynthetic engineering: Discovery of nonquinone Hsp90 inhibitors. J. Med. Chem. 2008, 51, 5494–5497. [Google Scholar] [CrossRef]
- Rinehart, K.L., Jr. Mutasynthesis of new antibiotics. Pure Appl. Chem. Tenth 1977, 49, 1361–1384. [Google Scholar] [CrossRef]
- Birch, A. The biosynthesis of antibiotics. Pure Appl. Chem. 1963, 7, 527–538. [Google Scholar] [CrossRef]
- Shier, W.T.; Rinehart, K.L., Jr.; Gottlieb, D. Preparation of four new antibiotics from a mutant of Streptomyces fradiae. Proc. Natl. Acad. Sci. USA 1969, 63, 198–204. [Google Scholar] [CrossRef]
- Gregory, M.A.; Petkovic, H.; Lill, R.E.; Moss, S.J.; Wilkinson, B.; Gaisser, S.; Leadlay, P.F.; Sheridan, R.M. Mutasynthesis of rapamycin analogues through the manipulation of a gene governing starter unit biosynthesis. Angew. Chem. Int. Ed. Engl. 2005, 44, 4757–4760. [Google Scholar] [CrossRef] [PubMed]
- Ziehl, M.; He, J.; Dahse, H.M.; Hertweck, C. Mutasynthesis of aureonitrile: An aureothin derivative with significantly improved cytostatic effect. Angew. Chem. Int. Ed. Engl. 2005, 44, 1202–1205. [Google Scholar] [CrossRef]
- Menzella, H.G.; Tran, T.T.; Carney, J.R.; Lau-Wee, J.; Galazzo, J.; Reeves, C.D.; Carreras, C.; Mukadam, S.; Eng, S.; Zhong, Z.; et al. Potent non-benzoquinone ansamycin heat shock protein 90 inhibitors from genetic engineering of Streptomyces hygroscopicus. J. Med. Chem. 2009, 52, 1518–1521. [Google Scholar] [CrossRef]
- Eichner, S.; Floss, H.G.; Sasse, F.; Kirschning, A. New, highly active nonbenzoquinone geldanamycin derivatives by using mutasynthesis. Chembiochem 2009, 10, 1801–1805. [Google Scholar] [CrossRef] [PubMed]
- Kim, W.; Lee, D.; Hong, S.S.; Na, Z.; Shin, J.C.; Roh, S.H.; Wu, C.Z.; Choi, O.; Lee, K.; Shen, Y.M.; et al. Rational biosynthetic engineering for optimization of geldanamycin analogues. Chembiochem 2009, 10, 1243–1251. [Google Scholar] [CrossRef] [PubMed]
- Hermane, J.; Bulyszko, I.; Eichner, S.; Sasse, F.; Collisi, W.; Poso, A.; Schax, E.; Walter, J.G.; Scheper, T.; Kock, K.; et al. New, non-quinone fluorogeldanamycin derivatives strongly inhibit Hsp90. Chembiochem 2015, 16, 302–311. [Google Scholar] [CrossRef]
- Buckley, D.L.; Crews, C.M. Small-molecule control of intracellular protein levels through modulation of the ubiquitin proteasome system. Angew. Chem. Int. Ed. Engl. 2014, 53, 2312–2330. [Google Scholar] [CrossRef]
- Kuduk, S.D.; Zheng, F.F.; Sepp-Lorenzino, L.; Rosen, N.; Danishefsky, S.J. Synthesis and evaluation of geldanamycin-estradiol hybrids. Bioorg. Med. Chem. Lett. 1999, 9, 1233–1238. [Google Scholar] [CrossRef]
- Kuduk, S.D.; Harris, T.C.; Zheng, F.F.; Sepp-Lorenzino, L.; Ouerfelli, Q.; Rosen, N.; Danishefsky, S.J. Synthesis and evaluation of geldanamycin-testosterone hybrids. Bioorg. Med. Chem. Lett. 2000, 10, 1303–1306. [Google Scholar] [CrossRef]
- Fang, L.; Battisti, R.F.; Cheng, H.; Reigan, P.; Xin, Y.; Shen, J.; Ross, D.; Chan, K.K.; Martin, E.W., Jr.; Wang, P.G.; et al. Enzyme specific activation of benzoquinone ansamycin prodrugs using HuCC49DeltaCH2-beta-galactosidase conjugates. J. Med. Chem. 2006, 49, 6290–6297. [Google Scholar] [CrossRef]
- Cheng, H.; Cao, X.; Xian, M.; Fang, L.; Cai, T.B.; Ji, J.J.; Tunac, J.B.; Sun, D.; Wang, P.G. Synthesis and enzyme-specific activation of carbohydrate-geldanamycin conjugates with potent anticancer activity. J. Med. Chem. 2005, 48, 645–652. [Google Scholar] [CrossRef] [PubMed]
- Carruthers, K.H.; Metzger, G.; During, M.J.; Muravlev, A.; Wang, C.; Kocak, E. Gene-directed enzyme prodrug therapy for localized chemotherapeutics in allograft and xenograft tumor models. Cancer Gene. Ther. 2014, 21, 434–440. [Google Scholar] [CrossRef] [PubMed]
- Egorin, M.J.; Zuhowski, E.G.; Rosen, D.M.; Sentz, D.L.; Covey, J.M.; Eiseman, J.L. Plasma pharmacokinetics and tissue distribution of 17-(allylamino)-17-demethoxygeldanamycin (NSC 330507) in CD2F1 mice1. Cancer Chemother. Pharmacol. 2001, 47, 291–302. [Google Scholar] [CrossRef]
- Eiseman, J.L.; Lan, J.; Lagattuta, T.F.; Hamburger, D.R.; Joseph, E.; Covey, J.M.; Egorin, M.J. Pharmacokinetics and pharmacodynamics of 17-demethoxy 17-[[(2-dimethylamino)ethyl]amino]geldanamycin (17DMAG, NSC 707545) in C.B-17 SCID mice bearing MDA-MB-231 human breast cancer xenografts. Cancer Chemother. Pharmacol. 2005, 55, 21–32. [Google Scholar] [CrossRef]
- Sausville, E.A.; Tomaszewski, J.E.; Ivy, P. Clinical development of 17-allylamino, 17-demethoxygeldanamycin. Curr. Cancer Drug Targets 2003, 3, 377–383. [Google Scholar] [CrossRef]
- Sydor, J.R.; Normant, E.; Pien, C.S.; Porter, J.R.; Ge, J.; Grenier, L.; Pak, R.H.; Ali, J.A.; Dembski, M.S.; Hudak, J.; et al. Development of 17-allylamino-17-demethoxygeldanamycin hydroquinone hydrochloride (IPI-504), an anti-cancer agent directed against Hsp90. Proc. Natl. Acad. Sci. USA 2006, 103, 17408–17413. [Google Scholar] [CrossRef] [PubMed]
- Forrest, M.L.; Zhao, A.; Won, C.Y.; Malick, A.W.; Kwon, G.S. Lipophilic prodrugs of Hsp90 inhibitor geldanamycin for nanoencapsulation in poly(ethylene glycol)-b-poly(epsilon-caprolactone) micelles. J. Control. Release 2006, 116, 139–149. [Google Scholar] [CrossRef]
- Xiong, M.P.; Yanez, J.A.; Remsberg, C.M.; Ohgami, Y.; Kwon, G.S.; Davies, N.M.; Forrest, M.L. Formulation of a geldanamycin prodrug in mPEG-b-PCL micelles greatly enhances tolerability and pharmacokinetics in rats. J. Control. Release 2008, 129, 33–40. [Google Scholar] [CrossRef] [PubMed]
- Guiblin Alexander, R.; Wilkinson, B.; Moss Steven, J.; Zhang, M.-Q.; McElhinney Alison, D.; Martin Christine, J. Novel Ansamycin Derivatives. US 2010/0279995 A1, 1 September 2006. [Google Scholar]
- Wurnig, S.; Vogt, M.; Hogenkamp, J.; Dienstbier, N.; Borkhardt, A.; Bhatia, S.; Hansen, F.K. Development of the first geldanamycin-based HSP90 degraders. Front. Chem. 2023, 11, 1219883. [Google Scholar] [CrossRef]
- Zhang, X.; Li, X.; You, Q.; Zhang, X. Prodrug strategy for cancer cell-specific targeting: A recent overview. Eur. J. Med. Chem. 2017, 139, 542–563. [Google Scholar] [CrossRef]
- Omran, Z.; Rauch, C. Acid-mediated Lipinski’s second rule: Application to drug design and targeting in cancer. Eur. Biophys. J. 2014, 43, 199–206. [Google Scholar] [CrossRef] [PubMed]
- Nazli, A.; Irshad Khan, M.Z.; Racz, A.; Beni, S. Acid-sensitive prodrugs; a promising approach for site-specific and targeted drug release. Eur. J. Med. Chem. 2024, 276, 116699. [Google Scholar] [CrossRef] [PubMed]
- Li, Y.; Zhao, L.; Li, X.F. Targeting Hypoxia: Hypoxia-Activated Prodrugs in Cancer Therapy. Front. Oncol. 2021, 11, 700407. [Google Scholar] [CrossRef] [PubMed]
- Omran, Z.; Guise, C.P.; Chen, L.; Rauch, C.; Abdalla, A.N.; Abdullah, O.; Sindi, I.A.; Fischer, P.M.; Smaill, J.B.; Patterson, A.V.; et al. Design, Synthesis and In-Vitro Biological Evaluation of Antofine and Tylophorine Prodrugs as Hypoxia-Targeted Anticancer Agents. Molecules 2021, 26, 3327. [Google Scholar] [CrossRef] [PubMed]
- Stubbs, M.; McSheehy, P.M.; Griffiths, J.R.; Bashford, C.L. Causes and consequences of tumour acidity and implications for treatment. Mol. Med. Today 2000, 6, 15–19. [Google Scholar] [CrossRef]
- Patel, A.; Sant, S. Hypoxic tumor microenvironment: Opportunities to develop targeted therapies. Biotechnol. Adv. 2016, 34, 803–812. [Google Scholar] [CrossRef]






















Disclaimer/Publisher’s Note: The statements, opinions and data contained in all publications are solely those of the individual author(s) and contributor(s) and not of MDPI and/or the editor(s). MDPI and/or the editor(s) disclaim responsibility for any injury to people or property resulting from any ideas, methods, instructions or products referred to in the content. |
© 2024 by the authors. Licensee MDPI, Basel, Switzerland. This article is an open access article distributed under the terms and conditions of the Creative Commons Attribution (CC BY) license (https://creativecommons.org/licenses/by/4.0/).
Share and Cite
Abdullah, O.; Omran, Z. Geldanamycins: Potent Hsp90 Inhibitors with Significant Potential in Cancer Therapy. Int. J. Mol. Sci. 2024, 25, 11293. https://doi.org/10.3390/ijms252011293
Abdullah O, Omran Z. Geldanamycins: Potent Hsp90 Inhibitors with Significant Potential in Cancer Therapy. International Journal of Molecular Sciences. 2024; 25(20):11293. https://doi.org/10.3390/ijms252011293
Chicago/Turabian StyleAbdullah, Omeima, and Ziad Omran. 2024. "Geldanamycins: Potent Hsp90 Inhibitors with Significant Potential in Cancer Therapy" International Journal of Molecular Sciences 25, no. 20: 11293. https://doi.org/10.3390/ijms252011293
APA StyleAbdullah, O., & Omran, Z. (2024). Geldanamycins: Potent Hsp90 Inhibitors with Significant Potential in Cancer Therapy. International Journal of Molecular Sciences, 25(20), 11293. https://doi.org/10.3390/ijms252011293

