Design and Synthesis of Potential Multi-Target Antidepressants: Exploration of 1-(4-(7-Azaindole)-3,6-dihydropyridin-1-yl)alkyl-3-(1H-indol-3-yl)pyrrolidine-2,5-dione Derivatives with Affinity for the Serotonin Transporter
Abstract
1. Introduction
2. Results and Discussion
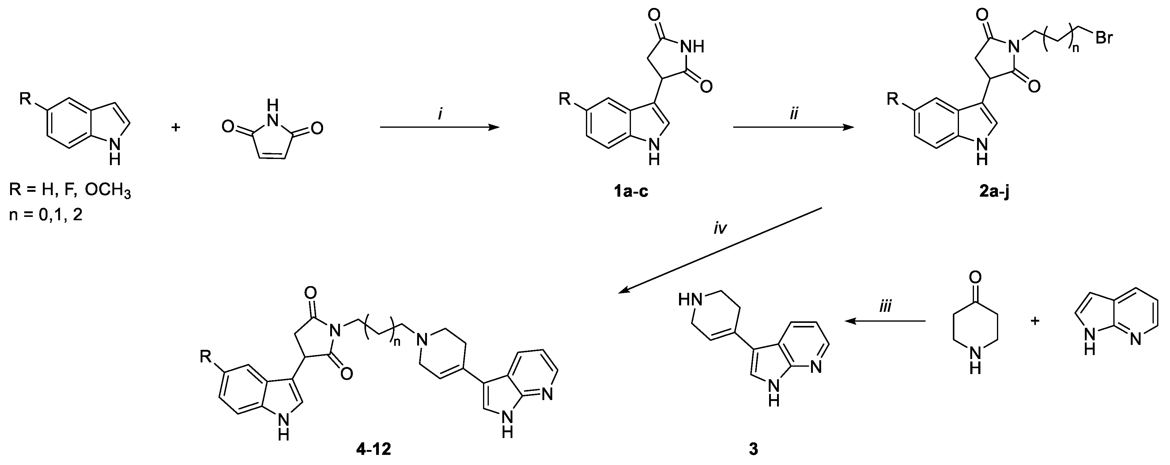
2.1. Chemistry
2.2. In Vitro Receptor Assay and Structure–Activity Relationship (SAR)
2.2.1. In Vitro Tests for the 5-HT1A Receptor and SERT
2.2.2. In Vitro Tests for the D2L, 5-HT6, 5-HT7, 5-HT2A, and α1 Adrenoceptors, as Well as DAT and NET
3. Materials and Methods
3.1. General Remarks
3.1.1. Procedure for the Synthesis of 3-(1,2,3,6-Tetrahydropyridin-4-yl)-1H-pyrrolo[2,3-b]pyridine (3)
3.1.2. General Procedure for the Synthesis of the 3-(1H-Indol-3-yl)pyrrolidine-2,5-dione Derivatives 4–12
Synthesis of 1-(4-(4-(1H-Pyrrolo[2,3-b]pyridin-3-yl)-3,6-dihydropyridin-1(2H)-yl)butyl)-3-(1H-indol-3-yl)pyrrolidine-2,5-dione (4)
Synthesis of 1-(3-(4-(1H-Pyrrolo[2,3-b]pyridin-3-yl)-3,6-dihydropyridin-1(2H)-yl)propyl)-3-(1H-indol-3-yl)pyrrolidine-2,5-dione (5)
Synthesis of 1-(2-(4-(1H-Pyrrolo[2,3-b]pyridin-3-yl)-3,6-dihydropyridin-1(2H)-yl)ethyl)-3-(1H-indol-3-yl)pyrrolidine-2,5-dione (6)
Synthesis of 1-(4-(4-(1H-Pyrrolo[2,3-b]pyridin-3-yl)-3,6-dihydropyridin-1(2H)-yl)butyl)-3-(5-methoxy-1H-indol-3-yl)pyrrolidine-2,5-dione (7)
Synthesis of 1-(3-(4-(1H-Pyrrolo[2,3-b]pyridin-3-yl)-3,6-dihydropyridin-1(2H)-yl)propyl)-3-(5-methoxy-1H-indol-3-yl)pyrrolidine-2,5-dione (8)
Synthesis of 1-(2-(4-(1H-Pyrrolo[2,3-b]pyridin-3-yl)-3,6-dihydropyridin-1(2H)-yl)ethyl)-3-(5-methoxy-1H-indol-3-yl)pyrrolidine-2,5-dione (9)
Synthesis of 1-(4-(4-(1H-Pyrrolo[2,3-b]pyridin-3-yl)-3,6-dihydropyridin-1(2H)-yl)butyl)-3-(5-fluoro-1H-indol-3-yl)pyrrolidine-2,5-dione (10)
Synthesis of 1-(3-(4-(1H-Pyrrolo[2,3-b]pyridin-3-yl)-3,6-dihydropyridin-1(2H)-yl)propyl)-3-(5-fluoro-1H-indol-3-yl)pyrrolidine-2,5-dione (11)
Synthesis of 1-(2-(4-(1H-Pyrrolo[2,3-b]pyridin-3-yl)-3,6-dihydropyridin-1(2H)-yl)ethyl)-3-(5-fluoro-1H-indol-3-yl)pyrrolidine-2,5-dione (12)
3.2. Binding Assays
3.2.1. Methodology of Radioligand Binding Assay
Serotonin Transporter Binding Assay
5-HT1A Receptor Binding Assay
D2 Receptor Binding Assay
ADRA1 Receptor Binding Assay
5-HT2A Binding Assay
Receptor Binding Experiments with HEK293 Cells Expressing Human 5-HT6 and 5-HT7 Receptors
3.2.2. Methodology of DAT and NET Radioligand Binding Assay
DAT Binding Assay
NET Binding Assay
4. Conclusions
Supplementary Materials
Author Contributions
Funding
Institutional Review Board Statement
Informed Consent Statement
Data Availability Statement
Acknowledgments
Conflicts of Interest
References
- World Health Organization (WHO). Available online: https://www.who.Int/News-Room/Fact-Sheets/Detail/Depression (accessed on 24 August 2024).
- Singh, K.; Bhatia, R.; Kumar, B.; Singh, G.; Monga, V. Design Strategies, Chemistry and Therapeutic Insights of Multi-Target Directed Ligands as Antidepressant Agents. Curr. Neuropharmacol. 2022, 20, 1329–1358. [Google Scholar] [CrossRef] [PubMed]
- Sinyor, M.; Schaffer, A.; Levitt, A. The Sequenced Treatment Alternatives to Relieve Depression (STAR*D) Trial: A Review. Can. J. Psychiatry 2010, 55, 126–135. [Google Scholar] [CrossRef]
- Artigas, F.; Bortolozzi, A.; Celada, P. Can We Increase Speed and Efficacy of Antidepressant Treatments? Part I: General Aspects and Monoamine-Based Strategies. Eur. Neuropsychopharmacol. 2018, 28, 445–456. [Google Scholar] [CrossRef]
- Ingram, M.; Maguire, G.; Stahl, S.M. Advances in Depression Management: Multifunctional Antidepressant Medications. Adv. Psychiatry Behav. Health 2021, 1, 185–203. [Google Scholar] [CrossRef]
- Shad, M.U. Recent Developments in Pharmacotherapy of Depression: Bench to Bedside. J. Pers. Med. 2023, 13, 773. [Google Scholar] [CrossRef]
- Romero, L.; Bel, N.; Casanovas, J.M.; Artigas, F. Two Actions Are Better than One: Avoiding Self-Inhibition of Serotonergic Neurones Enhances the Effects of Serotonin Uptake Inhibitors. Int. Clin. Psychopharmacol. 1996, 11 (Suppl. 4), 1–8. [Google Scholar] [CrossRef]
- Commons, K.G.; Linnros, S.E. Delayed Antidepressant Efficacy and the Desensitization Hypothesis. ACS Chem. Neurosci. 2019, 10, 3048–3052. [Google Scholar] [CrossRef]
- Blier, P.; Bergeron, R.; de Montigny, C. Selective Activation of Postsynaptic 5-HT1A Receptors Induces Rapid Antidepressant Response. Neuropsychopharmacology 1997, 16, 333–338. [Google Scholar] [CrossRef]
- Rickels, K.; Athanasiou, M.; Robinson, D.S.; Gibertini, M.; Whalen, H.; Reed, C.R. Evidence for Efficacy and Tolerability of Vilazodone in the Treatment of Major Depressive Disorder. J. Clin. Psychiatry 2009, 70, 326–333. [Google Scholar] [CrossRef]
- Zhao, F.; Cheng, Z.; Piao, J.; Cui, R.; Li, B. Dopamine Receptors: Is It Possible to Become a Therapeutic Target for Depression? Front. Pharmacol. 2022, 13, 947785. [Google Scholar] [CrossRef]
- Alex, K.D.; Pehek, E.A. Pharmacologic Mechanisms of Serotonergic Regulation of Dopamine Neurotransmission. Pharmacol. Ther. 2007, 113, 296–320. [Google Scholar] [CrossRef] [PubMed]
- Jaronczyk, M.; Walory, J. Novel Molecular Targets of Antidepressants. Molecules 2022, 27, 533. [Google Scholar] [CrossRef]
- Lin, J.; Liu, W.; Guan, J.; Cui, J.; Shi, R.; Wang, L.; Chen, D.; Liu, Y. Latest Updates on the Serotonergic System in Depression and Anxiety. Front. Synaptic Neurosci. 2023, 15, 1124112. [Google Scholar] [CrossRef] [PubMed]
- Żmudzka, E.; Sałaciak, K.; Sapa, J.; Pytka, K. Serotonin Receptors in Depression and Anxiety: Insights from Animal Studies. Life Sci. 2018, 210, 106–124. [Google Scholar] [CrossRef]
- Subbaiah, M.A.M. Triple Reuptake Inhibitors as Potential Therapeutics for Depression and Other Disorders: Design Paradigm and Developmental Challenges. J. Med. Chem. 2018, 61, 2133–2165. [Google Scholar] [CrossRef]
- Prica, C.; Hascoet, M.; Bourin, M. Is Co-Administration of Bupropion with SSRIs and SNRIs in Forced Swimming Test in Mice, Predictive of Efficacy in Resistant Depression? Behav. Brain Res. 2008, 194, 92–99. [Google Scholar] [CrossRef] [PubMed]
- Chen, Y.; Song, J.; Cui, Y.; Zhou, L. Five Trends of China’s Pharmaceutical Industry in 2022. Acta Pharm. Sin. B 2023, 13, 2812–2814. [Google Scholar] [CrossRef] [PubMed]
- Wróbel, M.Z.; Chodkowski, A.; Herold, F.; Gomółka, A.; Kleps, J.; Mazurek, A.P.; Pluciński, F.; Mazurek, A.; Nowak, G.; Siwek, A.; et al. Synthesis and Biological Evaluation of Novel Pyrrolidine-2,5-Dione Derivatives as Potential Antidepressant Agents. Part 1. Eur. J. Med. Chem. 2013, 63, 484–500. [Google Scholar] [CrossRef]
- Herold, F.; Król, M.; Kleps, J.; Nowak, G. Synthesis of New hexahydro- and octahydropyrido[1,2-c]pyrimidine Derivatives with an Arylpiperazine Moiety as Ligands for 5-HT1A and 5-HT2A Receptors. Part 4. Eur. J. Med. Chem. 2006, 41, 125–134. [Google Scholar] [CrossRef]
- Wróbel, M.Z.; Chodkowski, A.; Dawidowski, M.; Siwek, A.; Stachowicz, K.; Szewczyk, B.; Nowak, G.; Satała, G.; Bojarski, A.J.; Turło, J. Synthesis and Biological Evaluation of Novel 3-(5-substituted-1H-Indol-3-yl)pyrrolidine-2,5-dione Derivatives with a Dual Affinity for Serotonin 5-HT1A Receptor and SERT. Bioorg. Chem. 2023, 141, 106903. [Google Scholar] [CrossRef]
- Singh, K.; Pal, R.; Khan, S.A.; Kumar, B.; Akhtar, M.J. Insights into the Structure Activity Relationship of Nitrogen-Containing Heterocyclics for the Development of Antidepressant Compounds: An Updated Review. J. Mol. Struct. 2021, 1237, 130369. [Google Scholar] [CrossRef]
- Thanikachalam, P.V.; Maurya, R.K.; Garg, V.; Monga, V. An Insight into the Medicinal Perspective of Synthetic Analogs of Indole: A Review. Eur. J. Med. Chem. 2019, 180, 562–612. [Google Scholar] [CrossRef] [PubMed]
- Wróbel, M.Z.; Chodkowski, A.; Herold, F.; Marciniak, M.; Dawidowski, M.; Siwek, A.; Starowicz, G.; Stachowicz, K.; Szewczyk, B.; Nowak, G.; et al. Synthesis and Biological Evaluation of New Multi-target 3-(1H-indol-3-yl)pyrrolidine-2,5-dione Derivatives with Potential Antidepressant Effect. Eur. J. Med. Chem. 2019, 183, 111736. [Google Scholar] [CrossRef]
- Mérour, J.Y.; Routier, S.; Suzenet, F.; Joseph, B. Recent Advances in the Synthesis and Properties of 4-, 5-, 6- or 7-Azaindoles. Tetrahedron 2013, 69, 4767–4834. [Google Scholar] [CrossRef]
- Han, Y.; Dong, W.; Guo, Q.; Li, X.; Huang, L. The Importance of Indole and Azaindole Scaffold in the Development of Antitumor Agents. Eur. J. Med. Chem. 2020, 203, 112506. [Google Scholar] [CrossRef]
- Mérour, J.-Y.; Buron, F.; Plé, K.; Bonnet, P.; Routier, S. The Azaindole Framework in the Design of Kinase Inhibitors. Molecules 2014, 19, 19935–19979. [Google Scholar] [CrossRef] [PubMed]
- Kannaboina, P.; Mondal, K.; Laha, J.K.; Das, P. Recent Advances in the Global Ring Functionalization of 7-Azaindoles. Chem. Commun. 2020, 56, 11749–11762. [Google Scholar] [CrossRef]
- Kulagowski, J.J.; Broughton, H.B.; Curtis, N.R.; Mawer, I.M.; Ridgill, M.P.; Baker, R.; Emms, F.; Freedman, S.B.; Marwood, R.; Patel, S.; et al. 3-[[4-(4-chlorophenyl)piperazin-1-yl]-methyl]-1H-pyrrolo[2,3-b]pyridine: An Antagonist with High Affinity and Selectivity for the Human Dopamine D4 Receptor. J. Med. Chem. 1996, 39, 1941–1942. [Google Scholar] [CrossRef]
- Manepalli, S.; Surratt, C.K.; Madura, J.D.; Nolan, T.L. Monoamine Transporter Structure, Function, Dynamics, and Drug Discovery: A Computational Perspective. AAPS J. 2012, 14, 820–831. [Google Scholar] [CrossRef]
- Meng, Q.; Ren, X.; Wang, R.; Han, Y.; Li, X.; Zhang, Q.; Li, Z.; Wang, Y.; Huang, L.; Yu, H. Design, Synthesis, Anticonvulsant Activity and Structure-Activity Relationships of Novel 7-Azaindole Derivatives. Bioorg. Chem. 2023, 133, 106430. [Google Scholar] [CrossRef]
- Mewshaw, R.E.; Meagher, K.L.; Zhou, P.; Zhou, D.; Shi, X.; Scerni, R.; Smith, D.; Schechter, L.E.; Andree, T.H. Studies toward the Discovery of the next Generation of Antidepressants. Part 2: Incorporating a 5-HT(1A) Antagonist Component into a Class of Serotonin Reuptake Inhibitors. Bioorg. Med. Chem. Lett. 2002, 12, 307–310. [Google Scholar] [CrossRef] [PubMed]
- Macor, J.E.; Blank, D.H.; Ryan, K.; Post, R.J. A Direct Synthesis of 3-(pyrrolidin-3-yl)indoles for Use As Conformationally Restricted Analogs of Tryptamines. Synthesis 1997, 1997, 443–449. [Google Scholar] [CrossRef]
- Hénon, H.; Messaoudi, S.; Hugon, B.; Anizon, F.; Pfeiffer, B.; Prudhomme, M. Synthesis of Granulatimide Bis-Imide Analogues. Tetrahedron 2005, 61, 5599–5614. [Google Scholar] [CrossRef]
- Zhou, D.; Zhou, P.; Evrard, D.; Meagher, K.; Webb, M.; Harrison, B.L.; Huryn, D.M.; Golembieski, J.; Hornby, G.; Schechter, L.E.; et al. Studies toward the Discovery of the next Generation of Antidepressants. Part 6: Dual 5-HT1A Receptor and Serotonin Transporter Affinity within a Class of Arylpiperazinyl-Cyclohexyl Indole Derivatives. Bioorg. Med. Chem. 2008, 16, 6707–6723. [Google Scholar] [CrossRef]
- Staroń, J.; Kurczab, R.; Warszycki, D.; Satała, G.; Krawczyk, M.; Bugno, R.; Lenda, T.; Popik, P.; Hogendorf, A.S.; Hogendorf, A.; et al. Virtual Screening-Driven Discovery of Dual 5-HT6/5-HT2A Receptor Ligands with pro-Cognitive Properties. Eur. J. Med. Chem. 2020, 185, 111857. [Google Scholar] [CrossRef]
- Comley, R.A.; Salinas, C.A.; Slifstein, M.; Petrone, M.; Marzano, C.; Bennacef, I.; Shotbolt, P.; Van der Aart, J.; Neve, M.; Iavarone, L.; et al. Monoamine Transporter Occupancy of a Novel Triple Reuptake Inhibitor in Baboons and Humans Using Positron Emission Tomography. J. Pharmacol. Exp. Ther. 2013, 346, 311–317. [Google Scholar] [CrossRef]
- Paluchowska, M.H.; Bugno, R.; Duszyńska, B.; Tatarczyńska, E.; Nikiforuk, A.; Lenda, T.; Chojnacka-Wójcik, E. The Influence of Modifications in Imide Fragment Structure on 5-HT1A and 5-HT7 Receptor Affinity and in vivo Pharmacological Properties of Some New 1-(m-trifluoromethylphenyl)piperazines. Bioorg. Med. Chem. 2007, 15, 7116–7125. [Google Scholar] [CrossRef]
- Allard, P.; Marcusson, J.O.; Ross, S.B. [3H]WIN 35,428 Binding in the Human Brain. Brain Res. 1996, 706, 347–350. [Google Scholar] [CrossRef]




| Compound | R | X | n | Ki ± SEM [nM] a | |
|---|---|---|---|---|---|
| 5-HT1A | SERT | ||||
| 4 | H | N | 2 | 660.0 ± 60.2 | 47.0 ± 5.0 |
| 5 | H | N | 1 | 2450.0 ± 24.0 | 57.1 ± 3.2 |
| 6 | H | N | 0 | NC | 245 ± 18 |
| 7 | OCH3 | N | 2 | 824.4 ± 23.2 | 58.4 ± 4.0 |
| 8 | OCH3 | N | 1 | NC | 23.0 ± 2.8 |
| 9 | OCH3 | N | 0 | NC | 92.0 ± 8.0 |
| 10 | F | N | 2 | 128.0 ± 12.0 | 77.6 ± 2.5 |
| 11 | F | N | 1 | NC | 9.2 ± 0.6 |
| 12 | F | N | 0 | NC | 252.0 ± 24.0 |
| 13 [19] | H | CH | 2 | 12.5 ± 1.7 | 11.3 ± 0.6 |
| 14 [19] | H | CH | 1 | 161.4 ± 17.5 | 4.0 ± 0.1 |
| 15 [19] | H | CH | 0 | 249.5 ± 6.8 | 33.8 ± 3.2 |
| 16 [21] | OCH3 | CH | 2 | 30.4 ± 1.8 | 2.6 ± 0.3 |
| 17 [21] | OCH3 | CH | 1 | 221.0 ± 11.5 | 782.0 ± 54.0 |
| 18 [21] | OCH3 | CH | 0 | 347.7 ± 12.1 | 14.7 ± 1.5 |
| 19 [21] | F | CH | 2 | 48.2 ± 2.9 | 33.3 ± 2.9 |
| 20 [21] | F | CH | 1 | 190.0 ± 8.5 | 1.5 ± 0.2 |
| 21 [21] | F | CH | 0 | NT | NT |
| serotonin | 1.5 ± 0.1 | NT | |||
| imipramine | NT | 30.0 ± 2.7 | |||

| Compound | R | X | n | Ki ± SEM [nM] a | |||
|---|---|---|---|---|---|---|---|
| 5-HT2A | 5-HT6 | 5-TH7 | D2 | ||||
| 4 | H | N | 2 | 1398 ± 71 | 1691 ± 186 | 1416 ± 172 | 78 ± 7 |
| 8 | OCH3 | N | 1 | 727 ± 43 | 2973 ± 138 | 1533 ± 76 | 13 ± 2 |
| 11 | F | N | 1 | 1158 ± 96 | 1293 ± 147 | 1126 ± 89 | 51 ± 6 |
| 20 | F | CH | 1 | 237 ± 17 | 257 ± 17 | 30 ± 4 | 56.0 ± 7.0 |
| Compound | R | X | n | Ki ± SEM [nM] a |
|---|---|---|---|---|
| α1 | ||||
| 4 | H | N | 2 | 87.0 ± 2.0 |
| 6 | H | N | 0 | 367.0 ± 55.2 |
| 8 | OCH3 | N | 1 | 265.0 ± 6.5 |
| 9 | OCH3 | N | 0 | 319.0 ± 10.2 |
| 12 | F | N | 0 | 456.0 ± 6.0 |
| phentolamine | 11.0 ± 0.7 |
| Compound | Binding Affinity (Ki, nM) b | Selectivity Ratio | |||
|---|---|---|---|---|---|
| hSERT | hNET | hDAT | hNET/hSERT | hDAT/hSERT | |
| 4 | 47.0 ± 5.0 | 167.0 ± 13.8 | 43% a | 3.5 | - |
| 6 | 245.0 ± 18.0 | 37% a | 916.0 ± 40.5 | - | 3.7 |
| 8 | 23.0 ± 2.8 | 43% a | 663.0 ± 15.0 | - | 28.8 |
| 9 | 92.0 ± 8.0 | 41% a | 335.0 ± 14.8 | - | 3.6 |
| 11 | 9.2 ± 0.6 | 40% a | 288.0 ± 25.2 | - | 31.3 |
| 12 | 252.0 ± 24.0 | 42% a | 229.0 ± 21.4 | - | 0.9 |
| desipramine | - | 3.7 ± 0.1 | - | - | - |
| GBR12909 | - | - | 4.0 ± 0.2 | - | - |
| imipramine | 30.0 ± 2.7 | - | - | - | - |
Disclaimer/Publisher’s Note: The statements, opinions and data contained in all publications are solely those of the individual author(s) and contributor(s) and not of MDPI and/or the editor(s). MDPI and/or the editor(s) disclaim responsibility for any injury to people or property resulting from any ideas, methods, instructions or products referred to in the content. |
© 2024 by the authors. Licensee MDPI, Basel, Switzerland. This article is an open access article distributed under the terms and conditions of the Creative Commons Attribution (CC BY) license (https://creativecommons.org/licenses/by/4.0/).
Share and Cite
Wróbel, M.Z.; Chodkowski, A.; Siwek, A.; Satała, G.; Bojarski, A.J.; Dawidowski, M. Design and Synthesis of Potential Multi-Target Antidepressants: Exploration of 1-(4-(7-Azaindole)-3,6-dihydropyridin-1-yl)alkyl-3-(1H-indol-3-yl)pyrrolidine-2,5-dione Derivatives with Affinity for the Serotonin Transporter. Int. J. Mol. Sci. 2024, 25, 11276. https://doi.org/10.3390/ijms252011276
Wróbel MZ, Chodkowski A, Siwek A, Satała G, Bojarski AJ, Dawidowski M. Design and Synthesis of Potential Multi-Target Antidepressants: Exploration of 1-(4-(7-Azaindole)-3,6-dihydropyridin-1-yl)alkyl-3-(1H-indol-3-yl)pyrrolidine-2,5-dione Derivatives with Affinity for the Serotonin Transporter. International Journal of Molecular Sciences. 2024; 25(20):11276. https://doi.org/10.3390/ijms252011276
Chicago/Turabian StyleWróbel, Martyna Z., Andrzej Chodkowski, Agata Siwek, Grzegorz Satała, Andrzej J. Bojarski, and Maciej Dawidowski. 2024. "Design and Synthesis of Potential Multi-Target Antidepressants: Exploration of 1-(4-(7-Azaindole)-3,6-dihydropyridin-1-yl)alkyl-3-(1H-indol-3-yl)pyrrolidine-2,5-dione Derivatives with Affinity for the Serotonin Transporter" International Journal of Molecular Sciences 25, no. 20: 11276. https://doi.org/10.3390/ijms252011276
APA StyleWróbel, M. Z., Chodkowski, A., Siwek, A., Satała, G., Bojarski, A. J., & Dawidowski, M. (2024). Design and Synthesis of Potential Multi-Target Antidepressants: Exploration of 1-(4-(7-Azaindole)-3,6-dihydropyridin-1-yl)alkyl-3-(1H-indol-3-yl)pyrrolidine-2,5-dione Derivatives with Affinity for the Serotonin Transporter. International Journal of Molecular Sciences, 25(20), 11276. https://doi.org/10.3390/ijms252011276

