Exploring Border Conditions for Spontaneous Emergence of Chirality in Allylboration of 1,2,3-Triazolic Aldehydes
Abstract
1. Introduction
2. Results and Discussion
2.1. Observation of Spontaneous Generation of Chirality in Allylboration
2.2. DFT Study of the Mechanism of Allylboration
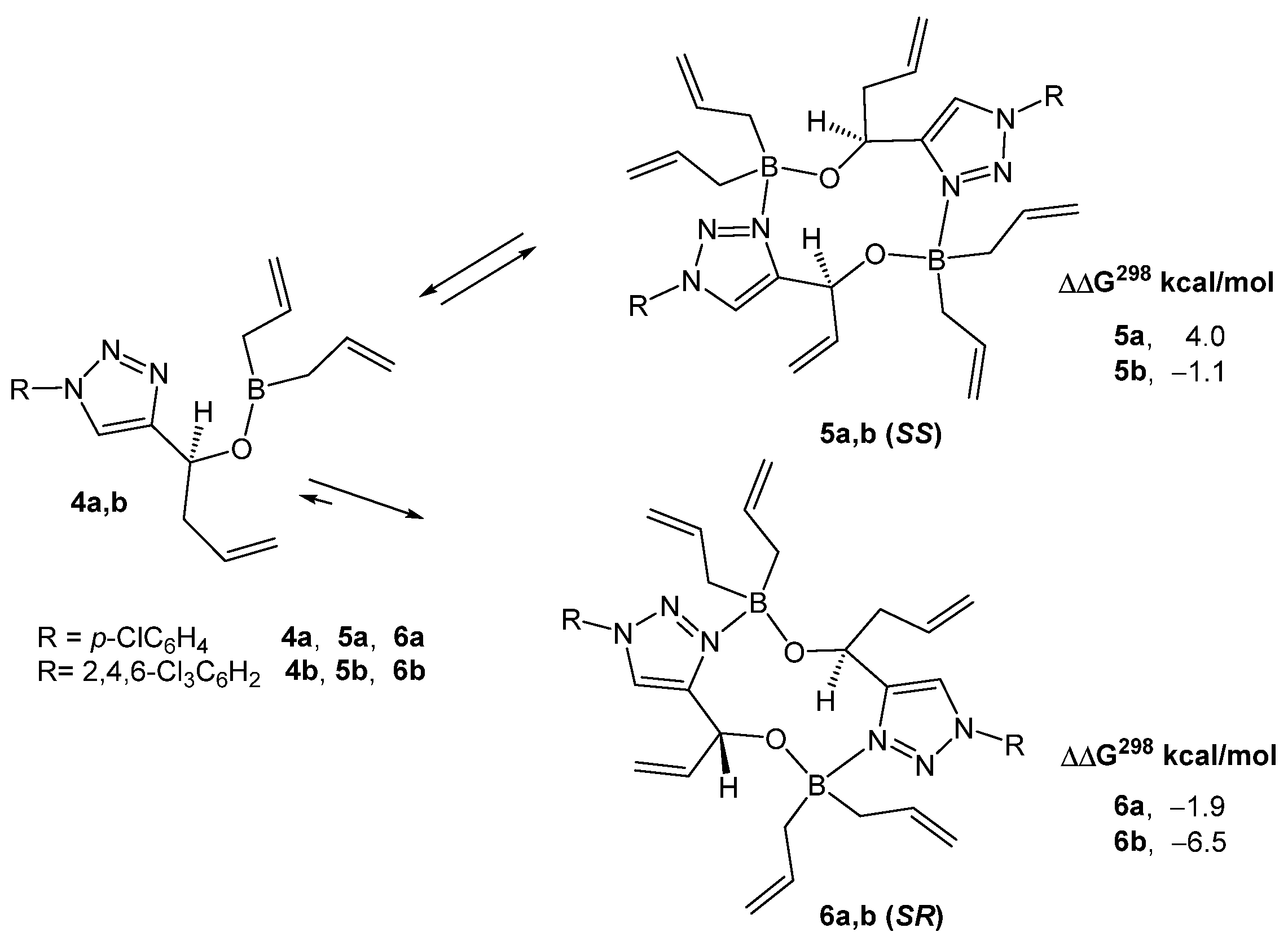
2.3. DFT Study of the Dimerization of Boronates
2.4. Enantioselective Allylboration via Boronate Esters 4
2.5. Recovery of the Boronate Esters 4; Possibility of Autocatalytic Chirality Amplification
2.6. Experimental Simulation of Enantioselective Allylboration of 1a,b with Optically Active Boronate Esters 4a,b
- (a)
- The reaction of an optically active 4a,b with 1a,b can be an enantioselective stage of the allylboration of 1a,b with triallylborane.
- (b)
- In these two cases, it is unlikely to result in macroscopic ee values due to low optical yields.
- (c)
- It might be possible to regulate the selectivity of this reaction by changing its conditions.
3. Discussion
4. Materials and Methods
4.1. Experimental Details
4.2. Computational Details
5. Conclusions
Supplementary Materials
Author Contributions
Funding
Institutional Review Board Statement
Data Availability Statement
Acknowledgments
Conflicts of Interest
References
- Soai, K.; Shibata, T.; Morioka, H.; Choji, K. Asymmetric autocatalysis and amplification of enantiomeric excess of a chiral molecule. Nature 1995, 378, 767–768. [Google Scholar] [CrossRef]
- Soai, K.; Shibata, T.; Sato, I. Discovery and Development of Asymmetric Autocatalysis. Bull. Chem. Soc. Jpn. 2004, 77, 1063–1073. [Google Scholar] [CrossRef]
- Soai, K.; Shibata, T.; Kowata, Y. Jpn. Kokai Tokkyo Koho 9-268179, 1997. Patent Application date: 1 February and 18 April, 1996. [Google Scholar]
- Soai, K.; Sato, I.; Shibata, T.; Komiya, S.; Hayashi, M.; Matsueda, Y.; Imamura, H.; Hayase, T.; Morioka, H.; Tabira, H.; et al. Asymmetric synthesis of pyrimidyl alkanol without adding chiral substances by the addition of diisopropylzinc to pyrimidine-5-carbaldehyde in conjunction with asymmetric autocatalysis. Tetrahedron Asymmetry 2003, 14, 185–188. [Google Scholar] [CrossRef]
- Quaranta, M.; Gehring, T.; Odell, B.; Brown, J.M.; Blackmond, D.G. Unusual Inverse Temperature Dependence on Reaction Rate in the Asymmetric Autocatalytic Alkylation of Pyrimidyl Aldehydes. J. Am. Chem. Soc. 2010, 132, 15104–15107. [Google Scholar] [CrossRef] [PubMed]
- Gridnev, I.D.; Vorobiev, A.K. Quantification of Sophisticated Equilibria in the Reaction Pool and Amplifying Catalytic Cycle of the Soai Reaction. ACS Catal. 2012, 2, 2137–2149. [Google Scholar] [CrossRef]
- Athavale, S.V.; Simon, A.; Houk, K.N.; Denmark, S.E. Demystifying the asymmetry-amplifying, autocatalytic behaviour of the Soai reaction through structural, mechanistic and computational studies. Nat. Chem. 2020, 4, 412–423. [Google Scholar] [CrossRef]
- Athavale, S.V.; Simon, A.; Houk, K.N.; Denmark, S.E. Structural Contributions to Autocatalysis and Asymmetric Amplification in the Soai Reaction. J. Am. Chem. Soc. 2020, 142, 18387–18406. [Google Scholar] [CrossRef]
- Trapp, O.; Lamour, S.; Maier, F.; Siegle, A.F.; Zawatzky, K.; Straub, B.F. In Situ Mass Spectrometric and Kinetic Investigations of Soai’s Asymmetric Autocatalysis. Chem. Eur. J. 2020, 68, 15871–15880. [Google Scholar] [CrossRef]
- Geiger, Y. One Soai reaction, two mechanisms? Chem. Soc. Rev. 2022, 51, 2006–2011. [Google Scholar] [CrossRef]
- Soai, K. Asymmetric Autocatalysis, Absolute Asymmetric Synthesis and Origin of Homochirality of Biomolecules. In Progress in Biological Chirality; Palyi, G., Zucchi, C., Caglioti, L., Eds.; Elsevier: London, UK, 2004; Volume 1, pp. 355–364. [Google Scholar]
- Soai, K.; Kawasaki, T.; Matsumoto, A. Asymmetric autocatalysis of pyrimidyl alkanol and related compounds. Self-replication, amplification of chirality and implication for the origin of biological enantioenriched chirality. Tetrahedron 2018, 74, 1973–1990. [Google Scholar] [CrossRef]
- Mislow, K. Absolute asymmetric synthesis: A commentary. Collect. Czech. Chem. Commun. 2003, 68, 849–864. [Google Scholar] [CrossRef]
- Gridnev, I.D.; Serafimov, J.M.; Quiney, H.; Brown, J.M. Reflections on spontaneous asymmetric synthesis by amplifying autocatalysis. Org. Biomol. Chem. 2003, 1, 3811–3819. [Google Scholar] [CrossRef] [PubMed]
- Singleton, D.A.; Vo, L.K. A Few Molecules Can Control the Enantiomeric Outcome. Evidence Supporting Absolute Asymmetric Synthesis Using the Soai Asymmetric Autocatalysis. Org. Lett. 2003, 23, 4337–4339. [Google Scholar] [CrossRef] [PubMed]
- Soai, K.; Kawasaki, T.; Matsumoto, A. Absolute Asymmetric Synthesis in the Soai Reaction. In Asymmetric Autocatalysis: The Soai Reaction; Soai, K., Kawasaki, T., Matsumoto, A., Eds.; Royal Society of Chemistry: Cambridge, UK, 2022; Volume 43, pp. 65–74. [Google Scholar]
- Mikhailov, O.A.; Saigitbatalova, E.S.h.; Latypova, L.Z.; Kurbangalieva, A.R.; Gridnev, I.D. Reaction of Triazolic Aldehydes with Diisopropyl Zinc: Chirality Dissipation versus Amplification. Symmetry 2023, 15, 1382. [Google Scholar] [CrossRef]
- Kondepudi, D.K.; Nelson, G.D. Chiral Symmetry Breaking in Nonequilibrium Systems. Phys. Rev. Lett. 1983, 50, 1023–1026. [Google Scholar] [CrossRef]
- Lente, G. Stochastic Modeling of Asymmetric Autocatalysis in the Soai Reaction. In Asymmetric Autocatalysis. The Soai Reaction; Soai, K., Kawasaki, T., Matsumoto, A., Eds.; Royal Society of Chemistry: Cambridge, UK, 2022; Volume 43, pp. 179–198. [Google Scholar]
- Buhse, T.; Noble-Terán, M.E.; Hochberg, D.; Ribo, J.M.; Micheau, J.C. Sponateous Emergence of Chirality in Autocatalytic Cycle Models of the Soai Reaction. In Asymmetric Autocatalysis: The Soai Reaction; Soai, K., Kawasaki, T., Matsumoto, A., Eds.; Royal Society of Chemistry: Cambridge, UK, 2022; Volume 43, pp. 129–153. [Google Scholar]
- Mikhailov, B.M.; Bubnov, Y.N. Organoboron Compounds in Organic Synthesis; Harwood Academic Publishers: Chur, Switzerland; London, UK; Paris, France; Utrecht, The Netherlands; New York, NY, USA, 1984; 781p. [Google Scholar]
- Bubnov, Y.N. Allylboranes, in Science of Synthesis, Houben Weyl Methods of Molecular Transformations; Matteson, D.S., Kaufmann, D., Eds.; George Thieme Verlag: Stuttgart, Germany, 2004; Volume 6, p. 945. [Google Scholar]
- Bubnov, Y.N. Allylboranes—Molecular design. Pure Appl. Chem. 1987, 59, 895–906. [Google Scholar] [CrossRef]
- Mikhailov, O.A.; Saigitbatalova, E.S.h.; Latypova, L.Z.; Gerasimova, D.P.; Lodochnikova, O.A.; Kurbangalieva, A.R.; Gridnev, I.D. Allylboration of Azolic Aldehydes. Enantioselective Synthesis of Azolic Homoallylic Alcohols. Reconsideration of the Mechanism of Enantioselection. Russ. Chem. Bull. 2024, 73, 2910–2920. [Google Scholar]
- Gridnev, I.D.; Serafimov, J.M.; Brown, J.M. Solution Structure and Reagent Binding of the Zinc Alkoxide Catalyst in the Soai Asymmetric Autocatalytic Reaction. Angew. Chem. Int. Ed. 2004, 43, 4884–4887. [Google Scholar] [CrossRef]
- Guillaneux, D.; Zhao, S.H.; Samuel, O.; Rainford, D.; Kagan, H.B. Nonlinear Effects in Asymmetric Catalysis. J. Am. Chem. Soc. 1994, 116, 9430–9439. [Google Scholar] [CrossRef]
- Girard, C.; Kagan, H.B. Nonlinear Effects in Asymmetric Synthesis and Stereoselective Reactions: Ten Years of Investigation. Angew. Chem. Int. Ed. 1998, 37, 2922–2959. [Google Scholar] [CrossRef]
- Satyanarayana, T.; Abraham, S.; Kagan, H.B. Nonlinear effects in asymmetric catalysis. Angew. Chem. Int. Ed. Engl. 2009, 48, 456–494. [Google Scholar] [CrossRef] [PubMed]
- Beak, P.; Anderson, D.R.; Curtis, M.D.; Laumer, J.M.; Pippel, D.J.; Weisenburger, G.A. Dynamic Thermodynamic Resolution: Control of Enantioselectivity through Diastereomeric Equilibration. Acc. Chem. Res. 2000, 33, 715–727. [Google Scholar] [CrossRef] [PubMed]
- Frank, F.C. On spontaneous Asymmetric Synthesis. Biochim. Biophys. Acta 1953, 11, 459–463. [Google Scholar] [CrossRef] [PubMed]
- Song, H.; Rogers, N.J.; Brabec, V.; Clarkson, G.J.; Coverdale, J.P.C.; Kostrhunova, H.; Phillips, R.M.; Postings, M.; Shepherd, S.L.; Scott, P. Triazole-based, optically-pure metallosupramolecules; highly potent and selective anticancer compounds. Chem. Commun. 2020, 56, 6392–6395. [Google Scholar] [CrossRef]
- Dai, Z.C.; Chen, Y.F.; Zhang, M.; Li, S.K.; Yang, T.T.; Shen, L.; Wang, J.X.; Qian, S.S.; Zhu, H.L.; Ye, Y.H. Synthesis and antifungal activity of 1,2,3-triazole phenylhydrazone derivatives. Org. Biomol. Chem. 2015, 13, 477–486. [Google Scholar] [CrossRef]
- Hagiwara, H.; Minoura, R.; Udagawa, T.; Mibu, K.; Okabayashi, J. Alternative route triggering multistep spin crossover with hysteresis in an iron(II) family mediated by flexible anion ordering. Inorg. Chem. 2020, 59, 9866–9880. [Google Scholar] [CrossRef]
- Gridnev, I.D. Attraction versus Repulsion in Rhodium-Catalyzed Asymmetric Hydrogenation. ChemCatChem 2016, 8, 3463–3468. [Google Scholar] [CrossRef]
- Zakharkin, L.I.; Stanko, V.I. Simple synthesis of triallylboron and some of its conversions. Russ. Chem. Bull. 1960, 9, 1774–1776. [Google Scholar] [CrossRef]
- Chai, J.-D.; Head-Gordon, M. Long-Range Corrected Hybrid Density Functionals with Damped Atom–Atom Dispersion Corrections. Phys. Chem. Chem. Phys. 2008, 10, 6615–6620. [Google Scholar] [CrossRef]
- Frisch, M.J.; Trucks, G.W.; Schlegel, H.B.; Scuseria, G.E.; Robb, M.A.; Cheeseman, J.R.; Scalmani, G.; Barone, V.; Mennucci, B.; Petersson, G.A.; et al. Gaussian 09, rev. D.01; Gaussian, Inc.: Wallingford, CT, USA, 2013. [Google Scholar]
- Becke, A.D. Density-functional exchange-energy approximation with correct asymptotic behavior. Phys. Rev. A 1988, 38, 3098–3100. [Google Scholar] [CrossRef]
- Ditchfield, R.; Hehre, W.J.; Pople, J.A. Self-Consistent Molecular-Orbital Methods. IX. An Extended Gaussian-Type Basis for Molecular-Orbital Studies of Organic Molecules. J. Chem. Phys. 1971, 54, 724–728. [Google Scholar] [CrossRef]
- Hehre, W.J.; Ditchfield, R.; Pople, J.A. Self-Consistent Molecular Orbital Methods. XII. Further Extensions of Gaussian-Type Basis Sets for Use in Molecular Orbital Studies of Organic Molecules. J. Chem. Phys. 1972, 56, 2257–2261. [Google Scholar] [CrossRef]
- Hariharan, P.C.; Pople, J.A. The influence of polarization functions on molecular orbital hydrogenation energies. Theor. Chim. Acta 1973, 28, 213–222. [Google Scholar] [CrossRef]
- Francl, M.M.; Pietro, W.J.; Hehre, W.J.; Binkley, J.S.; Gordon, M.S.; DeFrees, D.J.; Pople, J.A. Self-consistent molecular orbital methods. XXIII. A polarization-type basis set for second-row elements. J. Chem. Phys. 1982, 77, 3654–3665. [Google Scholar]
- Gordon, M.S.; Binkley, J.S.; Pople, J.A.; Pietro, W.J.; Hehre, W.J. Self-consistent molecular-orbital methods. Small split-valence basis sets for second-row elements. J. Am. Chem. Soc. 1982, 104, 2797–2803. [Google Scholar] [CrossRef]
- Rassolov, V.A.; Pople, J.A.; Ratner, M.A.; Windus, T.L. 6-31G* basis set for atoms K through Zn. J. Chem. Phys. 1998, 109, 1223–1229. [Google Scholar] [CrossRef]
- Marenich, A.V.; Cramer, C.J.; Truhlar, D.G. Universal Solvation Model Based on Solute Electron Density and on Continuum Model of the Solvent Defined by the Bulk Dielectric Constant and Atomic Surface Tensions. J. Phys. Chem. B 2009, 113, 6378–6396. [Google Scholar] [CrossRef]











| Starting Compound | Gibbs Free Energy for Formation of 3, kcal/mol | Gibbs Free Activation Energy, kcal/mol | Effective Gibbs Free Activation Energy, kcal/mol | Imaginary Frequency ν, cm–1 | Gibbs Free Energy of the Reaction, kcal/mol |
|---|---|---|---|---|---|
| 1a | 10.6 | 7.4 | 18.0 | i351.3 | –26.3 |
| 1b | 8.8 | 11.2 | 19.9 | i334.6 | –28.4 |
| 1c | 5.1 | 16.7 | 21.8 | i381.1 | –28.0 |
| 1d | 3.8 | 15.8 | 19.6 | i356.7 | –26.5 |
| 1e | 6.6 | 7.4 | 14.1 | i353.1 | –27.1 |
| Starting Compound | Gibbs Free Energy for Formation of 7a,b | Gibbs Free Activation Energy, kcal/mol | Effective Free Activation Energy, kcal/mol | Imaginary Frequency ν, cm–1 | Gibbs Free Energy of the Reaction, kcal/mol | |
|---|---|---|---|---|---|---|
| 4a | 9.9 | TS2a(S) | 4.3 | 14.2 | i326.1 | –30.4 |
| TS2a’(S) | –1.5 | 8.4 | i346.9 | |||
| TS2a(R) | 9.7 | 19.6 | i413.7 | –40.6 | ||
| TS2a’(R) | 1.5 | 11.5 | i233.3 | |||
| 4b | 14.1 | TS2b(S) | 8.1 | 22.2 | i328.5 | –21.5 |
| TS2b’(S) | 4.7 | 18.7 | i352.9 | |||
| TS2b(R) | 13.1 | 27.1 | i370.1 | –20.6 | ||
| TS2b’(R) | 8.4 | 22.5 | i398.7 | |||
| Starting Compound | Gibbs Free Energy for Formation of 10 | Gibbs Free Activation Energy, kcal/mol | Effective Gibbs Free Activation Energy, kcal/mol | Imaginary Frequency ν, cm–1 | Gibbs Free Energy of the Reaction, kcal/mol |
|---|---|---|---|---|---|
| 8a | 4.7 | 18.9 | 23.5 | i78.20 | 4.1 |
| 8b | 11.3 | 20.2 | 31.5 | i116.05 | –6.8 |
Disclaimer/Publisher’s Note: The statements, opinions and data contained in all publications are solely those of the individual author(s) and contributor(s) and not of MDPI and/or the editor(s). MDPI and/or the editor(s) disclaim responsibility for any injury to people or property resulting from any ideas, methods, instructions or products referred to in the content. |
© 2024 by the authors. Licensee MDPI, Basel, Switzerland. This article is an open access article distributed under the terms and conditions of the Creative Commons Attribution (CC BY) license (https://creativecommons.org/licenses/by/4.0/).
Share and Cite
Mikhailov, O.A.; Gurskii, M.E.; Kurbangalieva, A.R.; Gridnev, I.D. Exploring Border Conditions for Spontaneous Emergence of Chirality in Allylboration of 1,2,3-Triazolic Aldehydes. Int. J. Mol. Sci. 2024, 25, 11273. https://doi.org/10.3390/ijms252011273
Mikhailov OA, Gurskii ME, Kurbangalieva AR, Gridnev ID. Exploring Border Conditions for Spontaneous Emergence of Chirality in Allylboration of 1,2,3-Triazolic Aldehydes. International Journal of Molecular Sciences. 2024; 25(20):11273. https://doi.org/10.3390/ijms252011273
Chicago/Turabian StyleMikhailov, Oleg A., Mikhail E. Gurskii, Almira R. Kurbangalieva, and Ilya D. Gridnev. 2024. "Exploring Border Conditions for Spontaneous Emergence of Chirality in Allylboration of 1,2,3-Triazolic Aldehydes" International Journal of Molecular Sciences 25, no. 20: 11273. https://doi.org/10.3390/ijms252011273
APA StyleMikhailov, O. A., Gurskii, M. E., Kurbangalieva, A. R., & Gridnev, I. D. (2024). Exploring Border Conditions for Spontaneous Emergence of Chirality in Allylboration of 1,2,3-Triazolic Aldehydes. International Journal of Molecular Sciences, 25(20), 11273. https://doi.org/10.3390/ijms252011273

