Genotype Characterization and MiRNA Expression Profiling in Usher Syndrome Cell Lines
Abstract
1. Introduction
2. Results
2.1. Targeted Exon Sequencing
2.2. miRNA Microarray Analysis
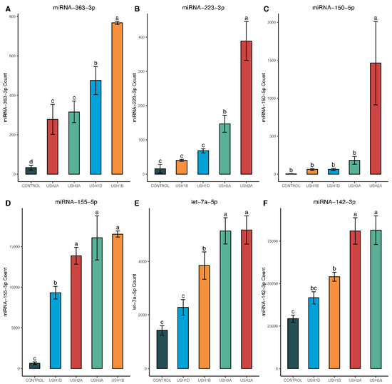
2.3. miRNA ddPCR Analysis
3. Discussion
4. Materials and Methods
4.1. Cell Lines
4.2. DNA Extraction and Shearing
4.3. Targeted Exon Sequencing
4.4. Variant Calling and Interpretation
4.5. RNA Extraction and miRNA Expression Assay
4.6. Absolute Quantification of miRNAs by Droplet Digital PCR (ddPCR)
4.7. Statistical Analysis
5. Conclusions
Supplementary Materials
Author Contributions
Funding
Institutional Review Board Statement
Informed Consent Statement
Data Availability Statement
Acknowledgments
Conflicts of Interest
References
- Whatley, M.; Francis, A.; Ng, Z.Y.; Khoh, X.E.; Atlas, M.D.; Dilley, R.J.; Wong, E.Y.M. Usher Syndrome: Genetics and Molecular Links of Hearing Loss and Directions for Therapy. Front. Genet. 2020, 11, 565216. [Google Scholar] [CrossRef]
- Delmaghani, S.; El-Amraoui, A. The Genetic and Phenotypic Landscapes of Usher Syndrome: From Disease Mechanisms to a New Classification. Hum. Genet. 2022, 141, 709–735. [Google Scholar] [CrossRef] [PubMed]
- Kimberling, W.J.; Hildebrand, M.S.; Shearer, A.E.; Jensen, M.L.; Halder, J.A.; Trzupek, K.; Cohn, E.S.; Weleber, R.G.; Stone, E.M.; Smith, R.J.H. Frequency of Usher Syndrome in Two Pediatric Populations: Implications for Genetic Screening of Deaf and Hard of Hearing Children. Genet. Med. 2010, 12, 512–516. [Google Scholar] [CrossRef] [PubMed]
- Zheng, Q.Y.; Yan, D.; Ouyang, X.M.; Du, L.L.; Yu, H.; Chang, B.; Johnson, K.R.; Liu, X.Z. Digenic Inheritance of Deafness Caused by Mutations in Genes Encoding Cadherin 23 and Protocadherin 15 in Mice and Humans. Hum. Mol. Genet. 2005, 14, 103–111. [Google Scholar] [CrossRef]
- Zheng, Q.Y.; Scarborough, J.D.; Zheng, Y.; Yu, H.; Choi, D.; Gillespie, P.G. Digenic Inheritance of Deafness Caused by 8J Allele of Myosin-VIIA and Mutations in Other Usher I Genes. Hum. Mol. Genet. 2012, 21, 2588–2598. [Google Scholar] [CrossRef]
- Koenekoop, R.K.; Arriaga, M.A.; Trzupek, K.M.; Lentz, J.J. Usher Syndrome Type I. In GeneReviews®; University of Washington: Seattle, WA, USA, 2020. [Google Scholar]
- MYO7A Myosin VIIA [Homo Sapiens (Human)]—Gene—NCBI. Available online: https://www.ncbi.nlm.nih.gov/gene/4647#gene-expression (accessed on 9 September 2024).
- Miyoshi, T.; Belyantseva, I.A.; Sajeevadathan, M.; Friedman, T.B. Pathophysiology of Human Hearing Loss Associated with Variants in Myosins. Front. Physiol. 2024, 15, 1374901. [Google Scholar] [CrossRef]
- Williams, D.S.; Lopes, V. The Many Different Cellular Functions of MYO7A in the Retina. Biochem. Soc. Trans. 2011, 39, 1207–1210. [Google Scholar] [CrossRef]
- Jacobson, S.G.; Cideciyan, A.V.; Gibbs, D.; Sumaroka, A.; Roman, A.J.; Aleman, T.S.; Schwartz, S.B.; Olivares, M.B.; Russell, R.C.; Steinberg, J.D.; et al. Retinal Disease Course in Usher Syndrome 1B due to MYO7A Mutations. Investig. Ophthalmol. Vis. Sci. 2011, 52, 7924–7936. [Google Scholar] [CrossRef]
- Reiners, J.; Nagel-Wolfrum, K.; Jürgens, K.; Märker, T.; Wolfrum, U. Molecular Basis of Human Usher Syndrome: Deciphering the Meshes of the Usher Protein Network Provides Insights into the Pathomechanisms of the Usher Disease. Exp. Eye Res. 2006, 83, 97–119. [Google Scholar] [CrossRef]
- Palma, F.D.; Holme, R.H.; Bryda, E.C.; Belyantseva, I.A.; Pellegrino, R.; Kachar, B.; Steel, K.P.; Noben-Trauth, K. Mutations in Cdh23, Encoding a New Type of Cadherin, Cause Stereocilia Disorganization in Waltzer, the Mouse Model for Usher Syndrome Type 1D. Nat. Genet. 2001, 27, 103–107. [Google Scholar] [CrossRef]
- Brusés, J.L. Cadherin-Mediated Adhesion at the Interneuronal Synapse. Curr. Opin. Cell Biol. 2000, 12, 593–597. [Google Scholar] [CrossRef] [PubMed]
- Reiners, J.; Reidel, B.; El-Amraoui, A.; Boëda, B.; Huber, I.; Petit, C.; Wolfrum, U. Differential Distribution of Harmonin Isoforms and Their Possible Role in Usher-1 Protein Complexes in Mammalian Photoreceptor Cells. Investig. Ophthalmol. Vis. Sci. 2003, 44, 5006–5015. [Google Scholar] [CrossRef]
- Koenekoop, R.; Arriaga, M.; Trzupek, K.M.; Lentz, J. Usher Syndrome Type II. In GeneReviews®; Adam, M.P., Mirzaa, G.M., Pagon, R.A., Wallace, S.E., Bean, L.J., Gripp, K.W., Amemiya, A., Eds.; University of Washington: Seattle, WA, USA, 1993. [Google Scholar]
- Sanjurjo-Soriano, C.; Jimenez-Medina, C.; Erkilic, N.; Cappellino, L.; Lefevre, A.; Nagel-Wolfrum, K.; Wolfrum, U.; Van Wijk, E.; Roux, A.-F.; Meunier, I.; et al. USH2A Variants Causing Retinitis Pigmentosa or Usher Syndrome Provoke Differential Retinal Phenotypes in Disease-Specific Organoids. Hum. Genet. Genom. Adv. 2023, 4, 100229. [Google Scholar] [CrossRef]
- Liu, X.; Bulgakov, O.V.; Darrow, K.N.; Pawlyk, B.; Adamian, M.; Liberman, M.C.; Li, T. Usherin Is Required for Maintenance of Retinal Photoreceptors and Normal Development of Cochlear Hair Cells. Proc. Natl. Acad. Sci. USA 2007, 104, 4413–4418. [Google Scholar] [CrossRef] [PubMed]
- Adato, A.; Vreugde, S.; Joensuu, T.; Avidan, N.; Hamalainen, R.; Belenkiy, O.; Olender, T.; Bonne-Tamir, B.; Ben-Asher, E.; Espinos, C.; et al. USH3A Transcripts Encode Clarin-1, a Four-Transmembrane-Domain Protein with a Possible Role in Sensory Synapses. Eur. J. Hum. Genet. 2002, 10, 339–350. [Google Scholar] [CrossRef]
- Smirnov, V.M.; Nassisi, M.; Mohand-Saïd, S.; Bonnet, C.; Aubois, A.; Devisme, C.; Dib, T.; Zeitz, C.; Loundon, N.; Marlin, S.; et al. Retinal Phenotype of Patients with CLRN1-Associated Usher 3A Syndrome in French Light4Deaf Cohort. Investig. Ophthalmol. Vis. Sci. 2022, 63, 25. [Google Scholar] [CrossRef]
- Londin, E.; Loher, P.; Telonis, A.G.; Quann, K.; Clark, P.; Jing, Y.; Hatzimichael, E.; Kirino, Y.; Honda, S.; Lally, M.; et al. Analysis of 13 Cell Types Reveals Evidence for the Expression of Numerous Novel Primate- and Tissue-Specific microRNAs. Proc. Natl. Acad. Sci. USA 2015, 112, E1106–E1115. [Google Scholar] [CrossRef]
- Weston, M.D.; Pierce, M.L.; Rocha-Sanchez, S.; Beisel, K.W.; Soukup, G.A. MicroRNA Gene Expression in the Mouse Inner Ear. Brain Res. 2006, 1111, 95–104. [Google Scholar] [CrossRef]
- Karali, M.; Peluso, I.; Marigo, V.; Banfi, S. Identification and Characterization of microRNAs Expressed in the Mouse Eye. Investig. Ophthalmol. Vis. Sci. 2007, 48, 509–515. [Google Scholar] [CrossRef]
- Li, H.; Fekete, D.M. MicroRNAs in Hair Cell Development and Deafness. Curr. Opin. Otolaryngol. Head Neck Surg. 2010, 18, 459–465. [Google Scholar] [CrossRef]
- Andreeva, K.; Cooper, N.G.F. MicroRNAs in the Neural Retina. Int. J. Genom. 2014, 2014, 165897. [Google Scholar] [CrossRef]
- Ushakov, K.; Rudnicki, A.; Avraham, K.B. MicroRNAs in Sensorineural Diseases of the Ear. Front. Mol. Neurosci. 2013, 6, 52. [Google Scholar] [CrossRef]
- Dambal, S.; Shah, M.; Mihelich, B.; Nonn, L. The microRNA-183 Cluster: The Family That Plays Together Stays Together. Nucleic Acids Res. 2015, 43, 7173–7188. [Google Scholar] [CrossRef] [PubMed]
- Li, H.; Kloosterman, W.; Fekete, D.M. MicroRNA-183 Family Members Regulate Sensorineural Fates in the Inner Ear. J. Neurosci. 2010, 30, 3254–3263. [Google Scholar] [CrossRef] [PubMed]
- Mittal, R.; Liu, G.; Polineni, S.P.; Bencie, N.; Yan, D.; Liu, X.Z. Role of microRNAs in Inner Ear Development and Hearing Loss. Gene 2019, 686, 49–55. [Google Scholar] [CrossRef]
- Xiang, L.; Chen, X.-J.; Wu, K.-C.; Zhang, C.-J.; Zhou, G.-H.; Lv, J.-N.; Sun, L.-F.; Cheng, F.-F.; Cai, X.-B.; Jin, Z.-B. miR-183/96 Plays a Pivotal Regulatory Role in Mouse Photoreceptor Maturation and Maintenance. Proc. Natl. Acad. Sci. USA 2017, 114, 6376–6381. [Google Scholar] [CrossRef]
- Zhang, C.-J.; Xiang, L.; Chen, X.-J.; Wang, X.-Y.; Wu, K.-C.; Zhang, B.-W.; Chen, D.-F.; Jin, G.-H.; Zhang, H.; Chen, Y.-C.; et al. Ablation of Mature miR-183 Leads to Retinal Dysfunction in Mice. Investig. Ophthalmol. Vis. Sci. 2020, 61, 12. [Google Scholar] [CrossRef]
- Lumayag, S.; Haldin, C.E.; Corbett, N.J.; Wahlin, K.J.; Cowan, C.; Turturro, S.; Larsen, P.E.; Kovacs, B.; Witmer, P.D.; Valle, D.; et al. Inactivation of the microRNA-183/96/182 Cluster Results in Syndromic Retinal Degeneration. Proc. Natl. Acad. Sci. USA 2013, 110, E507–E516. [Google Scholar] [CrossRef]
- Richards, S.; Aziz, N.; Bale, S.; Bick, D.; Das, S.; Gastier-Foster, J.; Grody, W.W.; Hegde, M.; Lyon, E.; Spector, E.; et al. Standards and Guidelines for the Interpretation of Sequence Variants: A Joint Consensus Recommendation of the American College of Medical Genetics and Genomics and the Association for Molecular Pathology. Genet. Med. 2015, 17, 405–424. [Google Scholar] [CrossRef]
- Schultz, J.M.; Bhatti, R.; Madeo, A.C.; Turriff, A.; Muskett, J.A.; Zalewski, C.K.; King, K.A.; Ahmed, Z.M.; Riazuddin, S.; Ahmad, N.; et al. Allelic Hierarchy of CDH23 Mutations Causing Non-Syndromic Deafness DFNB12 or Usher Syndrome USH1D in Compound Heterozygotes. J. Med. Genet. 2011, 48, 767–775. [Google Scholar] [CrossRef]
- Al Dhahouri, N.; Ali, A.; Hertecant, J.; Al-Jasmi, F. Case Report: Reinterpretation and Reclassification of ARSB:P.Arg159Cys Variant Identified in an Emirati Patient with Hearing Loss Caused by a Pathogenic Variant in the CDH23 Gene. Front. Pediatr. 2021, 9, 803732. [Google Scholar] [CrossRef]
- Astuto, L.M.; Bork, J.M.; Weston, M.D.; Askew, J.W.; Fields, R.R.; Orten, D.J.; Ohliger, S.J.; Riazuddin, S.; Morell, R.J.; Khan, S.; et al. CDH23 Mutation and Phenotype Heterogeneity: A Profile of 107 Diverse Families with Usher Syndrome and Nonsyndromic Deafness. Am. J. Hum. Genet. 2002, 71, 262–275. [Google Scholar] [CrossRef] [PubMed]
- Bolz, H.; von Brederlow, B.; Ramírez, A.; Bryda, E.C.; Kutsche, K.; Nothwang, H.G.; Seeliger, M.; del C-Salcedó Cabrera, M.; Vila, M.C.; Molina, O.P.; et al. Mutation of CDH23, Encoding a New Member of the Cadherin Gene Family, Causes Usher Syndrome Type 1D. Nat. Genet. 2001, 27, 108–112. [Google Scholar] [CrossRef] [PubMed]
- Zhao, L.; Wang, F.; Wang, H.; Li, Y.; Alexander, S.; Wang, K.; Willoughby, C.E.; Zaneveld, J.E.; Jiang, L.; Soens, Z.T.; et al. Next-Generation Sequencing-Based Molecular Diagnosis of 82 Retinitis Pigmentosa Probands from Northern Ireland. Hum. Genet. 2015, 134, 217–230. [Google Scholar] [CrossRef] [PubMed]
- Kannan-Sundhari, A.; Yan, D.; Saeidi, K.; Sahebalzamani, A.; Blanton, S.H.; Liu, X.Z. Screening Consanguineous Families for Hearing Loss Using the MiamiOtoGenes Panel. Genet. Test. Mol. Biomark. 2020, 24, 674–680. [Google Scholar] [CrossRef]
- Svidnicki, M.C.C.M.; Silva-Costa, S.M.; Ramos, P.Z.; dos Santos, N.Z.P.; Martins, F.T.A.; Castilho, A.M.; Sartorato, E.L. Screening of Genetic Alterations Related to Non-Syndromic Hearing Loss Using MassARRAY iPLEX® Technology. BMC Med. Genet. 2015, 16, 85. [Google Scholar] [CrossRef]
- Bujakowska, K.M.; Consugar, M.; Place, E.; Harper, S.; Lena, J.; Taub, D.G.; White, J.; Navarro-Gomez, D.; Weigel DiFranco, C.; Farkas, M.H.; et al. Targeted Exon Sequencing in Usher Syndrome Type I. Investig. Ophthalmol. Vis. Sci. 2014, 55, 8488–8496. [Google Scholar] [CrossRef]
- Baux, D.; Faugère, V.; Larrieu, L.; Le Guédard-Méreuze, S.; Hamroun, D.; Béroud, C.; Malcolm, S.; Claustres, M.; Roux, A.-F. UMD-USHbases: A Comprehensive Set of Databases to Record and Analyse Pathogenic Mutations and Unclassified Variants in Seven Usher Syndrome Causing Genes. Hum. Mutat. 2008, 29, E76–E87. [Google Scholar] [CrossRef]
- Becirovic, E.; Ebermann, I.; Nagy, D.; Zrenner, E.; Seeliger, M.W.; Bolz, H.J. Usher Syndrome Type 1 due to Missense Mutations on Both CDH23 Alleles: Investigation of mRNA Splicing. Hum. Mutat. 2008, 29, 452. [Google Scholar] [CrossRef]
- Bonnet, C.; Riahi, Z.; Chantot-Bastaraud, S.; Smagghe, L.; Letexier, M.; Marcaillou, C.; Lefèvre, G.M.; Hardelin, J.-P.; El-Amraoui, A.; Singh-Estivalet, A.; et al. An Innovative Strategy for the Molecular Diagnosis of Usher Syndrome Identifies Causal Biallelic Mutations in 93% of European Patients. Eur. J. Hum. Genet. 2016, 24, 1730–1738. [Google Scholar] [CrossRef]
- Sloan-Heggen, C.M.; Bierer, A.O.; Shearer, A.E.; Kolbe, D.L.; Nishimura, C.J.; Frees, K.L.; Ephraim, S.S.; Shibata, S.B.; Booth, K.T.; Campbell, C.A.; et al. Comprehensive Genetic Testing in the Clinical Evaluation of 1119 Patients with Hearing Loss. Hum. Genet. 2016, 135, 441–450. [Google Scholar] [CrossRef] [PubMed]
- Lenassi, E.; Saihan, Z.; Cipriani, V.; Le Quesne Stabej, P.; Moore, A.T.; Luxon, L.M.; Bitner-Glindzicz, M.; Webster, A.R. Natural History and Retinal Structure in Patients with Usher Syndrome Type 1 Owing to MYO7A Mutation. Ophthalmology 2014, 121, 580–587. [Google Scholar] [CrossRef] [PubMed]
- Le Quesne Stabej, P.; Saihan, Z.; Rangesh, N.; Steele-Stallard, H.B.; Ambrose, J.; Coffey, A.; Emmerson, J.; Haralambous, E.; Hughes, Y.; Steel, K.P.; et al. Comprehensive Sequence Analysis of Nine Usher Syndrome Genes in the UK National Collaborative Usher Study. J. Med. Genet. 2012, 49, 27–36. [Google Scholar] [CrossRef] [PubMed]
- Jacobson, S.G.; Aleman, T.S.; Sumaroka, A.; Cideciyan, A.V.; Roman, A.J.; Windsor, E.A.M.; Schwartz, S.B.; Rehm, H.L.; Kimberling, W.J. Disease Boundaries in the Retina of Patients with Usher Syndrome Caused by MYO7A Gene Mutations. Investig. Ophthalmol. Vis. Sci. 2009, 50, 1886–1894. [Google Scholar] [CrossRef]
- Buratti, E.; Chivers, M.; Královicová, J.; Romano, M.; Baralle, M.; Krainer, A.R.; Vorechovsky, I. Aberrant 5′ Splice Sites in Human Disease Genes: Mutation Pattern, Nucleotide Structure and Comparison of Computational Tools That Predict Their Utilization. Nucleic Acids Res. 2007, 35, 4250–4263. [Google Scholar] [CrossRef] [PubMed]
- Ouyang, X.M.; Yan, D.; Du, L.L.; Hejtmancik, J.F.; Jacobson, S.G.; Nance, W.E.; Li, A.R.; Angeli, S.; Kaiser, M.; Newton, V.; et al. Characterization of Usher Syndrome Type I Gene Mutations in an Usher Syndrome Patient Population. Hum. Genet. 2005, 116, 292–299. [Google Scholar] [CrossRef]
- Bharadwaj, A.K.; Kasztejna, J.P.; Huq, S.; Berson, E.L.; Dryja, T.P. Evaluation of the Myosin VIIA Gene and Visual Function in Patients with Usher Syndrome Type I. Exp. Eye Res. 2000, 71, 173–181. [Google Scholar] [CrossRef]
- Zhang, M.Q. Statistical Features of Human Exons and Their Flanking Regions. Hum. Mol. Genet. 1998, 7, 919–932. [Google Scholar] [CrossRef]
- Västinsalo, H.; Jalkanen, R.; Bergmann, C.; Neuhaus, C.; Kleemola, L.; Jauhola, L.; Bolz, H.J.; Sankila, E.-M. Extended Mutation Spectrum of Usher Syndrome in Finland. Acta Ophthalmol. 2013, 91, 325–334. [Google Scholar] [CrossRef]
- Isosomppi, J.; Västinsalo, H.; Geller, S.F.; Heon, E.; Flannery, J.G.; Sankila, E.-M. Disease-Causing Mutations in the CLRN1 Gene Alter Normal CLRN1 Protein Trafficking to the Plasma Membrane. Mol. Vis. 2009, 15, 1806–1818. [Google Scholar]
- Fields, R.R.; Zhou, G.; Huang, D.; Davis, J.R.; Möller, C.; Jacobson, S.G.; Kimberling, W.J.; Sumegi, J. Usher Syndrome Type III: Revised Genomic Structure of the USH3 Gene and Identification of Novel Mutations. Am. J. Hum. Genet. 2002, 71, 607–617. [Google Scholar] [CrossRef] [PubMed][Green Version]
- Joensuu, T.; Hämäläinen, R.; Yuan, B.; Johnson, C.; Tegelberg, S.; Gasparini, P.; Zelante, L.; Pirvola, U.; Pakarinen, L.; Lehesjoki, A.E.; et al. Mutations in a Novel Gene with Transmembrane Domains Underlie Usher Syndrome Type 3. Am. J. Hum. Genet. 2001, 69, 673–684. [Google Scholar] [CrossRef] [PubMed]
- McGee, T.L.; Seyedahmadi, B.J.; Sweeney, M.O.; Dryja, T.P.; Berson, E.L. Novel Mutations in the Long Isoform of the USH2A Gene in Patients with Usher Syndrome Type II or Non-Syndromic Retinitis Pigmentosa. J. Med. Genet. 2010, 47, 499–506. [Google Scholar] [CrossRef] [PubMed]
- Ebermann, I.; Phillips, J.B.; Liebau, M.C.; Koenekoop, R.K.; Schermer, B.; Lopez, I.; Schäfer, E.; Roux, A.-F.; Dafinger, C.; Bernd, A.; et al. PDZD7 Is a Modifier of Retinal Disease and a Contributor to Digenic Usher Syndrome. J. Clin. Investig. 2010, 120, 1812–1823. [Google Scholar] [CrossRef] [PubMed]
- Ebermann, I.; Koenekoop, R.K.; Lopez, I.; Bou-Khzam, L.; Pigeon, R.; Bolz, H.J. An USH2A Founder Mutation Is the Major Cause of Usher Syndrome Type 2 in Canadians of French Origin and Confirms Common Roots of Quebecois and Acadians. Eur. J. Hum. Genet. 2009, 17, 80–84. [Google Scholar] [CrossRef]
- Sandberg, M.A.; Rosner, B.; Weigel-DiFranco, C.; McGee, T.L.; Dryja, T.P.; Berson, E.L. Disease Course in Patients with Autosomal Recessive Retinitis Pigmentosa due to the USH2A Gene. Investig. Ophthalmol. Vis. Sci. 2008, 49, 5532–5539. [Google Scholar] [CrossRef]
- Seyedahmadi, B.J.; Rivolta, C.; Keene, J.A.; Berson, E.L.; Dryja, T.P. Comprehensive Screening of the USH2A Gene in Usher Syndrome Type II and Non-Syndromic Recessive Retinitis Pigmentosa. Exp. Eye Res. 2004, 79, 167–173. [Google Scholar] [CrossRef]
- Weston, M.D.; Eudy, J.D.; Fujita, S.; Yao, S.; Usami, S.; Cremers, C.; Greenberg, J.; Ramesar, R.; Martini, A.; Moller, C.; et al. Genomic Structure and Identification of Novel Mutations in Usherin, the Gene Responsible for Usher Syndrome Type IIa. Am. J. Hum. Genet. 2000, 66, 1199–1210. [Google Scholar] [CrossRef]
- Eudy, J.D.; Weston, M.D.; Yao, S.; Hoover, D.M.; Rehm, H.L.; Ma-Edmonds, M.; Yan, D.; Ahmad, I.; Cheng, J.J.; Ayuso, C.; et al. Mutation of a Gene Encoding a Protein with Extracellular Matrix Motifs in Usher Syndrome Type IIa. Science 1998, 280, 1753–1757. [Google Scholar] [CrossRef]
- Dreyer, B.; Tranebjaerg, L.; Rosenberg, T.; Weston, M.D.; Kimberling, W.J.; Nilssen, O. Identification of Novel USH2A Mutations: Implications for the Structure of USH2A Protein. Eur. J. Hum. Genet. 2000, 8, 500–506. [Google Scholar] [CrossRef]
- Zong, L.; Chen, K.; Wu, X.; Liu, M.; Jiang, H. Compound Heterozygous MYO7A Mutations Segregating Usher Syndrome Type 2 in a Han Family. Int. J. Pediatr. Otorhinolaryngol. 2016, 90, 150–155. [Google Scholar] [CrossRef] [PubMed]
- Xing, D.; Zhou, H.; Yu, R.; Wang, L.; Hu, L.; Li, Z.; Li, X. Targeted Exome Sequencing Identified a Novel USH2A Mutation in a Chinese Usher Syndrome Family: A Case Report. BMC Ophthalmol. 2020, 20, 485. [Google Scholar] [CrossRef]
- Västinsalo, H.; Jalkanen, R.; Dinculescu, A.; Isosomppi, J.; Geller, S.; Flannery, J.G.; Hauswirth, W.W.; Sankila, E.-M. Alternative Splice Variants of the USH3A Gene Clarin 1 (CLRN1). Eur. J. Hum. Genet. 2011, 19, 30–35. [Google Scholar] [CrossRef] [PubMed]
- Kuhn, S.; Johnson, S.L.; Furness, D.N.; Chen, J.; Ingham, N.; Hilton, J.M.; Steffes, G.; Lewis, M.A.; Zampini, V.; Hackney, C.M.; et al. miR-96 Regulates the Progression of Differentiation in Mammalian Cochlear Inner and Outer Hair Cells. Proc. Natl. Acad. Sci. USA 2011, 108, 2355–2360. [Google Scholar] [CrossRef]
- Lewis, M.A.; Quint, E.; Glazier, A.M.; Fuchs, H.; De Angelis, M.H.; Langford, C.; van Dongen, S.; Abreu-Goodger, C.; Piipari, M.; Redshaw, N.; et al. An ENU-Induced Mutation of miR-96 Associated with Progressive Hearing Loss in Mice. Nat. Genet. 2009, 41, 614–618. [Google Scholar] [CrossRef]
- Soldà, G.; Robusto, M.; Primignani, P.; Castorina, P.; Benzoni, E.; Cesarani, A.; Ambrosetti, U.; Asselta, R.; Duga, S. A Novel Mutation within the MIR96 Gene Causes Non-Syndromic Inherited Hearing Loss in an Italian Family by Altering Pre-miRNA Processing. Hum. Mol. Genet. 2012, 21, 577–585. [Google Scholar] [CrossRef]
- Mencía, A.; Modamio-Høybjør, S.; Redshaw, N.; Morín, M.; Mayo-Merino, F.; Olavarrieta, L.; Aguirre, L.A.; del Castillo, I.; Steel, K.P.; Dalmay, T.; et al. Mutations in the Seed Region of Human miR-96 Are Responsible for Nonsyndromic Progressive Hearing Loss. Nat. Genet. 2009, 41, 609–613. [Google Scholar] [CrossRef]
- Xu, S.; Coku, A.; Muraleedharan, C.K.; Harajli, A.; Mishulin, E.; Dahabra, C.; Choi, J.; Garcia, W.J.; Webb, K.; Birch, D.; et al. Mutation Screening in the miR-183/96/182 Cluster in Patients with Inherited Retinal Dystrophy. Front. Cell Dev. Biol. 2020, 8, 619641. [Google Scholar] [CrossRef]
- Ji, H.-P.; Xiong, Y.; Song, W.-T.; Zhang, E.-D.; Gao, Z.-L.; Yao, F.; Su, T.; Zhou, R.-R.; Xia, X.-B. MicroRNA-28 Potentially Regulates the Photoreceptor Lineage Commitment of Müller Glia-Derived Progenitors. Sci. Rep. 2017, 7, 11374. [Google Scholar] [CrossRef]
- Mahmoudian-Sani, M.-R.; Mehri-Ghahfarrokhi, A.; Ahmadinejad, F.; Hashemzadeh-Chaleshtori, M.; Saidijam, M.; Jami, M.-S. MicroRNAs: Effective Elements in Ear-Related Diseases and Hearing Loss. Eur. Arch. Otorhinolaryngol. 2017, 274, 2373–2380. [Google Scholar] [CrossRef]
- Ding, L.; Liu, J.; Shen, H.-X.; Pan, L.-P.; Liu, Q.-D.; Zhang, H.-D.; Han, L.; Shuai, L.-G.; Ding, E.-M.; Zhao, Q.-N.; et al. Analysis of Plasma microRNA Expression Profiles in Male Textile Workers with Noise-Induced Hearing Loss. Hear. Res. 2016, 333, 275–282. [Google Scholar] [CrossRef]
- Zhang, N.; Li, W.-W.; Lv, C.-M.; Gao, Y.-W.; Liu, X.-L.; Zhao, L. miR-16-5p and miR-19b-3p Prevent Amyloid β-Induced Injury by Targeting BACE1 in SH-SY5Y Cells. Neuroreport 2020, 31, 205–212. [Google Scholar] [CrossRef] [PubMed]
- Hong, E.H.; Hwang, M.; Yu, H.; Park, H.-H.; Cho, H.; Koh, S.-H.; Shin, Y.U. Differential Expression of Aqueous Humor microRNAs in Central Retinal Vein Occlusion and Its Association with Matrix Metalloproteinases: A Pilot Study. Sci. Rep. 2022, 12, 16429. [Google Scholar] [CrossRef]
- Wang, D.-H.; Gu, C.; Yuan, Y.-Z. Case Report: A Case of Cystoid Macular Edema in Retinitis Pigmentosa with Central Retinal Vein Occlusion. Front. Med. 2022, 9, 877429. [Google Scholar]
- Almenar-Pérez, E.; Sarría, L.; Nathanson, L.; Oltra, E. Assessing Diagnostic Value of microRNAs from Peripheral Blood Mononuclear Cells and Extracellular Vesicles in Myalgic Encephalomyelitis/Chronic Fatigue Syndrome. Sci. Rep. 2020, 10, 2064. [Google Scholar] [CrossRef]
- Forte, E.; Salinas, R.E.; Chang, C.; Zhou, T.; Linnstaedt, S.D.; Gottwein, E.; Jacobs, C.; Jima, D.; Li, Q.-J.; Dave, S.S.; et al. The Epstein-Barr Virus (EBV)-Induced Tumor Suppressor MicroRNA MiR-34a Is Growth Promoting in EBV-Infected B Cells. J. Virol. 2012, 86, 6889–6898. [Google Scholar] [CrossRef]
- Iizasa, H.; Kim, H.; Kartika, A.V.; Kanehiro, Y.; Yoshiyama, H. Role of Viral and Host microRNAs in Immune Regulation of Epstein-Barr Virus-Associated Diseases. Front. Immunol. 2020, 11, 367. [Google Scholar] [CrossRef]
- Lu, F.; Weidmer, A.; Liu, C.-G.; Volinia, S.; Croce, C.M.; Lieberman, P.M. Epstein-Barr Virus-Induced miR-155 Attenuates NF-kappaB Signaling and Stabilizes Latent Virus Persistence. J. Virol. 2008, 82, 10436–10443. [Google Scholar] [CrossRef]
- Elton, T.S.; Selemon, H.; Elton, S.M.; Parinandi, N.L. Regulation of the MIR155 Host Gene in Physiological and Pathological Processes. Gene 2013, 532, 1–12. [Google Scholar] [CrossRef]
- Souza, O.F.; Popi, A.F. Role of microRNAs in B-Cell Compartment: Development, Proliferation and Hematological Diseases. Biomedicines 2022, 10, 2004. [Google Scholar] [CrossRef]
- Nail, H.M.; Chiu, C.-C.; Leung, C.-H.; Ahmed, M.M.M.; Wang, H.-M.D. Exosomal miRNA-Mediated Intercellular Communications and Immunomodulatory Effects in Tumor Microenvironments. J. Biomed. Sci. 2023, 30, 69. [Google Scholar] [CrossRef]
- Human Genome Overview—Genome Reference Consortium. Available online: https://www.ncbi.nlm.nih.gov/grc/human (accessed on 11 July 2023).
- Li, H.; Durbin, R. Fast and Accurate Short Read Alignment with Burrows-Wheeler Transform. Bioinformatics 2009, 25, 1754–1760. [Google Scholar] [CrossRef] [PubMed]
- Danecek, P.; Bonfield, J.K.; Liddle, J.; Marshall, J.; Ohan, V.; Pollard, M.O.; Whitwham, A.; Keane, T.; McCarthy, S.A.; Davies, R.M.; et al. Twelve Years of SAMtools and BCFtools. GigaScience 2021, 10, giab008. [Google Scholar] [CrossRef] [PubMed]
- Weber, J.A.; Aldana, R.; Gallagher, B.D.; Edwards, J.S. Sentieon DNA Pipeline for Variant Detection—Software-Only Solution, over 20× Faster than GATK 3.3 with Identical Results. PeerJ PrePrints 2016, 4, e1672v2. [Google Scholar]
- VarSeqTM [Software]; Version 8.x. Golden Helix, Inc.: Bozeman, MT, USA, 2017. Available online: https://www.Goldenhelix.com (accessed on 23 December 2023).
- R Core Team. R: A Language and Environment for Statistical Computing; R Foundation for Statistical Computing: Vienna, Austria, 2017. [Google Scholar]
- Canouil, M.; Bouland, G.A.; Bonnefond, A.; Froguel, P.; ’t Hart, L.M.; Slieker, R.C. NACHO: An R Package for Quality Control of NanoString nCounter Data. Bioinformatics 2020, 36, 970–971. [Google Scholar] [CrossRef]
- Campomenosi, P.; Gini, E.; Noonan, D.M.; Poli, A.; D’Antona, P.; Rotolo, N.; Dominioni, L.; Imperatori, A. A Comparison between Quantitative PCR and Droplet Digital PCR Technologies for Circulating microRNA Quantification in Human Lung Cancer. BMC Biotechnol. 2016, 16, 60. [Google Scholar] [CrossRef]
- Yan, L. Ggvenn: Draw Venn Diagram by “Ggplot2”. R Package Version 0.1.9. CRAN. 2022. Available online: https://cran.r-project.org/web/packages/ggvenn/index.html (accessed on 23 December 2023).
- Gu, Z. Complex Heatmap Visualization. iMeta 2022, 1, e43. [Google Scholar] [CrossRef]
- Barnett, D.; Arts, I.; Penders, J. microViz: An R Package for Microbiome Data Visualization and Statistics. J. Open Source Softw. 2021, 6, 3201. [Google Scholar] [CrossRef]
- Anderson, M.J. Permutational Multivariate Analysis of Variance (PERMANOVA). In Wiley StatsRef: Statistics Reference Online; John Wiley & Sons, Ltd.: Hoboken, NJ, USA, 2017; pp. 1–15. ISBN 978-1-118-44511-2. [Google Scholar]
- Dixon, P. VEGAN, a Package of R Functions for Community Ecology. J. Veg. Sci. 2003, 14, 927–930. [Google Scholar] [CrossRef]







| Cell Line | ||||
|---|---|---|---|---|
| D3739 | D3741 | D2880 | Coriell (GM09053) | |
| Phenotype | Usher-1D | Usher-1B | Usher-3A | Usher-2A |
| Chr:Pos | 10:71779316 | 11:77181589 | 3:150928107 | 1:216190280 1:215647526 |
| Ref/Alt | G/A | G/T | A/C | AG/- T/- |
| Genotype | Homozygous | Homozygous | Homozygous | Heterozygous Heterozygous |
| Classification | Likely Pathogenic | Likely Pathogenic | VUS/Conflicting | Pathogenic Pathogenic |
| ACMG Criteria | PM2, PS1, PP3 | PM2, PP2, PS1, PP3 | BS1, PVS1 Strong, PP5 | PM2, PVS1, PP5 PM2, PVS1, PP5 |
| HGVS cDot | NM_022124.6:c.5237G>A | NM_000260.4:c.2904G>T | NM_174878.3:c.528T>G | NM_206933.4:c.4338_4339delCT NM_206933.4:c.14787delA |
| Seq. Ontology | missense | missense | stop gained | frameshift frameshift |
| Gene Name | CDH23 | MYO7A | CLRN1 | USH2USH2A |
| Inheritance | Recessive | Recessive | Recessive | Recessive Recessive |
| Conditions | Usher syndrome type 1D, CDH23-Related Disorders, Autosomal recessive nonsyndromic hearing loss 12, Pituitary adenoma 5, Rare genetic deafness, Retinal dystrophy, Childhood onset hearing loss, Usher syndrome | Rare genetic deafness, Autosomal recessive nonsyndromic hearing loss 2, Usher syndrome type 1B | Usher syndrome type 3, Rare genetic deafness, Retinitis pigmentosa 61; Usher syndrome type 3A | Usher syndrome type 2A, USH2A-Related Disorders, Retinal dystrophy, Retinitis pigmentosa 39; Usher syndrome type 2A |
| Number | Differentially Abundant microRNAs | |
|---|---|---|
| Common To All | 36 | hsa-miR-222-3p, hsa-miR-424-5p, hsa-miR-503-5p, hsa-miR-1252-5p, hsa-miR-1246, hsa-miR-182-5p, hsa-miR-1205, hsa-miR-450a-5p, hsa-miR-654-5p, hsa-miR-3934-5p, hsa-miR-221-5p, hsa-miR-34a-5p, hsa-miR-150-5p, hsa-let-7d-5p, hsa-miR-483-3p, hsa-miR-146b-5p, hsa-miR-5010-3p, hsa-miR-591, hsa-miR-155-5p, hsa-miR-363-3p, hsa-let-7i-5p, hsa-miR-194-5p, hsa-miR-28-3p, hsa-miR-10a-5p, hsa-miR-146a-5p, hsa-miR-337-3p, hsa-miR-200c-3p, hsa-miR-96-5p, hsa-miR-5196-3p+hsa-miR-6732-3p, hsa-let-7f-5p, hsa-miR-577, hsa-let-7g-5p, hsa-miR-183-5p, hsa-let-7b-5p, hsa-miR-148a-3p, hsa-miR-98-5p |
| Usher 1 Only | 20 | hsa-miR-151a-5p, hsa-miR-129-2-3p, hsa-miR-519d-3p, hsa-miR-4431, hsa-miR-345-5p, hsa-miR-152-3p, hsa-miR-1260b, hsa-miR-3916, hsa-miR-4455,hsa-miR-3195, hsa-miR-195-5p, hsa-miR-1226-3p, hsa-miR-151a-3p, hsa-miR-181b-2-3p, hsa-miR-1287-5p, hsa-miR-324-5p, hsa-miR-484, hsa-miR-16-5p, hsa-miR-331-3p, hsa-miR-26b-5p |
| Usher 2 Only | 14 | hsa-miR-513b-5p, hsa-miR-137, hsa-miR-370-3p, hsa-miR-503-3p, hsa-miR-767-5p, hsa-miR-132-3p, hsa-let-7c-5p, hsa-miR-1304-5p, hsa-miR-514a-3p, hsa-let-7a-5p, hsa-miR-342-3p, hsa-miR-181a-5p, hsa-miR-181c-5p, hsa-miR-1193 |
| Usher 3 Only | 5 | hsa-miR-125a-3p, hsa-miR-494-3p, hsa-miR-125b-5p, hsa-miR-4284, hsa-miR-181a-2-3p |
| Usher 1 and 2 | 2 | hsa-miR-551b-3p, hsa-miR-299-3p |
| Usher 1 and 3 | 5 | hsa-miR-371b-5p, hsa-miR-601, hsa-miR-1827, hsa-miR-27a-3p, hsa-miR-582-5p |
| Usher 2 and 3 | 10 | hsa-miR-574-3p, hsa-miR-223-3p, hsa-miR-1183, hsa-miR-28-5p, hsa-miR-542-5p, hsa-let-7e-5p, hsa-miR-23c, hsa-miR-221-3p, hsa-miR-374b-5p, hsa-miR-23a-3p |
| microRNA | Usher 1 | Usher 2 | Usher 3 | Mean log2FC vs. Control | ||||
|---|---|---|---|---|---|---|---|---|
| log2FC | p-Value (BH-adj) | log2FC | p-Value (BH-adj) | log2FC | p-Value (BH-adj) | Mean log2FC | Standard Dev. | |
| hsa-miR-150-5p | 4.8901 | 0 | 9.7786 | 0 | 6.5893 | 0 | 7.086 | 2.4818 |
| hsa-miR-155-5p | 4.15 | 0 | 4.6412 | 0 | 4.6898 | 0 | 4.4936 | 0.2986 |
| hsa-miR-363-3p | 4.1282 | 0 | 3.3498 | 0 | 3.3819 | 0 | 3.62 | 0.4404 |
| hsa-miR-223-3p | 1.6878 | 0.0002 | 4.804 | 0 | 3.2343 | 0 | 3.242 | 1.5581 |
| hsa-let-7a-5p | 0.9413 | 0.0095 | 2.0768 | 0 | 1.9006 | 0 | 1.6396 | 0.6111 |
| hsa-miR-142-3p | 0.5645 | 0.0259 | 1.6779 | 0 | 1.5316 | 0 | 1.258 | 0.6051 |
| hsa-miR-19b-3p | −1.4389 | 0.0001 | −0.9554 | 0.0293 | −1.1786 | 0.0041 | −1.191 | 0.2419 |
| hsa-miR-28-5p | −1.9993 | 0 | −2.5731 | 0 | −2.0932 | 0 | −2.2219 | 0.3078 |
| hsa-miR-16-5p | −2.1845 | 0 | −1.0125 | 0.0487 | −1.3422 | 0.0044 | −1.513 | 0.6044 |
| hsa-miR-183-5p | −2.2771 | 0 | −2.6795 | 0 | −2.3467 | 0 | −2.4344 | 0.2151 |
| hsa-miR-96-5p | −2.9386 | 0 | −3.2701 | 0 | −2.7408 | 0 | −2.9832 | 0.2674 |
| hsa-miR-182-5p | −6.2691 | 0.0024 | −8.0376 | 0.0005 | −6.1735 | 0.0073 | −6.8267 | 1.0498 |
Disclaimer/Publisher’s Note: The statements, opinions and data contained in all publications are solely those of the individual author(s) and contributor(s) and not of MDPI and/or the editor(s). MDPI and/or the editor(s) disclaim responsibility for any injury to people or property resulting from any ideas, methods, instructions or products referred to in the content. |
© 2024 by the authors. Licensee MDPI, Basel, Switzerland. This article is an open access article distributed under the terms and conditions of the Creative Commons Attribution (CC BY) license (https://creativecommons.org/licenses/by/4.0/).
Share and Cite
Tom, W.A.; Chandel, D.S.; Jiang, C.; Krzyzanowski, G.; Fernando, N.; Olou, A.; Fernando, M.R. Genotype Characterization and MiRNA Expression Profiling in Usher Syndrome Cell Lines. Int. J. Mol. Sci. 2024, 25, 9993. https://doi.org/10.3390/ijms25189993
Tom WA, Chandel DS, Jiang C, Krzyzanowski G, Fernando N, Olou A, Fernando MR. Genotype Characterization and MiRNA Expression Profiling in Usher Syndrome Cell Lines. International Journal of Molecular Sciences. 2024; 25(18):9993. https://doi.org/10.3390/ijms25189993
Chicago/Turabian StyleTom, Wesley A., Dinesh S. Chandel, Chao Jiang, Gary Krzyzanowski, Nirmalee Fernando, Appolinaire Olou, and M. Rohan Fernando. 2024. "Genotype Characterization and MiRNA Expression Profiling in Usher Syndrome Cell Lines" International Journal of Molecular Sciences 25, no. 18: 9993. https://doi.org/10.3390/ijms25189993
APA StyleTom, W. A., Chandel, D. S., Jiang, C., Krzyzanowski, G., Fernando, N., Olou, A., & Fernando, M. R. (2024). Genotype Characterization and MiRNA Expression Profiling in Usher Syndrome Cell Lines. International Journal of Molecular Sciences, 25(18), 9993. https://doi.org/10.3390/ijms25189993

