Sperm Migration and Hyaluronic Acid Binding: Implications for Male Fertility Evaluation
Abstract
1. Introduction
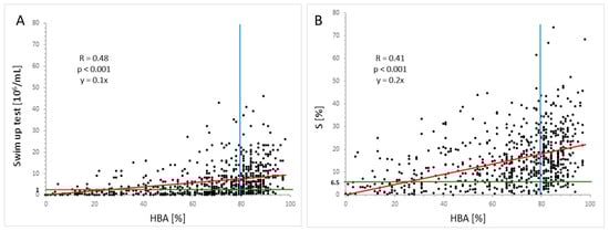
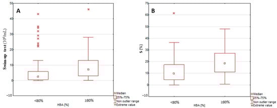
2. Results
3. Discussion
4. Materials and Methods
4.1. Participants
4.2. Basic Semen Analysis
4.3. Assessment of Spermatozoa Migration with Swim-Up Test
4.4. Sperm Binding to Hyaluronic Acid
4.5. Statistics
5. Conclusions
Author Contributions
Funding
Institutional Review Board Statement
Informed Consent Statement
Data Availability Statement
Acknowledgments
Conflicts of Interest
Appendix A

Appendix B
| Initials (age years) | Parameter | Value | Unit of Measure |
|---|---|---|---|
| MP (29) | Sperm concentration | 81 | 106/mL |
| Progressive motility | 22 | % | |
| Total motility | 47 | % | |
| TNP | 17.8 | 106/mL | |
| TNM | 38.1 | 106/mL | |
| HBA | 83 | % | |
| Swim-up test | 0.4 | 106/mL | |
| S | 0.5 | % | |
| TK (36) | Sperm concentration | 21 | 106/mL |
| Progressive motility | 39 | % | |
| Total motility | 56 | % | |
| TNP | 8.2 | 106/mL | |
| TNM | 11.8 | 106/mL | |
| HBA | 78 | % | |
| Swim-up test | 0.1 * | 106/mL | |
| S | 0.5 | % |
References
- Agarwal, A.; Baskaran, S.; Parekh, N.; Cho, C.L.; Henkel, R.; Vij, S.; Arafa, M.; Panner Selvam, M.K.; Shah, R. Male infertility. Lancet 2021, 397, 319–333. [Google Scholar] [CrossRef] [PubMed]
- Baldi, E.; Luconi, M.; Bonaccorsi, L.; Forti, G. Signal transduction pathways in human spermatozoa. J. Reprod. Immunol. 2002, 53, 121–131. [Google Scholar] [CrossRef] [PubMed]
- Freitas, M.J.; Vijayaraghavan, S.; Fardilha, M. Signaling mechanisms in mammalian sperm motility. Biol. Reprod. 2017, 96, 2–12. [Google Scholar] [CrossRef]
- Suarez, S.S.; Pacey, A.A. Sperm transport in the female reproductive tract. Hum. Reprod. Update 2006, 12, 23–37. [Google Scholar] [CrossRef]
- Friedrich, B.M.; Julicher, F. Chemotaxis of sperm cells. Proc. Natl. Acad. Sci. USA 2007, 104, 13256–13261. [Google Scholar] [CrossRef]
- Bohmer, M.; Van, Q.; Weyand, I.; Hagen, V.; Beyermann, M.; Matsumoto, M.; Hoshi, M.; Hildebrand, E.; Kaupp, U.B. Ca2+ spikes in the flagellum control chemotactic behavior of sperm. EMBO J. 2005, 24, 2741–2752. [Google Scholar] [CrossRef]
- Strunker, T.; Weyand, I.; Bonigk, W.; Van, Q.; Loogen, A.; Brown, J.E.; Kashikar, N.; Hagen, V.; Krause, E.; Kaupp, U.B. A K+-selective cGMP-gated ion channel controls chemosensation of sperm. Nat. Cell Biol. 2006, 8, 1149–1154. [Google Scholar] [CrossRef]
- Seifert, R.; Flick, M.; Bonigk, W.; Alvarez, L.; Trotschel, C.; Poetsch, A.; Muller, A.; Goodwin, N.; Pelzer, P.; Kashikar, N.D.; et al. The CatSper channel controls chemosensation in sea urchin sperm. EMBO J. 2015, 34, 379–392. [Google Scholar] [CrossRef]
- Teves, M.E.; Guidobaldi, H.A.; Unates, D.R.; Sanchez, R.; Miska, W.; Publicover, S.J.; Morales Garcia, A.A.; Giojalas, L.C. Molecular mechanism for human sperm chemotaxis mediated by progesterone. PLoS ONE 2009, 4, e8211. [Google Scholar] [CrossRef]
- Jaiswal, B.S.; Tur-Kaspa, I.; Dor, J.; Mashiach, S.; Eisenbach, M. Human sperm chemotaxis: Is progesterone a chemoattractant? Biol. Reprod. 1999, 60, 1314–1319. [Google Scholar] [CrossRef]
- Burnett, L.A.; Washburn, C.A.; Sugiyama, H.; Xiang, X.Y.; Olson, J.H.; Al-Anzi, B.; Bieber, A.L.; Chandler, D.E. Allurin, an Amphibian Sperm Chemoattractant Having Implications for Mammalian Sperm Physiology. Int. Rev. Cel. Mol. Bio. 2012, 295, 1–61. [Google Scholar] [CrossRef]
- CohenDayag, A.; TurKaspa, I.; Dor, J.; Mashiach, S.; Eisenbach, M. Sperm capacitation in human is transient and correlates with chemotactic responsiveness. Colloq. Inse. 1995, 236, 397–398. [Google Scholar]
- Xie, L.; Ma, R.; Han, C.; Su, K.; Zhang, Q.F.; Qiu, T.A.; Wang, L.; Huang, G.L.; Qiao, J.; Wang, J.D.; et al. Integration of Sperm Motility and Chemotaxis Screening with a Microchannel-Based Device. Clinical. Chem. 2010, 56, 1270–1278. [Google Scholar] [CrossRef]
- Reid, A.T.; Redgrove, K.; Aitken, R.J.; Nixon, B. Cellular mechanisms regulating sperm-zona pellucida interaction. Asian J. Androl. 2011, 13, 88–96. [Google Scholar] [CrossRef] [PubMed]
- Breitbart, H.; Etkovitz, N. Role and regulation of EGFR in actin remodeling in sperm capacitation and the acrosome reaction. Asian J. Androl. 2011, 13, 106–110. [Google Scholar] [CrossRef]
- Ickowicz, D.; Finkelstein, M.; Breitbart, H. Mechanism of sperm capacitation and the acrosome reaction: Role of protein kinases. Asian J. Androl. 2012, 14, 816–821. [Google Scholar] [CrossRef]
- Cohen, R.; Mukai, C.; Travis, A.J. Lipid Regulation of Acrosome Exocytosis. Adv. Anat. Embryol. Cell Biol. 2016, 220, 107–127. [Google Scholar] [CrossRef]
- Redgrove, K.A.; Nixon, B.; Baker, M.A.; Hetherington, L.; Baker, G.; Liu, D.Y.; Aitken, R.J. The molecular chaperone HSPA2 plays a key role in regulating the expression of sperm surface receptors that mediate sperm-egg recognition. PLoS ONE 2012, 7, e50851. [Google Scholar] [CrossRef]
- Bjorndahl, L. What is normal semen quality? On the use and abuse of reference limits for the interpretation of semen analysis results. Hum. Fertil. 2011, 14, 179–186. [Google Scholar] [CrossRef]
- Oguz, Y.; Guler, I.; Erdem, A.; Mutlu, M.F.; Gumuslu, S.; Oktem, M.; Bozkurt, N.; Erdem, M. The effect of swim-up and gradient sperm preparation techniques on deoxyribonucleic acid (DNA) fragmentation in subfertile patients. J. Assist. Reprod. Genet. 2018, 35, 1083–1089. [Google Scholar] [CrossRef]
- Muratori, M.; Tarozzi, N.; Carpentiero, F.; Danti, S.; Perrone, F.M.; Cambi, M.; Casini, A.; Azzari, C.; Boni, L.; Maggi, M.; et al. Sperm selection with density gradient centrifugation and swim up: Effect on DNA fragmentation in viable spermatozoa. Sci. Rep. 2019, 9, 7492. [Google Scholar] [CrossRef]
- Holt, W.V.; Hernandez, M.; Warrell, L.; Satake, N. The long and the short of sperm selection in vitro and in vivo: Swim-up techniques select for the longer and faster swimming mammalian sperm. J. Evol. Biol. 2010, 23, 598–608. [Google Scholar] [CrossRef] [PubMed]
- WHO. WHO Laboratory Manual for the Examination and Processing of Human Semen, 6th ed.; World Health Organization: Geneva, Switzerland, 2021.
- Huszar, G.; Ozenci, C.C.; Cayli, S.; Zavaczki, Z.; Hansch, E.; Vigue, L. Hyaluronic acid binding by human sperm indicates cellular maturity, viability, and unreacted acrosomal status. Fertil. Steril. 2003, 79 (Suppl. 3), 1616–1624. [Google Scholar] [CrossRef] [PubMed]
- Cayli, S.; Jakab, A.; Ovari, L.; Delpiano, E.; Celik-Ozenci, C.; Sakkas, D.; Ward, D.; Huszar, G. Biochemical markers of sperm function: Male fertility and sperm selection for ICSI. Reprod. Biomed. Online 2003, 7, 462–468. [Google Scholar]
- Huszar, G.; Jakab, A.; Sakkas, D.; Ozenci, C.C.; Cayli, S.; Delpiano, E.; Ozkavukcu, S. Fertility testing and ICSI sperm selection by hyaluronic acid binding: Clinical and genetic aspects. Reprod. Biomed. Online 2007, 14, 650–663. [Google Scholar] [CrossRef]
- WHO. WHO Laboratory Manual for the Examination and Processing of Human Semen, 5th ed.; World Health Organization Press: Geneva, Switzerland, 2010.
- Borges, E., Jr.; Setti, A.S.; Braga, D.P.; Figueira, R.C.; Iaconelli, A., Jr. Total motile sperm count has a superior predictive value over the WHO 2010 cut-off values for the outcomes of intracytoplasmic sperm injection cycles. Andrology 2016, 4, 880–886. [Google Scholar] [CrossRef]
- Hamilton, J.A.; Cissen, M.; Brandes, M.; Smeenk, J.M.; de Bruin, J.P.; Kremer, J.A.; Nelen, W.L.; Hamilton, C.J. Total motile sperm count: A better indicator for the severity of male factor infertility than the WHO sperm classification system. Hum. Reprod. 2015, 30, 1110–1121. [Google Scholar] [CrossRef]
- Tiegs, A.W.; Landis, J.; Garrido, N.; Scott, R.T., Jr.; Hotaling, J.M. Total Motile Sperm Count Trend Over Time: Evaluation of Semen Analyses From 119,972 Men From Subfertile Couples. Urology 2019, 132, 109–116. [Google Scholar] [CrossRef]
- De Jonge, C. Biological basis for human capacitation-revisited. Hum. Reprod. Update 2017, 23, 289–299. [Google Scholar] [CrossRef]
- Suarez, S.S. Mammalian sperm interactions with the female reproductive tract. Cell Tissue Res. 2016, 363, 185–194. [Google Scholar] [CrossRef]
- Hildebrand, E.; Kaupp, U.B. Sperm chemotaxis: A primer. Ann. N. Y. Acad. Sci. 2005, 1061, 221–225. [Google Scholar] [CrossRef] [PubMed]
- Kaupp, U.B.; Kashikar, N.D.; Weyand, I. Mechanisms of sperm chemotaxis. Annu. Rev. Physiol. 2008, 70, 93–117. [Google Scholar] [CrossRef] [PubMed]
- Ombelet, W.; Dhont, N.; Thijssen, A.; Bosmans, E.; Kruger, T. Semen quality and prediction of IUI success in male subfertility: A systematic review. Reprod. Biomed. Online 2014, 28, 300–309. [Google Scholar] [CrossRef]
- Dinelli, L.; Courbiere, B.; Achard, V.; Jouve, E.; Deveze, C.; Gnisci, A.; Grillo, J.M.; Paulmyer-Lacroix, O. Prognosis factors of pregnancy after intrauterine insemination with the husband’s sperm: Conclusions of an analysis of 2,019 cycles. Fertil. Steril. 2014, 101, 994–1000. [Google Scholar] [CrossRef]
- Merviel, P.; Heraud, M.H.; Grenier, N.; Lourdel, E.; Sanguinet, P.; Copin, H. Predictive factors for pregnancy after intrauterine insemination (IUI): An analysis of 1038 cycles and a review of the literature. Fertil. Steril. 2010, 93, 79–88. [Google Scholar] [CrossRef]
- Berg, U.; Brucker, C.; Berg, F.D. Effect of motile sperm count after swim-up on outcome of intrauterine insemination. Fertil. Steril. 1997, 67, 747–750. [Google Scholar] [CrossRef]
- Van Voorhis, B.J.; Barnett, M.; Sparks, A.E.; Syrop, C.H.; Rosenthal, G.; Dawson, J. Effect of the total motile sperm count on the efficacy and cost-effectiveness of intrauterine insemination and in vitro fertilization. Fertil. Steril. 2001, 75, 661–668. [Google Scholar] [CrossRef]
- Berker, B.; Sukur, Y.E.; Kahraman, K.; Atabekoglu, C.S.; Sonmezer, M.; Ozmen, B.; Ates, C. Absence of rapid and linear progressive motile spermatozoa "grade A" in semen specimens: Does it change intrauterine insemination outcomes? Urology 2012, 80, 1262–1266. [Google Scholar] [CrossRef]
- Dorjpurev, U.; Kuwahara, A.; Yano, Y.; Taniguchi, T.; Yamamoto, Y.; Suto, A.; Tanaka, Y.; Matsuzaki, T.; Yasui, T.; Irahara, M. Effect of semen characteristics on pregnancy rate following intrauterine insemination. J. Med. Invest. 2011, 58, 127–133. [Google Scholar] [CrossRef]
- Nikbakht, R.; Saharkhiz, N. The influence of sperm morphology, total motile sperm count of semen and the number of motile sperm inseminated in sperm samples on the success of intrauterine insemination. Int. J. Fertil. Steril. 2011, 5, 168–173. [Google Scholar]
- Zadehmodarres, S.; Oladi, B.; Saeedi, S.; Jahed, F.; Ashraf, H. Intrauterine insemination with husband semen: An evaluation of pregnancy rate and factors affecting outcome. J. Assist. Reprod. Genet. 2009, 26, 7–11. [Google Scholar] [CrossRef] [PubMed]
- Hansen, K.R.; Peck, J.D.; Coward, R.M.; Wild, R.A.; Trussell, J.C.; Krawetz, S.A.; Diamond, M.P.; Legro, R.S.; Coutifaris, C.; Alvero, R.; et al. Intrauterine insemination performance characteristics and post-processing total motile sperm count in relation to live birth for couples with unexplained infertility in a randomised, multicentre clinical trial. Hum. Reprod. 2020, 35, 1296–1305. [Google Scholar] [CrossRef]
- Muthigi, A.; Jahandideh, S.; Bishop, L.A.; Naeemi, F.K.; Shipley, S.K.; O’Brien, J.E.; Shin, P.R.; Devine, K.; Tanrikut, C. Clarifying the relationship between total motile sperm counts and intrauterine insemination pregnancy rates. Fertil. Steril. 2021, 115, 1454–1460. [Google Scholar] [CrossRef]
- Cil, N.; Kabukcu, C.; Cabus, U.; Turan, T.; Mete, C.A. Retrospective comparison of the semen preparation techniques for intrauterine insemination: Swim-up versus density gradient method. J. Gynecol. Obstet. Hum. 2022, 51. [Google Scholar] [CrossRef]
- Boomsma, C.M.; Cohlen, B.J.; Farquhar, C. Semen preparation techniques for intrauterine insemination. Cochrane Db Syst. Rev. 2019. [Google Scholar] [CrossRef]
- Jakab, A.; Kovacs, T.; Zavaczki, Z.; Borsos, A.; Bray-Ward, P.; Ward, D.; Huszar, G. Efficacy of the swim-up method in eliminating sperm with diminished maturity and aneuploidy. Hum. Reprod. 2003, 18, 1481–1488. [Google Scholar] [CrossRef][Green Version]
- Vozdova, M.; Kasikova, K.; Oracova, E.; Prinosilova, P.; Rybar, R.; Horinova, V.; Gaillyova, R.; Rubes, J. The effect of the swim-up and hyaluronan-binding methods on the frequency of abnormal spermatozoa detected by FISH and SCSA in carriers of balanced chromosomal translocations. Hum. Reprod. 2012, 27, 930–937. [Google Scholar] [CrossRef]
- Kim, S.W.; Jee, B.C.; Kim, S.K.; Kim, S.H. Sperm DNA fragmentation and sex chromosome aneuploidy after swim-up versus density gradient centrifugation. Clin. Exp. Reprod. Med. 2017, 44, 201–206. [Google Scholar] [CrossRef]
- Le, M.T.; Dang, H.N.T.; Nguyen, T.V.; Nguyen, T.T.T.; Nguyen, Q.H.V.; Cao, N.T. Effects of sperm preparation techniques on sperm survivability and DNA fragmentation. J. Int. Med. Res. 2022, 50, 3000605221097492. [Google Scholar] [CrossRef]
- Jakab, A.; Sakkas, D.; Delpiano, E.; Cayli, S.; Kovanci, E.; Ward, D.; Ravelli, A.; Huszar, G. Intracytoplasmic sperm injection: A novel selection method for sperm with normal frequency of chromosomal aneuploidies. Fertility and Sterility 2005, 84, 1665–1673. [Google Scholar] [CrossRef]
- Williams, M.; Hill, C.J.; Scudamore, I.; Dunphy, B.; Cooke, I.D.; Barratt, C.L. Sperm numbers and distribution within the human fallopian tube around ovulation. Hum. Reprod. 1993, 8, 2019–2026. [Google Scholar] [CrossRef] [PubMed]
- Parmegiani, L.; Cognigni, G.E.; Bernardi, S.; Troilo, E.; Ciampaglia, W.; Filicori, M. "Physiologic ICSI": Hyaluronic acid (HA) favors selection of spermatozoa without DNA fragmentation and with normal nucleus, resulting in improvement of embryo quality. Fertil. Steril. 2010, 93, 598–604. [Google Scholar] [CrossRef] [PubMed]
- Mokanszki, A.; Tothne, E.V.; Bodnar, B.; Tandor, Z.; Molnar, Z.; Jakab, A.; Ujfalusi, A.; Olah, E. Is sperm hyaluronic acid binding ability predictive for clinical success of intracytoplasmic sperm injection: PICSI vs. ICSI? Syst. Biol. Reprod. Med. 2014, 60, 348–354. [Google Scholar] [CrossRef] [PubMed]
- Van Den Bergh, M.J.; Fahy-Deshe, M.; Hohl, M.K. Pronuclear zygote score following intracytoplasmic injection of hyaluronan-bound spermatozoa: A prospective randomized study. Reprod. Biomed. Online 2009, 19, 796–801. [Google Scholar] [CrossRef]
- Kovacs, P.; Kovats, T.; Sajgo, A.; Szollosi, J.; Matyas, S.; Kaali, S.G. The role of hyaluronic acid binding assay in choosing the fertilization method for patients undergoing IVF for unexplained infertility. J. Assist. Reprod. Genet. 2011, 28, 49–54. [Google Scholar] [CrossRef]
- Worrilow, K.C.; Eid, S.; Woodhouse, D.; Perloe, M.; Smith, S.; Witmyer, J.; Ivani, K.; Khoury, C.; Ball, G.D.; Elliot, T.; et al. Use of hyaluronan in the selection of sperm for intracytoplasmic sperm injection (ICSI): Significant improvement in clinical outcomes--multicenter, double-blinded and randomized controlled trial. Hum. Reprod. 2013, 28, 306–314. [Google Scholar] [CrossRef]
- Miller, D.; Pavitt, S.; Sharma, V.; Forbes, G.; Hooper, R.; Bhattacharya, S.; Kirkman-Brown, J.; Coomarasamy, A.; Lewis, S.; Cutting, R.; et al. Physiological, hyaluronan-selected intracytoplasmic sperm injection for infertility treatment (HABSelect): A parallel, two-group, randomised trial. Lancet 2019, 393, 416–422. [Google Scholar] [CrossRef]
- Tarozzi, N.; Nadalini, M.; Bizzaro, D.; Serrao, L.; Fava, L.; Scaravelli, G.; Borini, A. Sperm-hyaluronan-binding assay: Clinical value in conventional IVF under Italian law. Reprod. Biomed. Online 2009, 19, 35–43. [Google Scholar] [CrossRef]
- West, R.; Coomarasamy, A.; Frew, L.; Hutton, R.; Kirkman-Brown, J.; Lawlor, M.; Lewis, S.; Partanen, R.; Payne-Dwyer, A.; Roman-Montanana, C.; et al. Sperm selection with hyaluronic acid improved live birth outcomes among older couples and was connected to sperm DNA quality, potentially affecting all treatment outcomes. Hum. Reprod. 2022, 37, 1106–1125. [Google Scholar] [CrossRef]
- North, B.B.; Weitzel, M.B.; Waller, D.P.; Birch, W.X.; Feathergill, K.A.; Birch, L.A.; De Jonge, C.J.; Prins, G.S. Evaluation of the novel vaginal contraceptive agent PPCM in preclinical studies using sperm hyaluronan binding and acrosome status assays. Andrology 2022, 10, 367–376. [Google Scholar] [CrossRef]
- Henkel, R.R.; Schill, W.B. Sperm preparation for ART. Reprod. Biol. Endocrinol. 2003, 1, 108. [Google Scholar] [CrossRef]
- Henkel, R. Sperm preparation: State-of-the-art--physiological aspects and application of advanced sperm preparation methods. Asian J. Androl. 2012, 14, 260–269. [Google Scholar] [CrossRef] [PubMed]
- Mehta, A.; Sigman, M. Identification and preparation of sperm for ART. Urol. Clin. North. Am. 2014, 41, 169–180. [Google Scholar] [CrossRef] [PubMed]


| Parameter | Mean (±SD) | Median | Range |
|---|---|---|---|
| Age (years) | 34.8 (±5.3) | 34.0 | 20–56 |
| Semen volume (mL) | 3.9 (±1.7) | 3.6 | 1.3–9.3 |
| Sperm concentration (106/mL) | 37.6 (±33.0) | 27.0 | 1–280 |
| Progressive motility (%) | 39.0 (±14.2) | 40.0 | 1.0–81.0 |
| Total motility (%) | 55.4 (±13.5) | 57.0 | 5.0–88.0 |
| TNP (106/mL) | 15.6 (±15.4) | 10.5 | 0.1–119.6 |
| TNM (106/mL) | 21.3 (±19.7) | 15.7 | 0.4–163.3 |
| Swim-up (106/mL) | 6.4 (±1.3) | 4.0 | 0.0–74.0 |
| S (%) | 15.3 (±1.9) | 13.2 | 0–73.5 |
| HBA (%) | 67.1 (±22.9) | 74.0 | 0.0–98.0 |
| Swim-Up Test (106/mL) | S (%) | HBA (%) | |
|---|---|---|---|
| Sperm concentration (106/mL) | 0.78 | 0.29 | 0.36 |
| Progressive motility (%) | 0.55 | 0.61 | 0.30 |
| Total motility (%) | 0.45 | 0.58 | 0.23 |
| TNP (106/mL) | 0.87 | 0.50 | 0.41 |
| TNM (106/mL) | 0.86 | 0.44 | 0.40 |
| Number of Cases (n = 702) | % | |
|---|---|---|
| HBA ≥ 80% and Swim-up test ≥ 1 × 106/mL | 261 | 37 |
| HBA ≥ 80% and Swim-up test < 1 × 106/mL | 21 | 3 |
| HBA < 80% and Swim-up test ≥ 1 × 106/mL | 277 | 40 |
| HBA < 80% and Swim-up test < 1 × 106/mL | 143 | 20 |
| HBA ≥ 80% and S ≥ 6.3% | 248 | 35 |
| HBA ≥ 80% and S < 6.3% | 34 | 5 |
| HBA < 80% and S ≥ 6.3% | 279 | 40 |
| HBA < 80% and S < 6.3% | 141 | 20 |
Disclaimer/Publisher’s Note: The statements, opinions and data contained in all publications are solely those of the individual author(s) and contributor(s) and not of MDPI and/or the editor(s). MDPI and/or the editor(s) disclaim responsibility for any injury to people or property resulting from any ideas, methods, instructions or products referred to in the content. |
© 2024 by the authors. Licensee MDPI, Basel, Switzerland. This article is an open access article distributed under the terms and conditions of the Creative Commons Attribution (CC BY) license (https://creativecommons.org/licenses/by/4.0/).
Share and Cite
Marchlewska, K.; Erkiert-Kusiak, M.; Walczak-Jędrzejowska, R.; Słowikowska-Hilczer, J. Sperm Migration and Hyaluronic Acid Binding: Implications for Male Fertility Evaluation. Int. J. Mol. Sci. 2024, 25, 9995. https://doi.org/10.3390/ijms25189995
Marchlewska K, Erkiert-Kusiak M, Walczak-Jędrzejowska R, Słowikowska-Hilczer J. Sperm Migration and Hyaluronic Acid Binding: Implications for Male Fertility Evaluation. International Journal of Molecular Sciences. 2024; 25(18):9995. https://doi.org/10.3390/ijms25189995
Chicago/Turabian StyleMarchlewska, Katarzyna, Marta Erkiert-Kusiak, Renata Walczak-Jędrzejowska, and Jolanta Słowikowska-Hilczer. 2024. "Sperm Migration and Hyaluronic Acid Binding: Implications for Male Fertility Evaluation" International Journal of Molecular Sciences 25, no. 18: 9995. https://doi.org/10.3390/ijms25189995
APA StyleMarchlewska, K., Erkiert-Kusiak, M., Walczak-Jędrzejowska, R., & Słowikowska-Hilczer, J. (2024). Sperm Migration and Hyaluronic Acid Binding: Implications for Male Fertility Evaluation. International Journal of Molecular Sciences, 25(18), 9995. https://doi.org/10.3390/ijms25189995

