Identification and Functional Characterization of Abiotic Stress Tolerance-Related PLATZ Transcription Factor Family in Barley (Hordeum vulgare L.)
Abstract
1. Introduction
2. Results
2.1. Identification of PLATZ Genes in Barley
2.2. Phylogeny and Gene Structure Analysis of HvPLATZs
2.3. Chromosomal Distribution and Duplication of HvPLATZs
2.4. Cis-Acting Elements Identification
2.5. Syntenic Analysis of HvPLATZs
2.6. Natural Variation of HvPLATZs in Barley
2.7. Tissue-Specific Expression of HvPLATZs
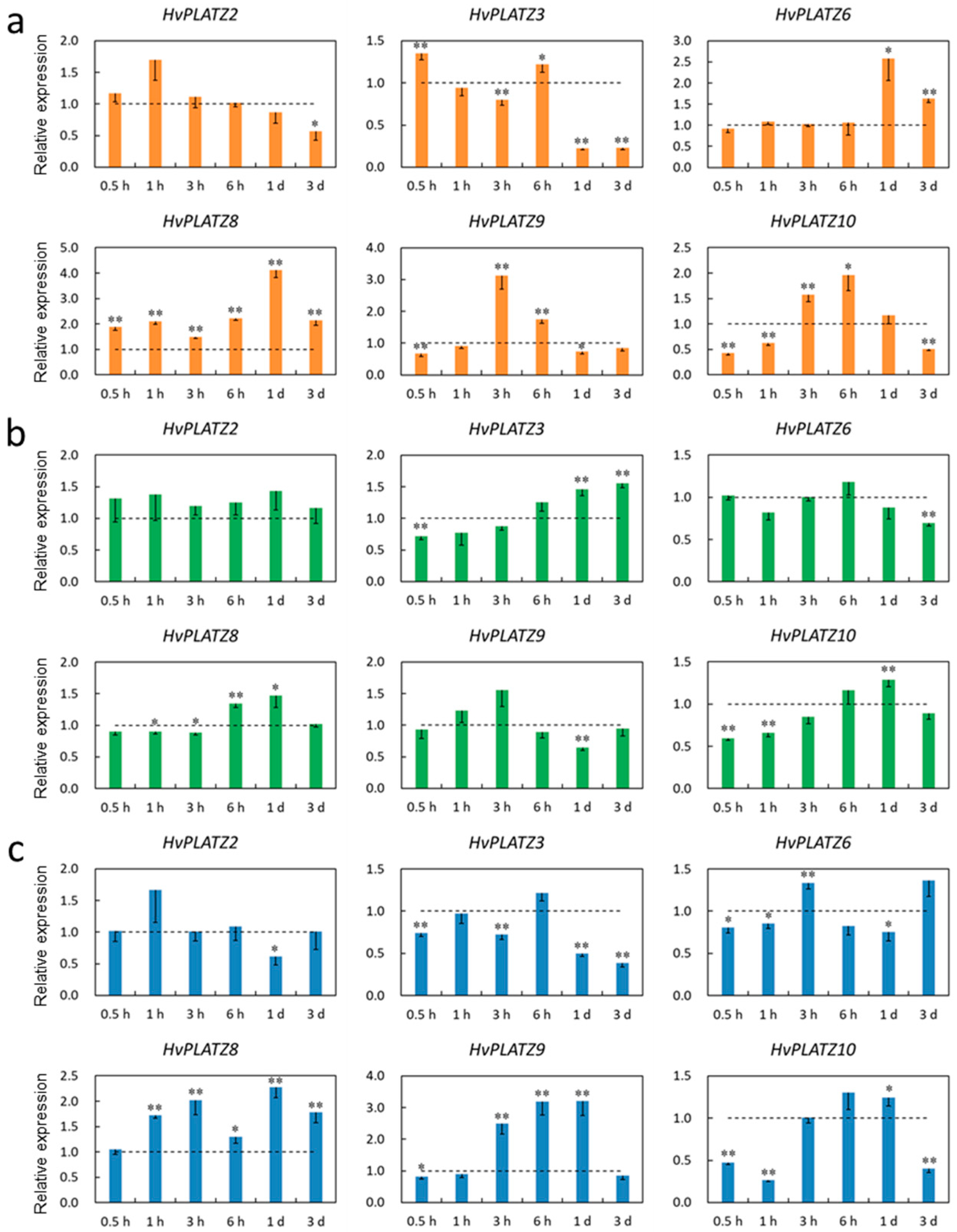
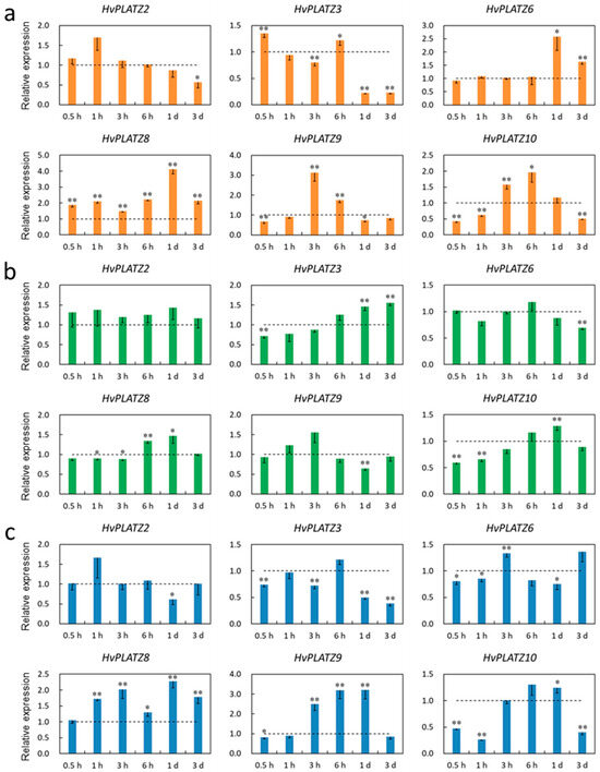
2.8. Transcriptional Responses of HvPLATZs to Abiotic Stresses
2.9. Functional Characterization of HvPLATZs in Yeast
3. Discussion
3.1. PLATZ Family in Different Plant Species
3.2. Expression of HvPLATZs in Different Tissues and Response to Abiotic Stresses
3.3. Functions of HvPLATZs in Abiotic Stress Tolerance
4. Materials and Methods
4.1. HvPLATZ Genes Identification
4.2. Physicochemical Properties and Subcellular Localizations
4.3. Phylogeny, Syntenic Relationship, and Duplication Analyses
4.4. Sequence, Promoter, and Variation Analyses
4.5. Tissue-Specific Expression
4.6. Plant Growth and Abiotic Stress Treatments
4.7. qRT-PCR
4.8. Heterologous Expression of HvPLATZs in Yeast
5. Conclusions
Supplementary Materials
Author Contributions
Funding
Institutional Review Board Statement
Informed Consent Statement
Data Availability Statement
Conflicts of Interest
References
- Riechmann, J.L.; Heard, J.; Martin, G.; Reuber, L.; Jiang, C.; Keddie, J.; Adam, L.; Pineda, O.; Ratcliffe, O.J.; Samaha, R.R.; et al. Arabidopsis Transcription Factors: Genome-Wide Comparative Analysis among Eukaryotes. Science 2000, 290, 2105–2110. [Google Scholar] [CrossRef] [PubMed]
- Nagano, Y.; Furuhashi, H.; Inaba, T.; Sasaki, Y. A Novel Class of Plant-Specific Zinc-Dependent DNA-Binding Protein That Binds to A/T-Rich DNA Sequences. Nucleic Acids Res. 2001, 29, 4097–4105. [Google Scholar] [CrossRef] [PubMed]
- Dong, T.; Yin, X.; Wang, H.; Lu, P.; Liu, X.; Gong, C.; Wu, Y. ABA-INDUCED Expression 1 Is Involved in ABA-Inhibited Primary Root Elongation via Modulating ROS Homeostasis in Arabidopsis. Plant Sci. 2021, 304, 110821. [Google Scholar] [CrossRef] [PubMed]
- Kim, J.H.; Kim, J.; Jun, S.E.; Park, S.; Timilsina, R.; Kwon, D.S.; Kim, Y.; Park, S.J.; Hwang, J.Y.; Nam, H.G.; et al. ORESARA15, a PLATZ Transcription Factor, Mediates Leaf Growth and Senescence in Arabidopsis. New Phytol. 2018, 220, 609–623. [Google Scholar] [CrossRef] [PubMed]
- Timilsina, R.; Kim, Y.; Park, S.; Park, H.; Park, S.J.; Kim, J.H.; Park, J.H.; Kim, D.; Park, Y.I.; Hwang, D.; et al. ORESARA 15, a PLATZ Transcription Factor, Controls Root Meristem Size through Auxin and Cytokinin Signalling-Related Pathways. J. Exp. Bot. 2022, 73, 2511–2524. [Google Scholar] [CrossRef] [PubMed]
- Wang, A.; Hou, Q.; Si, L.; Huang, X.; Luo, J.; Lu, D.; Zhu, J.; Shangguan, Y.; Miao, J.; Xie, Y.; et al. The PLATZ Transcription Factor GL6 Affects Grain Length and Number in Rice. Plant Physiol. 2019, 180, 2077–2090. [Google Scholar] [CrossRef]
- Guo, X.; Fu, Y.; Lee, Y.R.J.; Chern, M.; Li, M.; Cheng, M.; Dong, H.; Yuan, Z.; Gui, L.; Yin, J.; et al. The PGS1 Basic Helix-Loop-Helix Protein Regulates Fl3 to Impact Seed Growth and Grain Yield in Cereals. Plant Biotechnol. J. 2022, 20, 1311–1326. [Google Scholar] [CrossRef]
- Zhou, S.R.; Xue, H.W. The Rice PLATZ Protein SHORT GRAIN6 Determines Grain Size by Regulating Spikelet Hull Cell Division. J. Integr. Plant Biol. 2020, 62, 847–864. [Google Scholar] [CrossRef]
- Li, Q.; Wang, J.; Ye, J.; Zheng, X.; Xiang, X.; Li, C.; Fu, M.; Wang, Q.; Zhang, Z.; Wu, Y. The Maize Imprinted Gene floury3 Encodes a PLATZ Protein Required for tRNA and 5S rRNA Transcription through Interaction with RNA Polymerase III. Plant Cell. 2017, 29, 2661–2675. [Google Scholar] [CrossRef]
- Wang, J.; Ji, C.; Li, Q.; Zhou, Y.; Wu, Y. Genome-Wide Analysis of the Plant-Specific PLATZ Proteins in Maize and Identification of Their General Role in Interaction with RNA Polymerase III Complex. BMC Plant Biol. 2018, 18, 221. [Google Scholar] [CrossRef]
- Zhang, J.; Li, C.; Zhang, W.; Zhang, X.; Mo, Y.; Tranquilli, G.E.; Vanzetti, L.S.; Dubcovsky, J. Wheat Plant Height Locus RHT25 Encodes a PLATZ Transcription Factor That Interacts with DELLA (RHT1). Proc. Natl. Acad. Sci. USA 2023, 120, e2300203120. [Google Scholar] [CrossRef]
- Hu, Y.; Liu, Y.; Lu, L.; Tao, J.J.; Cheng, T.; Jin, M.; Wang, Z.Y.; Wei, J.J.; Jiang, Z.H.; Sun, W.C.; et al. Global Analysis of Seed Transcriptomes Reveals a Novel PLATZ Regulator for Seed Size and Weight Control in Soybean. New Phytol. 2023, 240, 2436–2454. [Google Scholar] [CrossRef]
- Jiang, L.; Liu, K.; Zhang, T.; Chen, J.; Zhao, S.; Cui, Y.; Zhou, W.; Yu, Y.; Chen, S.; Wang, C.; et al. The RhWRKY33a-RhPLATZ9 Regulatory Module Delays Petal Senescence by Suppressing Rapid Reactive Oxygen Species Accumulation in Rose Flowers. Plant J. 2023, 114, 1425–1442. [Google Scholar] [CrossRef]
- Guérin, C.; Behr, M.; Sait, J.; Mol, A.; El Jaziri, M.; Baucher, M. Evidence for Poplar PtaPLATZ18 in the Regulation of Plant Growth and Vascular Tissues Development. Front. Plant Sci. 2023, 14, 1302536. [Google Scholar] [CrossRef]
- González-Morales, S.I.; Chávez-Montes, R.A.; Hayano-Kanashiro, C.; Alejo-Jacuinde, G.; Rico-Cambron, T.Y.; de Folter, S.; Herrera-Estrella, L. Regulatory Network Analysis Reveals Novel Regulators of Seed Desiccation Tolerance in Arabidopsis thaliana. Proc. Natl. Acad. Sci. USA 2016, 113, E5232–E5241. [Google Scholar] [CrossRef]
- Liu, M.; Wang, C.; Ji, Z.; Lu, J.; Zhang, L.; Li, C.; Huang, J.; Yang, G. Regulation of Drought Tolerance in Arabidopsis Involves the PLATZ4-Mediated Transcriptional Repression of Plasma Membrane Aquaporin PIP2;8. Plant J. 2023, 6, 434–451. [Google Scholar] [CrossRef]
- Liu, S.; Yang, R.; Liu, M.; Zhang, S.; Yan, K.; Yang, G.; Huang, J.; Zheng, C.; Wu, C. PLATZ2 Negatively Regulates Salt Tolerance in Arabidopsis Seedlings by Directly Suppressing the Expression of the CBL4/SOS3 and CBL10/SCaBP8 Genes. J. Exp. Bot. 2020, 71, 5589–5602. [Google Scholar] [CrossRef]
- Zhao, J.; Zheng, L.; Wei, J.; Wang, Y.; Chen, J.; Zhou, Y.; Chen, M.; Wang, F.; Ma, Y.; Xu, Z. The Soybean PLATZ Transcription Factor GmPLATZ17 Suppresses Drought Tolerance by Interfering with Stress-Associated Gene Regulation of GmDREB5. Crop J. 2022, 10, 1014–1025. [Google Scholar] [CrossRef]
- So, H.; Choi, S.J.; Chung, E.; Lee, J. Molecular Characterization of Stress-Inducible PLATZ Gene from Soybean (Glycine max L.). Plant Omics 2015, 8, 479–484. [Google Scholar]
- Zhang, S.; Yang, R.; Huo, Y.; Liu, S.; Yang, G.; Huang, J.; Zheng, C.; Wu, C. Expression of Cotton PLATZ1 in Transgenic Arabidopsis Reduces Sensitivity to Osmotic and Salt Stress for Germination and Seedling Establishment Associated with Modification of the Abscisic Acid, Gibberellin, and Ethylene Signalling Pathways. BMC Plant Biol. 2018, 18, 218. [Google Scholar] [CrossRef]
- Zhang, K.; Lan, Y.; Wu, M.; Wang, L.; Liu, H.; Xiang, Y. PhePLATZ1, a PLATZ Transcription Factor in Moso Bamboo (Phyllostachys edulis), Improves Drought Resistance of Transgenic Arabidopsis thaliana. Plant Physiol. Biochem. 2022, 186, 121–134. [Google Scholar] [CrossRef] [PubMed]
- Xiao, S.; Zhang, L.; Wan, Y.; Tang, S.; Sui, Y.; Bai, Y.; Wang, Y.; Liu, M.; Fan, J.; Zhang, S.; et al. SiPLATZ12 Transcription Factor Negatively Regulates Salt Tolerance in Foxtail Millet (Setaria italica) by Suppressing the Expression of SiNHX, SiCBL and SiSOS Genes. Environ. Exp. Bot. 2023, 213, 105417. [Google Scholar] [CrossRef]
- Rehman, A.; Tian, C.; Li, X.; Wang, X.; Li, H.; He, S.; Jiao, Z.; Qayyum, A.; Du, X.; Peng, Z. GhiPLATZ17 and GhiPLATZ22, Zinc-Dependent DNA-Binding Transcription Factors, Promote Salt Tolerance in Upland Cotton. Plant Cell Rep. 2024, 43, 140. [Google Scholar] [CrossRef] [PubMed]
- Ma, X.; Yang, H.; Bu, Y.; Wu, X.; Sun, N.; Xiao, J.; Jing, Y. Genome-Wide Identification of PLATZ Genes Related to Cadmium Tolerance in Populus trichocarpa and Characterization of the Role of PtPLATZ3 in Phytoremediation of Cadmium. Int. J. Biol. Macromol. 2023, 228, 732–743. [Google Scholar] [CrossRef] [PubMed]
- Zenda, T.; Liu, S.; Wang, X.; Liu, G.; Jin, H.; Dong, A.; Yang, Y.; Duan, H. Key Maize Drought-Responsive Genes and Pathways Revealed by Comparative Transcriptome and Physiological Analyses of Contrasting Inbred Lines. Int. J. Mol. Sci. 2019, 20, 1268. [Google Scholar] [CrossRef]
- Blair, E.J.; Bonnot, T.; Hummel, M.; Hay, E.; Marzolino, J.M.; Quijada, I.A.; Nagel, D.H. Contribution of Time of Day and the Circadian Clock to the Heat Stress Responsive Transcriptome in Arabidopsis. Sci. Rep. 2019, 9, 4814. [Google Scholar] [CrossRef]
- Zhang, Y.; Shi, S.H.; Li, F.L.; Zhao, C.Z.; Li, A.Q.; Hou, L.; Xia, H.; Wang, B.S.; Baltazar, J.L.; Wang, X.J.; et al. Global Transcriptome Analysis Provides New Insights in Thellungiella salsuginea Stress Response. Plant Biol. 2019, 21, 796–804. [Google Scholar] [CrossRef]
- Bin Azim, J.; Khan, M.F.H.; Hassan, L.; Robin, A.H.K. Genome-Wide Characterization and Expression Profiling of Plant-Specific PLATZ Transcription Factor Family Genes in Brassica rapa L. Plant Breed. Biotechnol. 2020, 8, 28–45. [Google Scholar] [CrossRef]
- He, X.; Liu, M.; Fang, Z.; Ma, D.; Zhou, Y.; Yin, J. Genome-Wide Analysis of a Plant at-Rich Sequence and Zinc-Binding Protein (PLATZ) in Triticum aestivum. Phyton-Int. J. Exp. Bot. 2021, 90, 971–986. [Google Scholar] [CrossRef]
- Li, X.; He, F.; Zhao, G.; Li, M.; Long, R.; Kang, J.; Yang, Q.; Chen, L. Genome-Wide Identification and Phylogenetic and Expression Analyses of the PLATZ Gene Family in Medicago sativa L. Int. J. Mol. Sci. 2023, 24, 2388. [Google Scholar] [CrossRef]
- Li, J.; Feng, S.; Zhang, Y.; Xu, L.; Luo, Y.; Yuan, Y.; Yang, Q.; Feng, B. Genome-Wide Identification and Expression Analysis of the Plant-Specific PLATZ Gene Family in Tartary Buckwheat (Fagopyrum tataricum). BMC Plant Biol. 2022, 22, 160. [Google Scholar] [CrossRef] [PubMed]
- Guruprasad, K.; Reddy, B.V.B.; Pandit, M.W. Correlation between Stability of a Protein and Its Dipeptide Composition: A Novel Approach for Predicting in Vivo Stability of a Protein from Its Primary Sequence. Protein Eng. Des. Sel. 1990, 4, 155–161. [Google Scholar] [CrossRef] [PubMed]
- Rogozin, I.B.; Carmel, L.; Csuros, M.; Koonin, E.V. Origin and Evolution of Spliceosomal Introns. Biol. Direct. 2012, 7, 11. [Google Scholar] [CrossRef] [PubMed]
- Kuo, Y.T.; Chao, Y.T.; Chen, W.C.; Shih, M.C.; Chang, S.B. Segmental and Tandem Chromosome Duplications Led to Divergent Evolution of the Chalcone Synthase Gene Family in Phalaenopsis orchids. Ann. Bot. 2019, 123, 69–77. [Google Scholar] [CrossRef] [PubMed]
- Monat, C.; Schreiber, M.; Stein, N.; Mascher, M. Prospects of Pan-Genomics in Barley. Theor. Appl. Genet. 2019, 132, 785–796. [Google Scholar] [CrossRef]
- Jayakodi, M.; Padmarasu, S.; Haberer, G.; Bonthala, V.S.; Gundlach, H.; Monat, C.; Lux, T.; Kamal, N.; Lang, D.; Himmelbach, A.; et al. The Barley Pan-Genome Reveals the Hidden Legacy of Mutation Breeding. Nature 2020, 588, 284–289. [Google Scholar] [CrossRef]
- Mathur, R.; Rana, B.S.; Jha, A.K. Single Nucleotide Polymorphism (SNP). In Encyclopedia of Animal Cognition and Behavior; Vonk, J., Shackelford, T., Eds.; Springer: Berlin/Heidelberg, Germany, 2018; pp. 1–4. [Google Scholar] [CrossRef]
- Tettelin, H.; Masignani, V.; Cieslewicz, M.J.; Donati, C.; Medini, D.; Ward, N.L.; Angiuoli, S.V.; Crabtree, J.; Jones, A.L.; Durkin, A.S.; et al. Genome Analysis of Multiple Pathogenic Isolates of Streptococcus agalactiae: Implications for the Microbial “Pan-Genome”. Proc. Natl. Acad. Sci. USA 2005, 102, 13950–13955. [Google Scholar] [CrossRef]
- Fu, Y.; Cheng, M.; Li, M.; Guo, X.; Wu, Y.; Wang, J. Identification and Characterization of PLATZ Transcription Factors in Wheat. Int. J. Mol. Sci. 2020, 21, 8934. [Google Scholar] [CrossRef]
- Cannon, S.B.; Mitra, A.; Baumgarten, A.; Young, N.D.; May, G. The Roles of Segmental and Tandem Gene Duplication in the Evolution of Large Gene Families in Arabidopsis thaliana. BMC Plant Biol. 2004, 4, 10. [Google Scholar] [CrossRef]
- Xu, M.; Gao, Z.; Li, D.; Zhang, C.; Zhang, Y.; He, Q.; Qi, Y.; Zhang, H.; Jiang, J.; Xu, X.; et al. Functional Prediction of Tomato PLATZ Family Members and Functional Verification of SlPLATZ17. J. Integr. Agric. 2024, 23, 141–154. [Google Scholar] [CrossRef]
- Liu, X.; Dai, Y.; Li, R.; Yuan, L.; Chen, X.; Wang, X. Members of B-Box Protein Family from Malus domestica Enhanced Abiotic Stresses Tolerance in Escherichia Coli. Mol. Biotechnol. 2019, 61, 421–426. [Google Scholar] [CrossRef] [PubMed]
- Sun, Y.; Liu, Y.; Liang, J.; Luo, J.; Yang, F.; Feng, P.; Wang, H.; Guo, B.; Ma, F.; Zhao, T. Identification of PLATZ Genes in Malus and Expression Characteristics of MdPLATZs in Response to Drought and ABA Stresses. Front. Plant Sci. 2023, 13, 1109784. [Google Scholar] [CrossRef] [PubMed]
- Zhang, K.; Lan, Y.; Shi, Y.; Gao, Y.; Wu, M.; Xu, Y.; Xiang, Y. Systematic Analysis and Functional Characterization of the PLATZ Transcription Factors in Moso Bamboo (Phyllostachys edulis). J. Plant Growth Regul. 2023, 42, 218–236. [Google Scholar] [CrossRef]
- Qi, J.; Wang, H.; Wu, X.; Noman, M.; Wen, Y.; Li, D.; Song, F. Genome-Wide Characterization of the PLATZ Gene Family in Watermelon (Citrullus lanatus L.) with Putative Functions in Biotic and Abiotic Stress Response. Plant Physiol. Biochem. 2023, 201, 107854. [Google Scholar] [CrossRef] [PubMed]
- Li, J.; Zhao, Y.; Zhang, Y.; Ye, F.; Hou, Z.; Zhang, Y.; Hao, L.; Li, G.; Shao, J.; Tan, M. Genome-Wide Analysis of MdPLATZ Genes and Their Expression during Axillary Bud Outgrowth in Apple (Malus domestica Borkh.). BMC Genom. 2023, 24, 329. [Google Scholar] [CrossRef]
- Han, X.; Rong, H.; Tian, Y.; Qu, Y.; Xu, M.; Xu, L.A. Genome-Wide Identification of PLATZ Transcription Factors in Ginkgo biloba L. and Their Expression Characteristics during Seed Development. Front. Plant Sci. 2022, 13, 946194. [Google Scholar] [CrossRef]
- Wang, X.; Yuan, W.; Yuan, X.; Jiang, C.; An, Y.; Chen, N.; Huang, L.; Lu, M.; Zhang, J. Comparative Analysis of PLATZ Transcription Factors in Six Poplar Species and Analysis of the Role of PtrPLATZ14 in Leaf Development. Int. J. Biol. Macromol. 2024, 263, 130471. [Google Scholar] [CrossRef]
- Ain-Ali, Q.U.; Mushtaq, N.; Amir, R.; Gul, A.; Tahir, M.; Munir, F. Genome-Wide Promoter Analysis, Homology Modeling and Protein Interaction Network of Dehydration Responsive Element Binding (DREB) Gene Family in Solanum tuberosum. PLoS ONE 2021, 16, e0261215. [Google Scholar] [CrossRef]
- Monat, C.; Padmarasu, S.; Lux, T.; Wicker, T.; Gundlach, H.; Himmelbach, A.; Ens, J.; Li, C.; Muehlbauer, G.J.; Schulman, A.H.; et al. TRITEX: Chromosome-Scale Sequence Assembly of Triticeae Genomes with Open-Source Tools. Genome Biol. 2019, 20, 1–18. [Google Scholar] [CrossRef]
- Wai, A.H.; Rahman, M.M.; Waseem, M.; Cho, L.H.; Naing, A.H.; Jeon, J.S.; Lee, D.J.; Kim, C.K.; Chung, M.Y. Comprehensive Genome-Wide Analysis and Expression Pattern Profiling of PLATZ Gene Family Members in Solanum lycopersicum L. under Multiple Abiotic Stresses. Plants 2022, 11, 3112. [Google Scholar] [CrossRef]
- Paysan-Lafosse, T.; Blum, M.; Chuguransky, S.; Grego, T.; Pinto, B.L.; Salazar, G.A.; Bileschi, M.L.; Bork, P.; Bridge, A.; Colwell, L.; et al. InterPro in 2022. Nucleic Acids Res. 2023, 51, D418–D427. [Google Scholar] [CrossRef] [PubMed]
- Gasteiger, E.; Hoogland, C.; Gattiker, A.; Duvaud, S.; Wilkins, M.R.; Appel, R.D.; Bairoch, A. Protein Identification and Analysis Tools on the ExPASy Server; Walker, J.M., Ed.; Humana Press: Totowa, NJ, USA, 2005. [Google Scholar]
- Savojardo, C.; Martelli, P.L.; Fariselli, P.; Profiti, G.; Casadio, R. BUSCA: An Integrative Web Server to Predict Subcellular Localization of Proteins. Nucleic Acids Res. 2018, 46, W459–W466. [Google Scholar] [CrossRef] [PubMed]
- Madeira, F.; Pearce, M.; Tivey, A.R.N.; Basutkar, P.; Lee, J.; Edbali, O.; Madhusoodanan, N.; Kolesnikov, A.; Lopez, R. Search and Sequence Analysis Tools Services from EMBL-EBI in 2022. Nucleic Acids Res. 2022, 50, W276–W279. [Google Scholar] [CrossRef] [PubMed]
- Kumar, S.; Stecher, G.; Li, M.; Knyaz, C.; Tamura, K. MEGA X: Molecular Evolutionary Genetics Analysis across Computing Platforms. Mol. Biol. Evol. 2018, 35, 1547–1549. [Google Scholar] [CrossRef]
- Chen, C.; Chen, H.; Zhang, Y.; Thomas, H.R.; Frank, M.H.; He, Y.; Xia, R. TBtools: An Integrative Toolkit Developed for Interactive Analyses of Big Biological Data. Mol. Plant. 2020, 13, 1194–1202. [Google Scholar] [CrossRef]
- Cai, K.; Zeng, F.; Wang, J.; Zhang, G. Identification and Characterization of HAK/KUP/KT Potassium Transporter Gene Family in Barley and Their Expression under Abiotic Stress. BMC Genom. 2021, 22, 317. [Google Scholar] [CrossRef]
- Bailey, T.L.; Johnson, J.; Grant, C.E.; Noble, W.S. The MEME Suite. Nucleic Acids Res. 2015, 43, W39–W49. [Google Scholar] [CrossRef]
- Lescot, M.; Déhais, P.; Thijs, G.; Marchal, K.; Moreau, Y.; Van de Peer, Y.; Rouzé, P.; Rombauts, S. PlantCARE, a Database of Plant Cis-Acting Regulatory Elements and a Portal to Tools for in Silico Analysis of Promoter Sequences. Nucleic Acids Res. 2002, 30, 325–327. [Google Scholar] [CrossRef]
- Cai, K.; Kuang, L.; Yue, W.; Xie, S.; Xia, X.; Zhang, G.; Wang, J. Calmodulin and Calmodulin-like Gene Family in Barley: Identification, Characterization and Expression Analyses. Front. Plant Sci. 2022, 13, 964888. [Google Scholar] [CrossRef]
- Livak, K.J.; Schmittgen, T.D. Analysis of Relative Gene Expression Data Using Real-Time Quantitative PCR and the 2−ΔΔCT Method. Methods 2001, 25, 402–408. [Google Scholar] [CrossRef]











| Name | Gene ID | Length (aas) | Intron | MW (kDa) | pI | Instability Index | SL |
|---|---|---|---|---|---|---|---|
| HvPLATZ1 | HORVU.MOREX.r3.1HG0014730 | 258 | 1 | 28.54 | 7.15 | 71.76 | nucleus |
| HvPLATZ2 | HORVU.MOREX.r3.1HG0053060 | 272 | 1 | 29.21 | 9.25 | 63.94 | nucleus |
| HvPLATZ3 | HORVU.MOREX.r3.2HG0197200 | 246 | 3 | 27.14 | 9.37 | 51.36 | nucleus |
| HvPLATZ4 | HORVU.MOREX.r3.3HG0322980 | 215 | 2 | 24.49 | 8.52 | 52.21 | extracellular space |
| HvPLATZ5 | HORVU.MOREX.r3.6HG0568240 | 237 | 3 | 27.19 | 8.67 | 60.13 | nucleus |
| HvPLATZ6 | HORVU.MOREX.r3.6HG0571240 | 240 | 3 | 26.24 | 8.72 | 55.73 | nucleus |
| HvPLATZ7 | HORVU.MOREX.r3.6HG0574010 | 215 | 2 | 24.08 | 7.95 | 48.26 | nucleus |
| HvPLATZ8 | HORVU.MOREX.r3.6HG0605480 | 249 | 3 | 26.85 | 9.44 | 56.24 | nucleus |
| HvPLATZ9 | HORVU.MOREX.r3.7HG0690090 | 212 | 2 | 22.74 | 8.88 | 48.06 | nucleus |
| HvPLATZ10 | HORVU.MOREX.r3.7HG0723280 | 241 | 3 | 26.75 | 9.27 | 58.83 | nucleus |
| HvPLATZ11 | HORVU.MOREX.r3.7HG0738060 | 254 | 3 | 27.87 | 8.69 | 59.8 | nucleus |
Disclaimer/Publisher’s Note: The statements, opinions and data contained in all publications are solely those of the individual author(s) and contributor(s) and not of MDPI and/or the editor(s). MDPI and/or the editor(s) disclaim responsibility for any injury to people or property resulting from any ideas, methods, instructions or products referred to in the content. |
© 2024 by the authors. Licensee MDPI, Basel, Switzerland. This article is an open access article distributed under the terms and conditions of the Creative Commons Attribution (CC BY) license (https://creativecommons.org/licenses/by/4.0/).
Share and Cite
Cai, K.; Song, X.; Yue, W.; Liu, L.; Ge, F.; Wang, J. Identification and Functional Characterization of Abiotic Stress Tolerance-Related PLATZ Transcription Factor Family in Barley (Hordeum vulgare L.). Int. J. Mol. Sci. 2024, 25, 10191. https://doi.org/10.3390/ijms251810191
Cai K, Song X, Yue W, Liu L, Ge F, Wang J. Identification and Functional Characterization of Abiotic Stress Tolerance-Related PLATZ Transcription Factor Family in Barley (Hordeum vulgare L.). International Journal of Molecular Sciences. 2024; 25(18):10191. https://doi.org/10.3390/ijms251810191
Chicago/Turabian StyleCai, Kangfeng, Xiujuan Song, Wenhao Yue, Lei Liu, Fangying Ge, and Junmei Wang. 2024. "Identification and Functional Characterization of Abiotic Stress Tolerance-Related PLATZ Transcription Factor Family in Barley (Hordeum vulgare L.)" International Journal of Molecular Sciences 25, no. 18: 10191. https://doi.org/10.3390/ijms251810191
APA StyleCai, K., Song, X., Yue, W., Liu, L., Ge, F., & Wang, J. (2024). Identification and Functional Characterization of Abiotic Stress Tolerance-Related PLATZ Transcription Factor Family in Barley (Hordeum vulgare L.). International Journal of Molecular Sciences, 25(18), 10191. https://doi.org/10.3390/ijms251810191

