Sign in to use this feature.

Years

Between: -

Subjects

remove_circle_outline
remove_circle_outline
remove_circle_outline
remove_circle_outline
remove_circle_outline
remove_circle_outline
remove_circle_outline
remove_circle_outline
remove_circle_outline

Journals

remove_circle_outline
remove_circle_outline
remove_circle_outline
remove_circle_outline
remove_circle_outline
remove_circle_outline
remove_circle_outline
remove_circle_outline
remove_circle_outline
remove_circle_outline

Article Types

Countries / Regions

remove_circle_outline
remove_circle_outline
remove_circle_outline
remove_circle_outline
remove_circle_outline
remove_circle_outline
remove_circle_outline

Search Results (4,308)

Search Parameters:
Keywords = abiotic stress response

Order results
Result details
Results per page
Select all
Export citation of selected articles as:
20 pages, 6594 KB  
Article
Genome-Wide Identification and Characterization of the VOZ Gene Family in Gossypium hirsutum L. and Functional Characterization in Abiotic Stress and Somatic Embryogenesis
by Mengmeng Jiang, Conghua Feng, Junbo Zhen, Linlin Liu, Di Liu, Shuling Zhang and Jina Chi
Int. J. Mol. Sci. 2025, 26(22), 10965; https://doi.org/10.3390/ijms262210965 - 12 Nov 2025
Abstract
Vascular Plant One-Zinc finger (VOZ) transcription factors are pivotal regulators of plant growth and stress adaptation, yet their functional roles in Gossypium hirsutum, a key fiber crop, remain poorly characterized. In this study, we systematically identified six VOZ genes in G. hirsutum [...] Read more.
Vascular Plant One-Zinc finger (VOZ) transcription factors are pivotal regulators of plant growth and stress adaptation, yet their functional roles in Gossypium hirsutum, a key fiber crop, remain poorly characterized. In this study, we systematically identified six VOZ genes in G. hirsutum and conducted a comprehensive analysis of their phylogenetic relationships, genomic distribution, promoter architecture, and expression profiles. Phylogenetic classification placed the GhVOZ proteins into three distinct clades, and chromosomal localization revealed that family expansion was likely driven by segmental duplication events. Promoter analysis uncovered an abundance of stress-related cis-regulatory elements, suggesting a potential role in abiotic stress signaling. Consistent with this, expression profiling demonstrated that GhVOZ1/3, GhVOZ2/4/5, and GhVOZ6 were specifically induced under drought, salt, and cold stress, respectively, with qRT-PCR further confirming their tissue-specific dynamic regulation under salt treatment. Furthermore, the GhVOZ family exhibited stage-specific expression patterns during somatic embryogenesis. GhVOZ1, GhVOZ3, and GhVOZ4 were upregulated at the early induction phase, implicating them in the initiation of cell reprogramming. In contrast, GhVOZ2 and GhVOZ4 showed sustained expression in embryogenic callus at later stages, suggesting a role in maintaining embryogenic competence, whereas GhVOZ5—preferentially expressed in non-embryogenic callus—may act as a repressor of embryogenesis. Synteny analysis further highlighted evolutionary conservation and subgenomic divergence of VOZ genes in G. hirsutum. Collectively, these findings establish GhVOZs as key regulators integrating abiotic stress response and somatic embryogenesis, providing a genetic framework for future functional studies and crop improvement. Full article
(This article belongs to the Special Issue Plant Tolerance to Stress)
22 pages, 19092 KB  
Article
Genome-Wide Identification, Expression Profile and Evolution Analysis of Importin α Gene Family in Glycine max
by Zhong-Qi Zhang, Min-Min Li, Ru-Mei Tian, Xing Cheng, Zhi-Wei Wang, Kun-Lun Li, Guan Li, Ling-Hua Lyu, Lei Liu, Na-Na Li, Longxin Wang, Kai-Hua Jia and Yong-Yi Yang
Agronomy 2025, 15(11), 2603; https://doi.org/10.3390/agronomy15112603 - 12 Nov 2025
Abstract
Importin α (IMPα) proteins are key mediators of nucleocytoplasmic transport and play crucial roles in plant development and stress adaptation. Here, we performed a genome-wide identification of the IMPα gene family in Glycine max, followed by gene structure and conserved motif analyses, [...] Read more.
Importin α (IMPα) proteins are key mediators of nucleocytoplasmic transport and play crucial roles in plant development and stress adaptation. Here, we performed a genome-wide identification of the IMPα gene family in Glycine max, followed by gene structure and conserved motif analyses, chromosomal distribution and duplication inference, synteny and selection (Ka/Ks) analyses, and expression profiling across tissues and stress conditions using public RNA-seq datasets and expression browsers. The GmIMPα genes exhibited diverse gene structures and conserved motifs, suggesting functional diversification within the family. Segmental duplication was identified as the main contributor to family expansion, and most duplicated gene pairs underwent purifying selection. Promoter analysis revealed numerous stress- and hormone-responsive cis-elements, implying complex transcriptional regulation. Expression profiling demonstrated that GmIMPα5 and GmIMPα7 were strongly induced under drought, heat, and salt stresses, indicating potential roles in abiotic stress tolerance. Collectively, our results provide a comprehensive framework for the evolution and functional divergence of the GmIMPα family in soybean and offer candidates for improving stress resilience. Full article
(This article belongs to the Special Issue Cultivar Development of Pulses Crop—2nd Edition)
Show Figures

Figure 1

15 pages, 2879 KB  
Article
Transcriptomics Data Mining to Identify Novel Regulatory Genes of Iron Uptake in Drought-Stressed Wheat
by Mohamed Najib Saidi, Omeima Rebai, Fadhila Hachani, Gianpiero Vigani and Stefania Astolfi
Int. J. Mol. Sci. 2025, 26(22), 10955; https://doi.org/10.3390/ijms262210955 - 12 Nov 2025
Abstract
Understanding the molecular crosstalk between drought and iron (Fe) homeostasis is crucial for developing drought-tolerant wheat cultivars with enhanced nutrient quality. In this study, transcriptomic data mining identified 23,271 and 5933 differentially expressed genes (DEGs) under drought and Fe deficiency, respectively, with 2479 [...] Read more.
Understanding the molecular crosstalk between drought and iron (Fe) homeostasis is crucial for developing drought-tolerant wheat cultivars with enhanced nutrient quality. In this study, transcriptomic data mining identified 23,271 and 5933 differentially expressed genes (DEGs) under drought and Fe deficiency, respectively, with 2479 DEGs in response to both stresses. Notably, this overlapping set included significant numbers of genes encoding transcription factors (TFs) (149 genes), Fe homeostasis components (274 genes), and those involved in phytohormones pathways (245 genes), particularly the abscisic acid (ABA) pathway. Gene Ontology (GO) analysis revealed specific and commonly affected biological processes, such as response to abiotic stimulus and heme binding. Furthermore, co-expression network analysis revealed modules highly enriched with genes involved in transcriptional regulation and Fe uptake, enabling the identification of key hub regulatory genes, belonging to the MYB, NAC, BHLH, and AP2/ERF families, involved in the shared stress response. Finaly, the expression of a set of candidate TF-encoding genes was validated using qRT-PCR in durum wheat under drought and Fe starvation, providing a detailed overview of the possible shared regulatory mechanisms linking drought and Fe deficiency responses. Full article
(This article belongs to the Collection Feature Papers in Molecular Plant Sciences)
Show Figures

Figure 1

23 pages, 3514 KB  
Article
Interplay of Stress Responses in Pear Tree Revealed by Chlorophyll Fluorescence Under Combined Erwinia amylovora Infection and Temperature Stress
by Ye Bin Hwang, Kyung Seok Park, Sung Yung Yoo and Tae Wan Kim
Horticulturae 2025, 11(11), 1358; https://doi.org/10.3390/horticulturae11111358 - 12 Nov 2025
Abstract
Plants exposed to combined abiotic and biotic stresses often exhibit complex physiological responses that cannot be predicted from single stress factors. In this study, we evaluated the interactive effects of temperature stress and Erwinia amylovora infection on pear (Pyrus pyrifolia) leaves [...] Read more.
Plants exposed to combined abiotic and biotic stresses often exhibit complex physiological responses that cannot be predicted from single stress factors. In this study, we evaluated the interactive effects of temperature stress and Erwinia amylovora infection on pear (Pyrus pyrifolia) leaves under five temperature conditions (10, 15, 25, 30, and 35 °C) with or without pathogen inoculation, using chlorophyll fluorescence analysis and RGB imaging over a 7-day period. Photosynthetic performance remained optimal at 25 °C under single temperature conditions, whereas pathogen inoculation alone caused PSII damage and reduced energy dissipation. Under combined stress, PSII responses exhibited temperature-dependent patterns: at 10, 15 °C, photoprotective mechanisms were partially maintained; at 25, 30 °C, severe structural and functional damage occurred; and at 35 °C, pathogen activity was suppressed while partial recovery of PSII was observed. By integrating chlorophyll fluorescence analysis with a linear mixed-effect model (LMM), distinct patterns of sensitivity were identified among fluorescence parameters, with ΦNO responding to single stress factors, and Fm, Fv, Fp, Fv/Fo, and qL showing significant three-way interactions. These findings highlight temperature-dependent strategies of pear leaves to cope with fire blight and emphasize the utility of chlorophyll fluorescence analysis for evaluating photosynthetic resilience. From an applied perspective, chlorophyll fluorescence could serve as a rapid, non-destructive tool for screening pear cultivars with enhanced tolerance to bacterial fire blight, contributing to more efficient orchard management strategies. Full article
(This article belongs to the Special Issue Horticultural Plant Resistance Against Biotic and Abiotic Stressors)
Show Figures

Figure 1

16 pages, 682 KB  
Review
Epigenomic Transcriptome Regulation of Growth and Development and Stress Response in Cucurbitaceae Plants: The Role of RNA Methylation
by Guangchao Yu, Zhipeng Wang, Lian Jia and Hua Huang
Curr. Issues Mol. Biol. 2025, 47(11), 938; https://doi.org/10.3390/cimb47110938 - 11 Nov 2025
Abstract
RNA methylation, particularly N6-methyladenosine (m6A) and 5-methylcytosine (m5C), functions as a pivotal post-transcriptional regulatory mechanism and plays a central role in plant growth, development, and stress responses. This review provides a systematic summary of recent advances in RNA methylation [...] Read more.
RNA methylation, particularly N6-methyladenosine (m6A) and 5-methylcytosine (m5C), functions as a pivotal post-transcriptional regulatory mechanism and plays a central role in plant growth, development, and stress responses. This review provides a systematic summary of recent advances in RNA methylation research in cucurbit crops. To date, high-throughput technologies such as MeRIP-seq and nanopore direct RNA sequencing have enabled the preliminary construction of RNA methylation landscapes in cucurbit species, revealing their potential regulatory roles in key agronomic traits, including fruit development, responses to biotic and abiotic stresses, and disease resistance. Nevertheless, this field remains in its early stages for cucurbit crops and faces several major challenges: First, mechanistic understanding is still limited, with insufficient knowledge regarding the composition and biological functions of the core protein families involved in methylation dynamics—namely, “writers,” “erasers,” and “readers.” Second, functional validation remains inadequate, as direct evidence linking specific RNA methylation events to downstream gene regulation and phenotypic outcomes is largely lacking. Third, resources are scarce; compared to model species such as Arabidopsis thaliana and rice, cucurbit crops possess limited species-specific genetic data and genetic engineering tools (e.g., CRISPR/Cas9-based gene editing systems), which significantly hampers comprehensive functional studies. To overcome these limitations, future research should prioritize the development and application of more sensitive detection methods, integrate multi-omics datasets—including transcriptomic and methylomic profiles—to reconstruct regulatory networks, and conduct rigorous functional assays to establish causal relationships between RNA methylation modifications and phenotypic variation. The ultimate objective is to fully elucidate the biological significance of RNA methylation in cucurbit plants and harness its potential for crop improvement through genetic and biotechnological approaches. Full article
(This article belongs to the Special Issue Molecular Breeding and Genetics Research in Plants—3rd Edition)
Show Figures

Figure 1

28 pages, 2407 KB  
Review
Emerging Mechanisms of Plant Responses to Abiotic Stress
by Wan Zhao, Xiaojie Chen, Jiahuan Wang, Zhongjie Cheng, Xuhui Ma, Qi Zheng, Zhaoshi Xu and Fuyan Zhang
Plants 2025, 14(22), 3445; https://doi.org/10.3390/plants14223445 - 11 Nov 2025
Viewed by 38
Abstract
Plants continuously face multiple abiotic stresses, including drought, salinity, heat, cold, and heavy metal, that challenge cellular homeostasis and threaten global crop productivity. Recent research reveals that these stress responses are not isolated but interconnected through shared hormonal, redox, and transcriptional networks. This [...] Read more.
Plants continuously face multiple abiotic stresses, including drought, salinity, heat, cold, and heavy metal, that challenge cellular homeostasis and threaten global crop productivity. Recent research reveals that these stress responses are not isolated but interconnected through shared hormonal, redox, and transcriptional networks. This review provides an integrative synthesis of current advances in stress signaling, emphasizing how perception, transduction, and memory layers are hierarchically organized across distinct stress types. We outline key regulatory hubs—such as ABA-centered hormonal crosstalk, chloroplast-nucleus redox communication, and epigenetic priming—that coordinate systemic tolerance. Furthermore, we highlight emerging evidence for stress-specific modules that operate under combined stresses (e.g., drought–heat, salinity–cold), providing a unified framework for understanding how plants integrate multi-dimensional signals. This synthesis offers a conceptual perspective linking signaling architecture to adaptive outcomes, aiming to inform future strategies for engineering multi-stress-resilient crops. Full article
(This article belongs to the Section Plant Response to Abiotic Stress and Climate Change)
Show Figures

Figure 1

35 pages, 1439 KB  
Review
Proteomics in Allopolyploid Crops: Stress Resilience, Challenges and Prospects
by Tanushree Halder, Roopali Bhoite, Shahidul Islam, Guijun Yan, Md. Nurealam Siddiqui, Md. Omar Kayess and Kadambot H. M. Siddique
Proteomes 2025, 13(4), 60; https://doi.org/10.3390/proteomes13040060 - 11 Nov 2025
Viewed by 152
Abstract
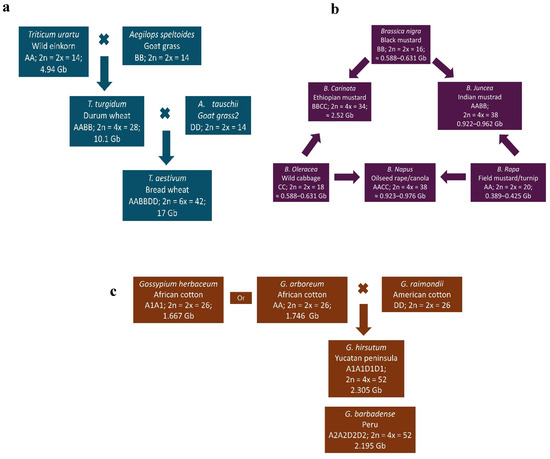
Polyploid crops such as wheat, Brassica, and cotton are critical in the global agricultural and economic system. However, their productivity is threatened increasingly by biotic stresses such as disease, and abiotic stresses such as heat, both exacerbated by climate change. Understanding the molecular [...] Read more.
Polyploid crops such as wheat, Brassica, and cotton are critical in the global agricultural and economic system. However, their productivity is threatened increasingly by biotic stresses such as disease, and abiotic stresses such as heat, both exacerbated by climate change. Understanding the molecular basis of stress responses in these crops is crucial but remains challenging due to their complex genetic makeup—characterized by large sizes, multiple genomes, and limited annotation resources. Proteomics is a powerful approach to elucidate molecular mechanisms, enabling the identification of stress-responsive proteins; cellular localization; physiological, biochemical, and metabolic pathways; protein–protein interaction; and post-translational modifications. It also sheds light on the evolutionary consequences of genome duplication and hybridization. Breeders can improve stress tolerance and yield traits by characterizing the proteome of polyploid crops. Functional and subcellular proteomics, and identification and introgression of stress-responsive protein biomarkers, are promising for crop improvement. Nevertheless, several challenges remain, including inefficient protein extraction methods, limited organelle-specific data, insufficient protein annotations, low proteoform coverage, reproducibility, and a lack of target-specific antibodies. This review explores the genomic complexity of three key allopolyploid crops (wheat, oilseed Brassica, and cotton), summarizes recent proteomic insights into heat stress and pathogen response, and discusses current challenges and future directions for advancing proteomics in polyploid crop improvement through proteomics. Full article
(This article belongs to the Special Issue Plant Genomics and Proteomics)
Show Figures

Figure 1

17 pages, 1014 KB  
Review
Mechanisms of Microorganisms Alleviating Drought and Salt Stresses in Plants
by Di Feng, Wenxiang Li, Pengfei Huang, Meiying Gu, Guangmu Tang, Yanhong Ding, Gang Cao and Wanli Xu
Microorganisms 2025, 13(11), 2565; https://doi.org/10.3390/microorganisms13112565 - 10 Nov 2025
Viewed by 89
Abstract
Drought and salt stresses are critical environmental constraints affecting plant growth and development, and microorganisms can enhance plant tolerance to these abiotic stresses through complex mechanisms. This review systematically synthesizes the core mechanisms by which microorganisms regulate plant physiological and biochemical processes under [...] Read more.
Drought and salt stresses are critical environmental constraints affecting plant growth and development, and microorganisms can enhance plant tolerance to these abiotic stresses through complex mechanisms. This review systematically synthesizes the core mechanisms by which microorganisms regulate plant physiological and biochemical processes under such stresses, specifically including the following: (1) regulating the perception and transduction of abiotic stress signals to enhance plant adaptive responses; (2) boosting gene expression and protein synthesis for overall plant metabolic regulation; (3) activating the antioxidant system to strengthen plant tolerance; (4) modulating plant hormone levels to stimulate growth in response to adversity; (5) enhancing plant nutrition and absorption to improve resilience; (6) optimizing the photosynthesis system to promote the synthesis of essential substances, safeguarding plant growth and development amidst adversity. Finally, the application of microbial inoculants in saline–alkali soil improvement and crop cultivation in arid areas and prospective research directions are discussed. Full article
(This article belongs to the Topic Microbe-Induced Abiotic Stress Alleviation in Plants)
Show Figures

Figure 1

19 pages, 9506 KB  
Article
The Bitter Gourd Transcription Factor McNAC087 Confers Cold Resistance in Transgenic Arabidopsis
by Xuetong Yang, Kai Wang, Feng Guan, Bo Shi, Yuanyuan Xie, Chang Du, Tong Tang, Zheng Yang, Shijie Ma and Xinjian Wan
Plants 2025, 14(22), 3440; https://doi.org/10.3390/plants14223440 - 10 Nov 2025
Viewed by 89
Abstract
Low-temperature stress severely restricts the growth, development, and yield of bitter gourd (Momordica charantia L.), a warm-loving crop with inherent low cold tolerance. NAC transcription factors (TFs) serve as crucial regulators in plant responses to abiotic stresses like cold, while their roles in [...] Read more.
Low-temperature stress severely restricts the growth, development, and yield of bitter gourd (Momordica charantia L.), a warm-loving crop with inherent low cold tolerance. NAC transcription factors (TFs) serve as crucial regulators in plant responses to abiotic stresses like cold, while their roles in coping with cold stress in bitter gourd remain unclear. This study identified cold-responsive genes in bitter gourd and characterized the candidate NAC TF McNAC087 through transcriptome analysis. Transcriptome sequencing of cold-tolerant (R) and cold-sensitive (S) bitter gourd inbred lines under 5 °C stress (0 h, 6 h, 12 h, 24 h) revealed 1157 co-expressed differentially expressed genes (DEGs), enriched via Kyoto Encyclopedia of Genes and Genomes (KEGG) analysis in cold tolerance-related pathways (signal transduction, carbohydrate/amino acid metabolism). RT-qPCR showed higher McNAC087 expression in R than S under cold stress, and subcellular localization confirmed it as a nucleus-localized protein. McNAC087 overexpression in Arabidopsis enhanced cold tolerance after sequential stress (−14 °C for 1.5 h, 4 °C for 16 h, and 22 °C recovery for 2 days), with less damage compared to wildtype (WT). Physiologically, overexpressing lines had higher proline, elevated superoxide dismutase/peroxidase/catalase (SOD/POD/CAT) activities, lower malondialdehyde/hydrogen peroxide/superoxide anion (MDA/H2O2/O2) accumulation under cold stress, and upregulated ICE-CBF-COR pathway marker genes (CBF1, DREB2A, RD29A, COR47). In conclusion, McNAC087 enhances Arabidopsis cold tolerance by regulating physiology and activating cold-responsive genes, providing insights for bitter gourd cold tolerance mechanisms and crop breeding. Full article
(This article belongs to the Special Issue Crop Functional Genomics and Biological Breeding—2nd Edition)
Show Figures

Figure 1

26 pages, 6942 KB  
Article
From Lab to Field: Context-Dependent Impacts of Pseudomonas-Produced 2,4-Diacetylphloroglucinol on Soil Microbial Ecology
by Anastasia V. Teslya, Artyom A. Stepanov, Darya V. Poshvina, Ivan S. Petrushin and Alexey S. Vasilchenko
Biomolecules 2025, 15(11), 1578; https://doi.org/10.3390/biom15111578 - 10 Nov 2025
Viewed by 150
Abstract
The secondary metabolite 2,4-diacetylphloroglucinol (2,4-DAPG), which is produced by Pseudomonas bacteria, is a potent antimicrobial agent with well-documented properties that suppress phytopathogens. However, its broader ecological impact on soil microbial communities is not understood. Through a combination of controlled microcosm and field trials, [...] Read more.
The secondary metabolite 2,4-diacetylphloroglucinol (2,4-DAPG), which is produced by Pseudomonas bacteria, is a potent antimicrobial agent with well-documented properties that suppress phytopathogens. However, its broader ecological impact on soil microbial communities is not understood. Through a combination of controlled microcosm and field trials, we have demonstrated that the effects of 2,4-DAPG are highly context-dependent. Laboratory exposure (10 mg kg−1) altered the abundance of 8.53% of bacterial and 6.91% of fungal amplicon sequence variants, and simplified the bacterial co-occurrence networks (reduced number of nodes and links). In contrast, field conditions amplified bacterial sensitivity (the Shannon index decreased from 4.77 to 4.17, p < 0.05) but maintained fungal stability (Shannon index varied from 3.93 to 3.97, p > 0.05); these conditions affected a smaller proportion of fungal ASVs (4.23%). Taxonomic analysis revealed consistent suppression of fungi of the Mucoromycota (e.g., Mortierella) and context-dependent shifts in bacteria, with an enrichment of Bacillota (e.g., Bacillus, Paenibacillus) in the laboratory but not in the field. Enzymatic responses revealed a dose-dependent activation of the C-cycle, with up to 7.4-fold increases in the laboratory and up to a 10.5-fold increase in the field. P- and N- cycles showed more complex dynamics, with acid phosphatase activity increasing 3.8-fold in laboratory conditions and recovering from initial suppression to an increase of 144% in field conditions, while N-acetylglucosaminidase activity increased and L-leucine aminopeptidase decreased under laboratory conditions. Our results suggest that the response of microorganisms to 2,4-DAPG in natural soils is reduced, probably due to functional redundancy and pre-adaptation to abiotic stresses. This difference between laboratory and field studies warns against extrapolating data from controlled experiments to predict outcomes in agricultural ecosystems, and emphasizes the need for a context-specific evaluation of biocontrol agents. Full article
(This article belongs to the Special Issue Microbial Biocontrol and Plant-Microbe Interactions)
Show Figures

Figure 1

16 pages, 948 KB  
Article
Membrane Lipids and Osmolytes Rearrangements Under Cell Wall Stress in Aspergillus niger
by Elena A. Ianutsevich, Olga A. Danilova, Sofiya A. Saharova and Vera M. Tereshina
Int. J. Mol. Sci. 2025, 26(22), 10888; https://doi.org/10.3390/ijms262210888 - 10 Nov 2025
Viewed by 149
Abstract
The cell wall integrity pathway is activated in response to cell wall stress (CWS). The defense system in aspergilli employs three transcription factors—RlmA, MsnA, and CrzA—which also facilitate adaptation to various abiotic stressors and involve alterations in cytosolic osmolyte composition and membrane lipid [...] Read more.
The cell wall integrity pathway is activated in response to cell wall stress (CWS). The defense system in aspergilli employs three transcription factors—RlmA, MsnA, and CrzA—which also facilitate adaptation to various abiotic stressors and involve alterations in cytosolic osmolyte composition and membrane lipid profiles. However, their role in adaptation to CWS remains unclear. In Aspergillus niger, CWS induced by Congo red and calcofluor white caused a pronounced cessation of apical growth, accompanied by hyphal globular swelling and an increase in chitin and glucan content in the cell wall. Regarding the osmolyte composition, which predominantly consists of low levels of glycerol and mannitol, glycerol levels were reduced under CWS. Neither the composition nor the amounts of membrane and storage lipids changed following CWS; however, the degree of unsaturation of phospholipids increased due to a higher proportion of linolenic acid, potentially enhancing membrane fluidity. These minor rearrangements of membrane lipids and osmolytes do not confirm their involvement in the adaptation to CWS induced by Congo red and calcofluor white, contrary to previous assumptions based on studies of cell wall integrity pathways. Full article
(This article belongs to the Section Molecular Biology)
Show Figures

Figure 1

21 pages, 6032 KB  
Article
Characterization of With-No-Lysine Kinase Family Genes and Roles of CaWNK6 in the Heat Tolerance of Pepper (Capsicum annuum L.)
by Jianwei Zhang, Libo Liu, Jianxin Fan, Yao Jiang, Xianjun Chen, Qin Yang and Huanxiu Li
Plants 2025, 14(22), 3430; https://doi.org/10.3390/plants14223430 - 9 Nov 2025
Viewed by 161
Abstract
With-No-Lysine (WNK) kinases constitute a subgroup within the serine/threonine protein kinase family, characterized by the absence of a catalytic lysine residue in the kinase subdomain II located in their N-terminal region. These kinases play critical roles in regulating plant growth, development, and responses [...] Read more.
With-No-Lysine (WNK) kinases constitute a subgroup within the serine/threonine protein kinase family, characterized by the absence of a catalytic lysine residue in the kinase subdomain II located in their N-terminal region. These kinases play critical roles in regulating plant growth, development, and responses to abiotic stressors. However, members of the WNK and their responses to heat stress in pepper (Capsicum annuum L.) remain unexplored. In the present study, we identified eleven WNK genes within the genome of pepper cultivar ‘UCD-10X-F1’ and designated them CaWNK1 to CaWNK11 according to their chromosomal positions. Comprehensive analyses were conducted to elucidate their phylogenetic relationships, chromosomal distribution, collinearity, gene structure, protein properties, and cis-acting elements within promoter regions. The findings revealed that the CaWNK gene family segregates into five distinct subgroups. Comparative genomic analysis identified eleven and nine segmental duplication gene pairs between pepper and tomato and between pepper and Arabidopsis, respectively. Within the pepper genome, two pairs of segmentally duplicated genes and two pairs of tandemly repeated genes were also detected. The CaWNK gene sequences in pepper exhibited a high degree of conservation; however, variations were observed in the number of introns and exons. Analysis of the promoter regions revealed an abundance of cis-acting elements associated with growth and development, stress responses, and hormone regulation. Subsequent transcriptomic analyses demonstrated that CaWNK genes displayed tissue-specific expression patterns and differential expression levels following treatments with exogenous plant hormones and abiotic stresses. Notably, the expression of CaWNK6 was significantly up-regulated under heat stress conditions. To elucidate the functional role of CaWNK6, virus-induced gene silencing (VIGS) was employed to suppress its expression in pepper seedlings. Silencing of CaWNK6 resulted in disrupted tissue architecture, stomatal closure, and diminished heat tolerance. These phenotypic changes correlated with excessive accumulation of reactive oxygen species (ROS), reduced activity of antioxidant enzymes, and down-regulation of heat shock factor (HSF) genes in the silenced plants. Collectively, these findings offer valuable insights into the functional roles of CaWNK genes and hold significant implications for the development of novel heat-tolerant pepper cultivars. Full article
(This article belongs to the Section Plant Response to Abiotic Stress and Climate Change)
Show Figures

Figure 1

18 pages, 10386 KB  
Article
Genome-Wide Identification of 13 miR5200 Loci in Wheat and Investigation of Their Regulatory Roles Under Stress
by Yuan Zhou, Chenyu Zhao, Huiyuan Yan, Jiahao Yang, Mingyang Chen, Xia Wang, Pingfan Xie, Yongjing Ni, Jishan Niu, Jiangping Ren, Guojun Xia, Yongchun Li and Lei Li
Genes 2025, 16(11), 1349; https://doi.org/10.3390/genes16111349 - 9 Nov 2025
Viewed by 199
Abstract
Background/Objectives: miR5200 is miRNA unique to Poaceae plants. Induced under short-day conditions, it modulates flowering time by regulating the florigen FT gene expression. However, to date, the genetic locus responsible for mature miR5200 formation remains experimentally unvalidated, and its biological function in abiotic [...] Read more.
Background/Objectives: miR5200 is miRNA unique to Poaceae plants. Induced under short-day conditions, it modulates flowering time by regulating the florigen FT gene expression. However, to date, the genetic locus responsible for mature miR5200 formation remains experimentally unvalidated, and its biological function in abiotic stress responses remains unknown. This has hindered systematic elucidation of miR5200’s physiological role and molecular mechanisms. Methods: This study utilized wheat as the research material. First, through bioinformatics analysis at the genomic level, 13 potential candidate tae-miR5200 gene loci were screened. Subsequently, the authenticity of these gene loci was systematically validated by combining tobacco transient transfection-based GUS staining assay and quantitative real-time PCR (qRT-PCR) to detect expression levels. Building upon this foundation, the expression patterns of tae-miR5200 under abiotic stresses such as low temperature, drought, and salinity, as well as SA, ABA, IAA, GA3, and MeJA treatments, were further investigated. Results: Experimental validation confirmed that 7 out of 13 potential gene loci are authentic and functional, and tae-miR5200 exhibited specific expression changes under different types of abiotic stress. Conclusions: This study confirms the authenticity of tae-miR5200 gene loci, effectively eliminating interference from bioinformatics-predicted false-positive loci in subsequent functional studies. It provides an experimental foundation for further investigation into the molecular mechanisms of tae-miR5200 in wheat responses to abiotic stress. Full article
(This article belongs to the Section Plant Genetics and Genomics)
Show Figures

Figure 1

19 pages, 3441 KB  
Article
Genome-Wide Identification of the ACE Gene Family in Melon (Cucumis melo L.) and Its Response to Autotoxicity and Saline-Alkali Stress
by Hao Yang, Song Xiao, Sujie Liu, Wanqing Cheng, Yuting Zhang, Xin Cai, Zhizhong Zhang and Jinghua Wu
Horticulturae 2025, 11(11), 1344; https://doi.org/10.3390/horticulturae11111344 - 8 Nov 2025
Viewed by 193
Abstract
Soil salinization and autotoxicity are major abiotic stresses constraining melon production. The ACE gene family (also known as HOTHEAD, HTH) encodes flavin-containing oxidoreductases involved in stress responses and RNA cache-mediated non-Mendelian inheritance. This study presents a comprehensive genome-wide analysis of the [...] Read more.
Soil salinization and autotoxicity are major abiotic stresses constraining melon production. The ACE gene family (also known as HOTHEAD, HTH) encodes flavin-containing oxidoreductases involved in stress responses and RNA cache-mediated non-Mendelian inheritance. This study presents a comprehensive genome-wide analysis of the ACE/HTH gene family in melon through integrated bioinformatic and experimental approaches. We identified 14 CmACE genes encoding proteins of 457–595 amino acids. This gene family underwent significant expansion through tandem duplication events, particularly on chromosome 5. Phylogenetic analysis grouped these genes into three distinct clades with conserved gene structures and motif compositions. Promoter analysis identified abundant stress- and hormone-responsive cis-elements, with ABRE elements being predominant. Expression analyses revealed that multiple CmACE genes, including CmACE3, CmACE5, CmACE6 and CmACE14, were significantly upregulated under salt-alkali and autotoxicity stresses, showing distinct tissue-specific and time-dependent expression patterns. Notably, CmACE3 and CmACE6 were strongly induced under both stresses, while the tandemly duplicated pair CmACE6 and CmACE7 exhibited divergent expression patterns, suggesting functional specialization. Our findings provide the first comprehensive characterization of the CmACE gene family in melon, revealing its evolutionary history and stress-responsive regulation. These results not only offer valuable genetic resources for breeding stress-resistant melons but also lay a foundation for future research into the potential role of this conserved gene family in integrating stress adaptation with epigenetic regulatory pathways in crops. Full article
Show Figures

Figure 1

21 pages, 4042 KB  
Article
Transcriptomic and Physiological Insights into the Role of Nano-Silicon Dioxide in Alleviating Salt Stress During Soybean Germination
by Seo-Young Shin, Won-Ho Lee, Byeong Hee Kang, Sreeparna Chowdhury, Da-Yeon Kim, Hyeon-Seok Lee and Bo-Keun Ha
Agriculture 2025, 15(22), 2320; https://doi.org/10.3390/agriculture15222320 - 7 Nov 2025
Viewed by 163
Abstract
Salt stress is a major form of abiotic stress that disrupts soybean germination and early seedling establishment. In this study, physiological, biochemical, and transcriptomic analyses—including germination index, antioxidant enzyme activity, and RNA-seq profiling—were conducted during soybean germination to elucidate early responses to salt [...] Read more.
Salt stress is a major form of abiotic stress that disrupts soybean germination and early seedling establishment. In this study, physiological, biochemical, and transcriptomic analyses—including germination index, antioxidant enzyme activity, and RNA-seq profiling—were conducted during soybean germination to elucidate early responses to salt stress and biostimulant treatment. A preliminary screening of six biostimulants (nanoparticle zinc oxide (NP-ZnO), nanoparticle silicon dioxide (NP-SiO2), silicon dioxide (SiO2), glucose, humic acid, and fulvic acid) revealed NP-SiO2 as the most effective in promoting germination under salt stress. Under 150 mM NaCl, NP-SiO2 increased the germination rate and length of the radicle compared with the control, also enhancing peroxidase and ascorbate peroxidase activities while reducing malondialdehyde accumulation, suggesting alleviation of oxidative stress. RNA sequencing revealed extensive transcriptional reprogramming under salt stress, identifying 4579 differentially expressed genes (DEGs) compared with non-stress conditions, while NP-SiO2 treatment reduced this number to 2734, indicating that NP-SiO2 mitigated the transcriptional disturbance caused by salt stress and stabilized gene expression networks. Cluster analysis showed that growth- and hormone-related genes suppressed by salt stress were restored under NP-SiO2 treatment, whereas stress-responsive genes that were induced by salt were attenuated. Hormone-related DEG analysis revealed that NP-SiO2 down-regulated the overactivation in the abscisic acid, jasmonic acid, and salicylic acid pathways while partially restoring gibberellin, auxin, cytokinin, and brassinosteroid signaling. Overall, NP-SiO2 at 100 mg/L mitigated salt-induced oxidative stress and promoted early soybean growth by fine-tuning physiological and transcriptional responses, representing a promising nano-based biostimulant for enhancing salt tolerance in plants. Full article
(This article belongs to the Special Issue Crop Yield Improvement in Genetic and Biology Breeding)
Show Figures

Figure 1

Back to TopTop