Effects of Local Vasodilators and the Autonomic Nervous System on Microcirculation and Mitochondrial Function in Septic Rats
Abstract
1. Introduction
2. Results
2.1. Macrocirculation
2.2. Microcirculation
2.2.1. Effect of NG and Carbachol on Microcirculation in Sham Animals
2.2.2. Effect of Ilo and Carbachol on Microcirculation in Sham Animals
2.2.3. Effect of NG and Carbachol on Microcirculation in Septic Animals
2.2.4. Effect of Ilo and Carbachol on Microcirculation in Septic Animals
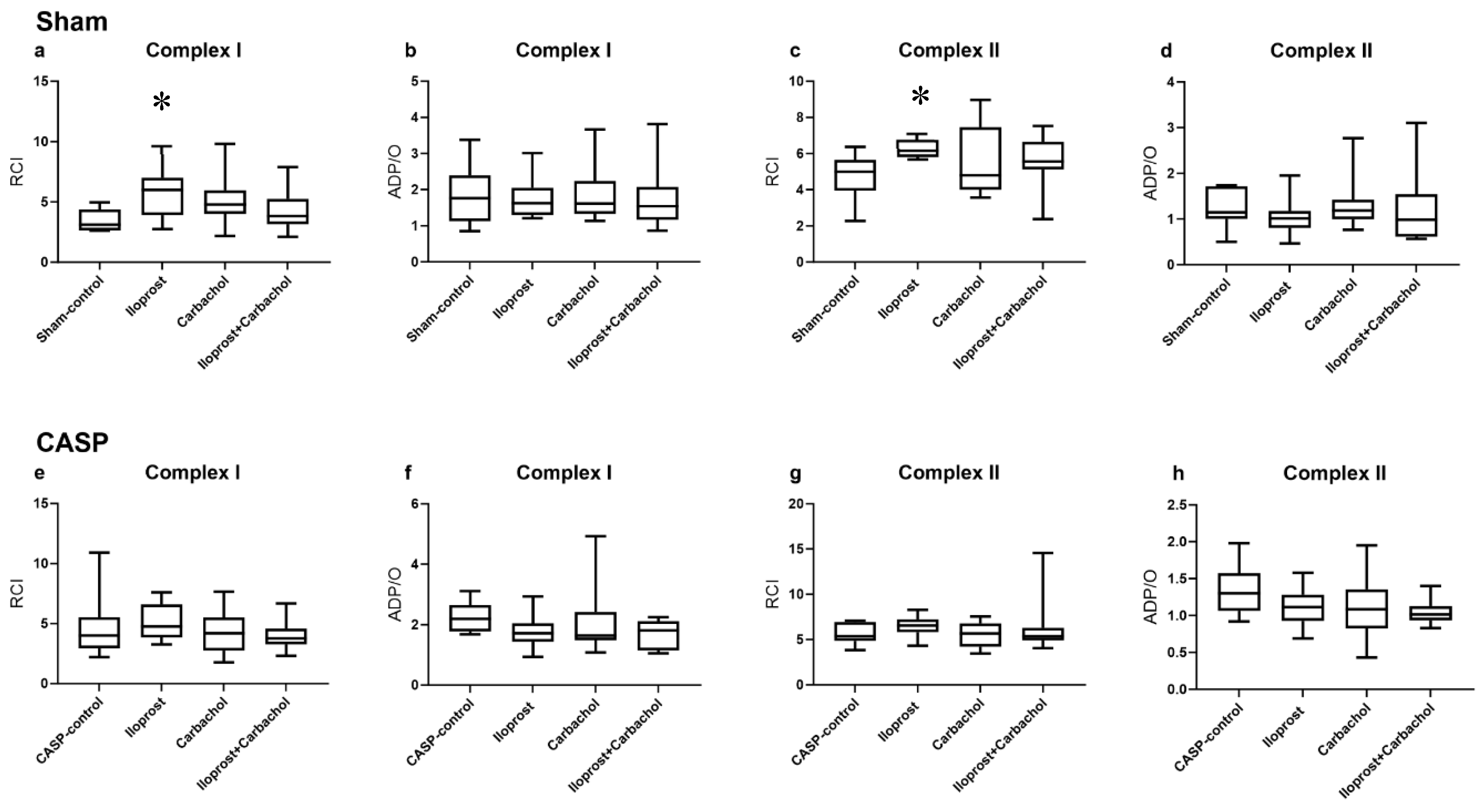
2.3. Mitochondrial Respiration
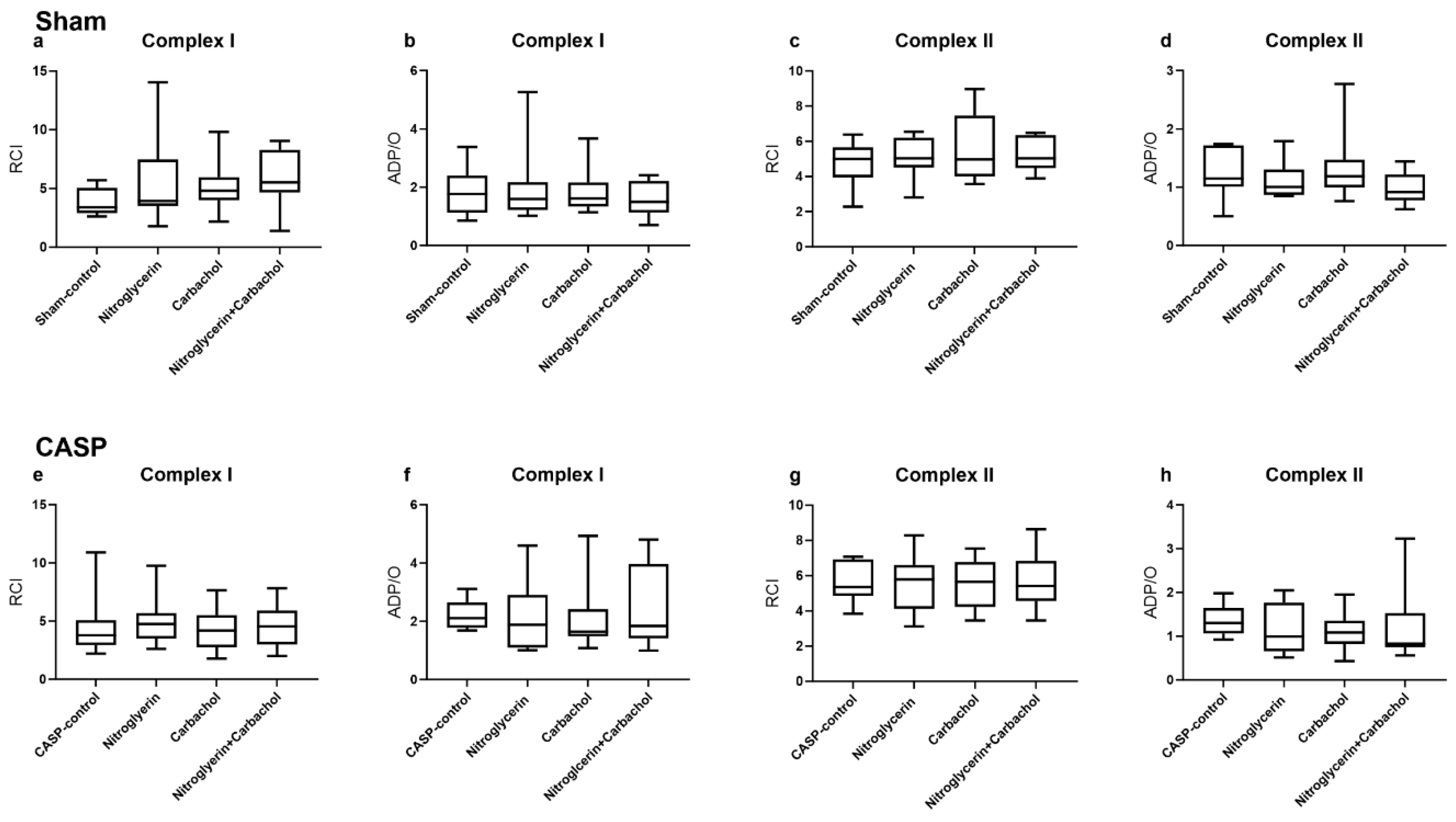
2.3.1. Effect of NG and Carbachol on Mitochondrial Respiration under Septic and Non-Septic Conditions
2.3.2. Effect of Ilo and Carbachol on Mitochondrial Respiration under Septic and Non-Septic Conditions
- Topical therapy of NG and Ilo, as well as additional carbachol, has no influence on the macrocirculatory variables heart rate and blood pressure compared with the control group.
- NG and Ilo cause a negative effect on the microcirculatory oxygenation after sterile laparotomy, which is not measurable in combination with carbachol.
- Under septic conditions, carbachol reduced µHbO2. This effect is abolished by additional therapy with Ilo.
- NG shows no effect on the colonic mitochondrial function neither under septic or non-septic conditions.
- Under non-septic conditions, Ilo improves the coupling between the respiratory chain and oxidative phosphorylation without affecting the efficacy of the latter. This effect is abolished during sepsis and through a combination with carbachol.
3. Discussion
Future Work Directions and Study Limitations
4. Materials and Methods
4.1. Surgical Induction of Sepsis
4.2. Assessment of Microcirculation
4.3. Preparation of Colon Homogenates and Protein Level Measurements
4.4. Measurement of Mitochondrial Respiratory Rates
4.5. Statistical Analysis
5. Conclusions
Author Contributions
Funding
Institutional Review Board Statement
Informed Consent Statement
Data Availability Statement
Conflicts of Interest
References
- Fleischmann-Struzek, C.; Schwarzkopf, D.; Reinhart, K. Inzidenz der Sepsis in Deutschland und weltweit: Aktueller Wissensstand und Limitationen der Erhebung in Abrechnungsdaten. Med. Klin. Intensiv. Notfmed. 2022, 117, 264–268. [Google Scholar] [CrossRef] [PubMed]
- Rhee, C.; Jones, T.M.; Hamad, Y.; Pande, A.; Varon, J.; O’Brien, C.; Anderson, D.J.; Warren, D.K.; Dantes, R.B.; Epstein, L.; et al. Prevalence, Underlying Causes, and Preventability of Sepsis-Associated Mortality in US Acute Care Hospitals. JAMA Netw. Open 2019, 2, e187571. [Google Scholar] [CrossRef] [PubMed]
- Cecconi, M.; Evans, L.; Levy, M.; Rhodes, A. Sepsis and Septic Shock. Lancet 2018, 392, 75–87. [Google Scholar] [CrossRef]
- Alican, I.; Kubes, P. A Critical Role for Nitric Oxide in Intestinal Barrier Function and Dysfunction. Am. J. Physiol. 1996, 270, G225–G237. [Google Scholar] [CrossRef]
- Blikslager, A.T.; Roberts, M.C.; Rhoads, J.M.; Argenzio, R.A. Prostaglandins I2 and E2 Have a Synergistic Role in Rescuing Epithelial Barrier Function in Porcine Ileum. J. Clin. Investig. 1997, 100, 1928–1933. [Google Scholar] [CrossRef]
- Buwalda, M.; Ince, C. Opening the Microcirculation: Can Vasodilators Be Useful in Sepsis? Intensive Care Med. 2002, 28, 1208–1217. [Google Scholar] [CrossRef] [PubMed]
- Kubes, P. Nitric Oxide Modulates Epithelial Permeability in the Feline Small Intestine. Am. J. Physiol. 1992, 262, G1138–G1142. [Google Scholar] [CrossRef]
- Cihan, A.O.; Bicakci, U.; Tander, B.; Rizalar, R.; Kandemir, B.; Ariturk, E.; Bernay, F. Effects of Intraperitoneal Nitroglycerin on the Strength and Healing Attitude of Anastomosis of Rat Intestines with Ischemia-Reperfusion Injury. Afr. J. Paediatr. Surg. 2011, 8, 206–210. [Google Scholar] [CrossRef]
- Vasiliadis, K.; Kanellos, I.; Tsachalis, T.; Blouhos, K.; Zaraboukas, T.; Koliakos, G.; Betsis, D. Influence of the Stable Prostacyclin Analog Iloprost on the Healing of Colonic Anastomosis in Rats. Minerva Chir. 2007, 62, 241–248. [Google Scholar]
- Herminghaus, A.; Eberhardt, R.; Truse, R.; Schulz, J.; Bauer, I.; Picker, O.; Vollmer, C. Nitroglycerin and Iloprost Improve Mitochondrial Function in Colon Homogenate without Altering the Barrier Integrity of Caco-2 Monolayers. Front. Med. 2018, 5, 291. [Google Scholar] [CrossRef]
- Zhou, R.; Zhao, Z.; Liu, J.; Liu, M.; Xie, F. Efficacy and Safety of Iloprost in the Treatment of Pulmonary Arterial Hypertension: A Systematic Review and Meta-Analysis. Heart Lung 2024, 64, 36–45. [Google Scholar] [CrossRef]
- Truse, R.; Hinterberg, J.; Schulz, J.; Herminghaus, A.; Weber, A.; Mettler-Altmann, T.; Bauer, I.; Picker, O.; Vollmer, C. Effect of Topical Iloprost and Nitroglycerin on Gastric Microcirculation and Barrier Function during Hemorrhagic Shock in Dogs. J. Vasc. Res. 2017, 54, 109–121. [Google Scholar] [CrossRef] [PubMed]
- Wu, R.; Zhou, M.; Das, P.; Dong, W.; Ji, Y.; Yang, D.; Miksa, M.; Zhang, F.; Ravikumar, T.S.; Wang, P. Ghrelin Inhibits Sympathetic Nervous Activity in Sepsis. Am. J. Physiol.-Endocrinol. Metab. 2007, 293, E1697–E1702. [Google Scholar] [CrossRef] [PubMed]
- Zhang, H.; Li, L.; Wu, J.; Qu, H.-P.; Tang, Y.-Q.; Chen, D.-C. Time of Dissociation between Microcirculation, Macrocirculation, and Lactate Levels in a Rabbit Model of Early Endotoxemic Shock. Chin. Med. J. 2020, 133, 2153–2160. [Google Scholar] [CrossRef]
- Zhang, Y.; Li, J. Carbachol Ameliorates Lipopolysaccharide-Induced Intestinal Epithelial Tight Junction Damage by down-Regulating NF-Κβ and Myosin Light-Chain Kinase Pathways. Biochem. Biophys. Res. Commun. 2012, 428, 321–326. [Google Scholar] [CrossRef]
- Wang, H.; Jiang, Y.; Li, H.; Wang, J.; Li, C.; Zhang, D. Carbachol Protects the Intestinal Barrier in Severe Acute Pancreatitis by Regulating Cdc42/F-Actin Cytoskeleton. Exp. Ther. Med. 2020, 20, 2828–2837. [Google Scholar] [CrossRef]
- Balestra, G.M.; Legrand, M.; Ince, C. Microcirculation and Mitochondria in Sepsis: Getting out of Breath. Curr. Opin. Anaesthesiol. 2009, 22, 184–190. [Google Scholar]
- Cai, L.; Rodgers, E.; Schoenmann, N.; Raju, R.P. Advances in Rodent Experimental Models of Sepsis. Int. J. Mol. Sci. 2023, 24, 9578. [Google Scholar] [CrossRef] [PubMed]
- Lewis, A.J.; Seymour, C.W.; Rosengart, M.R. Current Murine Models of Sepsis. Surg. Infect. 2016, 17, 385–393. [Google Scholar] [CrossRef]
- Herminghaus, A.; Papenbrock, H.; Eberhardt, R.; Vollmer, C.; Truse, R.; Schulz, J.; Bauer, I.; Weidinger, A.; Kozlov, A.V.; Stiban, J.; et al. Time-Related Changes in Hepatic and Colonic Mitochondrial Oxygen Consumption after Abdominal Infection in Rats. Intensive Care Med. Exp. 2019, 7, 4. [Google Scholar] [CrossRef]
- Schulz, J.; Bauer, I.; Herminghaus, A.; Picker, O.; Truse, R.; Vollmer, C. Sub-Therapeutic Vasopressin but Not Therapeutic Vasopressin Improves Gastrointestinal Microcirculation in Septic Rats: A Randomized, Placebo-Controlled, Blinded Trial. PLoS ONE 2021, 16, e0257034. [Google Scholar] [CrossRef] [PubMed]
- Stübs, C.C.M.; Picker, O.; Schulz, J.; Obermiller, K.; Barthel, F.; Hahn, A.-M.; Bauer, I.; Beck, C. Acute, Short-Term Hypercapnia Improves Microvascular Oxygenation of the Colon in an Animal Model of Sepsis. Microvasc. Res. 2013, 90, 180–186. [Google Scholar] [CrossRef]
- El-Salhy, M.; Wendelbo, I.H.; Gundersen, D.; Hatlebakk, J.G.; Hausken, T. Colonoscopy with Mucosal Biopsies in Young Rats: A Model for Experimental Gastroenterology. Mol. Med. Rep. 2013, 7, 1757–1760. [Google Scholar] [CrossRef][Green Version]
- Sakr, Y.; Gath, V.; Oishi, J.; Klinzing, S.; Simon, T.-P.; Reinhart, K.; Marx, G. Characterization of Buccal Microvascular Response in Patients with Septic Shock. Eur. J. Anaesthesiol. 2010, 27, 388–394. [Google Scholar] [CrossRef]
- Schulz, J.; Schöneborn, S.; Vollmer, C.; Truse, R.; Herminghaus, A.; Bauer, I.; Beck, C.; Picker, O. Hypercapnia-Induced Amelioration of the Intestinal Microvascular Oxygenation in Sepsis Is Independent of the Endogenous Sympathetic Nervous System. Shock 2018, 49, 326–333. [Google Scholar] [CrossRef] [PubMed]
- Østergaard, L.; Granfeldt, A.; Secher, N.; Tietze, A.; Iversen, N.K.; Jensen, M.S.; Andersen, K.K.; Nagenthiraja, K.; Gutiérrez-Lizardi, P.; Mouridsen, K.; et al. Microcirculatory Dysfunction and Tissue Oxygenation in Critical Illness. Acta Anaesthesiol. Scand. 2015, 59, 1246–1259. [Google Scholar] [CrossRef] [PubMed]
- Haase, N.; Perner, A. Central Venous Oxygen Saturation in Septic Shock-a Marker of Cardiac Output, Microvascular Shunting and/or Dysoxia? Crit. Care 2011, 15, 184. [Google Scholar] [CrossRef]
- Hof, S.; Lingens, L.; Michels, M.; Marcus, C.; Kuebart, A.; Herminghaus, A.; Bauer, I.; Picker, O.; Truse, R.; Vollmer, C. Local Carbachol Application Induces Oral Microvascular Recruitment and Improves Gastric Tissue Oxygenation during Hemorrhagic Shock in Dogs. Front. Immunol. 2024, 15, 1369617. [Google Scholar] [CrossRef]
- Cabrales, P.; Tsai, A.G.; Frangos, J.A.; Intaglietta, M. Role of Endothelial Nitric Oxide in Microvascular Oxygen Delivery and Consumption. Free Radic. Biol. Med. 2005, 39, 1229–1237. [Google Scholar] [CrossRef]
- Boerma, E.C.; Koopmans, M.; Konijn, A.; Kaiferova, K.; Bakker, A.J.; van Roon, E.N.; Buter, H.; Bruins, N.; Egbers, P.H.; Gerritsen, R.T.; et al. Effects of Nitroglycerin on Sublingual Microcirculatory Blood Flow in Patients with Severe Sepsis/Septic Shock after a Strict Resuscitation Protocol: A Double-Blind Randomized Placebo Controlled Trial. Crit. Care Med. 2010, 38, 93–100. [Google Scholar] [CrossRef]
- Münzel, T.; Daiber, A.; Mülsch, A. Explaining the Phenomenon of Nitrate Tolerance. Circ. Res. 2005, 97, 618–628. [Google Scholar] [CrossRef] [PubMed]
- Janaszak-Jasiecka, A.; Płoska, A.; Wierońska, J.M.; Dobrucki, L.W.; Kalinowski, L. Endothelial Dysfunction Due to eNOS Uncoupling: Molecular Mechanisms as Potential Therapeutic Targets. Cell. Mol. Biol. Lett. 2023, 28, 21. [Google Scholar] [CrossRef] [PubMed]
- Maron, B.A.; Michel, T. Subcellular Localization of Oxidants and Redox Modulation of Endothelial Nitric Oxide Synthase. Circ. J. 2012, 76, 2497–2512. [Google Scholar] [CrossRef] [PubMed]
- Yang, Y.-M.; Huang, A.; Kaley, G.; Sun, D. eNOS Uncoupling and Endothelial Dysfunction in Aged Vessels. Am. J. Physiol. Heart Circ. Physiol. 2009, 297, H1829–H1836. [Google Scholar] [CrossRef] [PubMed]
- Tousoulis, D.; Davies, G.; Crake, T. Acetylcholine and Endothelial Function. Circulation 1998, 98. [Google Scholar] [CrossRef]
- Giordo, R.; Thuan, D.T.B.; Posadino, A.M.; Cossu, A.; Zinellu, A.; Erre, G.L.; Pintus, G. Iloprost Attenuates Oxidative Stress-Dependent Activation of Collagen Synthesis Induced by Sera from Scleroderma Patients in Human Pulmonary Microvascular Endothelial Cells. Molecules 2021, 26, 4729. [Google Scholar] [CrossRef]
- Supinski, G.S.; Schroder, E.A.; Callahan, L.A. Mitochondria and Critical Illness. Chest 2020, 157, 310–322. [Google Scholar] [CrossRef]
- Crabtree, M.J.; Tatham, A.L.; Al-Wakeel, Y.; Warrick, N.; Hale, A.B.; Cai, S.; Channon, K.M.; Alp, N.J. Quantitative Regulation of Intracellular Endothelial Nitric-Oxide Synthase (eNOS) Coupling by Both Tetrahydrobiopterin-eNOS Stoichiometry and Biopterin Redox Status. J. Biol. Chem. 2009, 284, 1136–1144. [Google Scholar] [CrossRef]
- Bao, C.; Hu, S.; Zhou, G.; Tian, Y.; Wu, Y.; Sheng, Z. Effect of Carbachol on Intestinal Mucosal Blood Flow, Activity of Na+-K+-ATPase, Expression of Aquaporin-1, and Intestinal Absorption Rate during Enteral Resuscitation of Burn Shock in Rats. J. Burn Care Res. 2010, 31, 200–206. [Google Scholar] [CrossRef] [PubMed]
- Herminghaus, A.; Barthel, F.; Heinen, A.; Beck, C.; Vollmer, C.; Bauer, I.; Weidinger, A.; Kozlov, A.V.; Picker, O. Severity of Polymicrobial Sepsis Modulates Mitochondrial Function in Rat Liver. Mitochondrion 2015, 24, 122–128. [Google Scholar] [CrossRef]
- Schulz, J.; Vollmer, C.; Truse, R.; Bauer, I.; Beck, C.; Picker, O.; Herminghaus, A. Effect of Pravastatin Pretreatment and Hypercapnia on Intestinal Microvascular Oxygenation and Blood Flow during Sepsis. Shock 2020, 53, 88–94. [Google Scholar] [CrossRef] [PubMed]
- Gandjbakhche, A.H.; Bonner, R.F.; Arai, A.E.; Balaban, R.S. Visible-Light Photon Migration through Myocardium in Vivo. Am. J. Physiol. -Heart Circ. Physiol. 1999, 277, H698–H704. [Google Scholar] [CrossRef] [PubMed]
- Krug, A. Mikrozirkulation und Sauerstoffversorgung des Gewebes: Methode des so genannten O2C (oxygen to see). Phlebologie 2006, 35, 300–312. [Google Scholar] [CrossRef]
- Hof, S.; Truse, R.; Weber, L.; Herminghaus, A.; Schulz, J.; Weber, A.P.M.; Maleckova, E.; Bauer, I.; Picker, O.; Vollmer, C. Local Mucosal CO2 but Not O2 Insufflation Improves Gastric and Oral Microcirculatory Oxygenation in a Canine Model of Mild Hemorrhagic Shock. Front. Med. 2022, 9, 867298. [Google Scholar] [CrossRef]
- Lowry, O.H.; Rosebrough, N.J.; Farr, A.L.; Randall, R.J. Protein Measurement with the Folin Phenol Reagent. J. Biol. Chem. 1951, 193, 265–275. [Google Scholar] [CrossRef]
- Schulz, J.; Kramer, S.; Kanatli, Y.; Kuebart, A.; Bauer, I.; Picker, O.; Vollmer, C.; Truse, R.; Herminghaus, A. Sodium Thiosulfate Improves Intestinal and Hepatic Microcirculation Without Affecting Mitochondrial Function in Experimental Sepsis. Front. Immunol. 2021, 12, 671935. [Google Scholar] [CrossRef]








| Sham | Control | Carbachol | NG | NG + Carbachol | Ilo | Ilo + Carbachol |
| HR [1·min−1] | ||||||
| Baseline | 490 ± 40 | 508 ± 52 | 472 ± 61 | 483 ± 60 | 490 ± 67 | 525 ± 35 |
| 30 | 459 ± 48 | 488 ± 38 | 456 ± 61 | 477 ± 85 | 483 ± 73 | 514 ± 49 |
| 60 | 435 ± 59 * | 450 ± 48 * | 429 ± 61 * | 428 ± 73 * | 463 ± 72 | 484 ± 45 * |
| MAP [mmHg] | ||||||
| Baseline | 121 ± 19 | 115 ± 25 | 121 ± 31 | 112 ± 28 | 141 ± 14 | 139 ± 29 |
| 30 | 105 ± 25 | 103 ± 27 | 102 ± 31 | 96 ± 42 | 129 ± 27 | 115 ± 35 * |
| 60 | 91 ± 33 * | 87 ± 20 * | 100 ± 34 * | 81 ± 40 * | 109 ± 30 * | 106 ± 37 * |
| CASP | Control | Carbachol | NG | NG + Carbachol | Ilo | Ilo + Carbachol |
| HR [1·min−1] | ||||||
| Baseline | 543 ± 48 | 484 ± 35 | 526 ± 61 | 507 ± 42 | 535 ± 55 | 526 ± 51 |
| 30 | 510 ± 65 * | 466 ± 45 * | 480 ± 53 * | 496 ± 52 * | 518 ± 58 | 516 ± 57 |
| 60 | 477 ± 62 * | 456 ± 61 * | 477 ± 48 * | 485 ± 69 * | 481 ± 57 * | 500 ± 63 |
| MAP [mmHg] | ||||||
| Baseline | 117 ± 33 | 102 ± 25 | 111 ± 32 | 99 ± 28 | 125 ± 26 | 125 ± 30 |
| 30 | 101 ± 34 * | 97 ± 26 | 98 ± 34 * | 88 ± 28 | 106 ± 26 * | 112 ± 31 |
| 60 | 101 ± 34 * | 97 ± 23 | 97 ± 43 * | 77 ± 20 * | 99 ± 27 * | 106 ± 32 * |
Disclaimer/Publisher’s Note: The statements, opinions and data contained in all publications are solely those of the individual author(s) and contributor(s) and not of MDPI and/or the editor(s). MDPI and/or the editor(s) disclaim responsibility for any injury to people or property resulting from any ideas, methods, instructions or products referred to in the content. |
© 2024 by the authors. Licensee MDPI, Basel, Switzerland. This article is an open access article distributed under the terms and conditions of the Creative Commons Attribution (CC BY) license (https://creativecommons.org/licenses/by/4.0/).
Share and Cite
Marcus, C.; Hansen, C.; Schlimgen, C.; Eitner-Pchalek, J.; Schulz, J.; Hof, S.; Kuebart, A.; Truse, R.; Vollmer, C.; Bauer, I.; et al. Effects of Local Vasodilators and the Autonomic Nervous System on Microcirculation and Mitochondrial Function in Septic Rats. Int. J. Mol. Sci. 2024, 25, 9305. https://doi.org/10.3390/ijms25179305
Marcus C, Hansen C, Schlimgen C, Eitner-Pchalek J, Schulz J, Hof S, Kuebart A, Truse R, Vollmer C, Bauer I, et al. Effects of Local Vasodilators and the Autonomic Nervous System on Microcirculation and Mitochondrial Function in Septic Rats. International Journal of Molecular Sciences. 2024; 25(17):9305. https://doi.org/10.3390/ijms25179305
Chicago/Turabian StyleMarcus, Carsten, Claudia Hansen, Charlotte Schlimgen, Jeanne Eitner-Pchalek, Jan Schulz, Stefan Hof, Anne Kuebart, Richard Truse, Christian Vollmer, Inge Bauer, and et al. 2024. "Effects of Local Vasodilators and the Autonomic Nervous System on Microcirculation and Mitochondrial Function in Septic Rats" International Journal of Molecular Sciences 25, no. 17: 9305. https://doi.org/10.3390/ijms25179305
APA StyleMarcus, C., Hansen, C., Schlimgen, C., Eitner-Pchalek, J., Schulz, J., Hof, S., Kuebart, A., Truse, R., Vollmer, C., Bauer, I., Picker, O., & Herminghaus, A. (2024). Effects of Local Vasodilators and the Autonomic Nervous System on Microcirculation and Mitochondrial Function in Septic Rats. International Journal of Molecular Sciences, 25(17), 9305. https://doi.org/10.3390/ijms25179305

