Preliminary Studies about Valorization of Acmella oleracea Bioactive Content in Modern Dermato-Cosmetic Applications to Combat Skin Oxidative Stress
Abstract
1. Introduction
2. Results
2.1. Obtaining and Characterizing the Vegetal Extracts of Acmella oleracea
2.1.1. Total Polyphenolic Content
2.1.2. Total Flavonoid Content
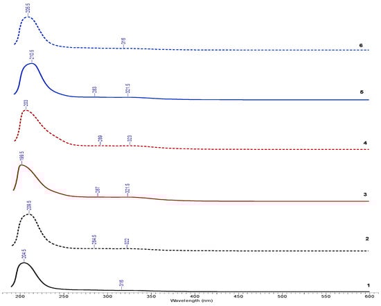
2.1.3. Qualitative Characterization of Vegetal Extract
2.2. Obtaining and Characterizing the Serum Based on A. oleracea Extract
2.2.1. Analysis of the Homogeneity and Stability of the Serums
2.2.2. Evaluation of the Total Polyphenol Content and Antioxidant Activity of Dermato-Cosmetic Serums
2.3. In Vitro Diffusion Test
3. Discussion
3.1. Obtaining and Characterizing the Vegetal Extracts of A. oleracea
3.1.1. Total Polyphenolic Content
- Maceration (M) under conditions of S/L = 1:30, an extraction solvent concentration of 50%, and an extraction time of 20 days ensured the obtaining of 30.42 µg GAE/g polyphenols;
- Sonoextraction (UEA) under conditions of S/L = 1:30, an extraction solvent concentration of 50%, and an extraction time of 15 min ensured the obtaining of 29.57 µg GAE/g polyphenols;
- Sonoextraction combined with maceration (UEA + M) under conditions of S/L = 1:20, an extraction solvent concentration of 50%, and an extraction time of 6 min + 20 days ensured the obtaining of 28.081 µg GAE/g polyphenols.
- Sonoextraction: 21.69 µg GAE/g from the leaves and 20.63 µg GAE/g from the whole plant;
- Maceration: 20.099 µg GAE/g from the leaves and 19.46 µg GAE/g from the whole plant.
3.1.2. Total Flavonoid Contents
- Depending on the S/L ratio, it can be observed that in general, there is an increase in the amounts of flavonoids present in the plant extracts. It can be observed that greater amounts of flavonoids at 22.68 mg QE/g were obtained following maceration carried out under conditions of S/L = 1:30, a solvent concentration of 50%, and an extraction time of 20 days, followed by two variants of sonoextraction: one with 22.28 mg QE/g, carried out under conditions of S/L = 1:20, a solvent concentration of 50%, and an extraction time of 15 min; and another variant with 22.26 mg QE/g, made under conditions of S/L = 1:30, a solvent concentration of 50%, and an extraction time of 15 min.
- Considering the concentration of the extraction reagent, it is observed that in some cases, there is an increase in the amounts of flavonoids (maceration and the combined UEA + M method) with the increase in the concentration of the extractant, and in the case of sonoextraction, there is a decrease in the amounts of flavonoids. The best results regarding the amounts of flavonoids were obtained after maceration (27.39 mg QE/g), carried out under conditions of S/L = 1:20, an extraction time of 20 days, and s 70% concentration of the extraction solvent, followed by sonoextraction (24.48 mg QE/g) achieved under conditions of S/L = 1:15, an extraction solvent concentration of 30%, and an extraction time of 15 min, with 19.8 mg QE/g achieved following the combined method UEA + M, performed under conditions of S/L = 1:15, an extraction solvent concentration of 70%, and an extraction time of 10 min + 20 days.
- Extraction time, as an analysis criterion, influences extraction methods differently. Thus, in the case of maceration and sonoextraction, no significant differences were observed in terms of the amounts of flavonoids in relation to the extraction time, while in the case of the UEA + M combination, an increase in the amounts of flavonoids was observed. The best results were obtained following the application of the combined UEA + M method (32.88 mg QE/g), performed under conditions of S/L = 1:20, an extraction solvent concentration of 50%, and an extraction time of 15 min + 20 days, followed also by the UEA+ M method (21.2 mg QE/g) performed under conditions of S/L = 1:20, an extraction solvent concentration of 50%, and an extraction time of 10 min + 20 days.
- Sonoextraction combined with maceration (UEA + M) under conditions of S/L = 1:20, an extraction solvent concentration of 50%, and an extraction time of 6 min + 20 days ensured the obtaining of 32.88 mg QE/g flavonoids; the same method when carried out under conditions of S/L = 1:20, extraction solvent concentration of 50% and extraction time of 15 min + 20 days ensured the obtaining of 21.2 mg QE/g flavonoids;
- Maceration (M), under conditions of S/L = 1:15, an extraction solvent concentration of 70%, and an extraction time of 20 days, ensured the obtaining of 27.39 mg QE/g flavonoids, and, at an S/L ratio = 1:30, extraction solvent concentration of 50% and an extraction time of 20 days, ensured the obtaining of 22.68 mg QE/g flavonoids;
- Sonoextraction (UEA), under conditions of S/L = 1:15, an extraction solvent concentration of 30%, and an extraction time of 15 min, ensured the obtaining of 24.48 mg QE/g flavonoids, and, under the conditions of S/L = 1:20 and 1:30, respectively, an extraction solvent concentration of 50% and an extraction time of 15 min ensured the obtaining of 22.3 mg QE/g flavonoids.
- Sonoextraction: 26.31 mg QE/g from the leaves and 24.48 mg QE/g from the whole plant;
- Maceration: 20.37 mg QE/g from the leaves and 27.39 mg QE/g from the whole plant.
3.1.3. Qualitative Characterization of the Vegetal Extract
3.2. Obtaining and Characterizing the Serum Based on Acmella oleracea Extract
3.2.1. Analysis of the Homogeneity and Stability of the Serums
3.2.2. Evaluation of the Total Polyphenol Contents and Antioxidant Activity of Dermato-Cosmetic Serums
3.2.3. In Vitro Diffusion Test
4. Materials and Methods
4.1. Materials
4.2. Methods
4.2.1. Extraction Methods
4.2.2. Obtaining the Serums
4.2.3. Qualitative Characterization of Vegetal Extract
4.2.4. Quantitative Characterization of Vegetal Extract
4.2.5. Serums—Physical Characterization and Stability Tests
pH Determination
Phase Separation
Conductivity Measurements
4.2.6. Assessment of Total Phenolic Compounds in Dermato-Cosmetic Serums
4.2.7. Antioxidant Activity Assessment of Cosmetic Serums
DPPH Radical Scavenging Assay
ABTS Radical Scavenging Assay
4.2.8. Analysis of the Homogeneity and Stability of the Serums
4.2.9. In Vitro Evaluation of the Serums
5. Conclusions
Author Contributions
Funding
Institutional Review Board Statement
Informed Consent Statement
Data Availability Statement
Conflicts of Interest
References
- Uthpala, T.G.G.; Navaratne, S.B. Acmella oleracea plant; identification, applications and use as an emerging food source—Review. Food Rev. Int. 2020, 37, 399–414. [Google Scholar] [CrossRef]
- Panyadee, P.; Inta, A. Taxonomy and ethnobotany of Acmella (Asteraceae) in Thailand. Biodiversitas 2022, 23, 2177–2186. [Google Scholar] [CrossRef]
- Sharma, R.; Arumugam, N. N-alkylamides of Spilanthes (syn: Acmella): Structure, purification, characterization, biological activities and applications—A review. Future Foods 2021, 3, 100022. [Google Scholar] [CrossRef]
- Sharma, R.; Karunambigai, A.; Gupta, S. Arumugam N, Evaluation of biologically active secondary metabolites isolated from the toothace plant Acmella ciliata (Asteracee). Adv. Tradit. Med. 2022, 22, 713–722. [Google Scholar] [CrossRef]
- Savic, S.; Petrovic, S.; Savic, S.; Cekic, N. Identification and photostability of N-alkylamides from Acmella oleracea extract. J. Pharm. Biomed. Anal. 2021, 195, 113819. [Google Scholar] [CrossRef]
- Suteu, D.; Rusu, L.; Zaharia, C.; Badeanu, M.; Daraban, G.M. Challenge of Utilization Vegetal Extracts as Natural Plant Protection Products. Appl. Sci. 2020, 10, 8913. [Google Scholar] [CrossRef]
- Rani, A.S.; Sana, H.; Sulakshana, G.; Shravya, E.; Keerti, M. Spilanthes acmella—An important medicinal plant. Int. J. Minor Fruits Med. Aromat. Plants 2019, 5, 15–26. [Google Scholar]
- Prachayasittikul, V.; Prachayasittikul, S.; Ruchirawat, S. High therapeutic potential of Spilanthes Acmella: A review. EXCLI J. 2013, 12, 291–312. [Google Scholar]
- Dias, A.M.A.; da Silva, A.C.S.; Botelho, J.R.S.; Junior, R.N.C.; de Sousa, H.C. Temperature and density effects of the scCO2 extraction of spilanthol from Spilanthes acmella flowers. J. Supercrit. Fluids 2017, 121, 32–40. [Google Scholar] [CrossRef]
- Neves, D.A.; Da Silva Oliveira, W.; Petrarca, M.H.; Rodrigues, M.I.; Teixeira Godoy, H. A multivariate approach to overcome chlorophyll interferences in the determination of polycyclic aromatic hydrocarbons in jambú (Acmella oleracea (L.) R.K. Jansen). J. Food Compos. Analysis. 2021, 104, 104189. [Google Scholar] [CrossRef]
- Lalthanpuii, P.B.; Hruaitluangi, L.; Sailo, N.; Lalremsanga, H.T.; Lalchhandama, K. Nutritive value and antioxidant activity of Acmella oleracea (Asteraceae), a variety grown in Mizoram, India. Int. J. Phytopharm. 2017, 7, 42–46. [Google Scholar]
- Stein, R.; Berger, M.; Santana de Cecco, B.; Peixoto Mallmann, L.; Barros Terraciano, P.; Driemeier, D.; Rodrigues, E.; Beys-da-Silva, W.O.; Konrath, E.L. Chymase inhibition: A key factor in the anti-inflammatory activity of ethanolic extracts and spilanthol isolated from Acmella oleracea. J. Ethnopharmacol. 2021, 270, 113610. [Google Scholar] [CrossRef]
- Ghosh, S. Triterpenoids: Structural diversity, biosynthetic pathway, and bioactivity. Stud. Nat. Prod. Chem. 2020, 67, 411–461. [Google Scholar]
- Rohman, N.; Ardiansah, B.; Wukirsari, T.; Judeh, Z. Recent Trends in the Synthesis and Bioactivity of Coumarin, Coumarin–Chalcone, and Coumarin–Triazole Molecular Hybrids. Molecules 2024, 29, 1026. [Google Scholar] [CrossRef]
- Kumar, N.; Goel, N. Phenolic acids: Natural versatile molecules with promising therapeutic applications. Biotechnol. Rep. 2019, 24, e00370. [Google Scholar] [CrossRef]
- Jasemi, S.V.; Khazaei, H.; Morovati, M.R.; Joshi, T.; Aneva, I.Y.; Farzaei, M.H.; Echeverría, J. Phytochemicals as treatment for allergic asthma: Therapeutic effects and mechanisms of action. Phytomedicine 2024, 122, 155149. [Google Scholar] [CrossRef]
- Benelli, G.; Pavela, R.; Drenaggi, E.; Maggi, F. Insecticidal efficacy of the essential oil of jambú (Acmella oleracea (L.) R.K. Jansen) cultivated in central Italy against filariasis mosquito vectors, houseflies and moth pests. J. Ethnopharmacol. 2019, 229, 272–279. [Google Scholar] [CrossRef]
- Mamidala, E.; Prasad, G.R. Phytochemical and Antimicrobial Activity of Acmella paniculata Plant Extracts. J. Bio Innov. 2013, 2, 17–22. [Google Scholar]
- Dasgupta, A.; Klein, K. Combating Oxidative Stress with a Healthy Lifestyle. In Antioxidants in Food, Vitamins and Supplements; Dasgupta, A., Klein, K., Eds.; Elsevier, Inc.: Amsterdam, The Netherlands, 2014; pp. 317–333. [Google Scholar]
- Reuter, S.; Gupta, S.C.; Chaturvedi, M.M.; Agarwal, B.B. Oxidative stress, inflamation and cancer: How are they linked. Free Radic. Biol. Med. 2010, 49, 1603–1616. [Google Scholar] [CrossRef]
- Available online: https://chem.libretexts.org/Bookshelves/Physical_and_Theoretical_Chemistry_Textbook_Maps/Supplemental_Modules_(Physical_and_Theoretical_Chemistry)/Spectroscopy/Electronic_Spectroscopy/Electronic_Spectroscopy_Basics/What_Causes_Molecules_to_Absorb_UV_and_Visible_Light (accessed on 12 August 2024).
- Cascaval, D.; Oniscu, C.; Galaction, A.I. Biochemical Engineering and Biotechnology. 3. Separation Processes; Performantica Publishing House: Iasi, Romania, 2004. (In Romanian) [Google Scholar]
- Turcov, D.; Barna, A.S.; Blaga, A.C.; Ibanescu, C.; Danu, M.; Trifan, A.; Zbranca, A.; Suteu, D. Dermatocosmetic Emulsions Based on Resveratrol, Ferulic Acid and Saffron (Crocus sativus) Extract to Combat Skin Oxidative Stress-Trigger Factor of Some Potential Malignant Effects: Stability Studies and Rheological Properties. Pharmaceutics 2022, 14, 2376. [Google Scholar] [CrossRef] [PubMed]
- Turcov, D.; Barna, A.S.; Trifan, A.; Blaga, A.C.; Tanasa, A.M.; Suteu, D. Antioxidants from Galium verum as Ingredients for the Design of New Dermatocosmetic Products. Plants 2022, 11, 2454. [Google Scholar] [CrossRef]
- Grochowski, D.M.; Uysal, S.; Aktumsek, A.; Granica, S.; Zengin, G.; Ceylan, R.; Locatelli, M.; Tomczyk, M. In vitro enzyme inhibitory properties, antioxidant activities, and phytochemical profile of Potentilla thuringiaca. Phytochem. Lett. 2017, 20, 365–372. [Google Scholar] [CrossRef]
- Luca, S.V.; Kulinowski, L.; Ciobanu, C.; Zengin, G.; Czerwinska, M.E.; Granica, S.; Xiao, J.; Skalicka-Wozniak, K.; Trifan, A. Phytochemical and multi-biological characterization of two Cynara scolymus L. varieties: A glance into their potential large scale cultivation and valorization as bio-functional ingredients. Ind. Crops Prod. 2022, 178, 114623. [Google Scholar] [CrossRef]
- Sinha, V.R.; Mumar, A. Multiple Emulsions: An overview of Formulation, Characterization, Stability and Applications. Indian J. Pharm. Sci. 2002, 64, 191–199. [Google Scholar]
- Kim, K.M.; Oh, H.M.; Lee, J.H. Controlling the emulsion stability of cosmetics through shear mixing process. Korea-Aust. Rheol. J. 2020, 32, 243–249. [Google Scholar] [CrossRef]
- Mahmood, T.; Akhtar, N. Stability of a cosmetic multiple emulsion loaded with green tea extract. Sci. World J. 2013, 2013, 153695. [Google Scholar] [CrossRef]
- Lukić, M.; Pantelić, I.; Savić, S.D. Towards Optimal pH of the Skin and Topical Formulations: From the Current State of the Art to Tailored Products. Cosmetics 2021, 8, 69. [Google Scholar] [CrossRef]
- Barna, A.S.; Maxim, C.; Trifan, A.; Blaga, A.C.; Cimpoesu, R.; Turcov, D.; Suteu, D. Preliminary Approaches to Cosmeceuticals Emulsions Based on N-ProlylPalmitoyl Tripeptide-56 Acetat-Bakuchiol Complex Intended to Combat Skin Oxidative Stress. J. Mol. Sci. 2023, 24, 7004. [Google Scholar] [CrossRef]
- Turcov, D.; Peptu, A.C.; Zbranca, A.; Suteu, D. In vitro evaluation of the dermatocosmetic emulsions based on saffron (crocus sativus) alchoolic extracts. Bull. Inst. Politeh. Iasi 2023, 69, 39–46. [Google Scholar]
- Turcov, D.; Peptu, A.C.; Barna, A.S.; Zbranca, A.; Suteu, D. In vitro evaluation of the dermatocosmetic emulsions based on Lady’s Bedstraw (Galium verum) alchoolic extracts. In Proceedings of the 10th IEEE International Conference on E-Health and Bioengineering—EHB 2022, Grigore T. Popa University of Medicine and Pharmacy, Iasi, Romania, 17–18 November 2022. [Google Scholar]
- Bujor, A.; Ochiuz, L.; Sha`at, M.; Stoleriu, I.; Stamate Iliuta, M.; Luca, S.V.; Miron, A. Chemical, antioxidant and In vitro permeation and penetration studies of extracts obtained from Viburnum opulus and Crataegus pentagyna. Farmacia 2020, 68, 672–678. [Google Scholar] [CrossRef]
- Abla, M.J.; Banga, A.K. Quantification of skin penetration of antioxidants of varying lipophilicity. Int. J. Cosmetic Sci. 2012, 35, 19–26. [Google Scholar] [CrossRef] [PubMed]















| Plant | Extraction/Isolation Methods | Solvent | Purification/Characterization Methods of Active Compounds (N-Alkylamides) | Active Compounds/Biological Effects |
|---|---|---|---|---|
| Spilanthes acmella | Solvent extraction Maceration Soxhlet extraction Super-critical fluid extraction | Chloroform, ethanol, butanol, hexane, and methanol | Normal-phase chromatography Solvent partitioning Preparative HPLC HPTLC/TLC HPLC FTIR LCMS HRMS NMR GCMS CPC | Antioxidant, anti-proliferative, vasorelaxant, anti-inflammatory, enzyme inhibition and cytotoxicity, and antiwrinkle (muscle relaxant) |
| Acmella uliginosa | Methanol, dichloromethane, and distilled water | Antioxidant and anti-microbial | ||
| Acmella oleracea | Methanol and distilled water | Antioxidant, gastro-protective, antiproliferative, immunomodulatory, diuretic, anti-microbial, enzyme inhibition and cytotoxicity, and antiwrinkle | ||
| Spilanthes paniculata | Petroleum ether, ethyl acetate, and ethanol | Anti-proliferative and diuretic | ||
| Spilanthes mauritiana | Hexane, dichloromethane, acetone, and methanol | Anti-microbial | ||
| Acmella ciliata | Methanol | Anti-microbial, antipyretic, antioxidant, and vasorelaxant |
| Sample | TPC (µg GAE/g Serum) | DPPH (µg TE/g Serum) | ABTS (µg TE/g Serum) |
|---|---|---|---|
| AO | 1057.52 ± 34.04 | 737.96 ± 20.25 | 2387.67 ± 31.34 |
| HA + MM | 16.25 ± 0.74 | 58.52 ± 1.21 | 352.64 ± 12.50 |
| HA-MM + AO | 131.01 ± 8.07 | 96.48 ± 3.01 | 992.53 ± 40.69 |
| HA + XNTN | 16.78 ± 0.89 | 52.04 ± 1.52 | 284.91 ± 7.63 |
| HA + XNTN + AO | 121.69 ± 4.21 | 83.52 ± 5.69 | 740.31 ± 18.14 |
| Extraction Method | Extraction Time | Solid–Liquid Ratio (S/L) | Solvent Concentration | Sample Notation |
|---|---|---|---|---|
| UEA | 15 min | 1:15 | 30% | UEA1 |
| 50% | UEA2 | |||
| 70% | UEA3 | |||
| 15 min | 1:20 | 50% | UEA4 | |
| 15 min | 1:30 | UEA5 | ||
| 6 min | UEA6 | |||
| 10 min | UEA7 | |||
| M | 20 days | 1:15 | 30% | M1 |
| 20 days | 50% | M2 | ||
| 20 days | 70% | M3 | ||
| 20 days | 1:20 | 50% | M4 | |
| 20 days | 1:30 | M5 | ||
| 5 days | 1:15 | M6 | ||
| 10 days | M7 | |||
| UEA + M | 10 min + 20 days | 1:20 | 30% | UEA-M1 |
| 50% | UEA-M2 | |||
| 70% | UEA-M3 | |||
| 15 min + 20 days | 50% | UEA-M4 | ||
| 6 min + 20 days | UEA-M5 | |||
| 10 min + 20 days | 1:30 | UEA-M6 | ||
| 10 min + 20 days | 1:15 | UEA-M7 |
| Name of Raw Material According to the International Nomenclature of Cosmetic Ingredients (INCI) | % |
|---|---|
| Multimolecular HA serum “HA-MM” | |
| Sodium hyaluronate, HA with HMW—1.0~1.6 mDa | 0.5 |
| Sodium hyaluronate, HA with LMW—10~200 kDa | 0.5 |
| Sodium hyaluronate, HA OLIGO, MW < 10 kDa | 1 |
| Hydrosol Rosa Damascena (from Aroma Zone, France) | 97.4 |
| Conservant Cosgard (benzyl alcohol and dehydroacetic acid) (from Aroma Zone, France) | 0.6 |
| Serum with HA-MM and AO extract | |
| 3.75 g serum HA MM formula + 25 mL pure A. oleracea extract | |
| HA serum with xanthan “HA-XNTN” | |
| Sodium hyaluronate, HA with HMW—1.0~1.6 mDa | 0.5 |
| Sodium hyaluronate, HA with LMW—10~200 kDa | 0.5 |
| Sodium hyaluronate, HA OLIGO, MW: <10 kDa | 1 |
| Hydrosol Rosa Damascena (from Aroma Zone, France) | 97 |
| Conservant Cosgard (benzyl alcohol and dehydroacetic acid) | 0.6 |
| Xanthan gum (from Aroma Zone, France) | 0.4 |
| HA and xanthan serum (HA-XNTN) + AO extract | |
| 3.75 g serum “HA + XNTN” + 25 mL pure A. oleracea extract | |
Disclaimer/Publisher’s Note: The statements, opinions and data contained in all publications are solely those of the individual author(s) and contributor(s) and not of MDPI and/or the editor(s). MDPI and/or the editor(s) disclaim responsibility for any injury to people or property resulting from any ideas, methods, instructions or products referred to in the content. |
© 2024 by the authors. Licensee MDPI, Basel, Switzerland. This article is an open access article distributed under the terms and conditions of the Creative Commons Attribution (CC BY) license (https://creativecommons.org/licenses/by/4.0/).
Share and Cite
Turcov, D.; Trifan, A.; Puitel, A.C.; Cimpoesu, R.; Zbranca-Toporas, A.; Maxim, C.; Suteu, D.; Barna, A.S. Preliminary Studies about Valorization of Acmella oleracea Bioactive Content in Modern Dermato-Cosmetic Applications to Combat Skin Oxidative Stress. Int. J. Mol. Sci. 2024, 25, 8886. https://doi.org/10.3390/ijms25168886
Turcov D, Trifan A, Puitel AC, Cimpoesu R, Zbranca-Toporas A, Maxim C, Suteu D, Barna AS. Preliminary Studies about Valorization of Acmella oleracea Bioactive Content in Modern Dermato-Cosmetic Applications to Combat Skin Oxidative Stress. International Journal of Molecular Sciences. 2024; 25(16):8886. https://doi.org/10.3390/ijms25168886
Chicago/Turabian StyleTurcov, Delia, Adriana Trifan, Adrian Catalin Puitel, Ramona Cimpoesu, Anca Zbranca-Toporas, Claudia Maxim, Daniela Suteu, and Ana Simona Barna. 2024. "Preliminary Studies about Valorization of Acmella oleracea Bioactive Content in Modern Dermato-Cosmetic Applications to Combat Skin Oxidative Stress" International Journal of Molecular Sciences 25, no. 16: 8886. https://doi.org/10.3390/ijms25168886
APA StyleTurcov, D., Trifan, A., Puitel, A. C., Cimpoesu, R., Zbranca-Toporas, A., Maxim, C., Suteu, D., & Barna, A. S. (2024). Preliminary Studies about Valorization of Acmella oleracea Bioactive Content in Modern Dermato-Cosmetic Applications to Combat Skin Oxidative Stress. International Journal of Molecular Sciences, 25(16), 8886. https://doi.org/10.3390/ijms25168886

