Theoretical and Experimental Study on Carbodiimide Formation
Abstract
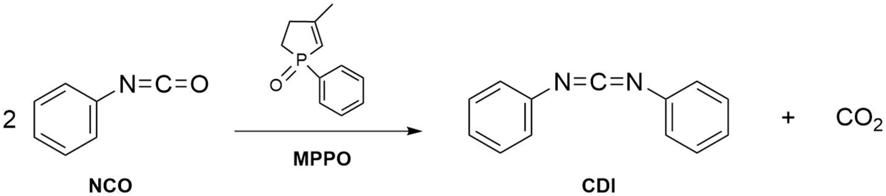
1. Introduction
2. Results and Discussion
2.1. Theoretical Investigation and General Concerns
2.2. Energetics
2.3. Kinetic Results
3. Materials and Methods
3.1. Theoretical and Computational Methods
3.2. Materials and Apparatus
3.3. Experimental Methods and Calculations
4. Conclusions
Supplementary Materials
Author Contributions
Funding
Institutional Review Board Statement
Informed Consent Statement
Data Availability Statement
Acknowledgments
Conflicts of Interest
References
- Ulrich, H. Chemistry and Technology of Carbodiimides; John Wiley and Sons: Hoboken, NJ, USA, 2007; ISBN 9780470065105. [Google Scholar] [CrossRef]
- Savino, T.; Bananto, S. Uretonimine-Modified Isocyanate Composition and Method of Forming the Same. U.S. Patent 7,777,054, 17 August 2010. [Google Scholar]
- Sung, G.; Gwon, J.G.; Kim, J.H. Characteristics of polyurethane adhesives with various uretonimine contents in isocyanate and average alcohol functionalities. J. Appl. Polym. Sci. 2016, 133, 43737. [Google Scholar] [CrossRef]
- Thomas, N.W.; Berardinelli, F.M.; Edelman, R. Polyamides for Extrusion Applications. U.S. Patent 4,128,599, 5 December 1978. [Google Scholar]
- Campbell, T.W.; Smeltz, K.C. Carbodiimides. IV. High Polymers Containing the Carbodiimide Repeat Unit. J. Org. Chem. 1963, 28, 2069–2075. [Google Scholar] [CrossRef]
- Beardsley, J.L.; Zollinger, J.L. Silane-Terminated Polycarbodiimide Primers and Composite Coatings Therefrom. U.S. Patent 4,118,536, 3 October 1978. [Google Scholar]
- Gardi, A.; Nitschmann, H. Intracatenare Vernetzung von Gelatine mit Carbodiimid. Helv. Chim. Acta 1972, 55, 2468–2485. [Google Scholar] [CrossRef] [PubMed]
- Pankratov, V.A. Polycarbodiimides. Russ. Chem. Rev. 1993, 62, 1119–1138. [Google Scholar] [CrossRef]
- Williams, A.; Ibrahim, I.T. Carbodiimide Chemistry: Recent Advances. Chem. Rev. 1981, 81, 589–636. [Google Scholar] [CrossRef]
- Bax, D.V.; Davidenko, N.; Gullberg, D.; Hamaia, S.W.; Farndale, R.W.; Best, S.M.; Cameron, R.E. Fundamental insight into the effect of carbodiimide crosslinking on cellular recognition of collagen-based scaffolds. Acta Biomater. 2017, 49, 218–234. [Google Scholar] [CrossRef] [PubMed]
- Sheehan, J.C.; Hess, G.P. A new method of forming peptide bonds. J. Am. Chem. Soc. 1955, 77, 1067–1068. [Google Scholar] [CrossRef]
- Weith, W. Ueber Carbodiphenylimid. Ber. Dtsch. Chem. Ges. 1874, 7, 10–16. [Google Scholar] [CrossRef]
- Khorana, H.G. The Chemistry of Carbodiimides. Chem. Rev. 1953, 53, 145–166. [Google Scholar] [CrossRef]
- Neumann, W.; Fisher, P. The Preparation of Carbodiimides from Isocyantes. Angew. Chem. Int. Ed. Engl. 1962, 1, 621–625. [Google Scholar] [CrossRef]
- Campbell, T.W.; Monagle, J.J.; Foldi, V.S. Carbodiimides. I. Conversion of Isocyanates to Carbodiimides with Phospholine Oxide Catalyst. J. Am. Chem. Soc. 1962, 84, 3673–3677. [Google Scholar] [CrossRef]
- Monagle, J.J.; Campbell, T.W.; McShane, H.F. Carbodiimides. II. Mechanism of the Catalytic Formation from Isocyanates. J. Am. Chem. Soc. 1962, 84, 4288–4295. [Google Scholar] [CrossRef]
- Monagle, J.J. Carbodiimides. III. Conversion of Isocyanates to Carbodiimides. Catalyst Studies. J. Org. Chem. 1962, 27, 3851–3855. [Google Scholar] [CrossRef]
- Appleman, J.O.; DeCarlo, V.J. The Conversion of Isocyanates into Carbodiimides with Isopropyl Methylphosphonofluoridate as Catalyst. Kinetic Studies. J. Org. Chem. 1967, 32, 1505–1507. [Google Scholar] [CrossRef]
- Kurzer, F.; Douraghi-Zadeh, K. Advances in the chemistry of carbodiimides. Chem. Rev. 1967, 67, 107–152. [Google Scholar] [CrossRef] [PubMed]
- Smeltz, K.C. Catalysts for Preparing Carbodiimides. U.S. Patent 3,426,025, 4 February 1969. [Google Scholar]
- Sandler, S.R.; Karo, W. Carbodiimides. In Organic Functional Group Preparations, 1st ed.; Academic Press Inc.: Cambridge, MA, USA, 1971; pp. 205–222. ISBN 9781483275635. [Google Scholar] [CrossRef]
- Hansen, R.L. Carbodiimide Catalysts and Processes. U.S. Patent 3,862,989, 28 January 1975. [Google Scholar]
- Mikołajczyk, M.; Kiełbasiński, P. Recent developments in the carbodiimide chemistry. Tetrahedron 1981, 37, 233–284. [Google Scholar] [CrossRef]
- Damrauer, R.; Lin, H.; Damrauer, N.H. Computational studies of carbodiimide rings. J. Org. Chem. 2014, 79, 3781–3788. [Google Scholar] [CrossRef] [PubMed]
- Waleed, H.Q.; Pecsmány, D.; Csécsi, M.; Farkas, L.; Viskolcz, B.; Fejes, Z.; Fiser, B. Experimental and Theoretical Study of Cyclic Amine Catalysed Urethane Formation. Polymers 2022, 14, 2859. [Google Scholar] [CrossRef]
- Bertrán, J.; Oliva, A.; Jose, J.; Duran, M.; Molina, P.; Alajarin, M.; Leonardo, C.L.; Elguero, J. Theoretical study of the mechanism of dimerization of N,C-disubstituted carbodiimides. J. Chem. Soc. Perkin Trans. 2 1992, 21, 299–304. [Google Scholar] [CrossRef]
- Farrissey, W.J.; Ricciardi, R.J.; Sayigh, A.A.R. Reactions of 1,3-Diphenyl-4-(Phenylimino)-2-uretidinone. J. Org. Chem. 1968, 33, 1913–1917. [Google Scholar] [CrossRef]
- Waleed, H.Q.; Csécsi, M.; Konyhás, V.; Boros, Z.R.; Viskolcz, B.; Fejes, Z.; Fiser, B. Aliphatic tertiary amine catalysed urethane formation—A combined experimental and theoretical study. Phys. Chem. Chem. Phys. 2022, 24, 20538–20545. [Google Scholar] [CrossRef] [PubMed]
- Gronert, S.; Keeffe, J.R. The protonation of allene and some heteroallenes, a computational study. J. Org. Chem. 2007, 72, 6343–6352. [Google Scholar] [CrossRef] [PubMed]
- Allport, D.C.; Gilbert, D.S.; Outterside, S.M. MDI and TDI: Safety, Health & Environment, A Source Book and Practical Guide; John Wiley & Sons, Ltd.: West Sussex, UK, 1998; Available online: https://books.google.com/books/about/MDI_and_TDI_Safety_Health_and_the_Enviro.html?hl=hu&id=l2_FR5xM8A8C (accessed on 11 October 2023).
- Meth-Cohn, O.; Thorpe, D.; Twitchett, H.J. Insertion reactions of titanium alkoxides with isocyanates and carbodiimides. J. Chem. Soc. C Org. 1970, 1, 132–135. [Google Scholar] [CrossRef]
- Ghosh, R.; Samuelson, A.G. Catalytic metathesis of carbon dioxide with heterocumulenes mediated by titanium isopropoxide. Chem. Commun. 2005, 41, 2017–2019. [Google Scholar] [CrossRef][Green Version]
- de Keijzer, A.E.H.; Koole, L.H.; Buck, H.M. Pseudorotation in Pentacoordinated Phosphorus Compounds. The Influence of the Conformational Transmission Effect on the Barriers to Pseudorotation in Cyclic Alkoxyphosphoranes. J. Am. Chem. Soc. 1988, 110, 5995–6001. [Google Scholar] [CrossRef] [PubMed]
- Ramirez, F.; Ugi, I. Turnstile Rearrangement and Pseudorotation in the Permutational Isomerization of Pentavalent Phosphorus Compounds. Adv. Phys. Org. Chem. 1971, 9, 25–126. [Google Scholar] [CrossRef]
- Mucsi, Z.; Csizmadia, I.G. Aromaticity and Antiaromaticity of Four-Membered P-Heterocycles. Curr. Org. Chem. 2008, 12, 83–96. [Google Scholar] [CrossRef]
- Mucsi, Z.; Hermecz, I.; Viskolcz, B.; Csizmadia, I.G.; Keglevich, G. The influence of exocyclic phosphorous substituents on the intrinsic stability of four-membered heterophosphetes: A theoretical study. Tetrahedron 2008, 64, 1868–1878. [Google Scholar] [CrossRef]
- Mucsi, Z.; Kötvélyesi, T.; Viskolcz, B.; Csizmadia, I.G.; Novák, T.; Keglevich, G. Can Four-Membered Heterophosphete Structures Exist? The Contribution of Phosphorus d Orbitals to Antiaromaticity. Eur. J. Org. Chem. 2007, 2007, 1759–1767. [Google Scholar] [CrossRef]
- Schleyer, P.V.R.; Maerker, C.; Dransfeld, A.; Jiao, H.; Van Eikema Hommes, N.J.R. Nucleus-Independent Chemical Shifts: A Simple and Efficient Aromaticity Probe. J. Am. Chem. Soc. 1996, 118, 6317–6318. [Google Scholar] [CrossRef]
- Cheikh, W.; Rózsa, Z.B.; López, C.O.C.; Mizsey, P.; Viskolcz, B.; Szőri, M.; Fejes, Z. Urethane Formation with an Excess of Isocyanate or Alcohol: Experimental and Ab Initio Study. Polymers 2019, 11, 1543. [Google Scholar] [CrossRef] [PubMed]
- OriginPro, Version 2018; OriginLab Corporation: Northampton, MA, USA, 2018. Available online: https://www.originlab.com/2018 (accessed on 14 July 2024).
- Frisch, M.J.; Trucks, G.W.; Schlegel, H.B.; Scuseria, G.E.; Robb, M.A.; Cheeseman, J.R.; Scalmani, G.; Barone, V.; Petersson, G.A.; Nakatsuji, H.; et al. Gaussian 16, Revision C.01; Gaussian Inc.: Wallingford, CT, USA, 2016. [Google Scholar]
- Becke, A.D. Density-functional thermochemistry. III. The role of exact exchange. J. Chem. Phys. 1993, 98, 5648–5652. [Google Scholar] [CrossRef]
- Marenich, A.V.; Cramer, C.J.; Truhlar, D.G. Universal solvation model based on solute electron density and on a continuum model of the solvent defined by the bulk dielectric constant and atomic surface tensions. J. Phys. Chem. B 2009, 113, 6378–6396. [Google Scholar] [CrossRef] [PubMed]
- McCormack, W.B. 3-methyl-1-phenylphospholene oxide. Org. Synth. 1963, 43, 73. [Google Scholar] [CrossRef]








| Structures | ODCB Solvent Phase Relative Energies (kJ mol−1) and Related NICS Values δ0 (ppm) | ||||||||
|---|---|---|---|---|---|---|---|---|---|
| ΔH | ΔG | ΔE0 | δ0 | ΔH | ΔG | ΔE0 | δ0 | ||
| R | 0.00 | 0.00 | 0.00 | – * | IM2 | 37.57 | 85.48 | 32.67 | – * |
| RC | 3.16 | 34.80 | −0.67 | – * | TS4 | 79.09 | 142.52 | 77.73 | −3.8 |
| TS1 | 43.39 | 96.05 | 43.93 | −4.4 | AD3 | 12.88 | 79.19 | 12.28 | −4.7 |
| AD1 | 36.60 | 91.56 | 37.18 | −6.6 | TS5 | 38.54 | 113.86 | 40.87 | −5.9 |
| TS2 | 48.28 | 113.84 | 51,92 | −5.8 | AD4 | 40.13 | 110.76 | 40.50 | −5.5 |
| AD2 | 28.21 | 83.64 | 28.55 | −4.7 | TS6 | 52.67 | 113.53 | 51.75 | −4.1 |
| TS3 | 52.87 | 105.01 | 52.63 | −5.2 | PC | −18.43 | 28.27 | −23.05 | – * |
| IM1 | 33.53 | 74.69 | 30.01 | – * | P | −15.05 | −6.65 | −15.90 | – * |
| IM | 34.87 | 43.96 | 33.24 | – * | |||||
| Temperature (K) | Rate Constant (k) (10−4 mol−1 dm3 s−1) |
|---|---|
| 313 | 1.67 ± 0.01 |
| 323 | 2.93 ± 0.02 |
| 333 | 5.27 ± 0.04 |
| 343 | 11.0 ± 0.1 |
| 353 | 17.9 ± 0.5 |
| Ea (kJ mol−1) | 55.8 ± 2.1 |
| A (104 mol−1 dm3 s−1) | 42 ± 27 |
Disclaimer/Publisher’s Note: The statements, opinions and data contained in all publications are solely those of the individual author(s) and contributor(s) and not of MDPI and/or the editor(s). MDPI and/or the editor(s) disclaim responsibility for any injury to people or property resulting from any ideas, methods, instructions or products referred to in the content. |
© 2024 by the authors. Licensee MDPI, Basel, Switzerland. This article is an open access article distributed under the terms and conditions of the Creative Commons Attribution (CC BY) license (https://creativecommons.org/licenses/by/4.0/).
Share and Cite
Csécsi, M.D.; Kondor, V.; Reizer, E.; Boros, R.Z.; Tóth, P.; Farkas, L.; Fiser, B.; Mucsi, Z.; Nagy, M.; Viskolcz, B. Theoretical and Experimental Study on Carbodiimide Formation. Int. J. Mol. Sci. 2024, 25, 7991. https://doi.org/10.3390/ijms25147991
Csécsi MD, Kondor V, Reizer E, Boros RZ, Tóth P, Farkas L, Fiser B, Mucsi Z, Nagy M, Viskolcz B. Theoretical and Experimental Study on Carbodiimide Formation. International Journal of Molecular Sciences. 2024; 25(14):7991. https://doi.org/10.3390/ijms25147991
Chicago/Turabian StyleCsécsi, Marcell Dániel, Virág Kondor, Edina Reizer, Renáta Zsanett Boros, Péter Tóth, László Farkas, Béla Fiser, Zoltán Mucsi, Miklós Nagy, and Béla Viskolcz. 2024. "Theoretical and Experimental Study on Carbodiimide Formation" International Journal of Molecular Sciences 25, no. 14: 7991. https://doi.org/10.3390/ijms25147991
APA StyleCsécsi, M. D., Kondor, V., Reizer, E., Boros, R. Z., Tóth, P., Farkas, L., Fiser, B., Mucsi, Z., Nagy, M., & Viskolcz, B. (2024). Theoretical and Experimental Study on Carbodiimide Formation. International Journal of Molecular Sciences, 25(14), 7991. https://doi.org/10.3390/ijms25147991

