Genome-Wide Identification of NDPK Family Genes and Expression Analysis under Abiotic Stress in Brassica napus
Abstract
1. Introduction
2. Results
2.1. Identification and Physicochemical Characterization of NDPK Genes
2.2. Chromosomal Localization of the NDPK Gene Family
2.3. Phylogenetic Analysis of the NDPK Gene Family
2.4. Motif Composition, Conserved Domains, and Gene Structure Analysis of the NDPK Gene Family
2.5. Collinearity Analysis of the NDPK Gene Family
2.6. Analysis of Cis-Acting Elements in NDPK Gene Promoters
2.7. KEGG Enrichment Analysis of BnNDPK Genes
2.8. Expression Pattern Analysis of BnNDPKs Genes
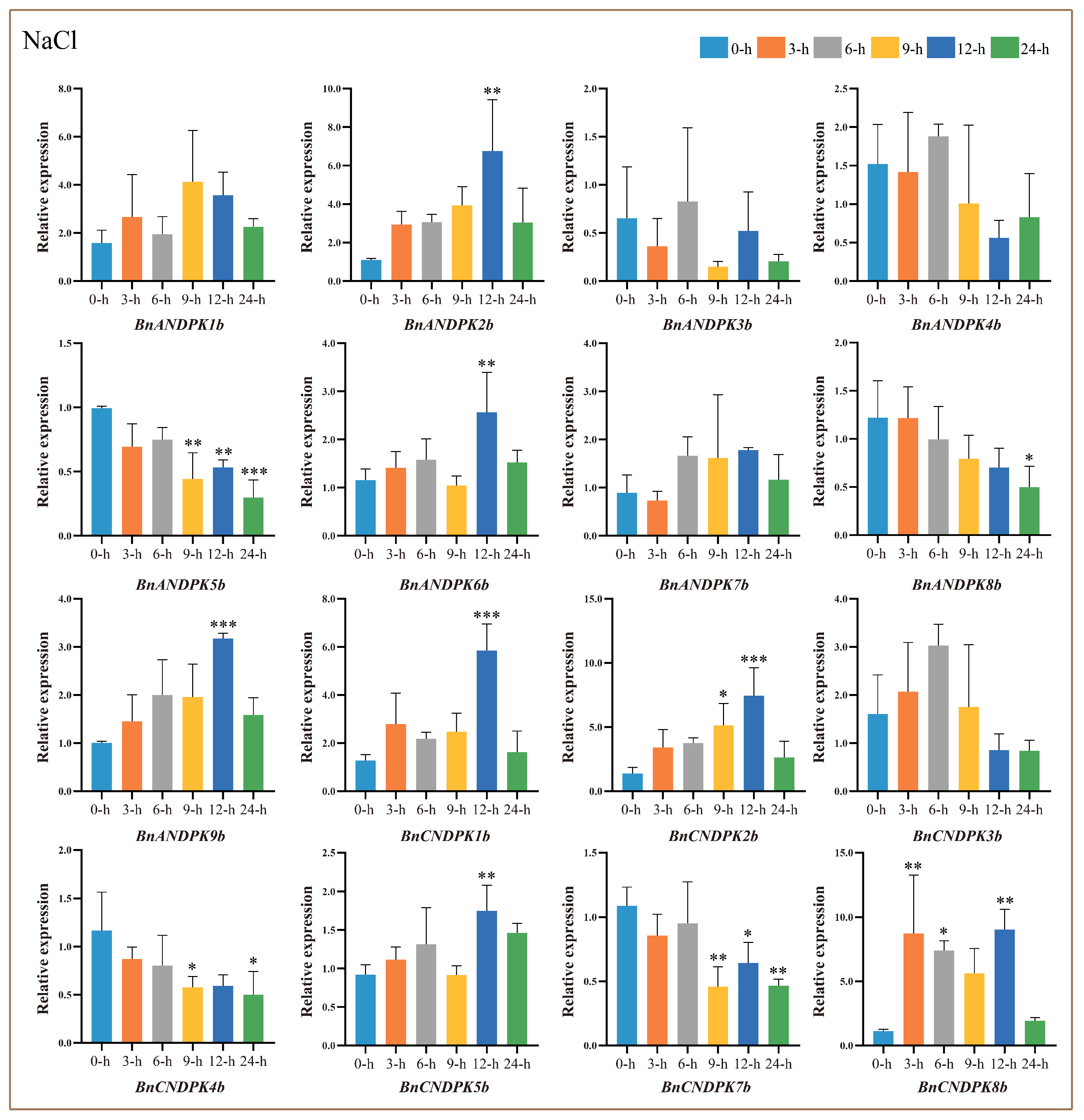
2.9. Analysis of BnNDPK Gene Expression Patterns under Salt Stress
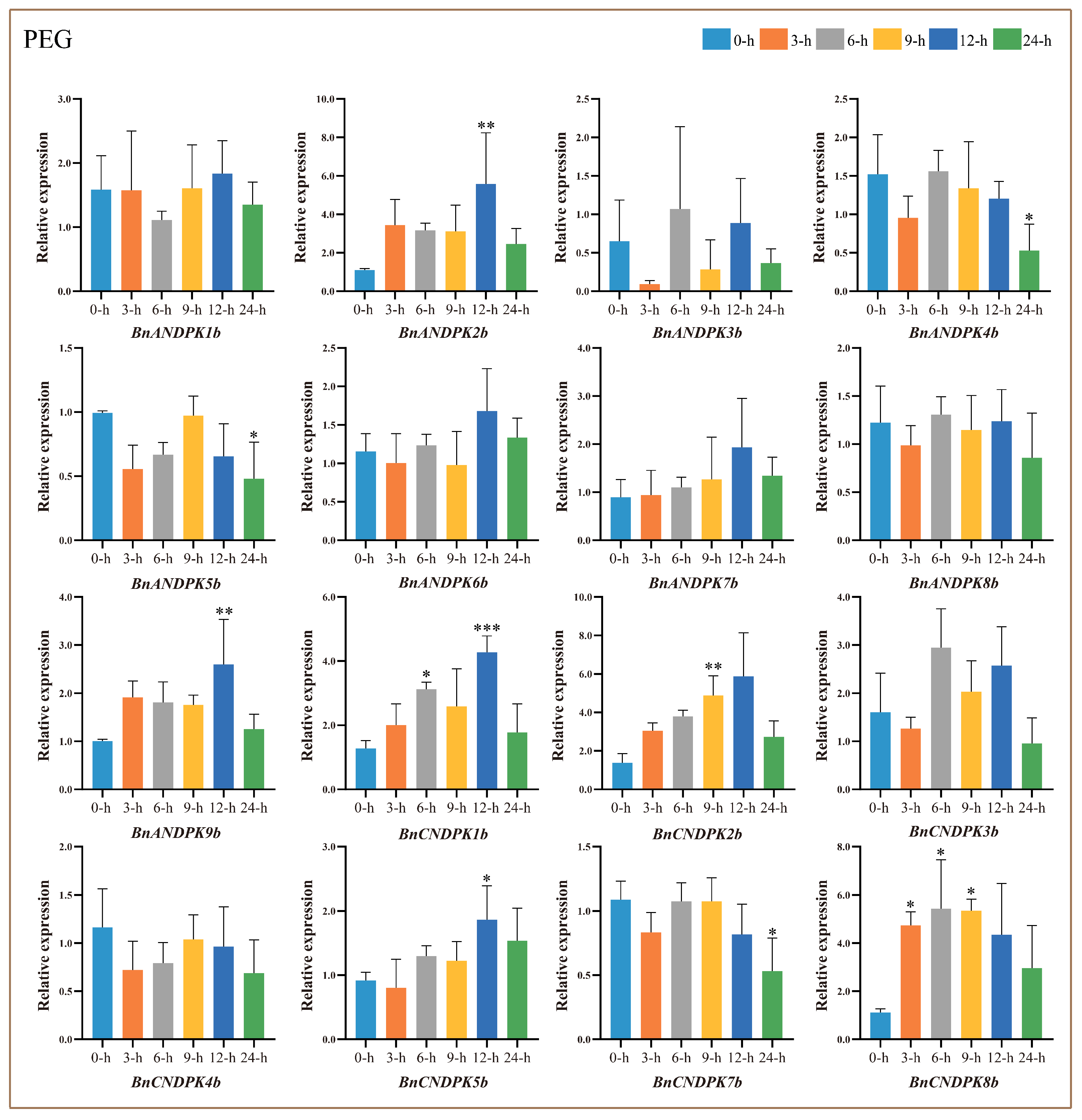
2.10. Analysis of BnNDPK Gene Expression Patterns under Drought Stress
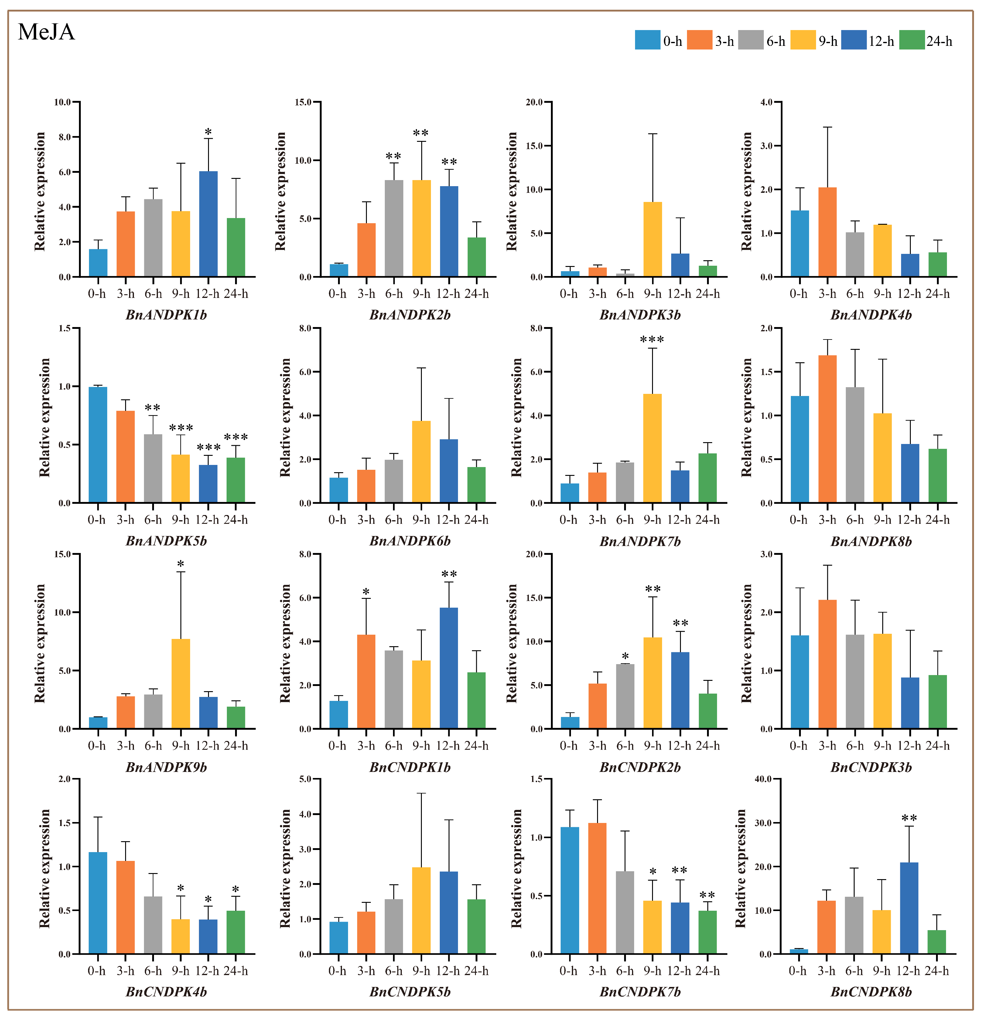
2.11. Analysis of BnNDPK Gene Expression Patterns under Plant Hormone Stress
3. Discussion
4. Materials and Methods
4.1. Genome-Wide Identification and NDPK Gene Family Analysis
4.2. Physicochemical Properties and Phylogenetic Analysis
4.3. Chromosome Localization and Gene Structure Analysis
4.4. Collinearity Analysis and Cis-Acting Element Prediction of the NDPK Gene Family
4.5. KEGG Enrichment Analysis of B. napus NDPK Genes
4.6. Tissue-Specific Expression Analysis of B. napus NDPK Genes
4.7. Different Stress Treatments and qRT-PCR Analysis
5. Conclusions
Supplementary Materials
Author Contributions
Funding
Institutional Review Board Statement
Informed Consent Statement
Data Availability Statement
Acknowledgments
Conflicts of Interest
References
- Tossi, V.E.; Martínez Tosar, L.J.; Laino, L.E.; Iannicelli, J.; Regalado, J.J.; Escandón, A.S.; Baroli, I.; Causin, H.F.; Pitta-Álvarez, S.I. Impact of polyploidy on plant tolerance to abiotic and biotic stresses. Front. Plant Sci. 2022, 13, 869423. [Google Scholar] [CrossRef] [PubMed]
- Akagi, T.; Jung, K.; Masuda, K.; Shimizu, K.K. Polyploidy before and after domestication of crop species. Curr. Opin. Plant Biol. 2022, 69, 102255. [Google Scholar] [CrossRef] [PubMed]
- Soltis, P.S.; Marchant, D.B.; Van de Peer, Y.; Soltis, D.E. Polyploidy and genome evolution in plants. Curr. Opin. Genet. Dev. 2015, 35, 119–125. [Google Scholar] [CrossRef] [PubMed]
- Zhang, Z.; Huo, W.; Wang, X.; Ren, Z.; Zhao, J.; Liu, Y.; He, K.; Zhang, F.; Li, W.; Jin, S.; et al. Origin, evolution, and diversification of the wall-associated kinase gene family in plants. Plant Cell Rep. 2023, 42, 1891–1906. [Google Scholar] [CrossRef]
- Wang, X.; Niu, Y.; Zheng, Y. Multiple Functions of MYB Transcription Factors in Abiotic Stress Responses. Int. J. Mol. Sci. 2021, 22, 6125. [Google Scholar] [CrossRef]
- Liu, T.; Chen, T.; Kan, J.; Yao, Y.; Guo, D.; Yang, Y.; Ling, X.; Wang, J.; Zhang, B. The GhMYB36 transcription factor confers resistance to biotic and abiotic stress by enhancing PR1 gene expression in plants. Plant Biotechnol. J. 2022, 20, 722–735. [Google Scholar] [CrossRef] [PubMed]
- Dumas, C.; Lascu, I.; Moréra, S.; Glaser, P.; Fourme, R.; Wallet, V.; Lacombe, M.L.; Véron, M.; Janin, J. X-ray structure of nucleoside diphosphate kinase. EMBO J. 1992, 11, 3203–3208. [Google Scholar] [CrossRef] [PubMed]
- Dorion, S.; Dumas, F.; Rivoal, J. Autophosphorylation of Solanum chacoense cytosolic nucleoside diphosphate kinase on Ser117. J. Exp. Bot. 2006, 57, 4079–4088. [Google Scholar] [CrossRef]
- Ahsan, N.; Lee, D.-G.; Lee, K.-W.; Alam, I.; Lee, S.-H.; Bahk, J.D.; Lee, B.-H. Glyphosate-induced oxidative stress in rice leaves revealed by proteomic approach. Plant Physiol. Biochem. 2008, 46, 1062–1070. [Google Scholar] [CrossRef] [PubMed]
- Dorion, S.; Matton, D.P.; Rivoal, J. Characterization of a cytosolic nucleoside diphosphate kinase associated with cell division and growth in potato. Planta 2006, 224, 108–124. [Google Scholar] [CrossRef]
- Cho SongMi, C.S.; Shin SeoHo, S.S.; Kim KwangSang, K.K.; Kim YoungCheol, K.Y.; Eun MooYoung, E.M.; Cho BaikHo, C.B. Enhanced expression of a gene encoding a nucleoside diphosphate kinase 1 (OsNDPK1) in rice plants upon infection with bacterial pathogens. Mol. Cells 2004, 18, 390–395. [Google Scholar]
- Liu, H.; Weisman, D.; Tang, L.; Tan, L.; Zhang, W.-k.; Wang, Z.-h.; Huang, Y.-h.; Lin, W.-x.; Liu, X.-m.; Colón-Carmona, A. Stress signaling in response to polycyclic aromatic hydrocarbon exposure in Arabidopsis thaliana involves a nucleoside diphosphate kinase, NDPK-3. Planta 2015, 241, 95–107. [Google Scholar] [CrossRef] [PubMed]
- Valenti, D.; Vacca, R.A.; de Pinto, M.C.; De Gara, L.; Marra, E.; Passarella, S. In the early phase of programmed cell death in Tobacco Bright Yellow 2 cells the mitochondrial adenine nucleotide translocator, adenylate kinase and nucleoside diphosphate kinase are impaired in a reactive oxygen species-dependent manner. Biochim. Biophys. Acta (BBA)—Bioenerg. 2007, 1767, 66–78. [Google Scholar] [CrossRef] [PubMed]
- Sinha, D.K.; Atray, I.; Bentur, J.S.; Nair, S. Expression of Orseolia oryzae nucleoside diphosphate kinase (OoNDPK) is enhanced in rice gall midge feeding on susceptible rice hosts and its over-expression leads to salt tolerance in Escherichia coli. Insect Mol. Biol. 2012, 21, 593–603. [Google Scholar] [CrossRef] [PubMed]
- Edlund, B. Purification of a nucleoside diphosphate kinase from pea seed and phosphorylation of the enzyme with adenosine (32 P) triphosphate. Acta Chem. Scand. 1971, 25, 1370–1376. [Google Scholar] [CrossRef] [PubMed][Green Version]
- Ovečka, M.; Takáč, T.; Komis, G.; Vadovič, P.; Bekešová, S.; Doskočilová, A.; Smékalová, V.; Luptovčiak, I.; Šamajová, O.; Schweighofer, A.; et al. Salt-induced subcellular kinase relocation and seedling susceptibility caused by overexpression of Medicago SIMKK in Arabidopsis. J. Exp. Bot. 2014, 65, 2335–2350. [Google Scholar] [CrossRef] [PubMed]
- Chen, J.; Lin, T.; Xu, H.; Tian, D.; Luo, Y.; Ren, C.; Yang, L.; Shi, J. Cold-induced changes of protein and phosphoprotein expression patterns from rice roots as revealed by multiplex proteomic analysis. Plant Omics 2012, 5, 194–199. [Google Scholar]
- Hamada, T.; Tanaka, N.; Noguchi, T.; Kimura, N.; Hasunuma, K. Phytochrome regulates phosphorylation of a protein with characteristics of a nucleoside diphosphate kinase in the crude membrane fraction from stem sections of etiolated pea seedlings. J. Photochem. Photobiol. B Biol. 1996, 33, 143–151. [Google Scholar] [CrossRef] [PubMed]
- Choi, G.; Kim, J.-I.; Hong, S.-W.; Shin, B.; Choi, G.; Blakeslee, J.J.; Murphy, A.S.; Seo, Y.W.; Kim, K.; Koh, E.-J.; et al. A Possible Role for NDPK2 in the Regulation of Auxin-mediated Responses for Plant Growth and Development. Plant Cell Physiol. 2005, 46, 1246–1254. [Google Scholar] [CrossRef] [PubMed]
- Moon, H.; Lee, B.; Choi, G.; Shin, D.; Prasad, D.T.; Lee, O.; Kwak, S.-S.; Kim, D.H.; Nam, J.; Bahk, J.; et al. NDP kinase 2 interacts with two oxidative stress-activated MAPKs to regulate cellular redox state and enhances multiple stress tolerance in transgenic plants. Proc. Natl. Acad. Sci. USA 2003, 100, 358–363. [Google Scholar] [CrossRef]
- Escobar Galvis, M.L.; Håkansson, G.; Alexciev, K.; Knorpp, C. Cloning and characterisation of a pea mitochondrial NDPK. Biochimie 1999, 81, 1089–1096. [Google Scholar] [CrossRef]
- Matsushita, Y.; Suzuki, T.; Kubota, R.; Mori, M.; Shimosato, H.; Watanabe, M.; Kayano, T.; Nishio, T.; Nyunoya, H. Plants and the Environment. Isolation of a cDNA for a nucleoside diphosphate kinase capable of phosphorylating the kinase domain of the self-incompatibility factor SRK of Brassica campestris. J. Exp. Bot. 2002, 53, 765–767. [Google Scholar] [CrossRef] [PubMed][Green Version]
- Wang, X.; Wang, H.; Wang, J.; Sun, R.; Wu, J.; Liu, S.; Bai, Y.; Mun, J.-H.; Bancroft, I.; Cheng, F.; et al. The genome of the mesopolyploid crop species Brassica rapa. Nat. Genet. 2011, 43, 1035–1039. [Google Scholar] [CrossRef]
- Chalhoub, B.; Denoeud, F.; Liu, S.; Parkin, I.A.P.; Tang, H.; Wang, X.; Chiquet, J.; Belcram, H.; Tong, C.; Samans, B.; et al. Early allopolyploid evolution in the post-Neolithic Brassica napus oilseed genome. Science 2014, 345, 950–953. [Google Scholar] [CrossRef] [PubMed]
- Liu, S.; Liu, Y.; Yang, X.; Tong, C.; Edwards, D.; Parkin, I.A.P.; Zhao, M.; Ma, J.; Yu, J.; Huang, S.; et al. The Brassica oleracea genome reveals the asymmetrical evolution of polyploid genomes. Nat. Commun. 2014, 5, 3930. [Google Scholar] [CrossRef] [PubMed]
- Pellicer, J.; Hidalgo, O.; Dodsworth, S.; Leitch, I.J. Genome Size Diversity and Its Impact on the Evolution of Land Plants. Genes 2018, 9, 88. [Google Scholar] [CrossRef]
- Lynch, M.; Conery, J.S. The Evolutionary Fate and Consequences of Duplicate Genes. Science 2000, 290, 1151–1155. [Google Scholar] [CrossRef]
- Zhang, Z.; Li, J.; Zhao, X.-Q.; Wang, J.; Wong, G.K.-S.; Yu, J. KaKs_Calculator: Calculating Ka and Ks Through Model Selection and Model Averaging. Genom. Proteom. Bioinform. 2007, 4, 259–263. [Google Scholar] [CrossRef]
- Liu, J.; Shen, Y.; Cao, H.; He, K.; Chu, Z.; Li, N. OsbHLH057 targets the AATCA cis-element to regulate disease resistance and drought tolerance in rice. Plant Cell Rep. 2022, 41, 1285–1299. [Google Scholar] [CrossRef]
- Heslop-Harrison, J.S.; Schwarzacher, T.; Liu, Q. Polyploidy: Its consequences and enabling role in plant diversification and evolution. Ann. Bot. 2022, 131, 1–10. [Google Scholar] [CrossRef]
- Lamesch, P.; Dreher, K.; Swarbreck, D.; Sasidharan, R.; Reiser, L.; Huala, E. Using the Arabidopsis information resource (TAIR) to find information about Arabidopsis genes. Curr. Protoc. Bioinform. 2010, 30, 1.11.1–1.11.51. [Google Scholar] [CrossRef] [PubMed]
- Cheng, F.; Liu, S.; Wu, J.; Fang, L.; Sun, S.; Liu, B.; Li, P.; Hua, W.; Wang, X. BRAD, the genetics and genomics database for Brassica plants. BMC Plant Biol. 2011, 11, 136. [Google Scholar] [CrossRef] [PubMed]
- El-Gebali, S.; Mistry, J.; Bateman, A.; Eddy, S.R.; Luciani, A.; Potter, S.C.; Qureshi, M.; Richardson, L.J.; Salazar, G.A.; Smart, A.; et al. The Pfam protein families database in 2019. Nucleic Acids Res. 2018, 47, D427–D432. [Google Scholar] [CrossRef]
- Quevillon, E.; Silventoinen, V.; Pillai, S.; Harte, N.; Mulder, N.; Apweiler, R.; Lopez, R. InterProScan: Protein domains identifier. Nucleic Acids Res. 2005, 33 (Suppl. S2), W116–W120. [Google Scholar] [CrossRef] [PubMed]
- Marchler-Bauer, A.; Bo, Y.; Han, L.; He, J.; Lanczycki, C.J.; Lu, S.; Chitsaz, F.; Derbyshire, M.K.; Geer, R.C.; Gonzales, N.R.; et al. CDD/SPARCLE: Functional classification of proteins via subfamily domain architectures. Nucleic Acids Res. 2016, 45, D200–D203. [Google Scholar] [CrossRef] [PubMed]
- Artimo, P.; Jonnalagedda, M.; Arnold, K.; Baratin, D.; Csardi, G.; de Castro, E.; Duvaud, S.; Flegel, V.; Fortier, A.; Gasteiger, E.; et al. ExPASy: SIB bioinformatics resource portal. Nucleic Acids Res. 2012, 40, W597–W603. [Google Scholar] [CrossRef] [PubMed]
- Horton, P.; Park, K.-J.; Obayashi, T.; Fujita, N.; Harada, H.; Adams-Collier, C.J.; Nakai, K. WoLF PSORT: Protein localization predictor. Nucleic Acids Res. 2007, 35 (Suppl. S2), W585–W587. [Google Scholar] [CrossRef]
- Kumar, S.; Stecher, G.; Li, M.; Knyaz, C.; Tamura, K. MEGA X: Molecular Evolutionary Genetics Analysis across Computing Platforms. Mol. Biol. Evol. 2018, 35, 1547–1549. [Google Scholar] [CrossRef]
- Bailey, T.L.; Boden, M.; Buske, F.A.; Frith, M.; Grant, C.E.; Clementi, L.; Ren, J.; Li, W.W.; Noble, W.S. MEME Suite: Tools for motif discovery and searching. Nucleic Acids Res. 2009, 37 (Suppl. S2), W202–W208. [Google Scholar] [CrossRef]
- Wang, Y.; Tang, H.; DeBarry, J.D.; Tan, X.; Li, J.; Wang, X.; Lee, T.-h.; Jin, H.; Marler, B.; Guo, H.; et al. MCScanX: A toolkit for detection and evolutionary analysis of gene synteny and collinearity. Nucleic Acids Res. 2012, 40, e49. [Google Scholar] [CrossRef]
- Chen, C.; Chen, H.; Zhang, Y.; Thomas, H.R.; Frank, M.H.; He, Y.; Xia, R. TBtools: An Integrative Toolkit Developed for Interactive Analyses of Big Biological Data. Mol. Plant 2020, 13, 1194–1202. [Google Scholar] [CrossRef] [PubMed]
- Lescot, M.; Déhais, P.; Thijs, G.; Marchal, K.; Moreau, Y.; Van de Peer, Y.; Rouzé, P.; Rombauts, S. PlantCARE, a database of plant cis-acting regulatory elements and a portal to tools for in silico analysis of promoter sequences. Nucleic Acids Res. 2002, 30, 325–327. [Google Scholar] [CrossRef] [PubMed]
- Cantalapiedra, C.P.; Hernández-Plaza, A.; Letunic, I.; Bork, P.; Huerta-Cepas, J. eggNOG-mapper v2: Functional Annotation, Orthology Assignments, and Domain Prediction at the Metagenomic Scale. Mol. Biol. Evol. 2021, 38, 5825–5829. [Google Scholar] [CrossRef] [PubMed]
- Liu, D.; Yu, L.; Wei, L.; Yu, P.; Wang, J.; Zhao, H.; Zhang, Y.; Zhang, S.; Yang, Z.; Chen, G.; et al. BnTIR: An online transcriptome platform for exploring RNA-seq libraries for oil crop Brassica napus. Plant Biotechnol. J. 2021, 19, 1895–1897. [Google Scholar] [CrossRef]










Disclaimer/Publisher’s Note: The statements, opinions and data contained in all publications are solely those of the individual author(s) and contributor(s) and not of MDPI and/or the editor(s). MDPI and/or the editor(s) disclaim responsibility for any injury to people or property resulting from any ideas, methods, instructions or products referred to in the content. |
© 2024 by the authors. Licensee MDPI, Basel, Switzerland. This article is an open access article distributed under the terms and conditions of the Creative Commons Attribution (CC BY) license (https://creativecommons.org/licenses/by/4.0/).
Share and Cite
Wang, L.; Zhao, Z.; Li, H.; Pei, D.; Huang, Z.; Wang, H.; Xiao, L. Genome-Wide Identification of NDPK Family Genes and Expression Analysis under Abiotic Stress in Brassica napus. Int. J. Mol. Sci. 2024, 25, 6795. https://doi.org/10.3390/ijms25126795
Wang L, Zhao Z, Li H, Pei D, Huang Z, Wang H, Xiao L. Genome-Wide Identification of NDPK Family Genes and Expression Analysis under Abiotic Stress in Brassica napus. International Journal of Molecular Sciences. 2024; 25(12):6795. https://doi.org/10.3390/ijms25126795
Chicago/Turabian StyleWang, Long, Zhi Zhao, Huaxin Li, Damei Pei, Zhen Huang, Hongyan Wang, and Lu Xiao. 2024. "Genome-Wide Identification of NDPK Family Genes and Expression Analysis under Abiotic Stress in Brassica napus" International Journal of Molecular Sciences 25, no. 12: 6795. https://doi.org/10.3390/ijms25126795
APA StyleWang, L., Zhao, Z., Li, H., Pei, D., Huang, Z., Wang, H., & Xiao, L. (2024). Genome-Wide Identification of NDPK Family Genes and Expression Analysis under Abiotic Stress in Brassica napus. International Journal of Molecular Sciences, 25(12), 6795. https://doi.org/10.3390/ijms25126795

