A Phyto-mycotherapeutic Supplement, Namely Ganostile, as Effective Adjuvant in Brain Cancer Management: An In Vitro Study Using U251 Human Glioblastoma Cell Line
Abstract
1. Introduction
2. Results
2.1. Determination of the Concentration of Ganostile
2.2. Proliferation Pathway Evaluation
2.3. Oxidative Stress Pathway Evaluation
2.4. Changes in Calcium Pathway
2.5. Apoptotic Pathway Evaluation
2.6. Ferroptotic Pathway Evaluation
2.7. Autophagic and Mitophagic Pathway Evaluation
2.8. Ganostile Effects on Cytoplasmic Organelles
2.9. Ultrastructural Observation of Morphological Changes
3. Discussion
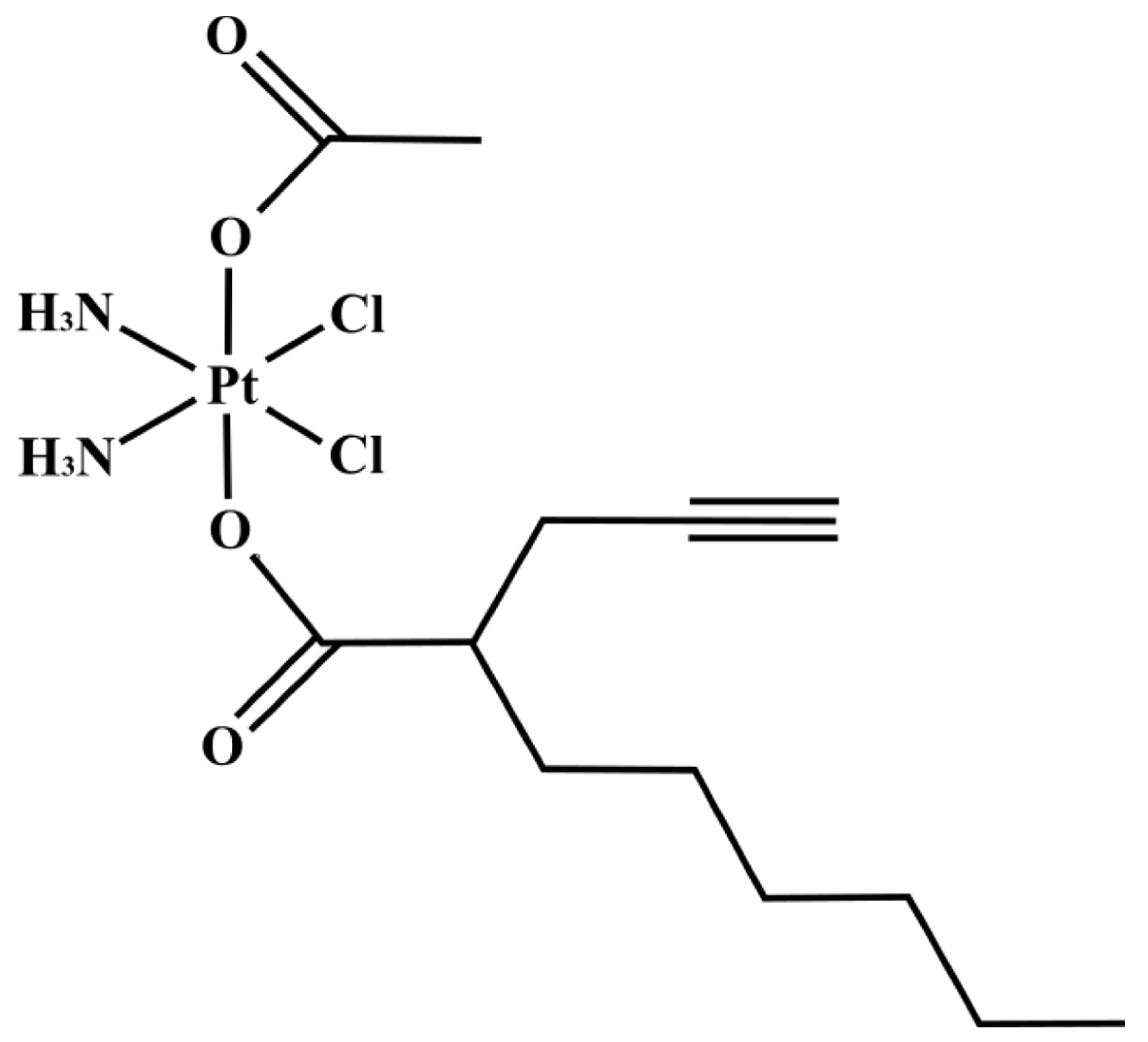
4. Materials and Methods
4.1. Cell Lines
4.2. Ganostile Composition and Treatments
4.3. Ganostile Dose Selection: Cell Viability/Proliferation Evaluated by MTS Assay
4.4. Flow Cytometry
4.5. Immunocytochemical Reactions for Fluorescence Microscopy
4.6. Transmission Electron Microscopy (TEM)
4.7. Statistical Analysis
5. Conclusions
Author Contributions
Funding
Institutional Review Board Statement
Informed Consent Statement
Data Availability Statement
Acknowledgments
Conflicts of Interest
References
- Stupp, R.; Mason, W.P.; van den Bent, M.J.; Weller, M.; Fisher, B.; Taphoorn, M.J.B.; Belanger, K.; Brandes, A.A.; Marosi, C.; Bogdahn, U.; et al. Radiotherapy plus Concomitant and Adjuvant Temozolomide for Glioblastoma. N. Engl. J. Med. 2005, 352, 987–996. [Google Scholar] [CrossRef]
- Rossi, P.; Difrancia, R.; Quagliariello, V.; Savino, E.; Tralongo, P.; Randazzo, C.L.; Berretta, M. B-Glucans from Grifola Frondosa and Ganoderma Lucidum in Breast Cancer: An Example of Complementary and Integrative Medicine. Oncotarget 2018, 9, 24837–24856. [Google Scholar] [CrossRef]
- Qu, L.; Li, S.; Zhuo, Y.; Chen, J.; Qin, X.; Guo, G. Anticancer Effect of Triterpenes from Ganoderma Lucidum in Human Prostate Cancer Cells. Oncol. Lett. 2017, 14, 7467–7472. [Google Scholar] [CrossRef]
- Jiang, D.; Wang, L.; Zhao, T.; Zhang, Z.; Zhang, R.; Jin, J.; Cai, Y.; Wang, F. Restoration of the Tumor-Suppressor Function to Mutant P53 by Ganoderma Lucidum Polysaccharides in Colorectal Cancer Cells. Oncol. Rep. 2017, 37, 594–600. [Google Scholar] [CrossRef]
- Ferreira, I.C.F.R.; Heleno, S.A.; Reis, F.S.; Stojkovic, D.; Queiroz, M.J.R.P.; Vasconcelos, M.H.; Sokovic, M. Chemical Features of Ganoderma Polysaccharides with Antioxidant, Antitumor and Antimicrobial Activities. Phytochemistry 2015, 114, 38–55. [Google Scholar] [CrossRef]
- Du, G.H.; Wang, H.X.; Yan, Z.; Liu, L.Y.; Chen, R.Y. Anti-Tumor Target Prediction and Activity Verification of Ganoderma Lucidum Triterpenoids. Zhongguo Zhongyao Zazhi 2017, 42, 517–522. [Google Scholar]
- Sohretoglu, D.; Huang, S. Ganoderma Lucidum Polysaccharides as An Anti-Cancer Agent. Anticancer Agents Med. Chem. 2018, 18, 667–674. [Google Scholar] [CrossRef]
- Xu, Z.; Chen, X.; Zhong, Z.; Chen, L.; Wang, Y. Ganoderma Lucidum Polysaccharides: Immunomodulation and Potential Anti-Tumor Activities. Am. J. Chin. Med. 2011, 39, 15–27. [Google Scholar] [CrossRef]
- Wang, J.; Yuan, Y.; Yue, T. Immunostimulatory Activities of β-d-Glucan from Ganoderma Lucidum. Carbohydr. Polym. 2014, 102, 47–54. [Google Scholar] [CrossRef]
- Wu, G.S.; Guo, J.J.; Bao, J.L.; Li, X.W.; Chen, X.P.; Lu, J.J.; Wang, Y.T. Anti-Cancer Properties of Triterpenoids Isolated from Ganoderma Lucidum—A Review. Expert Opin. Investig. Drugs 2013, 22, 981–992. [Google Scholar] [CrossRef]
- Barbieri, A.; Quagliariello, V.; Del Vecchio, V.; Falco, M.; Luciano, A.; Amruthraj, N.J.; Nasti, G.; Ottaiano, A.; Berretta, M.; Iaffaioli, R.V.; et al. Anticancer and Anti-Inflammatory Properties of Ganoderma Lucidum Extract Effects on Melanoma and Triple-Negative Breast Cancer Treatment. Nutrients 2017, 9, 210. [Google Scholar] [CrossRef]
- Martínez-Montemayor, M.M.; Ling, T.; Suárez-Arroyo, I.J.; Ortiz-Soto, G.; Santiago-Negrón, C.L.; Lacourt-Ventura, M.Y.; Valentín-Acevedo, A.; Lang, W.H.; Rivas, F. Identification of Biologically Active Ganoderma Lucidum Compounds and Synthesis of Improved Derivatives That Confer Anti-Cancer Activities in Vitro. Front. Pharmacol. 2019, 10, 115. [Google Scholar] [CrossRef]
- Cheng, A.Y.; Chien, Y.C.; Lee, H.C.; Hsieh, Y.H.; Yu, Y.L. Water-Extracted Ganoderma Lucidum Induces Apoptosis and S-Phase Arrest via Cyclin-CDK2 Pathway in Glioblastoma Cells. Molecules 2020, 25, 3585. [Google Scholar] [CrossRef]
- Chiu, H.F.; Fu, H.Y.; Lu, Y.Y.; Han, Y.C.; Shen, Y.C.; Venkatakrishnan, K.; Golovinskaia, O.; Wang, C.K. Triterpenoids and Polysaccharide Peptides-Enriched Ganoderma Lucidum: A Randomized, Double-Blind Placebo-Controlled Crossover Study of Its Antioxidation and Hepatoprotective Efficacy in Healthy Volunteers. Pharm. Biol. 2017, 55, 1041–1046. [Google Scholar] [CrossRef]
- Liu, Y.Q.; Wang, X.L.; He, D.H.; Cheng, Y.X. Protection against Chemotherapy- and Radiotherapy-Induced Side Effects: A Review Based on the Mechanisms and Therapeutic Opportunities of Phytochemicals. Phytomedicine 2021, 80, 153402. [Google Scholar] [CrossRef]
- Roda, E.; De Luca, F.; Di Iorio, C.; Ratto, D.; Siciliani, S.; Ferrari, B.; Cobelli, F.; Borsci, G.; Priori, E.C.; Chinosi, S.; et al. Novel Medicinal Mushroom Blend as a Promising Supplement in Integrative Oncology: A Multi-Tiered Study Using 4t1 Triple-Negative Mouse Breast Cancer Model. Int. J. Mol. Sci. 2020, 21, 3479. [Google Scholar] [CrossRef]
- Wang, R.; Shi, L.; Liu, S.; Liu, Z.; Song, F.; Sun, Z.; Liu, Z. Mass Spectrometry-Based Urinary Metabolomics for the Investigation on the Mechanism of Action of Eleutherococcus Senticosus (Rupr. & Maxim.)Maxim. Leaves against Ischemic Stroke in Rats. J. Ethnopharmacol. 2019, 241, 111969. [Google Scholar] [CrossRef]
- Wang, Y.H.; Meng, Y.; Zhai, C.; Wang, M.; Avula, B.; Yuk, J.; Smith, K.M.; Isaac, G.; Khan, I.A. The Chemical Characterization of Eleutherococcus Senticosus and Ci-Wu-Jia Tea Using UHPLC-UV-QTOF/MS. Int. J. Mol. Sci. 2019, 20, 475. [Google Scholar] [CrossRef]
- Hou, R.; Xu, T.; Li, Q.; Yang, F.; Wang, C.; Huang, T.; Hao, Z. Polysaccharide from Echinacea Purpurea Reduce the Oxidant Stress in Vitro and in Vivo. Int. J. Biol. Macromol. 2020, 149, 41–50. [Google Scholar] [CrossRef]
- Auyeung, K.K.; Han, Q.-B.; Ko, J.K. Astragalus Membranaceus: A Review of Its Protection Against Inflammation and Gastrointestinal Cancers. Am. J. Chin. Med. 2016, 44, 1–22. [Google Scholar] [CrossRef]
- Rangone, B.; Ferrari, B.; Astesana, V.; Masiello, I.; Veneroni, P.; Zanellato, I.; Osella, D.; Bottone, M.G. A New Platinum-Based Prodrug Candidate: Its Anticancer Effects in B50 Neuroblastoma Rat Cells. Life Sci. 2018, 210, 166–176. [Google Scholar] [CrossRef]
- Ferrari, B.; Urselli, F.; Gilodi, M.; Camuso, S.; Priori, E.C.; Rangone, B.; Ravera, M.; Veneroni, P.; Zanellato, I.; Roda, E.; et al. New Platinum-Based Prodrug Pt(IV)Ac-POA: Antitumour Effects in Rat C6 Glioblastoma Cells. Neurotox. Res. 2020, 37, 183–197. [Google Scholar] [CrossRef]
- Ferrari, B.; Roda, E.; Priori, E.C.; De Luca, F.; Facoetti, A.; Ravera, M.; Brandalise, F.; Locatelli, C.A.; Rossi, P.; Bottone, M.G. A New Platinum-Based Prodrug Candidate for Chemotherapy and Its Synergistic Effect With Hadrontherapy: Novel Strategy to Treat Glioblastoma. Front. Neurosci. 2021, 15, 589906. [Google Scholar] [CrossRef]
- Hsin, I.L.; Wang, S.C.; Li, J.R.; Ciou, T.C.; Wu, C.H.; Wu, H.M.; Ko, J.L. Immunomodulatory Proteins FIP-Gts and Chloroquine Induce Caspase-Independent Cell Death via Autophagy for Resensitizing Cisplatin-Resistant Urothelial Cancer Cells. Phytomedicine 2016, 23, 1566–1573. [Google Scholar] [CrossRef]
- Li, W.; Xu, X. Advances in Mitophagy and Mitochondrial Apoptosis Pathway-Related Drugs in Glioblastoma Treatment. Front. Pharmacol. 2023, 14, 1211719. [Google Scholar] [CrossRef]
- Kumar, A.V.; Mills, J.; Lapierre, L.R. Selective Autophagy Receptor P62/SQSTM1, a Pivotal Player in Stress and Aging. Front. Cell Dev. Biol. 2022, 10, 793328. [Google Scholar] [CrossRef]
- Lee, Y.K.; Lee, J.A. Role of the Mammalian ATG8/LC3 Family in Autophagy: Differential and Compensatory Roles in the Spatiotemporal Regulation of Autophagy. BMB Rep. 2016, 49, 424–430. [Google Scholar] [CrossRef]
- Poole, L.P.; Macleod, K.F. Mitophagy in Tumorigenesis and Metastasis. Cell. Mol. Life Sci. 2021, 78, 3817–3851. [Google Scholar] [CrossRef]
- Agnihotri, S.; Golbourn, B.; Huang, X.; Remke, M.; Younger, S.; Cairns, R.A.; Chalil, A.; Smith, C.A.; Krumholtz, S.-L.; Mackenzie, D.; et al. Correction: PINK1 Is a Negative Regulator of Growth and the Warburg Effect in Glioblastoma. Cancer Res. 2022, 82, 4695. [Google Scholar] [CrossRef]
- Chen, J.; Zhou, C.; Yi, J.; Sun, J.; Xie, B.; Zhang, Z.; Wang, Q.; Chen, G.; Jin, S.; Hou, J.; et al. Metformin and Arsenic Trioxide Synergize to Trigger Parkin/Pink1-Dependent Mitophagic Cell Death in Human Cervical Cancer HeLa Cells. J. Cancer 2021, 12, 6310–6319. [Google Scholar] [CrossRef]
- Kumar, R.; Reichert, A.S. Common Principles and Specific Mechanisms of Mitophagy from Yeast to Humans. Int. J. Mol. Sci. 2021, 22, 4363. [Google Scholar] [CrossRef]
- Papi, S.; Ahmadizar, F.; Hasanvand, A. The Role of Nitric Oxide in Inflammation and Oxidative Stress. Immunopathol. Persa 2019, 5, e08. [Google Scholar] [CrossRef]
- Chang, B.; Guan, H.; Wang, X.; Chen, Z.; Zhu, W.; Wei, X.; Li, S. Cox4i2 Triggers an Increase in Reactive Oxygen Species, Leading to Ferroptosis and Apoptosis in HHV7 Infected Schwann Cells. Front. Mol. Biosci. 2021, 8, 660072. [Google Scholar] [CrossRef]
- Oliva, C.R.; Markert, T.; Yancey Gillespie, G.; Griguer, C.E. Nuclear-Encoded Cytochrome c Oxidase Subunit 4 Regulates BMI1 Expression and Determines Proliferative Capacity of High-Grade Gliomas. Oncotarget 2015, 6, 4330–4344. [Google Scholar] [CrossRef]
- Onishi, K.; Miyake, M.; Tatsumi, Y.; Hori, S.; Nakai, Y.; Onishi, S.; Iemura, Y.; Owari, T.; Itami, Y.; Iida, K.; et al. Inhibitory Effect of Orally Administered 5-Aminolevulinic Acid on Prostate Carcinogenesis in the FVB-Transgenic Adenocarcinoma of a Mouse Prostate (FVB-TRAMP) Model. Asian Pac. J. Cancer Prev. 2020, 21, 3743–3749. [Google Scholar] [CrossRef]
- Seibt, T.M.; Proneth, B.; Conrad, M. Role of GPX4 in Ferroptosis and Its Pharmacological Implication. Free Radic. Biol. Med. 2019, 133, 144–152. [Google Scholar] [CrossRef]
- Li, J.; Hu, X.; Luo, T.; Lu, Y.; Feng, Y.; Zhang, H.; Liu, D.; Fan, X.; Wang, Y.; Jiang, L.; et al. N-2-(Phenylamino) Benzamide Derivatives as Novel Anti-Glioblastoma Agents: Synthesis and Biological Evaluation. Eur. J. Med. Chem. 2021, 226, 113817. [Google Scholar] [CrossRef]
- Qiu, J.; Shi, Z.; Jiang, J. Cyclooxygenase-2 in Glioblastoma Multiforme. Drug Discov. Today 2017, 22, 148–156. [Google Scholar] [CrossRef]
- Oksuz, E.; Gorgisen, G.; Ozdemir, H.; Gulacar, I.M.; Oto, G. Effect of Paracetamol in the Proliferation of Glioblastoma Cell Line: The Role of Apoptosis, COX-2 and Cyclin B Expressions. Turk. Neurosurg. 2021, 31, 46–50. [Google Scholar] [CrossRef]
- Azab, M.A.; Alomari, A.; Azzam, A.Y. Featuring How Calcium Channels and Calmodulin Affect Glioblastoma Behavior. A Review Article. Cancer Treat. Res. Commun. 2020, 25, 100255. [Google Scholar] [CrossRef]
- Tang, R.; Xu, J.; Zhang, B.; Liu, J.; Liang, C.; Hua, J.; Meng, Q.; Yu, X.; Shi, S. Ferroptosis, Necroptosis, and Pyroptosis in Anticancer Immunity. J. Hematol. Oncol. 2020, 13, 110. [Google Scholar] [CrossRef]
- Gao, W.; Wang, X.; Zhou, Y.; Wang, X.; Yu, Y. Autophagy, Ferroptosis, Pyroptosis, and Necroptosis in Tumor Immunotherapy. Signal Transduct. Target. Ther. 2022, 7, 196. [Google Scholar] [CrossRef]
- Shahid, A.; Chen, M.; Yeung, S.; Parsa, C.; Orlando, R.; Huang, Y. The Medicinal Mushroom Ganoderma Lucidum Prevents Lung Tumorigenesis Induced by Tobacco Smoke Carcinogens. Front. Pharmacol. 2023, 14, 1244150. [Google Scholar] [CrossRef]
- Gao, X.; Homayoonfal, M. Exploring the Anti-Cancer Potential of Ganoderma Lucidum Polysaccharides (GLPs) and Their Versatile Role in Enhancing Drug Delivery Systems: A Multifaceted Approach to Combat Cancer. Cancer Cell Int. 2023, 23, 324. [Google Scholar] [CrossRef]
- Ye, T.; Ge, Y.; Jiang, X.; Song, H.; Peng, C.; Liu, B. A Review of Anti-Tumour Effects of Ganoderma Lucidum in Gastrointestinal Cancer. Chin. Med. 2023, 18, 107. [Google Scholar] [CrossRef]
- Gariboldi, M.B.; Marras, E.; Ferrario, N.; Vivona, V.; Prini, P.; Vignati, F.; Perletti, G. Anti-Cancer Potential of Edible/Medicinal Mushrooms in Breast Cancer. Int. J. Mol. Sci. 2023, 24, 10120. [Google Scholar] [CrossRef]
- Rahimnia, R.; Akbari, M.R.; Yasseri, A.F.; Taheri, D.; Mirzaei, A.; Ghajar, H.A.; Farashah, P.D.; Baghdadabad, L.Z.; Aghamir, S.M.K. The Effect of Ganoderma Lucidum Polysaccharide Extract on Sensitizing Prostate Cancer Cells to Flutamide and Docetaxel: An in Vitro Study. Sci. Rep. 2023, 13, 18940. [Google Scholar] [CrossRef]
- Liu, L.; Yu, Z.; Chen, J.; Liu, B.; Wu, C.; Li, Y.; Xu, J.; Li, P. Lucialdehyde B Suppresses Proliferation and Induces Mitochondria-Dependent Apoptosis in Nasopharyngeal Carcinoma CNE2 Cells. Pharm. Biol. 2023, 61, 918–926. [Google Scholar] [CrossRef]
- Wu, X.; Wu, Q.; Wang, Y.; Liu, Y.; Li, Z.; Liu, Q.; Huang, Z.; Li, M.; Zhang, B.; Zhan, Q. Aqueous-Soluble Components of Sporoderm-Removed Ganoderma Lucidum Spore Powder Promote Ferroptosis in Oral Squamous Cell Carcinoma. Chin. J. Cancer Res. 2023, 35, 176–190. [Google Scholar] [CrossRef]
- Li, R.; Tang, X.; Xu, C.; Guo, Y.; Qi, L.; Li, S.; Ren, Q.; Jie, W.; Chen, D. Circular RNA NF1-419 Inhibits Proliferation and Induces Apoptosis by Regulating Lipid Metabolism in Astroglioma Cells. Recent Pat. Anticancer Drug Discov. 2021, 17, 162–177. [Google Scholar] [CrossRef]
- Wang, C.; Shi, S.; Chen, Q.; Lin, S.; Wang, R.; Wang, S.; Chen, C. Antitumor and Immunomodulatory Activities of Ganoderma Lucidum Polysaccharides in Glioma-Bearing Rats. Integr. Cancer Ther. 2018, 17, 674–683. [Google Scholar] [CrossRef]
- Wang, C.; Lin, D.; Chen, Q.; Lin, S.; Shi, S.; Chen, C. Polysaccharide Peptide Isolated from Grass-Cultured Ganoderma Lucidum Induces Anti-Proliferative and pro-Apoptotic Effects in the Human U251 Glioma Cell Line. Oncol. Lett. 2018, 15, 4330–4336. [Google Scholar] [CrossRef]
- Sun, J.Y.; Yang, H.; Miao, S.; Li, J.P.; Wang, S.W.; Zhu, M.Z.; Xie, Y.H.; Wang, J.B.; Liu, Z.; Yang, Q. Suppressive Effects of Swainsonine on C6 Glioma Cell in Vitro and in Vivo. Phytomedicine 2009, 16, 1070–1074. [Google Scholar] [CrossRef]
- Liu, Q.; Sun, Y.; Zheng, J.M.; Yan, X.L.; Chen, H.M.; Chen, J.K.; Huang, H.Q. Formononetin Sensitizes Glioma Cells to Doxorubicin through Preventing EMT via Inhibition of Histone Deacetylase 5. Int. J. Clin. Exp. Pathol. 2015, 8, 6434–6441. [Google Scholar]
- Feng, Y.; Zhu, P.; Wu, D.; Deng, W. A Network Pharmacology Prediction and Molecular Docking-Based Strategy to Explore the Potential Pharmacological Mechanism of Astragalus Membranaceus for Glioma. Int. J. Mol. Sci. 2023, 24, 16306. [Google Scholar] [CrossRef]
- Panossian, A.; Seo, E.J.; Efferth, T. Novel Molecular Mechanisms for the Adaptogenic Effects of Herbal Extracts on Isolated Brain Cells Using Systems Biology. Phytomedicine 2018, 50, 257–284. [Google Scholar] [CrossRef]
- Graczyk, F.; Gębalski, J.; Makuch-Kocka, A.; Gawenda-Kempczyńska, D.; Ptaszyńska, A.A.; Grzyb, S.; Bogucka-Kocka, A.; Załuski, D. Phenolic Profile, Antioxidant, Anti-Enzymatic and Cytotoxic Activity of the Fruits and Roots of Eleutherococcus Senticosus (Rupr. et Maxim.) Maxim. Molecules 2022, 27, 5579. [Google Scholar] [CrossRef]
- Panossian, A.; Seo, E.J.; Efferth, T. Effects of Anti-Inflammatory and Adaptogenic Herbal Extracts on Gene Expression of Eicosanoids Signaling Pathways in Isolated Brain Cells. Phytomedicine 2019, 60, 152881. [Google Scholar] [CrossRef]
- Yu, T.; He, Y.; Chen, H.; Lu, X.; Ni, H.; Ma, Y.; Chen, Y.; Li, C.; Cao, R.; Ma, L.; et al. Polysaccharide from Echinacea Purpurea Plant Ameliorates Oxidative Stress-Induced Liver Injury by Promoting Parkin-Dependent Autophagy. Phytomedicine 2022, 104, 154311. [Google Scholar] [CrossRef]
- Han, N.R.; Park, H.J.; Ko, S.G.; Moon, P.D. The Protective Effect of a Functional Food Consisting of Astragalus Membranaceus, Trichosanthes Kirilowii, and Angelica Gigas or Its Active Component Formononetin against Inflammatory Skin Disorders through Suppression of TSLP via MDM2/HIF1α Signaling Pathways. Foods 2023, 12, 276. [Google Scholar] [CrossRef]
- Li, Z.; Qi, J.; Guo, T.; Li, J. Research Progress of Astragalus Membranaceus in Treating Peritoneal Metastatic Cancer. J. Ethnopharmacol. 2023, 305, 116086. [Google Scholar] [CrossRef]
- Guo, S.; Li, Y.; Su, H.; Meng, M.; Xi, J.; Mo, G.; Chen, X. Aidi Injection as Adjunctive Treatment to Gemcitabine-Based Chemotherapy for Advanced Non-Small Cell Lung Cancer: A Systematic Review and Meta-Analysis. Pharm. Biol. 2021, 59, 1260–1275. [Google Scholar] [CrossRef]
- Malatesta, M.; Giagnacovo, M.; Renna, L.V.; Cardani, R.; Meola, G.; Pellicciari, C. Cultured Myoblasts from Patients Affected by Myotonic Dystrophy Type 2 Exhibit Senescence-Related Features: Ultrastructural Evidence. Eur. J. Histochem. 2011, 55, e26. [Google Scholar] [CrossRef]
- Bottone, M.G.; Soldani, C.; Veneroni, P.; Avella, D.; Pisu, M.; Bernocchi, G. Cell Proliferation, Apoptosis and Mitochondrial Damage in Rat B50 Neuronal Cells after Cisplatin Treatment. Cell Prolif. 2008, 41, 506–520. [Google Scholar] [CrossRef]
- Roda, E.; De Luca, F.; Priori, E.C.; Ratto, D.; Pinelli, S.; Corradini, E.; Mozzoni, P.; Poli, D.; Mazzini, G.; Bottone, M.G.; et al. The Designer Drug APHP Affected Cell Proliferation and Triggered Deathly Mechanisms in Murine Neural Stem/Progenitor Cells. Biology 2023, 12, 1225. [Google Scholar] [CrossRef]
- Alpini, C.; Lotzniker, M.; Valaperta, S.; Bottone, M.G.; Malatesta, M.; Montanelli, A.; Merlini, G. Characterization for Anti-Cytoplasmic Antibodies Specificity by Morphological and Molecular Techniques. Autoimmun. Highlights 2012, 3, 79–85. [Google Scholar] [CrossRef]
- Santin, G.; Piccolini, V.M.; Veneroni, P.; Barni, S.; Bernocchi, G.; Bottone, M.G. Different Patterns of Apoptosis in Response to Cisplatin in B50 Neuroblastoma Rat Cells. Histol. Histopathol. 2011, 26, 831–842. [Google Scholar] [CrossRef]



















| Medicinal Mushroom/Plant | Ganostile Content |
|---|---|
| Ganoderma lucidum | 27% |
| Eleuterococcus senticosus | 27% |
| Echinacea purpurea | 33% |
| Astragalus membranaceus | 13% |
| Antigen | Primary Antibody | Dilution |
|---|---|---|
| Caspase-3 | Rabbit monoclonal anti-Cleaved caspase-3 (Cell Signaling Technology, Danvers, MA, USA) | 1:200 |
| PCNA | Mouse monoclonal (PC10) anti-PCNA (Abcam, Cambridge, MA, USA) | 1:200 |
| Mitochondria | Human autoimmune serum anti-mitochondrial isoform of HSP70 [66] | 1:200 |
| Golgi | Rabbit polyclonal anti-GRP94 (Abcam, Cambridge, MA, USA) [67] | 1:200 |
| Lysosomes | Human autoimmune serum anti-lysosomal proteinase [66] | 1:400 |
| LC3B | Rabbit polyclonal anti-LC3B (Cell Signaling Technology, Danvers, MA, USA) | 1:400 |
| p62/SQSTM1 | Mouse monoclonal anti- p62/SQSTM1 (Abcam, Cambridge, MA, USA) | 1:100 |
| Parkin | Mouse monoclonal anti-Parkin (Abcam, Cambridge, MA, USA) | 1:500 |
| PINK1 | Rabbit polyclonal anti-PINK1 (Abcam, Cambridge, MA, USA) | 1:500 |
| NOS2 | Mouse monoclonal anti-NOS2 (C-11) (Santa Cruz Biotechnology, Dallas, TX, USA) | 1:200 |
| COX2 | Mouse polyclonal anti-COX2 (M-19) (Santa Cruz Biotechnology, Dallas, TX, USA) | 1:200 |
| COX4 | Mouse monoclonal (20E8C12) anti-COX4 (Abcam, Cambridge, MA, USA) | 1:500 |
| α-tubulin | Mouse monoclonal anti-α-tubulin (Cell Signaling Technology, Danvers, MA, USA) | 1:1000 |
| Actin | Alexa 488-Phalloidin/Alexa 594-Phalloidin (Molecular Probes, Invitrogen) | 1:500 |
Disclaimer/Publisher’s Note: The statements, opinions and data contained in all publications are solely those of the individual author(s) and contributor(s) and not of MDPI and/or the editor(s). MDPI and/or the editor(s) disclaim responsibility for any injury to people or property resulting from any ideas, methods, instructions or products referred to in the content. |
© 2024 by the authors. Licensee MDPI, Basel, Switzerland. This article is an open access article distributed under the terms and conditions of the Creative Commons Attribution (CC BY) license (https://creativecommons.org/licenses/by/4.0/).
Share and Cite
Gaiaschi, L.; De Luca, F.; Roda, E.; Ferrari, B.; Casali, C.; Inguscio, C.R.; Gola, F.; Pelloni, E.; Savino, E.; Ravera, M.; et al. A Phyto-mycotherapeutic Supplement, Namely Ganostile, as Effective Adjuvant in Brain Cancer Management: An In Vitro Study Using U251 Human Glioblastoma Cell Line. Int. J. Mol. Sci. 2024, 25, 6204. https://doi.org/10.3390/ijms25116204
Gaiaschi L, De Luca F, Roda E, Ferrari B, Casali C, Inguscio CR, Gola F, Pelloni E, Savino E, Ravera M, et al. A Phyto-mycotherapeutic Supplement, Namely Ganostile, as Effective Adjuvant in Brain Cancer Management: An In Vitro Study Using U251 Human Glioblastoma Cell Line. International Journal of Molecular Sciences. 2024; 25(11):6204. https://doi.org/10.3390/ijms25116204
Chicago/Turabian StyleGaiaschi, Ludovica, Fabrizio De Luca, Elisa Roda, Beatrice Ferrari, Claudio Casali, Chiara Rita Inguscio, Federica Gola, Enrico Pelloni, Elena Savino, Mauro Ravera, and et al. 2024. "A Phyto-mycotherapeutic Supplement, Namely Ganostile, as Effective Adjuvant in Brain Cancer Management: An In Vitro Study Using U251 Human Glioblastoma Cell Line" International Journal of Molecular Sciences 25, no. 11: 6204. https://doi.org/10.3390/ijms25116204
APA StyleGaiaschi, L., De Luca, F., Roda, E., Ferrari, B., Casali, C., Inguscio, C. R., Gola, F., Pelloni, E., Savino, E., Ravera, M., Rossi, P., & Bottone, M. G. (2024). A Phyto-mycotherapeutic Supplement, Namely Ganostile, as Effective Adjuvant in Brain Cancer Management: An In Vitro Study Using U251 Human Glioblastoma Cell Line. International Journal of Molecular Sciences, 25(11), 6204. https://doi.org/10.3390/ijms25116204

