Obesity Enhances Non-Th2 Airway Inflammation in a Murine Model of Allergic Asthma
Abstract
1. Introduction
2. Results
2.1. A High-Fat Diet Is Associated with Obesity as Evidenced by the Increased Body Weight
2.2. Allergic Sensitisation Is Induced by Intranasal Challenge with HDM in Both ND and HFD Mice
2.3. Impact of HFD on Allergen-Induced Pulmonary Inflammation and Mucus Hypersecretion
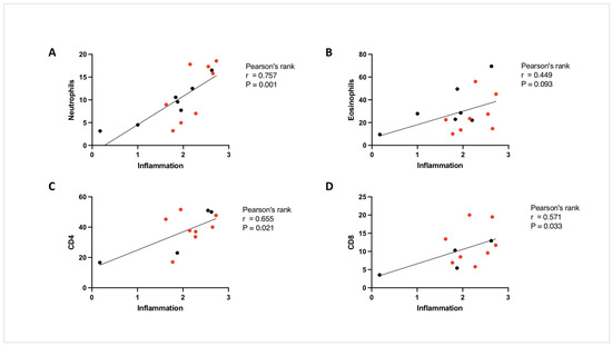
2.4. Impact of HFD on Allergen-Induced Pulmonary Infiltration of Inflammatory Cells
2.5. The Impact of HFD on Inflammatory Mediators
3. Discussion
4. Methods
4.1. Animals
4.2. The Sensitisation and Challenge Protocol for Allergic Asthma in Obese (HFD) and Lean (ND) Mice
4.3. Lung Histology
4.4. Immunohistochemistry Staining
4.5. Quantification of Total IgE and HDM-Specific IgE in Serum
4.6. Quantitative PCR
4.7. Statistical Analysis
Supplementary Materials
Author Contributions
Funding
Institutional Review Board Statement
Informed Consent Statement
Data Availability Statement
Acknowledgments
Conflicts of Interest
References
- Hamid, Q.; Tulic, M. Immunobiology of asthma. Annu. Rev. Physiol. 2009, 71, 489–507. [Google Scholar] [CrossRef] [PubMed]
- Dharmage, S.C.; Perret, J.L.; Custovic, A. Epidemiology of Asthma in Children and Adults. Front. Pediatr. 2019, 7, 246. [Google Scholar] [CrossRef] [PubMed]
- Nunes, C.; Pereira, A.M.; Morais-Almeida, M. Asthma costs and social impact. Asthma Res. Pract. 2017, 3, 1. [Google Scholar] [CrossRef] [PubMed]
- Hammad, H.; Lambrecht, B.N. Dendritic cells and epithelial cells: Linking innate and adaptive immunity in asthma. Nat. Rev. Immunol. 2008, 8, 193–204. [Google Scholar] [CrossRef] [PubMed]
- Renauld, J.C. New insights into the role of cytokines in asthma. J. Clin. Pathol. 2001, 54, 577–589. [Google Scholar] [CrossRef] [PubMed]
- Kuruvilla, M.E.; Lee, F.E.; Lee, G.B. Understanding Asthma Phenotypes, Endotypes, and Mechanisms of Disease. Clin. Rev. Allergy Immunol. 2019, 56, 219–233. [Google Scholar] [CrossRef] [PubMed]
- Carr, T.F.; Zeki, A.A.; Kraft, M. Eosinophilic and Noneosinophilic Asthma. Am. J. Respir. Crit. Care Med. 2018, 197, 22–37. [Google Scholar] [CrossRef] [PubMed]
- Kim, S.; Camargo, C.A., Jr. Sex-race differences in the relationship between obesity and asthma: The behavioral risk factor surveillance system, 2000. Ann. Epidemiol. 2003, 13, 666–673. [Google Scholar] [CrossRef] [PubMed]
- Barros, R.; Moreira, P.; Padrao, P.; Teixeira, V.H.; Carvalho, P.; Delgado, L.; Moreira, A. Obesity increases the prevalence and the incidence of asthma and worsens asthma severity. Clin. Nutr. 2017, 36, 1068–1074. [Google Scholar] [CrossRef]
- Ford, E.S. The epidemiology of obesity and asthma. J. Allergy Clin. Immunol. 2005, 115, 897–909, quiz 910. [Google Scholar] [CrossRef]
- Baffi, C.W.; Winnica, D.E.; Holguin, F. Asthma and obesity: Mechanisms and clinical implications. Asthma Res. Pract. 2015, 1, 1. [Google Scholar] [CrossRef] [PubMed]
- Schatz, M.; Zeiger, R.S.; Yang, S.J.; Chen, W.; Sajjan, S.; Allen-Ramey, F.; Camargo, C.A., Jr. Prospective Study on the Relationship of Obesity to Asthma Impairment and Risk. J. Allergy Clin. Immunol. Pract. 2015, 3, 560–565.e1. [Google Scholar] [CrossRef] [PubMed]
- Mosen, D.M.; Schatz, M.; Magid, D.J.; Camargo, C.A., Jr. The relationship between obesity and asthma severity and control in adults. J. Allergy Clin. Immunol. 2008, 122, 507–511.e6. [Google Scholar] [CrossRef] [PubMed]
- Kim, J.Y.; Sohn, J.H.; Lee, J.H.; Park, J.W. Obesity increases airway hyperresponsiveness via the TNF-alpha pathway and treating obesity induces recovery. PLoS ONE 2015, 10, e0116540. [Google Scholar] [CrossRef] [PubMed]
- Dietze, J.; Bocking, C.; Heverhagen, J.T.; Voelker, M.N.; Renz, H. Obesity lowers the threshold of allergic sensitization and augments airway eosinophilia in a mouse model of asthma. Allergy 2012, 67, 1519–1529. [Google Scholar] [CrossRef] [PubMed]
- Calixto, M.C.; Lintomen, L.; Schenka, A.; Saad, M.J.; Zanesco, A.; Antunes, E. Obesity enhances eosinophilic inflammation in a murine model of allergic asthma. Br. J. Pharmacol. 2010, 159, 617–625. [Google Scholar] [CrossRef] [PubMed]
- de Vries, A.; Hazlewood, L.; Fitch, P.M.; Seckl, J.R.; Foster, P.; Howie, S.E. High-fat feeding redirects cytokine responses and decreases allergic airway eosinophilia. Clin. Exp. Allergy 2009, 39, 731–739. [Google Scholar] [CrossRef]
- Andre, D.M.; Calixto, M.C.; Sollon, C.; Alexandre, E.C.; Tavares, E.B.G.; Naime, A.C.A.; Anhe, G.F.; Antunes, E. High-fat diet-induced obesity impairs insulin signaling in lungs of allergen-challenged mice: Improvement by resveratrol. Sci. Rep. 2017, 7, 17296. [Google Scholar] [CrossRef]
- Silva, F.M.C.; Oliveira, E.E.; Gouveia, A.C.C.; Brugiolo, A.S.S.; Alves, C.C.; Correa, J.O.A.; Gameiro, J.; Mattes, J.; Teixeira, H.C.; Ferreira, A.P. Obesity promotes prolonged ovalbumin-induced airway inflammation modulating T helper type 1 (Th1), Th2 and Th17 immune responses in BALB/c mice. Clin. Exp. Immunol. 2017, 189, 47–59. [Google Scholar] [CrossRef] [PubMed]
- Ramalho, R.; Almeida, J.; Beltrao, M.; Pirraco, A.; Costa, R.; Sokhatska, O.; Guardao, L.; Palmares, C.; Guimaraes, J.T.; Delgado, L.; et al. Neurogenic inflammation in allergen-challenged obese mice: A missing link in the obesity-asthma association? Exp. Lung Res. 2012, 38, 316–324. [Google Scholar] [CrossRef]
- Calderon, M.A.; Linneberg, A.; Kleine-Tebbe, J.; De Blay, F.; Hernandez Fernandez de Rojas, D.; Virchow, J.C.; Demoly, P. Respiratory allergy caused by house dust mites: What do we really know? J. Allergy Clin. Immunol. 2015, 136, 38–48. [Google Scholar] [CrossRef] [PubMed]
- Diaz, J.; Warren, L.; Helfner, L.; Xue, X.; Chatterjee, P.K.; Gupta, M.; Solanki, M.H.; Esposito, M.; Bonagura, V.; Metz, C.N. Obesity shifts house dust mite-induced airway cellular infiltration from eosinophils to macrophages: Effects of glucocorticoid treatment. Immunol. Res. 2015, 63, 197–208. [Google Scholar] [CrossRef] [PubMed]
- Tashiro, H.; Takahashi, K.; Sadamatsu, H.; Kato, G.; Kurata, K.; Kimura, S.; Sueoka-Aragane, N. Saturated Fatty Acid Increases Lung Macrophages and Augments House Dust Mite-Induced Airway Inflammation in Mice Fed with High-Fat Diet. Inflammation 2017, 40, 1072–1086. [Google Scholar] [CrossRef] [PubMed]
- Post, S.; Nawijn, M.C.; Hackett, T.L.; Baranowska, M.; Gras, R.; van Oosterhout, A.J.; Heijink, I.H. The composition of house dust mite is critical for mucosal barrier dysfunction and allergic sensitisation. Thorax 2012, 67, 488–495. [Google Scholar] [CrossRef]
- Tong, J.; Clay, B.S.; Ferreira, C.M.; Bandukwala, H.S.; Moore, T.V.; Blaine, K.M.; Williams, J.W.; Hoffman, L.M.; Hamann, K.J.; Shilling, R.A. Fas ligand expression on T cells is sufficient to prevent prolonged airway inflammation in a murine model of asthma. Am. J. Respir. Cell Mol. Biol. 2010, 43, 342–348. [Google Scholar] [CrossRef]
- Park, S.C.; Kim, H.; Bak, Y.; Shim, D.; Kwon, K.W.; Kim, C.-H.; Yoon, J.-H.; Shin, S.J. An alternative dendritic cell-induced murine model of asthma exhibiting a robust Th2/Th17-skewed response. Allergy Asthma Immunol. Res. 2020, 12, 537. [Google Scholar] [CrossRef]
- Van de Walle, G.R.; Sakamoto, K.; Osterrieder, N. CCL3 and viral chemokine-binding protein gg modulate pulmonary inflammation and virus replication during equine herpesvirus 1 infection. J. Virol. 2008, 82, 1714–1722. [Google Scholar] [CrossRef] [PubMed]
- Blacquiere, M.; Hylkema, M.; Postma, D.; Geerlings, M.; Timens, W.; Melgert, B. Airway inflammation and remodeling in two mouse models of asthma: Comparison of males and females. Int. Arch. Allergy Immunol. 2010, 153, 173–181. [Google Scholar] [CrossRef]
- Hayashi, T.; Adachi, Y.; Hasegawa, K.; Morimoto, M. Less sensitivity for late airway inflammation in males than females in BALB/c mice. Scand. J. Immunol. 2003, 57, 562–567. [Google Scholar] [CrossRef]
- Takeda, M.; Tanabe, M.; Ito, W.; Ueki, S.; Konnno, Y.; Chihara, M.; Itoga, M.; Kobayashi, Y.; Moritoki, Y.; Kayaba, H. Gender difference in allergic airway remodelling and immunoglobulin production in mouse model of asthma. Respirology 2013, 18, 797–806. [Google Scholar] [CrossRef]
- Wang, L.; Wang, K.; Gao, X.; Paul, T.K.; Cai, J.; Wang, Y. Sex difference in the association between obesity and asthma in US adults: Findings from a national study. Respir. Med. 2015, 109, 955–962. [Google Scholar] [CrossRef] [PubMed]
- Gallach, S.; Jantus-Lewintre, E.; Calabuig-Fariariñas, S.; Blasco, A.; Guijarro, R.; Martorell, M.; Camps, C. Prognostic role of miRNAs in resectable non-small cell lung cancer. Cancer Res. 2015, 75, 4010. [Google Scholar] [CrossRef]
- Chen, X.-L.; Xiao, Q.-L.; Pang, Z.-H.; Tang, C.; Zhu, Q.-Y. Molecular mechanisms of An-Chuan Granule for the treatment of asthma based on a network pharmacology approach and experimental validation. Biosci. Rep. 2021, 41, BSR20204247. [Google Scholar] [CrossRef] [PubMed]
- He, L.-L.; Xu, F.; Zhan, X.-Q.; Chen, Z.-H.; Shen, H.-H. Identification of critical genes associated with the development of asthma by co-expression modules construction. Mol. Immunol. 2020, 123, 18–25. [Google Scholar] [CrossRef] [PubMed]
- Pandey, S.; Hoselton, S.A.; Schuh, J.M. The impact of Aspergillus fumigatus viability and sensitization to its allergens on the murine allergic asthma phenotype. BioMed Res. Int. 2013, 2013, 619614. [Google Scholar] [CrossRef] [PubMed]
- Gregory, L.G.; Lloyd, C.M. Orchestrating house dust mite-associated allergy in the lung. Trends Immunol. 2011, 32, 402–411. [Google Scholar] [CrossRef] [PubMed]
- Bal, C.; Pohl, W.; Milger, K.; Skowasch, D.; Schulz, C.; Gappa, M.; Koerner-Rettberg, C.; Jandl, M.; Schmidt, O.; Zehetmayer, S. Characterization of obesity in severe asthma in the German Asthma Net. J. Allergy Clin. Immunol. Pract. 2023, 11, 3417–3424.e3. [Google Scholar] [CrossRef] [PubMed]
- Silva, F.; Oliveira, E.E.; Ambrosio, M.G.E.; Ayupe, M.C.; Souza, V.P.; Gameiro, J.; Reis, D.R.L.; Machado, M.A.; Macedo, G.C.; Mattes, J.; et al. High-fat diet-induced obesity worsens TH2 immune response and immunopathologic characteristics in murine model of eosinophilic oesophagitis. Clin. Exp. Allergy 2020, 50, 244–255. [Google Scholar] [CrossRef] [PubMed]
- Chen, Y.; Zhang, J.; Li, C.; Sun, Q.; Jiang, X.H. Obesity enhances Th2 inflammatory response via natural killer T cells in a murine model of allergic asthma. Int. J. Clin. Exp. Med. 2015, 8, 15403. [Google Scholar]
- Liang, L.; Hur, J.; Kang, J.Y.; Rhee, C.K.; Kim, Y.K.; Lee, S.Y. Effect of the anti-IL-17 antibody on allergic inflammation in an obesity-related asthma model. Korean J. Intern. Med. 2018, 33, 1210–1223. [Google Scholar] [CrossRef]
- Liu, X.; Yi, M.; Jin, R.; Feng, X.; Ma, L.; Wang, Y.; Shan, Y.; Yang, Z.; Zhao, B. Correlation between oxidative stress and NF-κB signaling pathway in the obesity-asthma mice. Mol. Biol. Rep. 2020, 47, 3735–3744. [Google Scholar] [CrossRef] [PubMed]
- Fricke, K.; Vieira, M.; Younas, H.; Shin, M.K.; Bevans-Fonti, S.; Berger, S.; Lee, R.; D’Alessio, F.R.; Zhong, Q.; Nelson, A.; et al. High fat diet induces airway hyperresponsiveness in mice. Sci. Rep. 2018, 8, 6404. [Google Scholar] [CrossRef] [PubMed]
- Mahmutovic Persson, I.; Menzel, M.; Ramu, S.; Cerps, S.; Akbarshahi, H.; Uller, L. IL-1β mediates lung neutrophilia and IL-33 expression in a mouse model of viral-induced asthma exacerbation. Respir. Res. 2018, 19, 16. [Google Scholar] [CrossRef] [PubMed]
- Osei, E.T.; Brandsma, C.-A.; Timens, W.; Heijink, I.H.; Hackett, T.-L. Current perspectives on the role of interleukin-1 signalling in the pathogenesis of asthma and COPD. Eur. Respir. J. 2020, 55, 1900563. [Google Scholar] [CrossRef] [PubMed]
- Williams, A.S.; Chen, L.; Kasahara, D.I.; Si, H.; Wurmbrand, A.P.; Shore, S.A. Obesity and airway responsiveness: Role of TNFR2. Pulm. Pharmacol. Ther. 2013, 26, 444–454. [Google Scholar] [CrossRef] [PubMed]
- Ge, X.N.; Greenberg, Y.; Hosseinkhani, M.R.; Long, E.K.; Bahaie, N.S.; Rao, A.; Ha, S.G.; Rao, S.P.; Bernlohr, D.A.; Sriramarao, P. High-fat diet promotes lung fibrosis and attenuates airway eosinophilia after exposure to cockroach allergen in mice. Exp. Lung Res. 2013, 39, 365–378. [Google Scholar] [CrossRef] [PubMed]
- Park, Y.H.; Oh, E.Y.; Han, H.; Yang, M.; Park, H.J.; Park, K.H.; Lee, J.-H.; Park, J.-W. Insulin resistance mediates high-fat diet-induced pulmonary fibrosis and airway hyperresponsiveness through the TGF-β1 pathway. Exp. Mol. Med. 2019, 51, 1–12. [Google Scholar] [CrossRef] [PubMed]
- Scott, H.A.; Gibson, P.G.; Garg, M.L.; Wood, L.G. Airway inflammation is augmented by obesity and fatty acids in asthma. Eur. Respir. J. 2011, 38, 594–602. [Google Scholar] [CrossRef] [PubMed]
- Telenga, E.D.; Tideman, S.W.; Kerstjens, H.A.M.; Hacken, N.H.T.t.; Timens, W.; Postma, D.S.; van den Berge, M. Obesity in asthma: More neutrophilic inflammation as a possible explanation for a reduced treatment response. Allergy 2012, 67, 1060–1068. [Google Scholar] [CrossRef]
- Moore, W.C.; Hastie, A.T.; Li, X.; Li, H.; Busse, W.W.; Jarjour, N.N.; Wenzel, S.E.; Peters, S.P.; Meyers, D.A.; Bleecker, E.R.; et al. Sputum neutrophil counts are associated with more severe asthma phenotypes using cluster analysis. J. Allergy Clin. Immunol. 2014, 133, 1557–1563. [Google Scholar] [CrossRef]
- Zheng, J.; Zhang, X.; Zhang, L.; Zhang, H.P.; Wang, L.; Wang, G. Interactive effects between obesity and atopy on inflammation: A pilot study for asthma phenotypic overlap. Ann. Allergy Asthma Immunol. 2016, 117, 716–717. [Google Scholar] [CrossRef] [PubMed]
- Wood, L.G.; Li, Q.; Scott, H.A.; Rutting, S.; Berthon, B.S.; Gibson, P.G.; Hansbro, P.M.; Williams, E.; Horvat, J.; Simpson, J.L. Saturated fatty acids, obesity, and the nucleotide oligomerization domain–like receptor protein 3 (NLRP3) inflammasome in asthmatic patients. J. Allergy Clin. Immunol. 2019, 143, 305–315. [Google Scholar] [CrossRef] [PubMed]
- Ray, A.; Kolls, J.K. Neutrophilic inflammation in asthma and association with disease severity. Trends Immunol. 2017, 38, 942–954. [Google Scholar] [CrossRef] [PubMed]
- Marijsse, G.S.; Seys, S.F.; Schelpe, A.-S.; Dilissen, E.; Goeminne, P.; Dupont, L.J.; Ceuppens, J.L.; Bullens, D.M.A. Obese individuals with asthma preferentially have a high IL-5/IL-17A/IL-25 sputum inflammatory pattern. Am. J. Respir. Crit. Care Med. 2014, 189, 1284–1285. [Google Scholar] [CrossRef]
- Chen, J.-H.; Qin, L.; Shi, Y.-Y.; Feng, J.-T.; Zheng, Y.-L.; Wan, Y.-F.; Xu, C.-Q.; Yang, X.-M.; Hu, C.-P. IL-17 protein levels in both induced sputum and plasma are increased in stable but not acute asthma individuals with obesity. Respir. Med. 2016, 121, 48–58. [Google Scholar] [CrossRef] [PubMed]
- Aslani, M.R.; Sharghi, A.; Boskabady, M.H.; Ghobadi, H.; Keyhanmanesh, R.; Alipour, M.R.; Ahmadi, M.; Saadat, S.; Naghizadeh, P. Altered gene expression levels of IL-17/TRAF6/MAPK/USP25 axis and pro-inflammatory cytokine levels in lung tissue of obese ovalbumin-sensitized rats. Life Sci. 2022, 296, 120425. [Google Scholar] [CrossRef] [PubMed]
- Baines, K.J.; Simpson, J.L.; Wood, L.G.; Scott, R.J.; Gibson, P.G. Transcriptional phenotypes of asthma defined by gene expression profiling of induced sputum samples. J. Allergy Clin. Immunol. 2011, 127, 153–160. [Google Scholar] [CrossRef] [PubMed]
- Nguyen, T.H.; Maltby, S.; Simpson, J.L.; Eyers, F.; Baines, K.J.; Gibson, P.G.; Foster, P.S.; Yang, M. TNF-α and macrophages are critical for respiratory syncytial virus–induced exacerbations in a mouse model of allergic airways disease. J. Immunol. 2016, 196, 3547–3558. [Google Scholar] [CrossRef] [PubMed]
- Everaere, L.; Ait-Yahia, S.; Molendi-Coste, O.; Vorng, H.; Quemener, S.; LeVu, P.; Fleury, S.; Bouchaert, E.; Fan, Y.; Duez, C.; et al. Innate lymphoid cells contribute to allergic airway disease exacerbation by obesity. J. Allergy Clin. Immunol. 2016, 138, 1309–1318.e1. [Google Scholar] [CrossRef]
- Andre, D.M.; Calixto, M.C.; Sollon, C.; Alexandre, E.C.; Leiria, L.O.; Tobar, N.; Anhe, G.F.; Antunes, E. Therapy with resveratrol attenuates obesity-associated allergic airway inflammation in mice. Int. Immunopharmacol. 2016, 38, 298–305. [Google Scholar] [CrossRef]
- Winsa-Lindmark, S.; Stridsman, C.; Sahlin, A.; Hedman, L.; Stenfors, N.; Myrberg, T.; Lindberg, A.; Rönmark, E.; Backman, H. Severity of adult-onset asthma-a matter of blood neutrophils and severe obesity. Respir. Med. 2023, 219, 107418. [Google Scholar] [CrossRef] [PubMed]
- Boulet, L.-P.; Franssen, E. Influence of obesity on response to fluticasone with or without salmeterol in moderate asthma. Respir. Med. 2007, 101, 2240–2247. [Google Scholar] [CrossRef] [PubMed]
- Wang, M.; Gao, P.; Wu, X.; Chen, Y.; Feng, Y.; Yang, Q.; Xu, Y.; Zhao, J.; Xie, J. Impaired anti-inflammatory action of glucocorticoid in neutrophil from patients with steroid-resistant asthma. Respir. Res. 2016, 17, 153. [Google Scholar] [CrossRef] [PubMed]
- Peerboom, S.; Graff, S.; Seidel, L.; Paulus, V.; Henket, M.; Sanchez, C.; Guissard, F.; Moermans, C.; Louis, R.; Schleich, F. Predictors of a good response to inhaled corticosteroids in obesity-associated asthma. Biochem. Pharmacol. 2020, 179, 113994. [Google Scholar] [CrossRef] [PubMed]
- Woo, L.N.; Guo, W.Y.; Wang, X.; Young, A.; Salehi, S.; Hin, A.; Zhang, Y.; Scott, J.A.; Chow, C.W. A 4-Week Model of House Dust Mite (HDM) Induced Allergic Airways Inflammation with Airway Remodeling. Sci. Rep. 2018, 8, 6925. [Google Scholar] [CrossRef] [PubMed]
- Branchett, W.J.; Stolting, H.; Oliver, R.A.; Walker, S.A.; Puttur, F.; Gregory, L.G.; Gabrysova, L.; Wilson, M.S.; O’Garra, A.; Lloyd, C.M. A T cell-myeloid IL-10 axis regulates pathogenic IFN-gamma-dependent immunity in a mouse model of type 2-low asthma. J. Allergy Clin. Immunol. 2020, 145, 666–678.e9. [Google Scholar] [CrossRef] [PubMed]
- Bracken, S.J.; Adami, A.J.; Szczepanek, S.M.; Ehsan, M.; Natarajan, P.; Guernsey, L.A.; Shahriari, N.; Rafti, E.; Matson, A.P.; Schramm, C.M.; et al. Long-Term Exposure to House Dust Mite Leads to the Suppression of Allergic Airway Disease Despite Persistent Lung Inflammation. Int. Arch. Allergy Immunol. 2015, 166, 243–258. [Google Scholar] [CrossRef]
- Cates, E.C.; Fattouh, R.; Wattie, J.; Inman, M.D.; Goncharova, S.; Coyle, A.J.; Gutierrez-Ramos, J.-C.; Jordana, M. Intranasal exposure of mice to house dust mite elicits allergic airway inflammation via a GM-CSF-mediated mechanism. J. Immunol. 2004, 173, 6384–6392. [Google Scholar] [CrossRef] [PubMed]
- Yoshioka, M.; Sagara, H.; Takahashi, F.; Harada, N.; Nishio, K.; Mori, A.; Ushio, H.; Shimizu, K.; Okada, T.; Ota, M. Role of multidrug resistance-associated protein 1 in the pathogenesis of allergic airway inflammation. Am. J. Physiol. Lung Cell. Mol. Physiol. 2009, 296, L30–L36. [Google Scholar] [CrossRef]
- Chen, B.; Moore, T.V.; Li, Z.; Sperling, A.I.; Zhang, C.; Andrade, J.; Rodriguez, A.; Bahroos, N.; Huang, Y.; Morrisey, E.E. Gata5 deficiency causes airway constrictor hyperresponsiveness in mice. Am. J. Respir. Cell Mol. Biol. 2014, 50, 787–795. [Google Scholar] [CrossRef]
- Duan, W.; Chan, J.H.; Wong, C.H.; Leung, B.P.; Wong, W.F. Anti-inflammatory effects of mitogen-activated protein kinase kinase inhibitor U0126 in an asthma mouse model. J. Immunol. 2004, 172, 7053–7059. [Google Scholar] [CrossRef] [PubMed]
- Moussa, K.; Gurung, P.; Adams-Huet, B.; Devaraj, S.; Jialal, I. Increased eosinophils in adipose tissue of metabolic syndrome. J. Diabetes Its Complicat. 2019, 33, 535–538. [Google Scholar] [CrossRef] [PubMed]
- Pyun, B.-J.; Lee, J.Y.; Kim, Y.J.; Ji, K.-Y.; Jung, D.H.; Park, K.-S.; Jo, K.; Choi, S.; Jung, M.-A.; Kim, Y.H. Gardenia jasminoides attenuates allergic rhinitis-induced inflammation by inhibiting periostin production. Pharmaceuticals 2021, 14, 986. [Google Scholar] [CrossRef] [PubMed]
- Vicari, A.P.; Schoepfer, A.M.; Meresse, B.; Goffin, L.; Léger, O.; Josserand, S.; Guégan, N.; Yousefi, S.; Straumann, A.; Cerf-Bensussan, N. Discovery and characterization of a novel humanized anti-IL-15 antibody and its relevance for the treatment of refractory celiac disease and eosinophilic esophagitis. mAbs 2017, 9, 927–944. [Google Scholar] [CrossRef] [PubMed]






Disclaimer/Publisher’s Note: The statements, opinions and data contained in all publications are solely those of the individual author(s) and contributor(s) and not of MDPI and/or the editor(s). MDPI and/or the editor(s) disclaim responsibility for any injury to people or property resulting from any ideas, methods, instructions or products referred to in the content. |
© 2024 by the authors. Licensee MDPI, Basel, Switzerland. This article is an open access article distributed under the terms and conditions of the Creative Commons Attribution (CC BY) license (https://creativecommons.org/licenses/by/4.0/).
Share and Cite
Mohamed, M.M.E.; Amrani, Y. Obesity Enhances Non-Th2 Airway Inflammation in a Murine Model of Allergic Asthma. Int. J. Mol. Sci. 2024, 25, 6170. https://doi.org/10.3390/ijms25116170
Mohamed MME, Amrani Y. Obesity Enhances Non-Th2 Airway Inflammation in a Murine Model of Allergic Asthma. International Journal of Molecular Sciences. 2024; 25(11):6170. https://doi.org/10.3390/ijms25116170
Chicago/Turabian StyleMohamed, Marwa M. E., and Yassine Amrani. 2024. "Obesity Enhances Non-Th2 Airway Inflammation in a Murine Model of Allergic Asthma" International Journal of Molecular Sciences 25, no. 11: 6170. https://doi.org/10.3390/ijms25116170
APA StyleMohamed, M. M. E., & Amrani, Y. (2024). Obesity Enhances Non-Th2 Airway Inflammation in a Murine Model of Allergic Asthma. International Journal of Molecular Sciences, 25(11), 6170. https://doi.org/10.3390/ijms25116170
