Generation of Porcine and Rainbow Trout 3D Intestinal Models and Their Use to Investigate Astaxanthin Effects In Vitro
Abstract
1. Introduction
2. Results
2.1. Development and Characterization of Porcine 3D Intestinal Models
2.2. Development and Characterization of Rainbow Trout 3D Intestinal Models
2.3. Antioxidant and Anti-Inflammatory Effects of AST on the Porcine 3D Intestinal Models
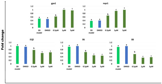
2.4. Antioxidant and Anti-Inflammatory Effects of AST on the Rainbow Trout 3D Intestinal Models
3. Discussion
4. Materials and Methods
4.1. Ethic Statement
4.2. pIF Isolation, Growth, and Maintenance on Standard Plastic Dishes
4.3. pIEC Isolation, Growth, and Maintenance on Standard Plastic Dishes
4.4. Development of Porcine 3D Intestinal Models
4.5. RTF Isolation, Growth, and Maintenance on Standard Plastic Dishes
4.6. RTpi-MI Cell Isolation, Growth, and Maintenance on Standard Plastic Dishes
4.7. Development of Rainbow Trout 3D Intestinal Models
4.8. Histological Analysis
4.9. Trans-Epithelial Electrical Resistance (TEER) Measurement in 3D Intestinal Models
4.10. Permeability Evaluation of 3D Intestinal Models
4.11. AST Exposure of 3D Intestinal Models
4.12. Gene Expression Analysis
4.13. Statistical Analysis
Author Contributions
Funding
Institutional Review Board Statement
Informed Consent Statement
Data Availability Statement
Conflicts of Interest
References
- Yang, C.; Zhang, H.; Liu, R.; Zhu, H.; Zhang, L.; Tsao, R. Bioaccessibility, Cellular Uptake, and Transport of Astaxanthin Isomers and Their Antioxidative Effects in Human Intestinal Epithelial Caco-2 Cells. J. Agric. Food Chem. 2017, 65, 10223–10232. [Google Scholar] [CrossRef]
- Higuera-Ciapara, I.; Félix-Valenzuela, L.; Goycoolea, F.M. Astaxanthin: A Review of Its Chemistry and Applications. Crit. Rev. Food Sci. Nutr. 2006, 46, 185–196. [Google Scholar] [CrossRef] [PubMed]
- Ambati, R.R.; Moi, P.S.; Ravi, S.; Aswathanarayana, R.G. Astaxanthin: Sources, Extraction, Stability, Biological Activities and Its Commercial Applications—A Review. Mar. Drugs 2014, 12, 128–152. [Google Scholar] [CrossRef] [PubMed]
- Augusti, P.R.; Quatrin, A.; Somacal, S.; Conterato, G.M.M.; Sobieski, R.; Ruviaro, A.R.; Maurer, L.H.; Duarte, M.M.F.; Roehrs, M.; Emanuelli, T. Astaxanthin Prevents Changes in the Activities of Thioredoxin Reductase and Paraoxonase in Hypercholesterolemic Rabbits. J. Clin. Biochem. Nutr. 2012, 51, 42–49. [Google Scholar] [CrossRef] [PubMed]
- Liu, A.; He, M.; Liu, C.; Ye, Z.; Tan, C.P.; Liu, Y.; Gong, J.; Lei, J.; He, Y.; Zhu, S.; et al. Prevention of Hypercholesterolemia with “Liposomes in Microspheres” Composite Carriers: A Promising Approach for Intestinal-Targeted Oral Delivery of Astaxanthin. J. Agric. Food Chem. 2024, 72, 6118–6132. [Google Scholar] [CrossRef] [PubMed]
- Davinelli, S.; Saso, L.; Angeli, F.D.; Calabrese, V.; Intrieri, M.; Scapagnini, G. Astaxanthin Molecular Mechanisms and Possible Clinical Applications. Molecules 2022, 2, 502. [Google Scholar] [CrossRef] [PubMed]
- Ma, B.; Lu, J.; Kang, T.; Zhu, M.; Xiong, K.; Wang, J. Astaxanthin Supplementation Mildly Reduced Oxidative Stress and Inflammation Biomarkers: A Systematic Review and Meta-Analysis of Randomized Controlled Trials. Nutr. Res. 2022, 99, 40–50. [Google Scholar] [CrossRef] [PubMed]
- Rostami, S.; Alyasin, A.; Saedi, M.; Nekoonam, S.; Khodarahmian, M.; Moeini, A.; Amidi, F. Astaxanthin Ameliorates Inflammation, Oxidative Stress, and Reproductive Outcomes in Endometriosis Patients Undergoing Assisted Reproduction: A Randomized, Triple-Blind Placebo-Controlled Clinical Trial. Front. Endocrinol. 2023, 14, 1144323. [Google Scholar] [CrossRef] [PubMed]
- Igielska-Kalwat, J.; Gościańska, J.; Nowak, I. Carotenoids as Natural Antioxidants [Karotenoidy Jako Naturalne Antyoksydanty]. Postepy Hig. Med. Dosw. 2015, 69, 418–428. [Google Scholar] [CrossRef]
- Jia, Y.; Wu, C.; Kim, J.; Kim, B.; Lee, S.J. Astaxanthin Reduces Hepatic Lipid Accumulations in High-Fat-Fed C57BL/6J Mice via Activation of Peroxisome Proliferator-Activated Receptor (PPAR) Alpha and Inhibition of PPAR Gamma and Akt. J. Nutr. Biochem. 2016, 28, 9–18. [Google Scholar] [CrossRef]
- Zhang, Z.; Guo, C.; Jiang, H.; Han, B.; Wang, X.; Li, S.; Lv, Y.; Lv, Z.; Zhu, Y. Inflammation Response after the Cessation of Chronic Arsenic Exposure and Post-Treatment of Natural Astaxanthin in Liver: Potential Role of Cytokine-Mediated Cell-Cell Interactions. Food Funct. 2020, 11, 9252–9262. [Google Scholar] [CrossRef] [PubMed]
- Lima, S.G.M.; Freire, M.C.L.C.; Oliveira, V.d.S.; Solisio, C.; Converti, A.; de Lima, Á.A.N. Astaxanthin Delivery Systems for Skin Application: A Review. Mar. Drugs 2021, 19, 511. [Google Scholar] [CrossRef] [PubMed]
- Suganuma, K.; Nakajima, H.; Ohtsuki, M.; Imokawa, G. Astaxanthin Attenuates the UVA-Induced up-Regulation of Matrix-Metalloproteinase-1 and Skin Fibroblast Elastase in Human Dermal Fibroblasts. J. Dermatol. Sci. 2010, 58, 136–142. [Google Scholar] [CrossRef] [PubMed]
- Hama, S.; Takahashi, K.; Inai, Y.; Shiota, K.; Sakamoto, R.; Yamada, A.; Tsuchiya, H.; Kanamura, K.; Yamashita, E.; Kogure, K. Protective Effects of Topical Application of a Poorly Soluble Antioxidant Astaxanthin Liposomal Formulation on Ultraviolet-Induced Skin Damage. J. Pharm. Sci. 2012, 101, 2909–2916. [Google Scholar] [CrossRef] [PubMed]
- Rao, A.R.; Sindhuja, H.N.; Dharmesh, S.M.; Sankar, K.U.; Sarada, R.; Ravishankar, G.A. Effective Inhibition of Skin Cancer, Tyrosinase, and Antioxidative Properties by Astaxanthin and Astaxanthin Esters from the Green Alga Haematococcus Pluvialis. J. Agric. Food Chem. 2013, 61, 3842–3851. [Google Scholar] [CrossRef] [PubMed]
- Imokawa, G. The Xanthophyll Carotenoid Astaxanthin Has Distinct Biological Effects to Prevent the Photoaging of the Skin Even by Its Postirradiation Treatment. Photochem. Photobiol. 2019, 95, 490–500. [Google Scholar] [CrossRef] [PubMed]
- Eren, B.; Tuncay Tanrıverdi, S.; Aydın Köse, F.; Özer, Ö. Antioxidant Properties Evaluation of Topical Astaxanthin Formulations as Anti-Aging Products. J. Cosmet. Dermatol. 2019, 18, 242–250. [Google Scholar] [CrossRef] [PubMed]
- Yoshihisa, Y.; Andoh, T.; Matsunaga, K.; Ur Rehman, M.; Maoka, T.; Shimizu, T. Efficacy of Astaxanthin for the Treatment of Atopic Dermatitis in a Murine Model. PLoS ONE 2016, 11, e0152288. [Google Scholar] [CrossRef] [PubMed]
- Davinelli, S.; Nielsen, M.E.; Scapagnini, G. Astaxanthin in Skin Health, Repair, and Disease: A Comprehensive Review. Nutrients 2018, 10, 522. [Google Scholar] [CrossRef]
- Kalinowski, C.T.; Betancor, M.B.; Torrecillas, S.; Sprague, M.; Larroquet, L.; Véron, V.; Panserat, S.; Izquierdo, M.S.; Kaushik, S.J.; Fontagné-Dicharry, S. More Than an Antioxidant: Role of Dietary Astaxanthin on Lipid and Glucose Metabolism in the Liver of Rainbow Trout (Oncorhynchus Mykiss). Antioxidants 2023, 12, 136. [Google Scholar] [CrossRef]
- Akiba, Y.; Sato, K.; Takahashi, K.; Matsushita, K.; Komiyama, H.; Tsunekawa, H.; Nagao, H. Meat Color Modification in Broiler Chickens by Feeding Yeast Phaffia Rhodozyma Containing High Concentrations of Astaxanthin. J. Appl. Poult. Res. 2001, 10, 154–161. [Google Scholar] [CrossRef]
- Besharat, M.; Islami, H.R.; Soltani, M.; Mousavi, S.A. Effects of Dietary Nanoliposome-Coated Astaxanthin on Haematological Parameters, Immune Responses and the Antioxidant Status of Rainbow Trout (Oncorhynchus Mykiss). Vet. Med. Sci. 2024, 10, e1461. [Google Scholar] [CrossRef] [PubMed]
- Shastak, Y.; Pelletier, W. Captivating Colors, Crucial Roles: Astaxanthin’s Antioxidant Impact on Fish Oxidative Stress and Reproductive Performance. Animals 2023, 13, 3357. [Google Scholar] [CrossRef] [PubMed]
- Shabanzadeh, S.; Vatandoust, S.; Hosseinifard, S.M.; Sheikhzadeh, N.; Shahbazfar, A.A. Dietary Astaxanthin (Lucantin® Pink) Mitigated Oxidative Stress Induced by Diazinon in Rainbow Trout (Oncorhynchus Mykiss). Vet. Res. Forum 2023, 14, 97–104. [Google Scholar] [CrossRef]
- Rahman, M.M.; Khosravi, S.; Chang, K.H.; Lee, S.M. Effects of Dietary Inclusion of Astaxanthin on Growth, Muscle Pigmentation and Antioxidant Capacity of Juvenile Rainbow Trout (Oncorhynchus Mykiss). Prev. Nutr. Food Sci. 2016, 21, 281–288. [Google Scholar] [CrossRef] [PubMed]
- Zhao, W.; Guo, Y.C.; Huai, M.Y.; Li, L.; Man, C.; Pelletier, W.; Wei, H.L.; Yao, R.; Niu, J. Comparison of the Retention Rates of Synthetic and Natural Astaxanthin in Feeds and Their Effects on Pigmentation, Growth, and Health in Rainbow Trout (Oncorhynchus Mykiss). Antioxidants 2022, 11, 2473. [Google Scholar] [CrossRef]
- Elbahnaswy, S.; Elshopakey, G.E. Recent Progress in Practical Applications of a Potential Carotenoid Astaxanthin in Aquaculture Industry: A Review. Fish. Physiol. Biochem. 2024, 50, 97–126. [Google Scholar] [CrossRef] [PubMed]
- Carr, C.C.; Johnson, D.D.; Brendemuhl, J.H.; Gonzalez, J.M. Fresh Pork Quality and Shelf-Life Characteristics of Meat from Pigs Supplemented with Natural Astaxanthin in the Diet. Prof. Anim. Sci. 2010, 26, 18–25. [Google Scholar] [CrossRef]
- Bergstrom, J.R.; Nelssen, J.L.; Tokach, M.D.; DeRouchey, J.M.; Goodband, R.D.; Dritz, S.S. An Evaluation of Astaxanthin as a Nutraceutical Growth Promoter in Starter Diets for Weanling Pigs; Kansas Agricultural Experiment Station Research Reports; Center for the Advancement of Digital Scholarship K-State Libraries: Manhattan, KS, USA, 2007. [Google Scholar] [CrossRef]
- Szczepanik, K.; Oczkowicz, M.; Dobrowolski, P.; Świątkiewicz, M. The Protective Effects of Astaxanthin (AST) in the Liver of Weaned Piglets. Animals 2023, 13, 3268. [Google Scholar] [CrossRef]
- Tian, Y.; Che, H.; Yang, J.; Jin, Y.; Yu, H.; Wang, C.; Fu, Y.; Li, N.; Zhang, J. Astaxanthin Alleviates Aflatoxin B1-Induced Oxidative Stress and Apoptosis in IPEC-J2 Cells via the Nrf2 Signaling Pathway. Toxins 2023, 15, 232. [Google Scholar] [CrossRef]
- Zakrzewski, S.S.; Richter, J.F.; Krug, S.M.; Jebautzke, B.; Lee, I.F.M.; Rieger, J.; Sachtleben, M.; Bondzio, A.; Schulzke, J.D.; Fromm, M.; et al. Improved Cell Line IPEC-J2, Characterized as a Model for Porcine Jejunal Epithelium. PLoS ONE 2013, 8, e79643. [Google Scholar] [CrossRef] [PubMed]
- Nossol, C.; Barta-Böszörményi, A.; Kahlert, S.; Zuschratter, W.; Faber-Zuschratter, H.; Reinhardt, N.; Ponsuksili, S.; Wimmers, K.; Diesing, A.K.; Rothkötter, H.J. Comparing Two Intestinal Porcine Epithelial Cell Lines (IPECs): Morphological Differentiation, Function and Metabolism. PLoS ONE 2015, 10, e0132323. [Google Scholar] [CrossRef] [PubMed]
- Yalcin, G.D.; Yilmaz, K.C.; Dilber, T.; Acar, A. Investigation of Evolutionary Dynamics for Drug Resistance in 3D Spheroid Model System Using Cellular Barcoding Technology. PLoS ONE 2023, 18, e0291942. [Google Scholar] [CrossRef] [PubMed]
- Ponce de León-Rodríguez, M.D.C.; Guyot, J.P.; Laurent-Babot, C. Intestinal in Vitro Cell Culture Models and Their Potential to Study the Effect of Food Components on Intestinal Inflammation. Crit. Rev. Food Sci. Nutr. 2019, 59, 3648–3666. [Google Scholar] [CrossRef] [PubMed]
- Le, N.P.K.; Altenburger, M.J.; Lamy, E. Development of an Inflammation-Triggered In Vitro “Leaky Gut” Model Using Caco-2/HT29-MTX-E12 Combined with Macrophage-like THP-1 Cells or Primary Human-Derived Macrophages. Int. J. Mol. Sci. 2023, 24, 7427. [Google Scholar] [CrossRef] [PubMed]
- Arcuri, S.; Pennarossa, G.; De Iorio, T.; Gandolfi, F.; Brevini, T.A.L. 3D ECM-Based Scaffolds Boost Young Cell Secretome-Derived EV Rejuvenating Effects in Senescent Cells. Int. J. Mol. Sci. 2023, 24, 8285. [Google Scholar] [CrossRef] [PubMed]
- Pennarossa, G.; De Iorio, T.; Arcuri, S.; Gandolfi, F.; Brevini, T.A.L. Synergistic Effect of MiR-200 and Young Extracellular Matrix-Based Bio-Scaffolds to Reduce Signs of Aging in Senescent Fibroblasts. Stem Cell Rev. Rep. 2023, 19, 417–429. [Google Scholar] [CrossRef] [PubMed]
- Pennarossa, G.; Manzoni, E.F.M.; Ledda, S.; deEguileor, M.; Gandolfi, F.; Brevini, T.A.L. Use of a PTFE Micro-Bioreactor to Promote 3D Cell Rearrangement and Maintain High Plasticity in Epigenetically Erased Fibroblasts. Stem Cell Rev. Rep. 2019, 15, 82–92. [Google Scholar] [CrossRef] [PubMed]
- Chaudhari, A.A.; Joshi, S.; Vig, K.; Sahu, R.; Dixit, S.; Baganizi, R.; Dennis, V.A.; Singh, S.R.; Pillai, S. A Three-Dimensional Human Skin Model to Evaluate the Inhibition of Staphylococcus Aureus by Antimicrobial Peptide-Functionalized Silver Carbon Nanotubes. J. Biomater. Appl. 2019, 33, 924–934. [Google Scholar] [CrossRef]
- Costello, L.; Darling, N.; Freer, M.; Bradbury, S.; Mobbs, C.; Przyborski, S. Use of Porous Polystyrene Scaffolds to Bioengineer Human Epithelial Tissues In Vitro. In Next Generation Culture Platforms for Reliable In Vitro Models; Springer: Berlin/Heidelberg, Germany, 2021; Volume 2273, ISBN 9781071612453. [Google Scholar]
- Roger, M.; Fullard, N.; Costello, L.; Bradbury, S.; Markiewicz, E.; O’Reilly, S.; Darling, N.; Ritchie, P.; Määttä, A.; Karakesisoglou, I.; et al. Bioengineering the Microanatomy of Human Skin. J. Anat. 2019, 234, 438–455. [Google Scholar] [CrossRef]
- Darling, N.J.; Mobbs, C.L.; González-Hau, A.L.; Freer, M.; Przyborski, S. Bioengineering Novel in Vitro Co-Culture Models That Represent the Human Intestinal Mucosa With Improved Caco-2 Structure and Barrier Function. Front. Bioeng. Biotechnol. 2020, 8, 992. [Google Scholar] [CrossRef] [PubMed]
- Mobbs, C.L.; Darling, N.J.; Przyborski, S. An in Vitro Model to Study Immune Activation, Epithelial Disruption and Stromal Remodelling in Inflammatory Bowel Disease and Fistulising Crohn’s Disease. Front. Immunol. 2024, 15, 1357690. [Google Scholar] [CrossRef] [PubMed]
- Pennarossa, G.; Arcuri, S.; Pasquariello, R.; Gandolfi, F.; Maranesi, M.; Brevini, T.A.L. Cruciferous Vegetable-Derived Indole-3-Carbinol Prevents Coronavirus Cell Egression Mechanisms in Tracheal and Intestinal 3D in Vitro Models. Phytochemistry 2023, 212, 113713. [Google Scholar] [CrossRef] [PubMed]
- Costello, L.; Fullard, N.; Roger, M.; Bradbury, S.; Dicolandrea, T.; Isfort, R.; Bascom, C.; Przyborski, S. Engineering a Multilayered Skin Equivalent: The Importance of Endogenous Extracellular Matrix Maturation to Provide Robustness and Reproducibility. In Methods in Molecular Biology; Springer: Berlin/Heidelberg, Germany, 2019; Volume 1993. [Google Scholar]
- Díez, M.; Przyborski, S.; del Cerro, A.; Alonso-Guervós, M.; Iglesias-Cabo, T.; Carrocera, S.; García, M.; Fernández, M.; Alonso, L.; Muñoz, M. Generation of a Novel Three-Dimensional Scaffold-Based Model of the Bovine Endometrium. Vet. Res. Commun. 2023, 47, 1721–1733. [Google Scholar] [CrossRef] [PubMed]
- Francés-Herrero, E.; Lopez, R.; Hellström, M.; De Miguel-Gómez, L.; Herraiz, S.; Brännström, M.; Pellicer, A.; Cervelló, I. Bioengineering Trends in Female Reproduction: A Systematic Review. Hum. Reprod. Update 2022, 28, 798–837. [Google Scholar] [CrossRef] [PubMed]
- Bernardo, M.E.; Fibbe, W.E. Mesenchymal Stromal Cells: Sensors and Switchers of Inflammation. Cell Stem Cell 2013, 13, 392–402. [Google Scholar] [CrossRef] [PubMed]
- Kedinger, M.; Duluc, I.; Fritsch, C.; Lorentz, O.; Plateroti, M.; Freund, J.N. Intestinal epithelial-mesenchymal cell interactions. Ann. N. Y. Acad. Sci. 1998, 859, 1–17. [Google Scholar] [CrossRef] [PubMed]
- Pennarossa, G.; De Iorio, T.; Gandolfi, F.; Brevini, T.A.L. Impact of Aging on the Ovarian Extracellular Matrix and Derived 3D Scaffolds. Nanomaterials 2022, 12, 345. [Google Scholar] [CrossRef] [PubMed]
- Brosnahan, A.J.; Brown, D.R. Porcine IPEC-J2 Intestinal Epithelial Cells in Microbiological Investigations. Vet. Microbiol. 2012, 156, 229–237. [Google Scholar] [CrossRef]
- Pi, G.; Song, W.; Wu, Z.; Li, Y.; Yang, H. Comparison of Expression Profiles between Undifferentiated and Differentiated Porcine IPEC-J2 Cells. Porcine Health Manag. 2022, 8, 4. [Google Scholar] [CrossRef]
- von Köckritz-Blickwede, M.; Zeitouni, N.; Fandrey, J.; Naim, H.Y. Measuring Oxygen Levels in Caco-2 Cultures. Hypoxia 2015, 53, 53–66. [Google Scholar] [CrossRef] [PubMed]
- Briske-Anderson, M.J.; Finley, J.W.; Newman, S.M. The Influence of Culture Time and Passage Number on the Morphological and Physiological Development of Caco-2 Cells. Proc. Soc. Exp. Biol. Med. 1997, 214, 248–257. [Google Scholar] [CrossRef] [PubMed]
- Brückner, B.R.; Janshoff, A. Importance of Integrity of Cell-Cell Junctions for the Mechanics of Confluent MDCK II Cells. Sci. Rep. 2018, 8, 14117. [Google Scholar] [CrossRef] [PubMed]
- Kochi, T.; Shimizu, M.; Sumi, T.; Kubota, M.; Shirakami, Y.; Tanaka, T.; Moriwaki, H. Inhibitory Effects of Astaxanthin on Azoxymethaneinduced Colonic Preneoplastic Lesions in C57/BL/KsJ-Db/Db Mice. BMC Gastroenterol. 2014, 14, 212. [Google Scholar] [CrossRef] [PubMed]
- Pasquariello, R.; Verdile, N.; Pavlovic, R.; Panseri, S.; Schirmer, K.; Brevini, T.A.L.; Gandolfi, F. New Stable Cell Lines Derived from the Proximal and Distal Intestine of Rainbow Trout (Oncorhynchus mykiss) Retain Several Properties Observed In Vivo. Cells 2021, 10, 1555. [Google Scholar] [CrossRef]
- Campisi, A.; Sposito, G.; Grasso, R.; Bisicchia, J.; Spatuzza, M.; Raciti, G.; Scordino, A.; Pellitteri, R. Effect of Astaxanthin on Tissue Transglutaminase and Cytoskeletal Protein Expression in Amyloid-Beta Stressed Olfactory Ensheathing Cells: Molecular and Delayed Luminescence Studies. Antioxidants 2023, 12, 750. [Google Scholar] [CrossRef]




| Gene | Description | Cat.N./Accession No. | Species |
|---|---|---|---|
| ACTB | Actin, beta | Ss06827219_s1 | Porcine |
| CLDN1 | Claudin 1 | Ss03375708_u1 | Porcine |
| GAPDH | Glyceraldehyde-3-phosphate dehydrogenase | Ss03373052_u1 | Porcine |
| GPX1 | Glutathione peroxidase 1 | Ss03383336_u1 | Porcine |
| IL1β | Interleukin 1, beta | Ss03821899_s1 | Porcine |
| IL6 | Interleukin 6 | Ss03394904_g1 | Porcine |
| IL8 | Interleukin 8 | Ss03392437_m1 | Porcine |
| NADPH1 | NAD(P)H quinone dehydrogenase 1 | Ss04246167_m1 | Porcine |
| OCLN | Occludin | Ss06867496_m1 | Porcine |
| THY1 | Thy-1 cell surface antigen | Ss03376963_u1 | Porcine |
| TJP1 | Zonula Occludens 1 | Ss03373514_m1 | Porcine |
| VIL1 | Villin 1 | Ss06886976_m1 | Porcine |
| VIM | Vimentin | Ss04330801_gH | Porcine |
| actb | Actin | NM_001124235 | Rainbow Trout |
| ef1 | Elongation factor 1 | NM_001124339.1 | Rainbow Trout |
| vil1 | Villin 1 | XM_021579239 | Rainbow Trout |
| tjp1 | Zonula Occludens 1 | XM_021607172.1 | Rainbow Trout |
| cldn3 | Claudin 3 | XM_021587920 | Rainbow Trout |
| cdh1 | e-Cadherin | XM_021607117 | Rainbow Trout |
| gpx1 | Glutathione peroxidase 1 | NM_001124525.1 | Rainbow Trout |
| nadph1 | NAD(P)H quinone dehydrogenase 1 | XM_021561062.2 | Rainbow Trout |
| il1β | Interleukin 1, beta | XM_036979104.1 | Rainbow Trout |
| il6 | Interleukin 6 | NM_001124657.1 | Rainbow Trout |
| il8 | Interleukin 8 | NM_001124362.1 | Rainbow Trout |
Disclaimer/Publisher’s Note: The statements, opinions and data contained in all publications are solely those of the individual author(s) and contributor(s) and not of MDPI and/or the editor(s). MDPI and/or the editor(s) disclaim responsibility for any injury to people or property resulting from any ideas, methods, instructions or products referred to in the content. |
© 2024 by the authors. Licensee MDPI, Basel, Switzerland. This article is an open access article distributed under the terms and conditions of the Creative Commons Attribution (CC BY) license (https://creativecommons.org/licenses/by/4.0/).
Share and Cite
Arcuri, S.; Pennarossa, G.; Pasquariello, R.; Prasadani, M.; Gandolfi, F.; Brevini, T.A.L. Generation of Porcine and Rainbow Trout 3D Intestinal Models and Their Use to Investigate Astaxanthin Effects In Vitro. Int. J. Mol. Sci. 2024, 25, 5966. https://doi.org/10.3390/ijms25115966
Arcuri S, Pennarossa G, Pasquariello R, Prasadani M, Gandolfi F, Brevini TAL. Generation of Porcine and Rainbow Trout 3D Intestinal Models and Their Use to Investigate Astaxanthin Effects In Vitro. International Journal of Molecular Sciences. 2024; 25(11):5966. https://doi.org/10.3390/ijms25115966
Chicago/Turabian StyleArcuri, Sharon, Georgia Pennarossa, Rolando Pasquariello, Madhusha Prasadani, Fulvio Gandolfi, and Tiziana A. L. Brevini. 2024. "Generation of Porcine and Rainbow Trout 3D Intestinal Models and Their Use to Investigate Astaxanthin Effects In Vitro" International Journal of Molecular Sciences 25, no. 11: 5966. https://doi.org/10.3390/ijms25115966
APA StyleArcuri, S., Pennarossa, G., Pasquariello, R., Prasadani, M., Gandolfi, F., & Brevini, T. A. L. (2024). Generation of Porcine and Rainbow Trout 3D Intestinal Models and Their Use to Investigate Astaxanthin Effects In Vitro. International Journal of Molecular Sciences, 25(11), 5966. https://doi.org/10.3390/ijms25115966

