Triple-Negative Breast Cancer Subclassified by Immunohistochemistry: Correlation with Clinical and Pathological Outcomes in Patients Receiving Neoadjuvant Chemotherapy
Abstract
1. Introduction
2. Results
3. Discussion
4. Materials and Methods
4.1. Sample Selection and Outcome Definitions
4.2. IHC Analysis and Interpretation
4.3. Statistical Analysis
5. Conclusions
Supplementary Materials
Author Contributions
Funding
Institutional Review Board Statement
Informed Consent Statement
Data Availability Statement
Acknowledgments
Conflicts of Interest
References
- Cancer Research UK. Triple Negative Breast Cancer; Cancer Research UK: London, UK, 2023; Available online: https://www.cancerresearchuk.org/about-cancer/breast-cancer/types/triple-negative-breast-cancer (accessed on 1 March 2023).
- de Paula, B.; Kieran, R.; Koh, S.S.; Crocamo, S.; Abdelhay, E.; Muñoz-Espín, D. Targeting Senescence as a Therapeutic Opportunity for Triple-Negative Breast Cancer. Mol. Cancer Ther. 2023, 22, 583–598. [Google Scholar] [CrossRef] [PubMed]
- Rala de Paula, B.H.; Kumar, S.; Morosini, F.M.; Cardoso, D.E.C.; de Sousa, C.A.; Crocamo, S. Real-world assessment of the effect of impact of tumor size on pathological complete response rates in triple negative breast cancer after neoadjuvant chemotherapy. Chin. Clin. Oncol. 2020, 9, 78. [Google Scholar] [CrossRef] [PubMed]
- Marra, A.; Trapani, D.; Viale, G.; Criscitiello, C.; Curigliano, G. Practical classification of triple-negative breast cancer: Intratumoral heterogeneity, mechanisms of drug resistance, and novel therapies. NPJ Breast Cancer 2020, 6, 54. [Google Scholar] [CrossRef] [PubMed]
- Lehmann, B.D.; Bauer, J.A.; Chen, X.; Sanders, M.E.; Chakravarthy, A.B.; Shyr, Y.; Pietenpol, J.A. Identification of human triple-negative breast cancer subtypes and preclinical models for selection of targeted therapies. J. Clin. Investig. 2011, 121, 2750–2767. [Google Scholar] [CrossRef] [PubMed]
- Burstein, M.D.; Tsimelzon, A.; Poage, G.M.; Covington, K.R.; Contreras, A.; Fuqua, S.A.; Savage, M.I.; Osborne, C.K.; Hilsenbeck, S.G.; Chang, J.C.; et al. Comprehensive Genomic Analysis Identifies Novel Subtypes and Targets of Triple-Negative Breast Cancer. Clin. Cancer Res. 2015, 21, 1688–1698. [Google Scholar] [CrossRef] [PubMed]
- Liu, Y.-R.; Jiang, Y.-Z.; Xu, X.-E.; Yu, K.-D.; Jin, X.; Hu, X.; Zuo, W.-J.; Hao, S.; Wu, J.; Liu, G.-Y.; et al. Comprehensive transcriptome analysis identifies novel molecular subtypes and subtype-specific RNAs of triple-negative breast cancer. Breast Cancer Res. 2016, 18, 33. [Google Scholar] [CrossRef] [PubMed]
- Bianchini, G.; De Angelis, C.; Licata, L.; Gianni, L. Treatment landscape of triple-negative breast cancer—Expanded options, evolving needs. Nat. Rev. Clin. Oncol. 2022, 19, 91–113. [Google Scholar] [CrossRef]
- Yang, R.; Li, Y.; Wang, H.; Qin, T.; Yin, X.; Ma, X. Therapeutic progress and challenges for triple negative breast cancer: Targeted therapy and immunotherapy. Mol. Biomed. 2022, 3, 8. [Google Scholar] [CrossRef] [PubMed]
- Rossi, C.; Fraticelli, S.; Fanizza, M.; Ferrari, A.; Ferraris, E.; Messina, A.; Della Valle, A.; Anghelone, C.A.P.; Lasagna, A.; Rizzo, G.; et al. Concordance of immunohistochemistry for predictive and prognostic factors in breast cancer between biopsy and surgical excision: A single-centre experience and review of the literature. Breast Cancer Res. Treat. 2023, 198, 573–582. [Google Scholar] [CrossRef]
- Choi, J.; Jung, W.-H.; Koo, J.S. Clinicopathologic features of molecular subtypes of triple negative breast cancer based on immunohistochemical markers. Histol. Histopathol. 2012, 27, 1481–1493. [Google Scholar]
- Kim, S.; Moon, B.-I.; Lim, W.; Park, S.; Cho, M.S.; Sung, S.H. Feasibility of Classification of Triple Negative Breast Cancer by Immunohistochemical Surrogate Markers. Clin. Breast Cancer 2018, 18, e1123–e1132. [Google Scholar] [CrossRef] [PubMed]
- Kumar, S.M.; Bal, A.M.; Das, A.M.; Bhattacharyya, S.; Laroiya, I.; Khare, S.; Singh, G. Molecular Subtyping of Triple Negative Breast Cancer by Surrogate Immunohistochemistry Markers. Appl. Immunohistochem. Mol. Morphol. 2020, 29, 251–257. [Google Scholar] [CrossRef] [PubMed]
- Zhao, S.; Ma, D.; Xiao, Y.; Li, X.-M.; Ma, J.-L.; Zhang, H.; Xu, X.-L.; Lv, H.; Jiang, W.-H.; Yang, W.-T.; et al. Molecular Subtyping of Triple-Negative Breast Cancers by Immunohistochemistry: Molecular Basis and Clinical Relevance. Oncologist 2020, 25, e1481–e1491. [Google Scholar] [CrossRef]
- Yoo, T.-K.; Kang, J.; Lee, A.; Chae, B.J. A triple-negative breast cancer surrogate subtype classification that correlates with gene expression subtypes. Breast Cancer Res. Treat. 2022, 191, 599–610. [Google Scholar] [CrossRef] [PubMed]
- Lian, J.; Ma, H.-X.; Xu, E.-W.; Bu, P.; Yun, K.-M.; Xi, Y.-F. Subclassifying triple-negative breast cancers and its potential clinical utility. Virchows Arch. 2022, 481, 13–21. [Google Scholar] [CrossRef] [PubMed]
- Leeha, M.; Kanokwiroon, K.; Laohawiriyakamol, S.; Thongsuksai, P. Immunohistochemistry-based molecular subtyping of triple-negative breast cancer and its prognostic significance. Pathol. Oncol. Res. 2023, 29, 1611162. [Google Scholar] [CrossRef] [PubMed]
- Hu, H.; Tong, K.; Tsang, J.; Ko, C.; Tam, F.; Loong, T.; Tse, G. Subtyping of triple-negative breast cancers: Its prognostication and implications in diagnosis of breast origin. ESMO Open 2024, 9, 102993. [Google Scholar] [CrossRef] [PubMed]
- Jääskeläinen, A.; Soini, Y.; Jukkola-Vuorinen, A.; Auvinen, P.; Haapasaari, K.-M.; Karihtala, P. High-level cytoplasmic claudin 3 expression is an independent predictor of poor survival in triple-negative breast cancer. BMC Cancer 2018, 18, 223. [Google Scholar] [CrossRef] [PubMed]
- Oakman, C.; Viale, G.; Di Leo, A. Management of triple negative breast cancer. Breast 2010, 19, 312–321. [Google Scholar] [CrossRef]
- Lluch, A.; Barrios, C.H.; Torrecillas, L.; Ruiz-Borrego, M.; Bines, J.; Segalla, J.; Guerrero-Zotano, Á.; García-Sáenz, J.A.; Torres, R.; de la Haba, J.; et al. Phase III Trial of Adjuvant Capecitabine After Standard Neo-/Adjuvant Chemotherapy in Patients with Early Triple-Negative Breast Cancer (GEICAM/2003-11\_CIBOMA/2004-01). J. Clin. Oncol. 2020, 38, 203–213. [Google Scholar] [CrossRef]
- Mayer, I.A.; Zhao, F.; Arteaga, C.L.; Symmans, W.F.; Park, B.H.; Burnette, B.L.; Tevaarwerk, A.J.; Garcia, S.F.; Smith, K.L.; Makower, D.F.; et al. Randomized Phase III Postoperative Trial of Platinum-Based Chemotherapy Versus Capecitabine in Patients with Residual Triple-Negative Breast Cancer Following Neoadjuvant Chemotherapy: ECOG-ACRIN EA1131. J. Clin. Oncol. 2021, 39, 2539–2551. [Google Scholar] [CrossRef] [PubMed]
- Han, H.S.; Vikas, P.; Costa, R.L.; Jahan, N.; Taye, A.; Stringer-Reasor, E.M. Early-Stage Triple-Negative Breast Cancer Journey: Beginning, End, and Everything in Between. Am. Soc. Clin. Oncol. Educ. B 2023, 43, e390464. [Google Scholar] [CrossRef] [PubMed]
- Yin, L.; Duan, J.-J.; Bian, X.-W.; Yu, S. Triple-negative breast cancer molecular subtyping and treatment progress. Breast Cancer Res. 2020, 22, 61. [Google Scholar] [CrossRef] [PubMed]
- Xu, M.; Yuan, Y.; Yan, P.; Jiang, J.; Ma, P.; Niu, X.; Ma, S.; Cai, H.; Yang, K. Prognostic Significance of Androgen Receptor Expression in Triple Negative Breast Cancer: A Systematic Review and Meta-Analysis. Clin. Breast Cancer 2020, 20, e385–e396. [Google Scholar] [CrossRef] [PubMed]
- Fizazi, K.; Foulon, S.; Carles, J.; Roubaud, G.; McDermott, R.; Fléchon, A.; Tombal, B.; Supiot, S.; Berthold, D.; Ronchin, P.; et al. Abiraterone plus prednisone added to androgen deprivation therapy and docetaxel in de novo metastatic castration-sensitive prostate cancer (PEACE-1): A multicentre, open-label, randomised, phase 3 study with a 2 × 2 factorial design. Lancet 2022, 399, 1695–1707. [Google Scholar] [CrossRef] [PubMed]
- Aldrich, J.; Canning, M.; Bhave, M. Monitoring of Triple Negative Breast Cancer After Neoadjuvant Chemotherapy. Clin. Breast Cancer 2023, 23, 832–834. [Google Scholar] [CrossRef]
- Asleh, K.; Riaz, N.; Nielsen, T.O. Heterogeneity of triple negative breast cancer: Current advances in subtyping and treatment implications. J. Exp. Clin. Cancer Res. 2022, 41, 265. [Google Scholar] [CrossRef]
- Schneider, C.A.; Rasband, W.S.; Eliceiri, K.W. NIH Image to ImageJ: 25 years of image analysis. Nat. Methods 2012, 9, 671–675. [Google Scholar] [CrossRef]




| Choi J et al., 2012 [11] | Kim S et al., 2018 [12] | Kumar S et al., 2020 [13] | Zhao S et al., 2020 [14] | Yoo T-K et al., 2021 [15] | Lian J et al., 2022 [16] | Leeha M et al., 2023 [17] | Hu H. et al. [18] | |||
|---|---|---|---|---|---|---|---|---|---|---|
| Total subjects | 122 | 200 | 245 | 210 | 183 | 214 | 145 | 93 | 195 | 123 |
| Methods used for subtyping | IHC | IHC | IHC | RNA and Gene expression and IHC staining | RNA and Gene expression and IHC staining | IHC | RNA and Gene expression and IHC staining | IHC | ||
| Adjuvant treatment | Chemo or radiation based on staging | NR | NR | ~93% (taxane 75.7% and non-taxane 17.6%) | ~90% (62.8% and 26.8%) | ~91% (84.1% and 7.0%) | NR | NR | ~ 90% (regimen not disclosed) | NR |
| IHC-Apocrine/LAR definition | AR and/or GGT1 > 10% | AR > 1% | AR ≥ 1% | AR ≥ 10% | AR Allred score 8 (5 + 3) | AR ≥ 10% | AR Allred score 8 (5 + 3) | AR ≥ 10%, regardless of the expression of other markers) | ||
| IHC-BLIS definition | NR | FOXC1 ≥ 4 and IDO-1 ≤ 10% | NR | AR–, CD8-, FOXC1 > 10% | NR | TIL low; AR < 10%; CD8 < 20%; FOXC1 ≥10% | NR | AR < 10%, CD8 TIL < 20%, FOX-C1 < 10%, and regardless of DCLK1 values | ||
| IHC-BLIA or IM definition | NR | IDO-1 > 10% and FOX-C1 < 4 | NR | AR– and CD8 TIL activated ≥20% | LAR-negative and TIL score > 70% | AR <10%; TIL high; CD8 ≥ 20% | LAR-negative and TIL score > 70% | AR < 10%, CD8 TIL ≥ 20%, and regardless of FOX-C1 and DCLK1 values | ||
| IHC-Basal definition | CK5/6 > 10% and/or EGFR moderate or intense | CK5/6 and/or EGFR > 1% | BL1: EGFR < 4, CK5/6 ≥ 4 and/or CK4/14 ≥ 4 | NR | LAR -, IM -, MES -, and with diffuse and strong p16 staining | NR | NR | CK5/6 and or EGFR+ | ||
| BL2: EGFR ≥ 4, irrespective of CK5/6 and/or CK4/14 result | ||||||||||
| IHC-Claudin-low/Mesenchymal definition | Claudin 3, 4, 7 negative and/or e-cadherin negative | Claudin-3 negative and or e-Cadherin negative | E-cadherin, Claudin 3 and 7 ≥ 4, Vimentin ≥ 4 | AR–CD8-FOXC1-DCLK1 ≥ 10% | LAR negative and TIL score < 20% | Metaplastic features; AR < 10%; CD8 < 20%; FOXC1 < 10% | LAR negative and TIL score < 20% | AR < 10%, CD8 TIL < 20%, FOX-C1 < 10% and DCLK1 ≥ 10%, | ||
| IHC-Mixed definition | 2 characteristics of 2 different subtypes | 2 or 3 different tumors | ≥2 of other categories | NR | NR | NR | NR | NR | ||
| IHC-Unclassifiable definition | Not belonging to any subtype | None of the above features | Did not fit in any category | AR–CD8-FOXC1-DCLK1- | All other manifestations | Not reported | All other manifestations | AR < 10%, CD8 TIL < 20%, FOX-C1 < 10% and DCLK1 < 10% | ||
| IHC-LAR rate | 12 (9.8%) | 22 (11%) | 41 (16.7%) | 60 (28.6%) | 42 (23%) | 53 (24.8%) | 26 (17.9%) | 23 (24.7%) | 37 (18.9%) | 28 (28.6%) |
| IHC-BLIS rate | NR | 11 (5.5%) | NR | 80 (38.1%) | 71 (38.8%) | 90 (42.1%) | NR | 39 (41.9%) | 103 (52.8%) | 20 (20.4%) |
| IHC-BLIA or IM rate | NR | 27 (13.5%) | NR | 40 (19.4%) | 34 (18.6%) | 39 (18.2%) | 21 (14.5%) | 24 (25.8%) | 34 (17.4%) | 39 (39.8%) |
| IHC-Basal rate | 27 (22.1%) | 85 (42.5%) | BL 36 (14.6%); BL1 32 (13.1%); BL2 4 (1.6%) | 120 (57.1%) | 105 (57.4%) | 129 (60.3%) | BL1 27 (18.6%) | 63 (67.7%) | 137 (70.2%) | |
| IHC-Mesenchymal rate | 28 (23%) | 23 (11.5%) | 70 (28.6%) | 16 (7.6%) | 18 (9.8%) | 17 (7.9%) | 44 (30.3%) | 7 (7.5%) | 1 (0.5%) | 11 (11.2%) |
| IHC-Mixed rate | 23 (18.9%) | 60 (30%) LAR + MES 8 (4%); LAR + BL 27 (13.5%); MES + BL 19 (9.5%); LAR + MES + BL 6 (3%) | 37 (15.1%) | 0 | 0 | 0 | NR | 0 | NR | NR |
| IHC-Unclassifiable rate | 32 (26.2%) | 10 (5%) | 61 (24.9%) | 14 (6.7%) | 18 (9.8%) | 15 (7%) | 18 (12.4%) | 0 | 20 (10.2%) | 25 (20.3%) |
| Confirmation method | no | no | no | mRNA | mRNA | no | mRNA | no | ||
| follow-up median | 59.5 months | 41 m (0–64) | 40 m (12–58) | 40.95 m (IQR 23.48–89.22) | 62 m (IQR 43–105) | |||||
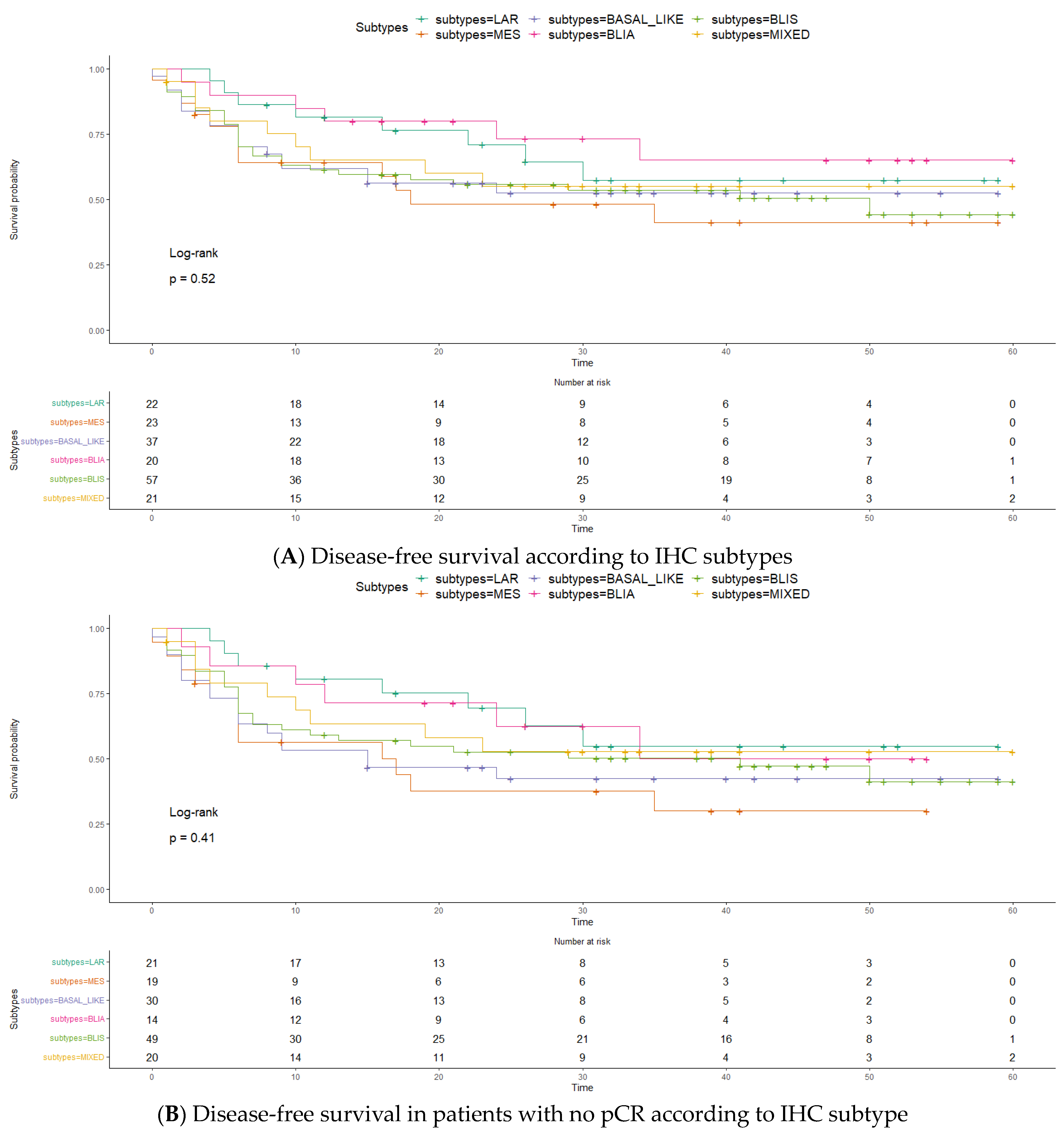
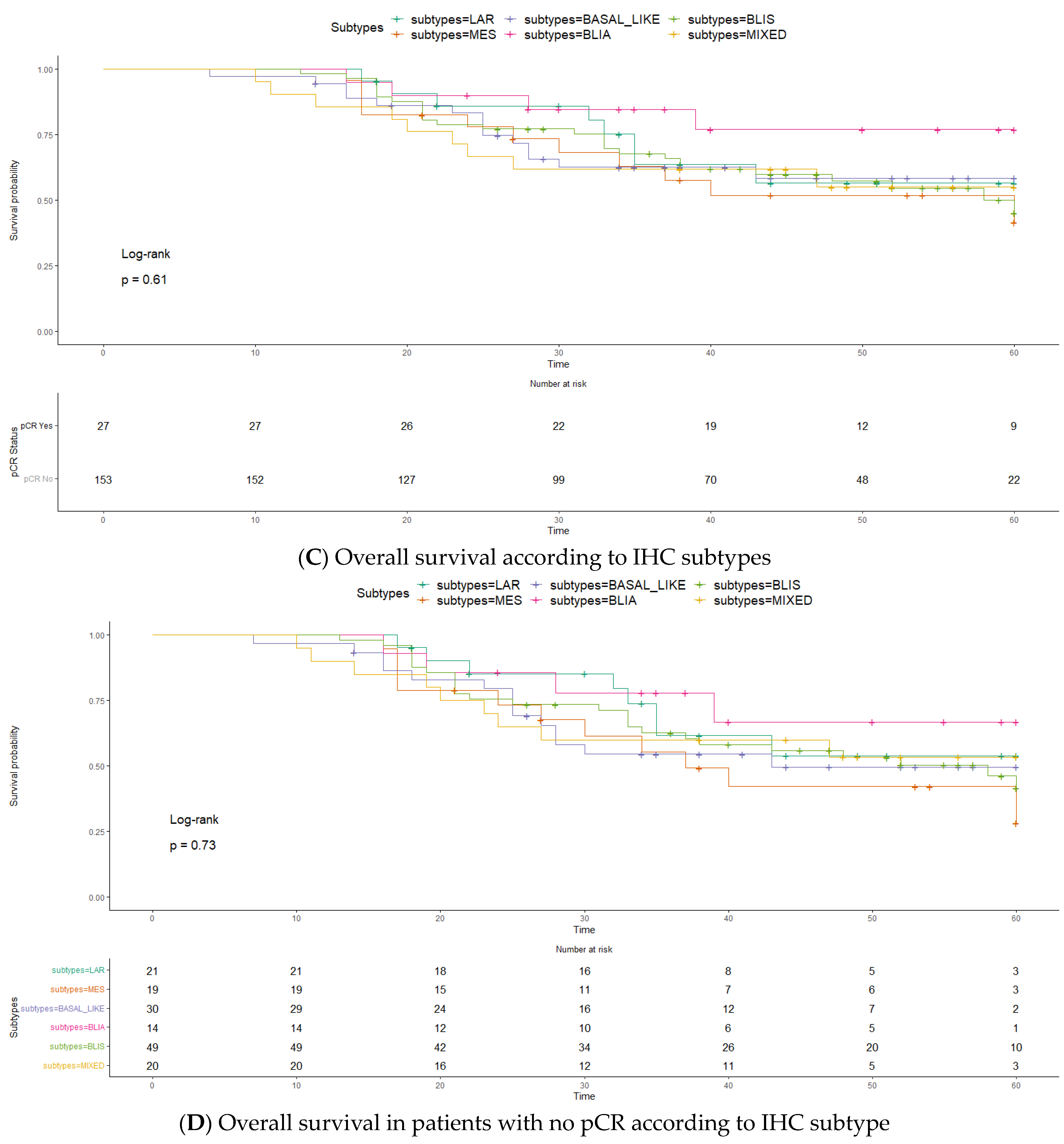
| Disease-free survival (DFS) | Basal-like and unclassifiable show less favorable prognosis, mesenchymal and mixed intermediate and AR showed a better prognosis Ck 5/6 and Claudin positivity worse DFS | BLIS—worse prognosis LAR, BLIA, BL and NOS—favorable This was also true for Burstein (4 subtypes). FOXC1–worse prognosis | NA | IM (HR = 0.07), LAR (HR = 0.18), BLIS (HR = 0.26) better RFS than MES | MES worse RFS | NA | Significantly worse DFS for M subtype according to surrogate subtypes and although not clinically significant IM tends to be better survival | No significant difference Low recurrence 11 cases (11.83%) | 5 y 64.7% and no subtypes difference | IM-inflamed better DFS compared to others and BLIS the worse survival |
| Overall Survival (OS) | Cohesion disruption linked with worse survival | NA | Mesenchymal and unclassified shorted OS (68.2 and 69.2 m) | T + N + IHC was superior to T + N categories in time dependent AUC | NA | NA | NA | NA | 5 y OS = 65.0% IM significantly better OS but other did not differentiate between each other | IM-inflamed better breast specific survival and BLIS the worse compared to others |
| Variables | Mean | SD | |||
| Age | 52.42 | 12.79 | |||
| Tumor size | 47.64 | 53.61 | |||
| Number of positive lymph nodes (Mean (SD)) | 2.14 | 4.01 | |||
| ki67 (Mean (SD)) | 65.47 | 24.49 | |||
| Variables | Number of Subjects | Percentage | |||
| Clinical tumor(T) stage | T1–T2 | 58 | 31.0%) | ||
| T3 | 57 | (30.5%) | |||
| T4 | 72 | (38.5%) | |||
| Clinical lymph node (N) stage | N0 | 79 | (42.2%) | ||
| N1 | 78 | (41.7%) | |||
| N2 | 28 | (15.0%) | |||
| N3 | 2 | (1.1%) | |||
| Histologic subtype | Invasive ductal carcinoma | 176 | (94.2%) | ||
| other | 10 | 5.3% | |||
| NA | 1 | 0.5% | |||
| Tumor grade | 1 | 2 | 1.1% | ||
| 2 | 59 | 31.6% | |||
| 3 | 118 | 63.1% | |||
| NA | 8 | 4.8% | |||
| Angiolymphatic invasion | Yes | 98 | 52.4% | ||
| no | 39 | 20.9% | |||
| Not-assessed | 50 | 26.7% | |||
| Lymphatic infiltrate | Yes | 32 | 17.1% | ||
| No | 100 | 53.5% | |||
| Not-assessed | 55 | 29.4% | |||
| IHC-subtype | Basal-like | Unspecified | 36 | 19.6% | |
| Immunosuppressed | 57 | 31.0% | |||
| Imunoactivated | 20 | 10.9% | |||
| Luminal androgen receptor | 22 | 12.0% | |||
| Mesenchymal | 23 | 12.5% | |||
| Mixed | 21 | 11.4% | |||
| Unclassifiable | 4 | 2.2% | |||
| Not amendable of subtyping | 3 | 1.6% | |||
| Neoadjuvant chemotherapy | ACx4 + TXTx4 | 144 | 77% | ||
| ACx4 + wPacx12 | 19 | 10.2% | |||
| TCx4 | 5 | 2.7% | |||
| Other regimens | 19 | 10.2% | |||
| Surgery modality | Modified radical mastectomy | 120 | 64.2% | ||
| Conventional mastectomy | 17 | 9.1% | |||
| Conservative surgery | 50 | 26.7% | |||
| Pathologic response | Complete | 28 | 15.0% | ||
| Non-complete | 159 | 85.0% | |||
| Pathologic complete response according to IHC-subtype | Basal-like | Unspecified | 7 | 19.4% | |
| Immunosuppressed | 8 | 14.0% | |||
| Imunoactivated | 6 | 30.0% | |||
| Luminal androgen receptor | 1 | 4.5% | |||
| Mesenchymal | 4 | 17.4% | |||
| Mixed | 1 | 4.8% | |||
| Unclassifiable | 1 | 25.0% | |||
| Subject Number | Age | Clinical Stage (TNM) | Histological Subtype | Grade | Ki67(%) | Neoadjuvant Regimen (x Number of Cycles) | Subtype |
|---|---|---|---|---|---|---|---|
| Patient 1 | 66 | T4N1M0 | IDC | 2 | 90 | cx3 + wPacx3 | IHC-BLIS |
| Patient 2 | 63 | T3N0M0 | IDC | 3 | 5 | ACx4 + TXTx4 | IHC-unclassifiable |
| Patient 3 | 54 | T3N1M0 | IDC | 3 | 70 | ACx4 + TXTx4 | IHC-MES |
| Patient 4 | 67 | TxN2M0 | IDC | NR | 70 | ACx4 + TXTx4 | IHC-LAR |
| Patient 5 | 47 | T3N0M0 | IDC | 3 | 95 | ACx4 + TXTx4 | IHC-BLIS |
| Patient 6 | 60 | T4N2M0 | IDC | 3 | 80 | ACx4 + TXTx4 | IHC-BL-unspecific |
| Patient 7 | 47 | T4N1M0 | IDC | 3 | 80 | ACx4 + TXTx4 | IHC-BL-unspecific |
| Patient 8 | 52 | T4N1M0 | IDC | 3 | 90 | ACx4 + TXTx4 | IHC-LAR/BLIS |
| Patient 9 | 56 | T3N0M0 | IDC | 2 | 50 | ACx4 + TXTx4 | IHC-MES |
| Patient 10 | 44 | T3N1M0 | IDC | 3 | 95 | ACx4 + TXTx4 | IHC-BL-unspecific |
| Patient 11 | 61 | T4N2M0 | IDC | 2 | 70 | ACx4 + TXTx4 | IHC-BLIA |
| Patient 12 | 39 | T3N0M0 | Other | NR | 95 | ACx4 + TXTx4 | IHC-BLIS |
| Patient 13 | 47 | T2N0M0 | IDC | 2 | 95 | ACx4 + TXTx4 | IHC-BLIA |
| Patient 14 | 46 | T4N3M0 | IDC | 2 | 60 | ACx4 + TXTx4 | IHC-BL-unspecific |
| Patient 15 | 44 | T3N0M0 | IDC | 3 | 90 | ACx4 + TXTx4 | IHC-BLIS |
| Patient 16 | 68 | T4N0M0 | IDC | 2 | 75 | ACx4 + TXTx4 | IHC-BLIA |
| Patient 17 | 64 | T4N2M0 | IDC | 3 | 70 | TCx4 + ACx6 | IHC-BL-unspecific |
| Patient 18 | 41 | T3N0M0 | IDC | 3 | 70 | ACx4 + TXTx4 | IHC-BLIA |
| Patient 19 | 63 | T4N0M0 | IDC | 2 | 15 | ACx4 + TXTx4 | IHC-BLIA |
| Patient 20 | 34 | T4N0M0 | IDC | 3 | 100 | ACx4 + TXTx4 | IHC-BLIS |
| Patient 21 | 37 | T3N0M0 | IDC | 3 | 50 | ACx4 + TXTx4 | IHC-BLIS |
| Patient 22 | 71 | T2N1M0 | IDC | 2 | 50 | ACx4 + wPacx4 | IHC-BLIA |
| Patient 23 | 43 | T3N0M0 | IDC | 3 | 70 | ACx4 + TXTx4 | IHC-BLIS |
| Patient 24 | 47 | T2N0M0 | IDC | 2 | 5 | ACx4 + TXTx4 | IHC-MES |
| Patient 25 | 62 | T1N0M0 | IDC | 3 | 80 | ACx4 + TXTx4 | IHC-BL-unspecific |
| Patient 26 | 51 | T2N1M0 | IDC | 3 | 80 | ACx4 + TXTx4 | IHC-MES |
| Patient 27 | 27 | T2N0M0 | IDC | 3 | 95 | ACx4 + TXTx4 | IHC-BLIS |
| Patient 28 | 59 | T4N0M0 | IDC | 3 | 60 | ACx4 + wPacx4 | IHC-BL-unspecific |
| Antibody | Definition of Positivity Expression | Brand | Dilution | Control |
|---|---|---|---|---|
| IDO-1 | >10% of tumor cells | Abcam *, Cambridge, UK | 1:1000 | Breast |
| Claudin-3 | Allred score ≥ 4 | Abcam *, Cambridge, UK | 1:200 | Breast |
| Androgen Receptor | ≥20% of tumor cells | Cell Marque™, California, US | 1:400 | Gallbladder |
| FOX-C1 | Moderate (M) or intense (I) | Abcam *, Cambridge, UK | 1:300 | Breast |
| Ki-67 | ≥1% of tumor cells | Ventana®-Roche, Rotkreuz, Switzerland | Ready to use | Breast |
| IHC-Subtype | Antibody Results | |||||
|---|---|---|---|---|---|---|
| IDO-1 | FOX-C1 | AR | Claudin-3 | |||
| Basal-like unspecific | IDO-1 ≤ 10% and FOX-C1 < 4 or IDO > 10% and FOX-C1 ≥ 4 | <10% | W, M or I | |||
| Basal-like immune-suppressed | ≤10% | ≥4 | <10% | |||
| Basal-like immune-activated | >10% | <4 | <10% | |||
| Luminal androgen receptor | ≤10% | <4 | ≥10% | |||
| Mesenchymal | any | any | any | 0 | ||
| Mixed (criteria for ≥ 2 subtypes) | BLIS | LAR | ≤10% | ≥4 | ≥10% | W, M or I |
| BLIA | LAR | >10% | <4 | ≥10% | ||
| BL | LAR | IDO-1 ≤ 10% and FOX-C1 < 4 or IDO > 10% and FOX-C1 ≥ 4 | ≥10% | |||
| MES | LAR | any | any | ≥10% | 0 | |
| Unclassifiable | ≤10% | ≤2 | <5% | W, M or I | ||
Disclaimer/Publisher’s Note: The statements, opinions and data contained in all publications are solely those of the individual author(s) and contributor(s) and not of MDPI and/or the editor(s). MDPI and/or the editor(s) disclaim responsibility for any injury to people or property resulting from any ideas, methods, instructions or products referred to in the content. |
© 2024 by the authors. Licensee MDPI, Basel, Switzerland. This article is an open access article distributed under the terms and conditions of the Creative Commons Attribution (CC BY) license (https://creativecommons.org/licenses/by/4.0/).
Share and Cite
Paula, B.d.; Crocamo, S.; de Sousa, C.A.M.; Valverde, P.; Rezende, F.; Abdelhay, E. Triple-Negative Breast Cancer Subclassified by Immunohistochemistry: Correlation with Clinical and Pathological Outcomes in Patients Receiving Neoadjuvant Chemotherapy. Int. J. Mol. Sci. 2024, 25, 5825. https://doi.org/10.3390/ijms25115825
Paula Bd, Crocamo S, de Sousa CAM, Valverde P, Rezende F, Abdelhay E. Triple-Negative Breast Cancer Subclassified by Immunohistochemistry: Correlation with Clinical and Pathological Outcomes in Patients Receiving Neoadjuvant Chemotherapy. International Journal of Molecular Sciences. 2024; 25(11):5825. https://doi.org/10.3390/ijms25115825
Chicago/Turabian StylePaula, Bruno de, Susanne Crocamo, Carlos Augusto Moreira de Sousa, Priscila Valverde, Fabiana Rezende, and Eliana Abdelhay. 2024. "Triple-Negative Breast Cancer Subclassified by Immunohistochemistry: Correlation with Clinical and Pathological Outcomes in Patients Receiving Neoadjuvant Chemotherapy" International Journal of Molecular Sciences 25, no. 11: 5825. https://doi.org/10.3390/ijms25115825
APA StylePaula, B. d., Crocamo, S., de Sousa, C. A. M., Valverde, P., Rezende, F., & Abdelhay, E. (2024). Triple-Negative Breast Cancer Subclassified by Immunohistochemistry: Correlation with Clinical and Pathological Outcomes in Patients Receiving Neoadjuvant Chemotherapy. International Journal of Molecular Sciences, 25(11), 5825. https://doi.org/10.3390/ijms25115825

