RANKL, but Not R-Spondins, Is Involved in Vascular Smooth Muscle Cell Calcification through LGR4 Interaction
Abstract
1. Introduction
2. Results
2.1. Rat Experimental Study
2.1.1. Biochemical and Renal Function Parameters
2.1.2. Aortic Ca Content and Arterial Blood Pressure
2.1.3. Aortic Gene Expression of Lgr4, Rankl, Opg, and Rspos
2.1.4. Serum Levels of LGR4, RANKL and OPG
2.2. In Vitro Study
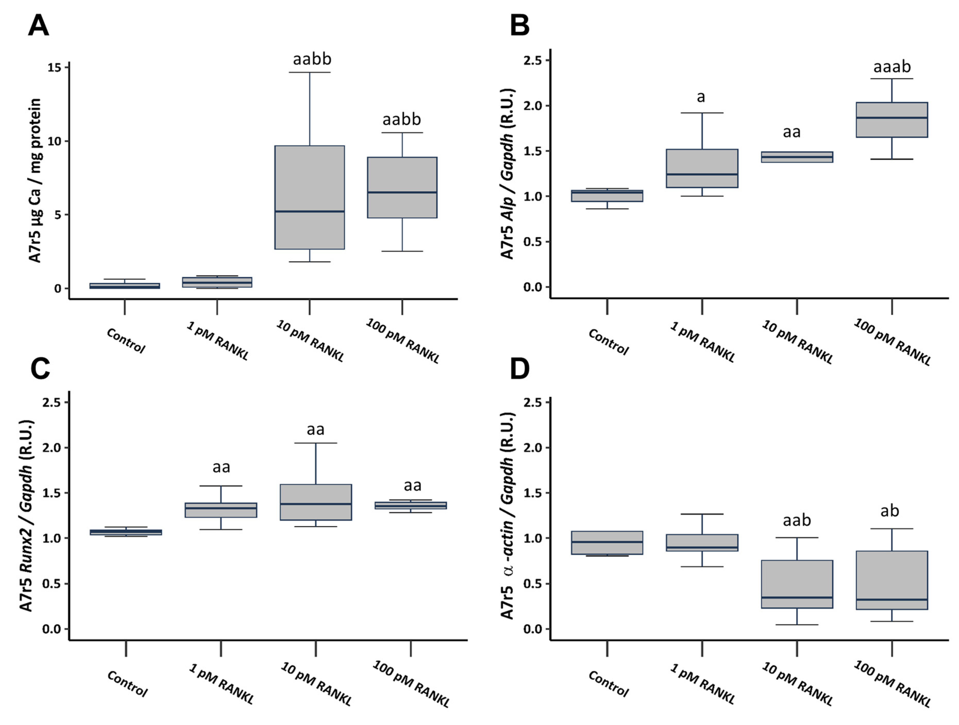
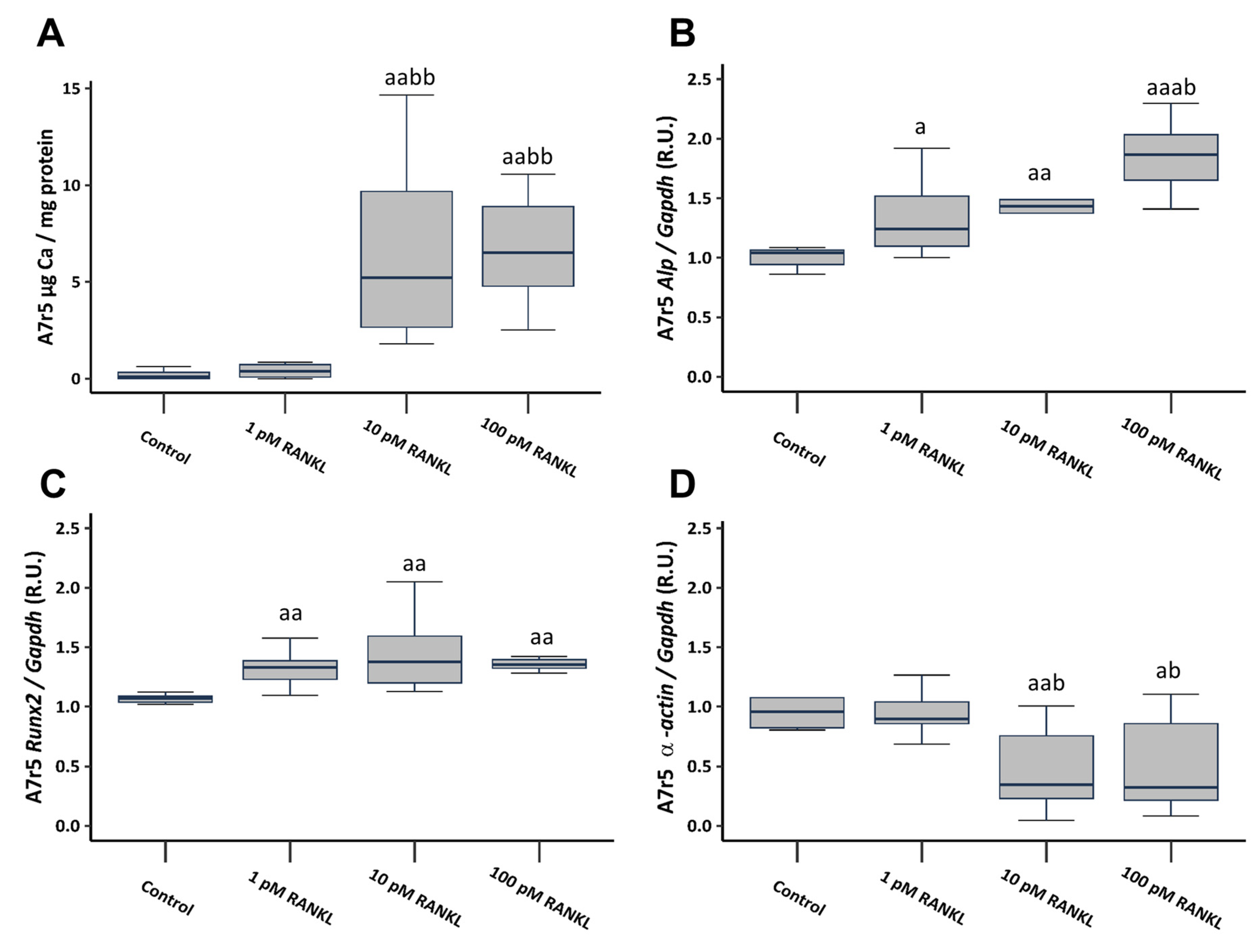
2.2.1. VSMC Calcification and RANKL, OPG, LGR4, and RSPOs Expression
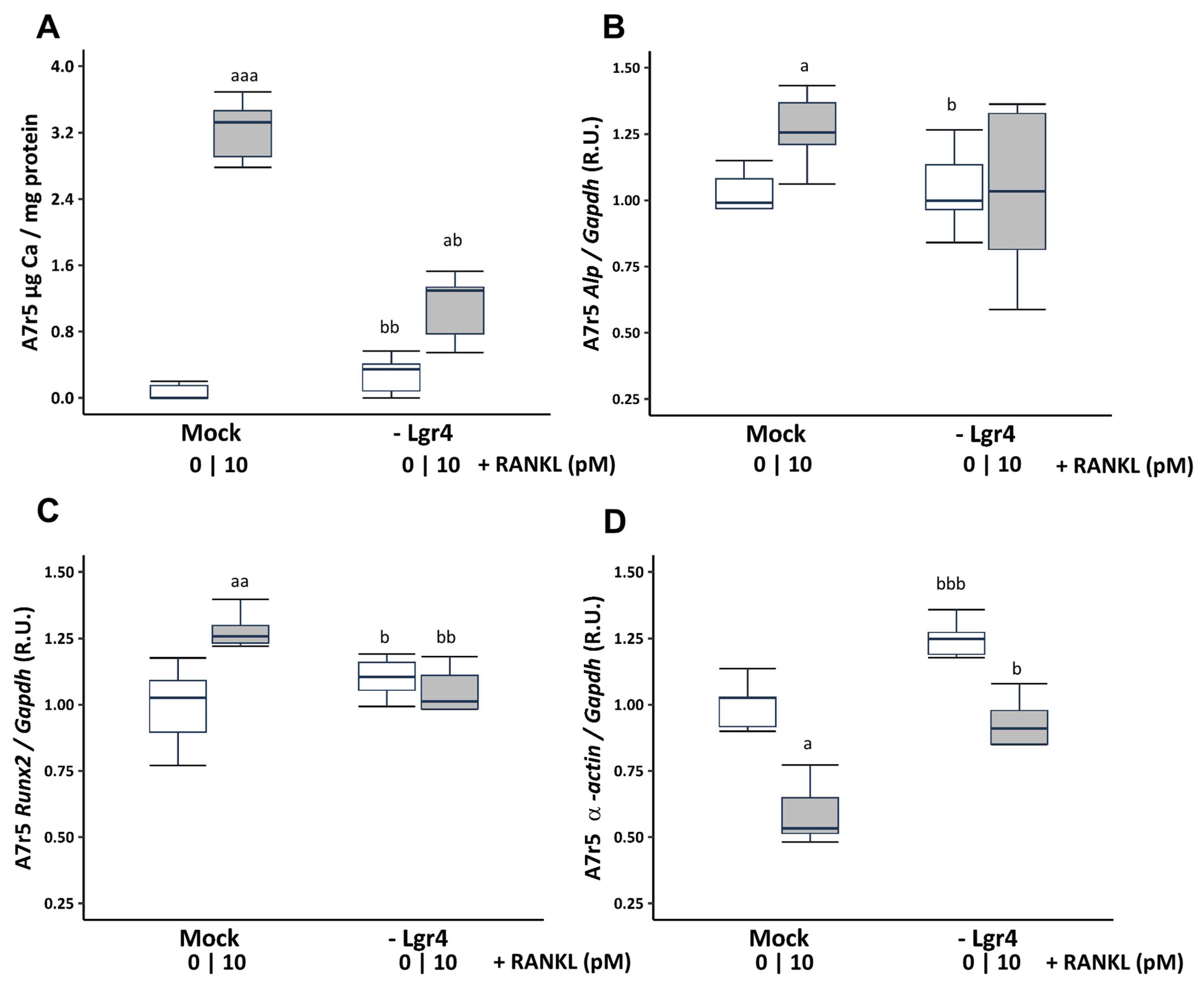
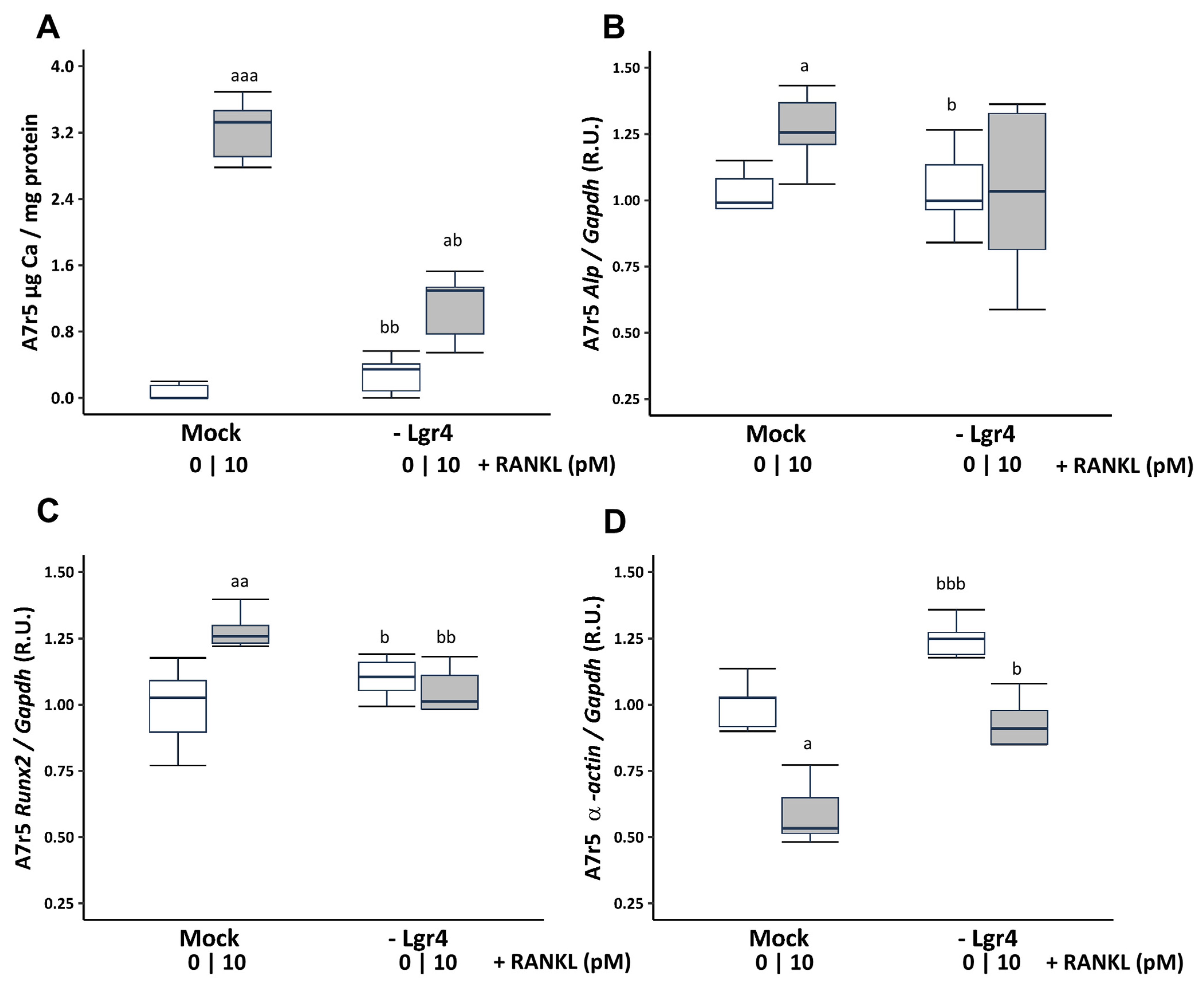
2.2.2. RANKL-LGR4 Calcification Pathway
2.3. Human Epigastric Arteries Study
3. Discussion
4. Materials and Methods
4.1. Rat Experimental Study
4.1.1. Animal Model
4.1.2. Biochemical Markers
4.1.3. Arterial Blood Pressure Measurement
4.2. In Vitro Experimental Study
4.2.1. A7r5 Cell Culture
4.2.2. Small Interfering RNA (siRNA) for LGR4 Gene
4.3. Human Epigastric Arteries Study
4.3.1. Patients and Samples
4.3.2. Patients and Samples Assessment of Vascular Calcification
4.4. Technical Procedures
4.4.1. Ca Content Quantification
4.4.2. Total RNA Isolation, cDNA Synthesis, and Quantitative RT-PCR
4.4.3. Western Blot
4.5. Statistical Analysis
4.6. Abbreviations
Supplementary Materials
Author Contributions
Funding
Institutional Review Board Statement
Informed Consent Statement
Data Availability Statement
Acknowledgments
Conflicts of Interest
References
- Almaden, Y.; Canalejo, A.; Hernandez, A.; Ballesteros, E.; Garcia-Navarro, S.; Torres, A.; Rodriguez, M. Direct effect of phosphorus on PTH secretion from whole rat parathyroid glands in vitro. J. Bone Min. Res. 1996, 11, 970–976. [Google Scholar] [CrossRef] [PubMed]
- Almaden, Y.; Hernandez, A.; Torregrosa, V.; Canalejo, A.; Sabate, L.; Fernandez Cruz, L.; Campistol, J.M.; Torres, A.; Rodriguez, M. High phosphate level directly stimulates parathyroid hormone secretion and synthesis by human parathyroid tissue in vitro. J. Am. Soc. Nephrol. JASN 1998, 9, 1845–1852. [Google Scholar] [CrossRef] [PubMed]
- Kilav, R.; Silver, J.; Naveh-Many, T. Parathyroid hormone gene expression in hypophosphatemic rats. J. Clin. Investig. 1995, 96, 327–333. [Google Scholar] [CrossRef] [PubMed]
- Slatopolsky, E.; Brown, A.; Dusso, A. Pathogenesis of secondary hyperparathyroidism. Kidney Int. Suppl. 1999, 73, S14–S19. [Google Scholar] [CrossRef] [PubMed]
- Huang, J.C.; Sakata, T.; Pfleger, L.L.; Bencsik, M.; Halloran, B.P.; Bikle, D.D.; Nissenson, R.A. PTH differentially regulates expression of RANKL and OPG. J. Bone Min. Res. 2004, 19, 235–244. [Google Scholar] [CrossRef] [PubMed]
- Fu, Q.; Jilka, R.L.; Manolagas, S.C.; O’Brien, C.A. Parathyroid hormone stimulates receptor activator of NFkappa B ligand and inhibits osteoprotegerin expression via protein kinase A activation of cAMP-response element-binding protein. J. Biol. Chem. 2002, 277, 48868–48875. [Google Scholar] [CrossRef]
- Ben-awadh, A.N.; Delgado-Calle, J.; Tu, X.; Kuhlenschmidt, K.; Allen, M.R.; Plotkin, L.I.; Bellido, T. Parathyroid hormone receptor signaling induces bone resorption in the adult skeleton by directly regulating the RANKL gene in osteocytes. Endocrinology 2014, 155, 2797–2809. [Google Scholar] [CrossRef] [PubMed]
- Luo, J.; Yang, Z.; Ma, Y.; Yue, Z.; Lin, H.; Qu, G.; Huang, J.; Dai, W.; Li, C.; Zheng, C.; et al. LGR4 is a receptor for RANKL and negatively regulates osteoclast differentiation and bone resorption. Nat. Med. 2016, 22, 539–546. [Google Scholar] [CrossRef]
- Styrkarsdottir, U.; Thorleifsson, G.; Sulem, P.; Gudbjartsson, D.F.; Sigurdsson, A.; Jonasdottir, A.; Oddsson, A.; Helgason, A.; Magnusson, O.T.; Walters, G.B.; et al. Nonsense mutation in the LGR4 gene is associated with several human diseases and other traits. Nature 2013, 497, 517–520. [Google Scholar] [CrossRef]
- Panizo, S.; Cardus, A.; Encinas, M.; Parisi, E.; Valcheva, P.; Lopez-Ongil, S.; Coll, B.; Fernandez, E.; Valdivielso, J.M. RANKL increases vascular smooth muscle cell calcification through a RANK-BMP4-dependent pathway. Circ. Res. 2009, 104, 1041–1048. [Google Scholar] [CrossRef]
- Weiss, R.M.; Lund, D.D.; Chu, Y.; Brooks, R.M.; Zimmerman, K.A.; El Accaoui, R.; Davis, M.K.; Hajj, G.P.; Zimmerman, M.B.; Heistad, D.D. Osteoprotegerin inhibits aortic valve calcification and preserves valve function in hypercholesterolemic mice. PLoS ONE 2013, 8, e65201. [Google Scholar] [CrossRef] [PubMed]
- Carrillo-López, N.; Martínez-Arias, L.; Alonso-Montes, C.; Martín-Carro, B.; Martín-Vírgala, J.; Ruiz-Ortega, M.; Fernández-Martín, J.L.; Dusso, A.S.; Rodriguez-García, M.; Naves-Díaz, M.; et al. The receptor activator of nuclear factor κΒ ligand receptor leucine-rich repeat-containing G-protein-coupled receptor 4 contributes to parathyroid hormone-induced vascular calcification. Nephrol. Dial. Transplant. 2021, 36, 618–631. [Google Scholar] [CrossRef] [PubMed]
- Kim, J.H.; Liu, X.; Wang, J.; Chen, X.; Zhang, H.; Kim, S.H.; Cui, J.; Li, R.; Zhang, W.; Kong, Y.; et al. Wnt signaling in bone formation and its therapeutic potential for bone diseases. Ther. Adv. Musculoskelet. Dis. 2013, 5, 13–31. [Google Scholar] [CrossRef] [PubMed]
- Carrillo-Lopez, N.; Panizo, S.; Alonso-Montes, C.; Roman-Garcia, P.; Rodriguez, I.; Martinez-Salgado, C.; Dusso, A.S.; Naves, M.; Cannata-Andia, J.B. Direct inhibition of osteoblastic Wnt pathway by fibroblast growth factor 23 contributes to bone loss in chronic kidney disease. Kidney Int. 2016, 90, 77–89. [Google Scholar] [CrossRef] [PubMed]
- Roman-Garcia, P.; Carrillo-Lopez, N.; Fernandez-Martin, J.L.; Naves-Diaz, M.; Ruiz-Torres, M.P.; Cannata-Andia, J.B. High phosphorus diet induces vascular calcification, a related decrease in bone mass and changes in the aortic gene expression. Bone 2010, 46, 121–128. [Google Scholar] [CrossRef] [PubMed]
- Carrillo-Lopez, N.; Panizo, S.; Alonso-Montes, C.; Martinez-Arias, L.; Avello, N.; Sosa, P.; Dusso, A.S.; Cannata-Andia, J.B.; Naves-Diaz, M. High-serum phosphate and parathyroid hormone distinctly regulate bone loss and vascular calcification in experimental chronic kidney disease. Nephrol. Dial. Transplant. 2019, 34, 934–941. [Google Scholar] [CrossRef] [PubMed]
- Liao, R.; Wang, L.; Li, J.; Sun, S.; Xiong, Y.; Li, Y.; Han, M.; Jiang, H.; Anil, M.; Su, B. Vascular calcification is associated with Wnt-signaling pathway and blood pressure variability in chronic kidney disease rats. Nephrology 2019, 25, 264–272. [Google Scholar] [CrossRef] [PubMed]
- Rashdan, N.A.; Sim, A.M.; Cui, L.; Phadwal, K.; Roberts, F.L.; Carter, R.; Ozdemir, D.D.; Hohenstein, P.; Hung, J.; Kaczynski, J.; et al. Osteocalcin Regulates Arterial Calcification Via Altered Wnt Signaling and Glucose Metabolism. J. Bone Min. Res. 2019, 35, 357–367. [Google Scholar] [CrossRef] [PubMed]
- de Lau, W.; Barker, N.; Low, T.Y.; Koo, B.K.; Li, V.S.; Teunissen, H.; Kujala, P.; Haegebarth, A.; Peters, P.J.; van de Wetering, M.; et al. Lgr5 homologues associate with Wnt receptors and mediate R-spondin signalling. Nature 2011, 476, 293–297. [Google Scholar] [CrossRef]
- Carmon, K.S.; Gong, X.; Lin, Q.; Thomas, A.; Liu, Q. R-spondins function as ligands of the orphan receptors LGR4 and LGR5 to regulate Wnt/beta-catenin signaling. Proc. Natl. Acad. Sci. USA 2011, 108, 11452–11457. [Google Scholar] [CrossRef]
- Covic, A.; Vervloet, M.; Massy, Z.A.; Torres, P.U.; Goldsmith, D.; Brandenburg, V.; Mazzaferro, S.; Evenepoel, P.; Bover, J.; Apetrii, M.; et al. Bone and mineral disorders in chronic kidney disease: Implications for cardiovascular health and ageing in the general population. Lancet Diabetes Endocrinol. 2018, 6, 319–331. [Google Scholar] [CrossRef] [PubMed]
- Cannata-Andia, J.B.; Roman-Garcia, P.; Hruska, K. The connections between vascular calcification and bone health. Nephrol. Dial. Transpl. 2011, 26, 3429–3436. [Google Scholar] [CrossRef] [PubMed]
- Boyce, B.F.; Xing, L. Biology of RANK, RANKL, and osteoprotegerin. Arthritis Res. Ther. 2007, 9 (Suppl. S1), S1. [Google Scholar] [CrossRef] [PubMed]
- Bucay, N.; Sarosi, I.; Dunstan, C.R.; Morony, S.; Tarpley, J.; Capparelli, C.; Scully, S.; Tan, H.L.; Xu, W.; Lacey, D.L.; et al. osteoprotegerin-deficient mice develop early onset osteoporosis and arterial calcification. Genes Dev. 1998, 12, 1260–1268. [Google Scholar] [CrossRef] [PubMed]
- Sattler, A.M.; Schoppet, M.; Schaefer, J.R.; Hofbauer, L.C. Novel aspects on RANK ligand and osteoprotegerin in osteoporosis and vascular disease. Calcif. Tissue Int. 2004, 74, 103–106. [Google Scholar] [CrossRef] [PubMed]
- Helas, S.; Goettsch, C.; Schoppet, M.; Zeitz, U.; Hempel, U.; Morawietz, H.; Kostenuik, P.J.; Erben, R.G.; Hofbauer, L.C. Inhibition of receptor activator of NF-kappaB ligand by denosumab attenuates vascular calcium deposition in mice. Am. J. Pathol. 2009, 175, 473–478. [Google Scholar] [CrossRef] [PubMed]
- Samelson, E.J.; Miller, P.D.; Christiansen, C.; Daizadeh, N.S.; Grazette, L.; Anthony, M.S.; Egbuna, O.; Wang, A.; Siddhanti, S.R.; Cheung, A.M.; et al. RANKL inhibition with denosumab does not influence 3-year progression of aortic calcification or incidence of adverse cardiovascular events in postmenopausal women with osteoporosis and high cardiovascular risk. J. Bone Min. Res. 2014, 29, 450–457. [Google Scholar] [CrossRef] [PubMed]
- Luo, J.; Zhou, W.; Zhou, X.; Li, D.; Weng, J.; Yi, Z.; Cho, S.G.; Li, C.; Yi, T.; Wu, X.; et al. Regulation of bone formation and remodeling by G-protein-coupled receptor 48. Development 2009, 136, 2747–2756. [Google Scholar] [CrossRef] [PubMed]
- Cheng, Z.Y.; Ye, T.; Ling, Q.Y.; Wu, T.; Wu, G.Y.; Zong, G.J. Parathyroid hormone promotes osteoblastic differentiation of endothelial cells via the extracellular signal-regulated protein kinase 1/2 and nuclear factor-κB signaling pathways. Exp. Ther. Med. 2018, 15, 1754–1760. [Google Scholar] [CrossRef]
- Neves, K.R.; Graciolli, F.G.; dos Reis, L.M.; Graciolli, R.G.; Neves, C.L.; Magalhaes, A.O.; Custodio, M.R.; Batista, D.G.; Jorgetti, V.; Moyses, R.M. Vascular calcification: Contribution of parathyroid hormone in renal failure. Kidney Int. 2007, 71, 1262–1270. [Google Scholar] [CrossRef]
- Díaz-Tocados, J.M.; Rodríguez-Ortiz, M.E.; Almadén, Y.; Pineda, C.; Martínez-Moreno, J.M.; Herencia, C.; Vergara, N.; Pendón-Ruiz de Mier, M.V.; Santamaría, R.; Rodelo-Haad, C.; et al. Calcimimetics maintain bone turnover in uremic rats despite the concomitant decrease in parathyroid hormone concentration. Kidney Int. 2019, 95, 1064–1078. [Google Scholar] [CrossRef] [PubMed]
- Custódio, M.R.; Koike, M.K.; Neves, K.R.; dos Reis, L.M.; Graciolli, F.G.; Neves, C.L.; Batista, D.G.; Magalhães, A.O.; Hawlitschek, P.; Oliveira, I.B.; et al. Parathyroid hormone and phosphorus overload in uremia: Impact on cardiovascular system. Nephrol. Dial. Transplant. 2012, 27, 1437–1445. [Google Scholar] [CrossRef] [PubMed]
- Brenza, H.L.; DeLuca, H.F. Regulation of 25-hydroxyvitamin D3 1alpha-hydroxylase gene expression by parathyroid hormone and 1,25-dihydroxyvitamin D3. Arch. Biochem. Biophys. 2000, 381, 143–152. [Google Scholar] [CrossRef] [PubMed]
- Kleerekoper, M.; Cruz, C.; Bernstein, R.S.; Levin, N.W.; Foreback, C.C.; Parfitt, A.M. The Phosphaturic Action of PTH in the Steady State in Patients with Normal and Impaired Renal Function. In Phosphate and Minerals in Health and Disease; Massry, S.G., Ritz, E., Jahn, H., Eds.; Springer: Boston, MA, USA, 1980; pp. 145–154. [Google Scholar] [CrossRef]
- David, V.; Dai, B.; Martin, A.; Huang, J.; Han, X.; Quarles, L.D. Calcium regulates FGF-23 expression in bone. Endocrinology 2013, 154, 4469–4482. [Google Scholar] [CrossRef] [PubMed]
- Kawata, T.; Imanishi, Y.; Kobayashi, K.; Miki, T.; Arnold, A.; Inaba, M.; Nishizawa, Y. Parathyroid hormone regulates fibroblast growth factor-23 in a mouse model of primary hyperparathyroidism. J. Am. Soc. Nephrol. JASN 2007, 18, 2683–2688. [Google Scholar] [CrossRef] [PubMed]
- Jespersen, B.; Randløv, A.; Abrahamsen, J.; Fogh-Andersen, N.; Kanstrup, I.-L. Effects of PTH(1-34) on Blood Pressure, Renal Function, and Hormones in Essential Hypertension*: The Altered Pattern of Reactivity May Counteract Raised Blood Pressure. Am. J. Hypertens. 1997, 10, 1356–1367. [Google Scholar] [CrossRef] [PubMed]
- Garcia, V.C.; Schuch, N.J.; Catania, A.S.; Gouvea Ferreira, S.R.; Martini, L.A. Parathyroid hormone has an important role in blood pressure regulation in vitamin D–insufficient individuals. Nutrition 2013, 29, 1147–1151. [Google Scholar] [CrossRef] [PubMed]
- Hofbauer, L.C.; Schoppet, M. Clinical implications of the osteoprotegerin/RANKL/RANK system for bone and vascular diseases. JAMA 2004, 292, 490–495. [Google Scholar] [CrossRef] [PubMed]
- Nitta, K.; Akiba, T.; Uchida, K.; Otsubo, S.; Takei, T.; Yumura, W.; Kabaya, T.; Nihei, H. Serum osteoprotegerin levels and the extent of vascular calcification in haemodialysis patients. Nephrol. Dial. Transplant. 2004, 19, 1886–1889. [Google Scholar] [CrossRef]
- Osorio, A.; Ortega, E.; Torres, J.M.; Sanchez, P.; Ruiz-Requena, E. Biochemical markers of vascular calcification in elderly hemodialysis patients. Mol. Cell. Biochem. 2013, 374, 21–27. [Google Scholar] [CrossRef]
- Mohammadpour, A.H.; Shamsara, J.; Nazemi, S.; Ghadirzadeh, S.; Shahsavand, S.; Ramezani, M. Evaluation of RANKL/OPG Serum Concentration Ratio as a New Biomarker for Coronary Artery Calcification: A Pilot Study. Thrombosis 2012, 2012, 306263. [Google Scholar] [CrossRef] [PubMed]
- Pesaro, A.E.; Katz, M.; Liberman, M.; Pereira, C.; Mangueira, C.L.P.; de Carvalho, A.E.Z.; Carvalho, K.S.; Nomura, C.H.; Franken, M.; Serrano, C.V., Jr. Circulating osteogenic proteins are associated with coronary artery calcification and increase after myocardial infarction. PLoS ONE 2018, 13, e0202738. [Google Scholar] [CrossRef] [PubMed]
- Li, B.; Yao, Q.; Guo, S.; Ma, S.; Dong, Y.; Xin, H.; Wang, H.; Liu, L.; Chang, W.; Zhang, Y. Type 2 diabetes with hypertensive patients results in changes to features of adipocytokines: Leptin, Irisin, LGR4, and Sfrp5. Clin. Exp. Hypertens. 2019, 41, 645–650. [Google Scholar] [CrossRef] [PubMed]
- Chen, Y.; Mao, C.; Gu, R.; Zhao, R.; Li, W.; Ma, Z.; Jia, Y.; Yu, F.; Luo, J.; Fu, Y.; et al. Nidogen-2 is a Novel Endogenous Ligand of LGR4 to Inhibit Vascular Calcification. Circ. Res. 2022, 131, 1037–1054. [Google Scholar] [CrossRef] [PubMed]
- Schuijers, J.; Clevers, H. Adult mammalian stem cells: The role of Wnt, Lgr5 and R-spondins. EMBO J. 2012, 31, 2685–2696. [Google Scholar] [CrossRef] [PubMed]
- Lu, W.; Kim, K.A.; Liu, J.; Abo, A.; Feng, X.; Cao, X.; Li, Y. R-spondin1 synergizes with Wnt3A in inducing osteoblast differentiation and osteoprotegerin expression. FEBS Lett. 2008, 582, 643–650. [Google Scholar] [CrossRef] [PubMed]
- Rochette, L.; Meloux, A.; Rigal, E.; Zeller, M.; Cottin, Y.; Vergely, C. The Role of Osteoprotegerin and Its Ligands in Vascular Function. Int. J. Mol. Sci. 2019, 20, 705. [Google Scholar] [CrossRef]
- Naves-Diaz, M.; Carrillo-Lopez, N.; Rodriguez-Rodriguez, A.; Braga, S.; Fernandez-Coto, T.; Lopez-Novoa, J.M.; Lopez-Hernandez, F.; Cannata-Andia, J.B. Differential effects of 17beta-estradiol and raloxifene on bone and lipid metabolism in rats with chronic kidney disease and estrogen insufficiency. Menopause 2010, 17, 766–771. [Google Scholar] [CrossRef]
- Herrmann, J.; Babic, M.; Tolle, M.; van der Giet, M.; Schuchardt, M. Research Models for Studying Vascular Calcification. Int. J. Mol. Sci. 2020, 21, 2204. [Google Scholar] [CrossRef]
- Fernandez-Villabrille, S.; Martin-Carro, B.; Martin-Virgala, J.; Alonso-Montes, C.; Fernandez-Fernandez, A.; Martinez-Salgado, C.; Fernandez-Martin, J.L.; Naves-Diaz, M.; Cannata-Andia, J.B.; Carrillo-Lopez, N.; et al. Phosphorus May Induce Phenotypic Transdifferentiation of Vascular Smooth Muscle Cells through the Reduction of microRNA-145. Nutrients 2023, 15, 2918. [Google Scholar] [CrossRef]
- Fernandez-Villabrille, S.; Martin-Carro, B.; Martin-Virgala, J.; Alonso-Montes, C.; Palomo-Antequera, C.; Garcia-Castro, R.; Lopez-Ongil, S.; Dusso, A.S.; Fernandez-Martin, J.L.; Naves-Diaz, M.; et al. MicroRNA-145 and microRNA-486 are potential serum biomarkers for vascular calcification. Nephrol. Dial. Transpl. 2023, 38, 1729–1740. [Google Scholar] [CrossRef] [PubMed]
- Kauppila, L.I.; Polak, J.F.; Cupples, L.A.; Hannan, M.T.; Kiel, D.P.; Wilson, P.W. New indices to classify location, severity and progression of calcific lesions in the abdominal aorta: A 25-year follow-up study. Atherosclerosis 1997, 132, 245–250. [Google Scholar] [CrossRef] [PubMed]




| SHAM NP | SHAM HP | PTX NX NP | PTX NX HP | NX NP | NX HP | |
|---|---|---|---|---|---|---|
| n | 9 | 11 | 8 | 13 | 7 | 8 |
| Creatinine clearance (mL/min) (median [IQR]) | 2.99 [2.79, 3.30] | 2.77 [2.23, 3.05] | 1.01 [0.68, 1.40] aaa | 1.12 [0.69, 1.29] aaabbb | 0.97 [0.73, 1.20] aaa | 1.22 [1.01, 1.31] aaabb |
| Serum Phosphate (mg/dL) (median [IQR]) | 3.94 [3.57, 4.06] | 4.31 [4.06, 4.53] | 5.70 [4.69, 6.41] aa | 9.27 [9.11, 9.92] aaabbbc | 3.88 [3.50, 4.73] ddd | 4.82 [4.46, 5.05] ad |
| Serum PTH 1–84 (pg/mL) (median [IQR]) | 232.65 [183.70, 307.20] | 410.15 [378.40, 613.08] a | Undetectable | Undetectable | 699.19 [603.44, 948.62] accc | 1195.50 [942.50, 1916.56] aaddd |
| Serum PTH 1–34 (pg/mL) (median [IQR]) | 16.14 [13.19, 29.55] | 25.21 [14.20, 33.00] | 39.97 [27.82, 73.56] | 5.09 [5.09, 34.62] | 42.54 [32.00, 243.40] | 504.00 [504.00, 608.20] aaabbddd |
| Serum Calcium (mg/dL) (median [IQR]) | 10.23 [10.03, 10.31] | 10.15 [9.98, 10.27] | 9.72 [9.55, 9.92] | 6.50 [6.18, 7.30] aaabbbc | 10.95 [10.61, 11.25] cc | 10.21 [10.13, 10.43] ddd |
| Serum FGF23 (pg/mL) (median [IQR]) | 52.82 [41.18, 72.27] | 67.68 [40.95, 77.80] | 246.27 [143.00, 343.32] a | 94.82 [56.73, 189.82] | 206.18 [133.59, 262.64] aa | 199.91 [182.55, 407.59] aabb |
| Serum Calcitriol (pg/mL) (median [IQR]) | 5.00 [5.00, 5.15] | 14.90 [12.65, 18.05] aaa | 5.00 [5.00, 5.00] | 5.00 [5.00, 5.00] bbb | 5.00 [5.00, 5.00] | 10.26 [8.08, 12.22] addee |
| SHAM NP | SHAM HP | PTX NX NP | PTX NX HP | NX NP | NX HP | |
|---|---|---|---|---|---|---|
| n | 9 | 11 | 8 | 13 | 7 | 8 |
| SBP (Hg mm) (median [IQR]) | 119.00 [116.33, 126.90] | 123.67 [117.58, 126.39] | 124.96 [122.70, 129.68] | 132.50 [125.25, 140.00] ab | 132.67 [131.73, 144.38] aa | 142.50 [134.27, 151.74] aaabbd |
| DBP (Hg mm) (median [IQR]) | 83.00 [78.00, 97.68] | 92.71 [88.65, 97.36] | 87.68 [76.00, 96.50] | 96.75 [82.25, 108.17] | 103.53 [99.85, 108.17] ac | 108.00 [101.33, 113.67] a |
| SHAM NP | SHAM HP | PTX NX NP | PTX NX HP | NX NP | NX HP | |
|---|---|---|---|---|---|---|
| n | 9 | 11 | 8 | 13 | 7 | 8 |
| RANKL (pg/mL) (median [IQR]) | 18.64 [14.13, 24.79] | 25.57 [17.58, 35.09] | 64.24 [37.24, 87.16] aa | 65.43 [31.92, 75.57] ab | 53.76 [53.34, 69.71] aa | 64.59 [45.13, 79.83] aab |
| OPG (pg/mL) (median [IQR]) | 2568.31 [2093.14, 3684.58] | 3024.64 [2405.98, 4888.46] | 3394.41 [2653.62, 4045.47] | 3438.16 [2478.00, 4160.14] | 3032.46 [2860.33, 3329.02] | 2815.49 [2183.17, 3021.41] |
| RANKL/OPG (%) | 0.73 [0.50, 0.96] | 0.55 [0.36, 1.03] | 2.23 [1.32, 2.88] a | 1.51 [0.69, 2.63] | 1.98 [1.66, 2.42] a | 2.95 [1.43, 3.39] aabb |
| LGR4 (ng/mL) (median [IQR]) | 3.23 [2.43, 3.75] | 2.81 [1.92, 3.10] | 3.26 [1.91, 4.94] | 4.42 [3.41, 5.49] | 3.09 [2.75, 4.20] | 3.17 [2.74, 4.40] |
| KI = 0 | KI ≥ 1 | p | |
|---|---|---|---|
| n | 10 | 31 | |
| Sex = Female (%) | 5 (50.0) | 13 (41.9) | 0.936 |
| Age (years) (median [IQR]) | 56.50 [52.25, 59.00] | 59.00 [56.50, 63.00] | 0.166 |
| Epigastric artery Ca content (µg Ca/mg protein) (median [IQR]) | 14.35 [10.48, 19.56] | 48.84 [17.95, 376.83] | 0.004 ** |
| LGR4/GAPDH (R.U.) (median [IQR]) | 0.80 [0.40, 1.07] | 0.59 [0.33, 1.29] | 0.345 |
| OPG/GAPDH (R.U.) (median [IQR]) | 0.79 [0.17, 1.16] | 0.38 [0.24, 0.91] | 0.851 |
| RANKL/GAPDH (R.U.) (median [IQR]) | 1.17 [0.60, 1.32] | 1.78 [1.02, 2.82] | 0.035 * |
| RSPO1/GAPDH (R.U.) (median [IQR]) | 0.43 [0.15, 1.99] | 0.29 [0.15, 0.54] | 0.306 |
| RSPO2/GAPDH (R.U.) (median [IQR]) | 0.66 [0.15, 1.45] | 0.57 [0.23, 2.04] | 0.935 |
| RSPO3/GAPDH (R.U.) (median [IQR]) | 0.63 [0.22, 1.41] | 0.55 [0.23, 0.82] | 0.642 |
| RSPO4/GAPDH (R.U.) (median [IQR]) | 0.62 [0.56, 1.28] | 1.32 [0.60, 2.44] | 0.130 |
Disclaimer/Publisher’s Note: The statements, opinions and data contained in all publications are solely those of the individual author(s) and contributor(s) and not of MDPI and/or the editor(s). MDPI and/or the editor(s) disclaim responsibility for any injury to people or property resulting from any ideas, methods, instructions or products referred to in the content. |
© 2024 by the authors. Licensee MDPI, Basel, Switzerland. This article is an open access article distributed under the terms and conditions of the Creative Commons Attribution (CC BY) license (https://creativecommons.org/licenses/by/4.0/).
Share and Cite
Fernández-Villabrille, S.; Martín-Vírgala, J.; Martín-Carro, B.; Baena-Huerta, F.; González-García, N.; Gil-Peña, H.; Rodríguez-García, M.; Fernández-Gómez, J.M.; Fernández-Martín, J.L.; Alonso-Montes, C.; et al. RANKL, but Not R-Spondins, Is Involved in Vascular Smooth Muscle Cell Calcification through LGR4 Interaction. Int. J. Mol. Sci. 2024, 25, 5735. https://doi.org/10.3390/ijms25115735
Fernández-Villabrille S, Martín-Vírgala J, Martín-Carro B, Baena-Huerta F, González-García N, Gil-Peña H, Rodríguez-García M, Fernández-Gómez JM, Fernández-Martín JL, Alonso-Montes C, et al. RANKL, but Not R-Spondins, Is Involved in Vascular Smooth Muscle Cell Calcification through LGR4 Interaction. International Journal of Molecular Sciences. 2024; 25(11):5735. https://doi.org/10.3390/ijms25115735
Chicago/Turabian StyleFernández-Villabrille, Sara, Julia Martín-Vírgala, Beatriz Martín-Carro, Francisco Baena-Huerta, Nerea González-García, Helena Gil-Peña, Minerva Rodríguez-García, Jesús María Fernández-Gómez, José Luis Fernández-Martín, Cristina Alonso-Montes, and et al. 2024. "RANKL, but Not R-Spondins, Is Involved in Vascular Smooth Muscle Cell Calcification through LGR4 Interaction" International Journal of Molecular Sciences 25, no. 11: 5735. https://doi.org/10.3390/ijms25115735
APA StyleFernández-Villabrille, S., Martín-Vírgala, J., Martín-Carro, B., Baena-Huerta, F., González-García, N., Gil-Peña, H., Rodríguez-García, M., Fernández-Gómez, J. M., Fernández-Martín, J. L., Alonso-Montes, C., Naves-Díaz, M., Carrillo-López, N., & Panizo, S. (2024). RANKL, but Not R-Spondins, Is Involved in Vascular Smooth Muscle Cell Calcification through LGR4 Interaction. International Journal of Molecular Sciences, 25(11), 5735. https://doi.org/10.3390/ijms25115735

