Genetic Modifications in Bacteria for the Degradation of Synthetic Polymers: A Review
Abstract
1. Introduction
1.1. Definition and Classification of Plastics
1.2. Advantages and Disadvantages of Plastics
2. Bioplastics as an Alternative to Petroleum-Based and Non-Biodegradable Plastics
3. Biodegradation of Plastic Polymers
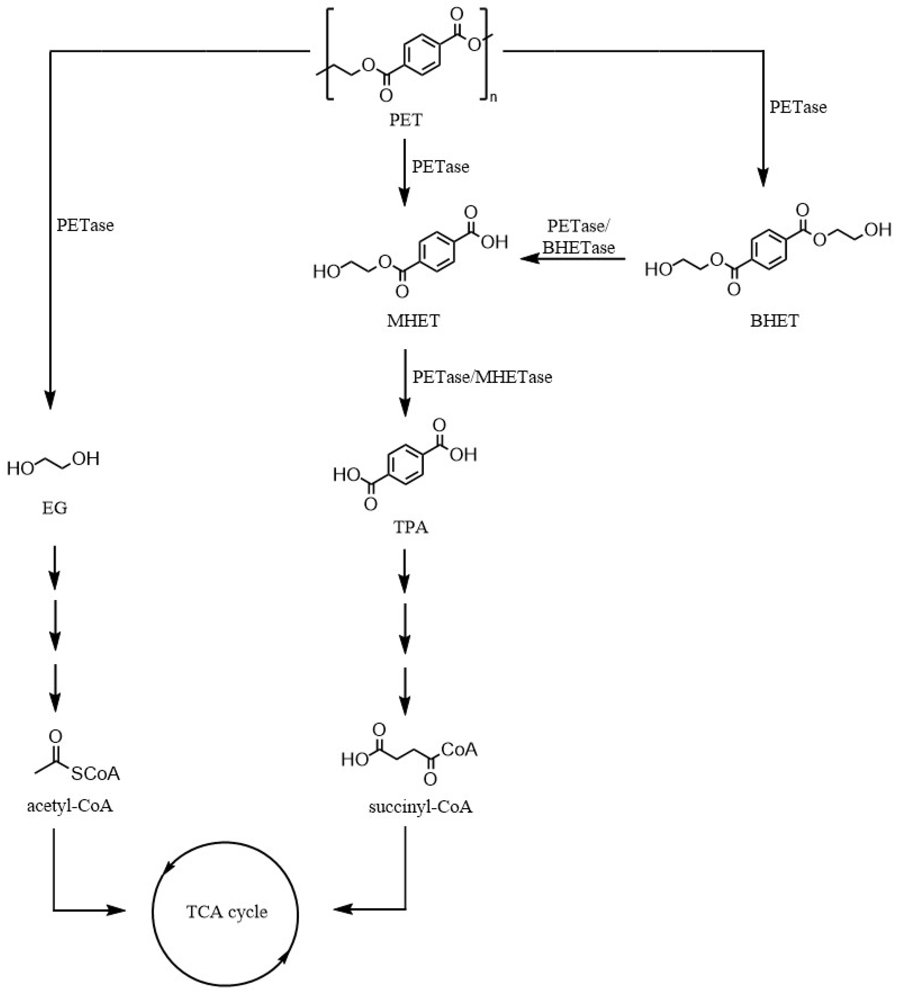
3.1. Biodegradation of PET
3.1.1. Enzymes Involved in the PET Degradation Pathway
3.1.2. Modifications of Bacteria and Enzymes to Improve PET Degradation
3.2. Biodegradation of Other Plastic Polymers
3.2.1. Polyethylene (PE)
3.2.2. Poly(butylene Adipate-co-terephthalate) (PBAT)
3.2.3. Poly(butylene succinate) (PBS)
3.2.4. Polylactic Acid (PLA)
3.2.5. Poly(3-hydroxybutyrate-co-3-hydroxyvalerate) (PHBV)
3.2.6. Polyvinyl Acetate (PVAC)
3.2.7. Poly(ε-caprolactone) (PCL)
3.2.8. Polyurethane (PU or PUR)
4. Conclusions
Author Contributions
Funding
Acknowledgments
Conflicts of Interest
References
- Shrivastava, A. Introduction to Plastics Engineering. In Introduction to Plastics Engineering; Elsevier: Amsterdam, The Netherlands, 2018; pp. 1–16. ISBN 9780323395007. [Google Scholar]
- Nayanathara Thathsarani Pilapitiya, P.G.C.; Ratnayake, A.S. The World of Plastic Waste: A Review. Clean. Mater. 2024, 11, 100220. [Google Scholar] [CrossRef]
- Geyer, R.; Jambeck, J.R.; Law, K.L. Production, Use, and Fate of All Plastics Ever Made. Sci. Adv. 2017, 3, e1700782. [Google Scholar] [CrossRef] [PubMed]
- Gambarini, V.; Pantos, O.; Kingsbury, J.M.; Weaver, L.; Handley, K.M.; Lear, G. PlasticDB: A Database of Microorganisms and Proteins Linked to Plastic Biodegradation. Database 2022, 2022, baac008. [Google Scholar] [CrossRef]
- Tournier, V.; Duquesne, S.; Guillamot, F.; Cramail, H.; Taton, D.; Marty, A.; André, I. Enzymes’ Power for Plastics Degradation. Chem. Rev. 2023, 123, 5612–5701. [Google Scholar] [CrossRef]
- Zhou, S.; Kuester, T.; Bochow, M.; Bohn, N.; Brell, M.; Kaufmann, H. A Knowledge-Based, Validated Classifier for the Identification of Aliphatic and Aromatic Plastics by WorldView-3 Satellite Data. Remote Sens. Environ. 2021, 264, 112598. [Google Scholar] [CrossRef]
- Niaounakis, M. (Ed.) Management of Marine Plastic Debris; Plastics Design Library; William Andrew Publishing: Oxford, UK, 2017; ISBN 9780323443548. [Google Scholar]
- UN Environment Programme. Drowning in Plastics—Marine Litter and Plastic Waste Vital Graphics. UNEP—UN Environment Programme. Available online: http://www.unep.org/resources/report/drowning-plastics-marine-litter-and-plastic-waste-vital-graphics (accessed on 23 March 2024).
- Standard Practice for Coding Plastic Manufactured Articles for Resin Identification. Available online: https://www.astm.org/d7611_d7611m-21.html (accessed on 23 March 2024).
- Plastics Europe. Plastics—The Fast Facts 2023. Available online: https://plasticseurope.org/knowledge-hub/plastics-the-fast-facts-2023/ (accessed on 23 March 2024).
- Plastics Europe. Plastics—The Facts 2021. Available online: https://plasticseurope.org/knowledge-hub/plastics-the-facts-2021/ (accessed on 23 March 2024).
- Institute, E. Home. Statistical Review of World Energy. Available online: https://www.energyinst.org/statistical-review/home (accessed on 23 March 2024).
- Plastic Atlas 2019: Facts and Figures about the World of Synthetic Polymers; Heinrich Böll Foundation: Berlin, Germany, 2019; ISBN 9783869282114.
- Jambeck, J.R.; Geyer, R.; Wilcox, C.; Siegler, T.R.; Perryman, M.; Andrady, A.; Narayan, R.; Law, K.L. Plastic Waste Inputs from Land into the Ocean. Science 2015, 347, 768–771. [Google Scholar] [CrossRef]
- Chamas, A.; Moon, H.; Zheng, J.; Qiu, Y.; Tabassum, T.; Jang, J.H.; Abu-Omar, M.; Scott, S.L.; Suh, S. Degradation Rates of Plastics in the Environment. ACS Sustain. Chem. Eng. 2020, 8, 3494–3511. [Google Scholar] [CrossRef]
- United States Department of Commerce, National Oceanic and Atmospheric Administration. Ingestion 2014—Report on the Occurrence and Health Effects of Anthropogenic Debris Ingested by Marine Organisms. Available online: https://marinedebris.noaa.gov/wildlife-and-habitat-impacts/occurrence-and-health-effects-anthropogenic-debris-ingested-marine-organisms (accessed on 23 March 2024).
- Environment, U.N. From Pollution to Solution: A Global Assessment of Marine Litter and Plastic Pollution. Available online: http://www.unep.org/resources/pollution-solution-global-assessment-marine-litter-and-plastic-pollution (accessed on 23 March 2024).
- De Souza Machado, A.A.; Kloas, W.; Zarfl, C.; Hempel, S.; Rillig, M.C. Microplastics as an Emerging Threat to Terrestrial Ecosystems. Glob. Chang. Biol. 2018, 24, 1405–1416. [Google Scholar] [CrossRef] [PubMed]
- Wright, S.L.; Kelly, F.J. Plastic and Human Health: A Micro Issue? Environ. Sci. Technol. 2017, 51, 6634–6647. [Google Scholar] [CrossRef]
- Prata, J.C.; Da Costa, J.P.; Lopes, I.; Duarte, A.C.; Rocha-Santos, T. Environmental Exposure to Microplastics: An Overview on Possible Human Health Effects. Sci. Total Environ. 2020, 702, 134455. [Google Scholar] [CrossRef]
- Hahladakis, J.N.; Velis, C.A.; Weber, R.; Iacovidou, E.; Purnell, P. An Overview of Chemical Additives Present in Plastics: Migration, Release, Fate and Environmental Impact during Their Use, Disposal and Recycling. J. Hazard. Mater. 2018, 344, 179–199. [Google Scholar] [CrossRef]
- Hermabessiere, L.; Dehaut, A.; Paul-Pont, I.; Lacroix, C.; Jezequel, R.; Soudant, P.; Duflos, G. Occurrence and Effects of Plastic Additives on Marine Environments and Organisms: A Review. Chemosphere 2017, 182, 781–793. [Google Scholar] [CrossRef]
- Chamanee, G.; Sewwandi, M.; Wijesekara, H.; Vithanage, M. Global Perspective on Microplastics in Landfill Leachate; Occurrence, Abundance, Characteristics, and Environmental Impact. Waste Manag. 2023, 171, 10–25. [Google Scholar] [CrossRef] [PubMed]
- GodvinSharmila, V.; Shanmugavel, S.P.; Tyagi, V.K.; Rajesh Banu, J. Microplastics as Emergent Contaminants in Landfill Leachate: Source, Potential Impact and Remediation Technologies. J. Environ. Manag. 2023, 343, 118240. [Google Scholar] [CrossRef]
- Redko, V.; Wolska, L.; Potrykus, M.; Olkowska, E.; Cieszyńska-Semenowicz, M.; Tankiewicz, M. Environmental Impacts of 5-Year Plastic Waste Deposition on Municipal Waste Landfills: A Follow-up Study. Sci. Total Environ. 2024, 906, 167710. [Google Scholar] [CrossRef]
- Ali, S.S.; Elsamahy, T.; Koutra, E.; Kornaros, M.; El-Sheekh, M.; Abdelkarim, E.A.; Zhu, D.; Sun, J. Degradation of Conventional Plastic Wastes in the Environment: A Review on Current Status of Knowledge and Future Perspectives of Disposal. Sci. Total Environ. 2021, 771, 144719. [Google Scholar] [CrossRef] [PubMed]
- European Bioplastics. What Are Bioplastics? Available online: https://www.european-bioplastics.org/bioplastics/ (accessed on 23 March 2024).
- Raza, Z.A.; Abid, S.; Banat, I.M. Polyhydroxyalkanoates: Characteristics, Production, Recent Developments and Applications. Int. Biodeterior. Biodegrad. 2018, 126, 45–56. [Google Scholar] [CrossRef]
- Koller, M.; Salerno, A.; Braunegg, G. Polyhydroxyalkanoates: Basics, Production and Applications of Microbial Biopolyesters. In Bio-Based Plastics; Kabasci, S., Ed.; Wiley: Hoboken, NJ, USA, 2013; pp. 137–170. ISBN 9781119994008. [Google Scholar]
- Li, Z.; Yang, J.; Loh, X.J. Polyhydroxyalkanoates: Opening Doors for a Sustainable Future. NPG Asia Mater. 2016, 8, e265. [Google Scholar] [CrossRef]
- Bishop, G.; Styles, D.; Lens, P.N.L. Environmental Performance of Bioplastic Packaging on Fresh Food Produce: A Consequential Life Cycle Assessment. J. Clean. Prod. 2021, 317, 128377. [Google Scholar] [CrossRef]
- Manfra, L.; Marengo, V.; Libralato, G.; Costantini, M.; De Falco, F.; Cocca, M. Biodegradable Polymers: A Real Opportunity to Solve Marine Plastic Pollution? J. Hazard. Mater. 2021, 416, 125763. [Google Scholar] [CrossRef]
- Atiwesh, G.; Mikhael, A.; Parrish, C.C.; Banoub, J.; Le, T.-A.T. Environmental Impact of Bioplastic Use: A Review. Heliyon 2021, 7, e07918. [Google Scholar] [CrossRef]
- Emadian, S.M.; Onay, T.T.; Demirel, B. Biodegradation of Bioplastics in Natural Environments. Waste Manag. 2017, 59, 526–536. [Google Scholar] [CrossRef] [PubMed]
- García-Depraect, O.; Bordel, S.; Lebrero, R.; Santos-Beneit, F.; Börner, R.A.; Börner, T.; Muñoz, R. Inspired by Nature: Microbial Production, Degradation and Valorization of Biodegradable Bioplastics for Life-Cycle-Engineered Products. Biotechnol. Adv. 2021, 53, 107772. [Google Scholar] [CrossRef] [PubMed]
- Nandakumar, A.; Chuah, J.-A.; Sudesh, K. Bioplastics: A Boon or Bane? Renew. Sustain. Energy Rev. 2021, 147, 111237. [Google Scholar] [CrossRef]
- Savva, K.; Borrell, X.; Moreno, T.; Pérez-Pomeda, I.; Barata, C.; Llorca, M.; Farré, M. Cytotoxicity Assessment and Suspected Screening of Plastic Additives in Bioplastics of Single-Use Household Items. Chemosphere 2023, 313, 137494. [Google Scholar] [CrossRef]
- Di Cesare, A.; Pinnell, L.J.; Brambilla, D.; Elli, G.; Sabatino, R.; Sathicq, M.B.; Corno, G.; O’Donnell, C.; Turner, J.W. Bioplastic Accumulates Antibiotic and Metal Resistance Genes in Coastal Marine Sediments. Environ. Pollut. 2021, 291, 118161. [Google Scholar] [CrossRef] [PubMed]
- Cucina, M.; De Nisi, P.; Tambone, F.; Adani, F. The Role of Waste Management in Reducing Bioplastics’ Leakage into the Environment: A Review. Bioresour. Technol. 2021, 337, 125459. [Google Scholar] [CrossRef]
- UNE-EN 17033:2018; Plastics—Biodegradable Mulch Films for Use in Agriculture and Horticulture—Requirements and Test Methods. UNE: Madrid, Spain, 2018. Available online: https://www.une.org/encuentra-tu-norma/busca-tu-norma/norma?c=N0060868 (accessed on 23 March 2024).
- UNE-EN 14995:2007; Plastics—Evaluation of Compostability—Test Scheme and Specifications. UNE: Madrid, Spain, 2018. Available online: https://www.une.org/encuentra-tu-norma/busca-tu-norma/norma?c=N0039863 (accessed on 23 March 2024).
- UNE-EN 13432:2001; Requirements for Packaging Recoverable through Composting and Biodegradation. Test Scheme and Evaluation Criteria for the Final Acceptance of Packaging. UNE: Madrid, Spain, 2018. Available online: https://www.une.org/encuentra-tu-norma/busca-tu-norma/norma?c=N0024465 (accessed on 23 March 2024).
- ISO 17088:2021; Plastics—Organic Recycling—Specifications for Compostable Plastics. ISO: Geneva, Switzerland, 2021. Available online: https://www.iso.org/standard/74994.html (accessed on 23 March 2024).
- ISO 22403:2020; Plastics—Assessment of the Intrinsic Biodegradability of Materials Exposed to Marine Inocula under Mesophilic Aerobic Laboratory Conditions—Test Methods and Requirements. ISO: Geneva, Switzerland, 2020. Available online: https://www.iso.org/es/contents/data/standard/07/31/73121.html (accessed on 23 March 2024).
- ISO 17556:2019; Plastics—Determination of the Ultimate Aerobic Biodegradability of Plastic Materials in Soil by Measuring the Oxygen Demand in a Respirometer or the Amount of Carbon Dioxide Evolved. ISO: Geneva, Switzerland, 2019. Available online: https://www.iso.org/es/contents/data/standard/07/49/74993.html (accessed on 23 March 2024).
- ISO 14853:2016; Plastics—Determination of the Ultimate Anaerobic Biodegradation of Plastic Materials in an Aqueous System—Method by Measurement of Biogas Production. ISO: Geneva, Switzerland, 2016. Available online: https://www.iso.org/es/contents/data/standard/06/78/67804.html (accessed on 23 March 2024).
- Chia, W.Y.; Ying Tang, D.Y.; Khoo, K.S.; Kay Lup, A.N.; Chew, K.W. Nature’s Fight against Plastic Pollution: Algae for Plastic Biodegradation and Bioplastics Production. Environ. Sci. Ecotechnology 2020, 4, 100065. [Google Scholar] [CrossRef] [PubMed]
- Marty, A.; Duquense, S.; Guicherd, M.; Vuillemin, M.; Ben Khaled, M. Improved Plastic Degrading Proteases. WO 2018/1091183 A1, 21 June 2018. [Google Scholar]
- Perz, V.; Baumschlager, A.; Bleymaier, K.; Zitzenbacher, S.; Hromic, A.; Steinkellner, G.; Pairitsch, A.; Łyskowski, A.; Gruber, K.; Sinkel, C.; et al. Hydrolysis of Synthetic Polyesters by Clostridium botulinum Esterases. Biotech Bioeng. 2016, 113, 1024–1034. [Google Scholar] [CrossRef]
- Liu, M.; Yang, S.; Long, L.; Cao, Y.; Ding, S. Engineering a Chimeric Lipase-Cutinase (Lip-Cut) for Efficient Enzymatic Deinking of Waste Paper. BioResources 2017, 13, 981–996. [Google Scholar] [CrossRef]
- Gamerith, C.; Vastano, M.; Ghorbanpour, S.M.; Zitzenbacher, S.; Ribitsch, D.; Zumstein, M.T.; Sander, M.; Herrero Acero, E.; Pellis, A.; Guebitz, G.M. Enzymatic Degradation of Aromatic and Aliphatic Polyesters by P. pastoris Expressed Cutinase 1 from Thermobifida cellulosilytica. Front. Microbiol. 2017, 8, 938. [Google Scholar] [CrossRef] [PubMed]
- Gamerith, C.; Herrero Acero, E.; Pellis, A.; Ortner, A.; Vielnascher, R.; Luschnig, D.; Zartl, B.; Haernvall, K.; Zitzenbacher, S.; Strohmeier, G.; et al. Improving Enzymatic Polyurethane Hydrolysis by Tuning Enzyme Sorption. Polym. Degrad. Stab. 2016, 132, 69–77. [Google Scholar] [CrossRef]
- Gyung Yoon, M.; Jeong Jeon, H.; Nam Kim, M. Biodegradation of Polyethylene by a Soil Bacterium and AlkB Cloned Recombinant Cell. J. Bioremed. Biodegrad. 2012, 3, 1–8. [Google Scholar] [CrossRef]
- Sulaiman, S.; Yamato, S.; Kanaya, E.; Kim, J.-J.; Koga, Y.; Takano, K.; Kanaya, S. Isolation of a Novel Cutinase Homolog with Polyethylene Terephthalate-Degrading Activity from Leaf-Branch Compost by Using a Metagenomic Approach. Appl. Environ. Microbiol. 2012, 78, 1556–1562. [Google Scholar] [CrossRef]
- Araújo, R.; Silva, C.; O’Neill, A.; Micaelo, N.; Guebitz, G.; Soares, C.M.; Casal, M.; Cavaco-Paulo, A. Tailoring Cutinase Activity towards Polyethylene Terephthalate and Polyamide 6,6 Fibers. J. Biotechnol. 2007, 128, 849–857. [Google Scholar] [CrossRef] [PubMed]
- Silva, C.; Da, S.; Silva, N.; Matamá, T.; Araújo, R.; Martins, M.; Chen, S.; Chen, J.; Wu, J.; Casal, M.; et al. Engineered Thermobifida fusca Cutinase with Increased Activity on Polyester Substrates. Biotechnol. J. 2011, 6, 1230–1239. [Google Scholar] [CrossRef] [PubMed]
- Herrero Acero, E.; Ribitsch, D.; Dellacher, A.; Zitzenbacher, S.; Marold, A.; Steinkellner, G.; Gruber, K.; Schwab, H.; Guebitz, G.M. Surface Engineering of a Cutinase from Thermobifida cellulosilytica for Improved Polyester Hydrolysis. Biotechnol. Bioeng. 2013, 110, 2581–2590. [Google Scholar] [CrossRef] [PubMed]
- Kawai, F.; Oda, M.; Tamashiro, T.; Waku, T.; Tanaka, N.; Yamamoto, M.; Mizushima, H.; Miyakawa, T.; Tanokura, M. A Novel Ca2+-Activated, Thermostabilized Polyesterase Capable of Hydrolyzing Polyethylene Terephthalate from Saccharomonospora viridis AHK190. Appl. Microbiol. Biotechnol. 2014, 98, 10053–10064. [Google Scholar] [CrossRef] [PubMed]
- Wei, R.; Oeser, T.; Schmidt, J.; Meier, R.; Barth, M.; Then, J.; Zimmermann, W. Engineered Bacterial Polyester Hydrolases Efficiently Degrade Polyethylene Terephthalate Due to Relieved Product Inhibition. Biotech. Bioeng. 2016, 113, 1658–1665. [Google Scholar] [CrossRef]
- Barth, M.; Honak, A.; Oeser, T.; Wei, R.; Belisário-Ferrari, M.R.; Then, J.; Schmidt, J.; Zimmermann, W. A Dual Enzyme System Composed of a Polyester Hydrolase and a Carboxylesterase Enhances the Biocatalytic Degradation of Polyethylene Terephthalate Films. Biotechnol. J. 2016, 11, 1082–1087. [Google Scholar] [CrossRef]
- Han, X.; Liu, W.; Huang, J.-W.; Ma, J.; Zheng, Y.; Ko, T.-P.; Xu, L.; Cheng, Y.-S.; Chen, C.-C.; Guo, R.-T. Structural Insight into Catalytic Mechanism of PET Hydrolase. Nat. Commun. 2017, 8, 2106. [Google Scholar] [CrossRef] [PubMed]
- Shirke, A.N.; White, C.; Englaender, J.A.; Zwarycz, A.; Butterfoss, G.L.; Linhardt, R.J.; Gross, R.A. Stabilizing Leaf and Branch Compost Cutinase (LCC) with Glycosylation: Mechanism and Effect on PET Hydrolysis. Biochemistry 2018, 57, 1190–1200. [Google Scholar] [CrossRef] [PubMed]
- Joo, S.; Cho, I.J.; Seo, H.; Son, H.F.; Sagong, H.-Y.; Shin, T.J.; Choi, S.Y.; Lee, S.Y.; Kim, K.-J. Structural Insight into Molecular Mechanism of Poly(Ethylene Terephthalate) Degradation. Nat. Commun. 2018, 9, 382. [Google Scholar] [CrossRef] [PubMed]
- Liu, B.; He, L.; Wang, L.; Li, T.; Li, C.; Liu, H.; Luo, Y.; Bao, R. Protein Crystallography and Site-Direct Mutagenesis Analysis of the Poly(Ethylene Terephthalate) Hydrolase PETase from Ideonella sakaiensis. ChemBioChem 2018, 19, 1471–1475. [Google Scholar] [CrossRef] [PubMed]
- Austin, H.P.; Allen, M.D.; Donohoe, B.S.; Rorrer, N.A.; Kearns, F.L.; Silveira, R.L.; Pollard, B.C.; Dominick, G.; Duman, R.; El Omari, K.; et al. Characterization and Engineering of a Plastic-Degrading Aromatic Polyesterase. Proc. Natl. Acad. Sci. USA 2018, 115, E4350–E4357. [Google Scholar] [CrossRef]
- Ma, Y.; Yao, M.; Li, B.; Ding, M.; He, B.; Chen, S.; Zhou, X.; Yuan, Y. Enhanced Poly(Ethylene Terephthalate) Hydrolase Activity by Protein Engineering. Engineering 2018, 4, 888–893. [Google Scholar] [CrossRef]
- Son, H.F.; Cho, I.J.; Joo, S.; Seo, H.; Sagong, H.-Y.; Choi, S.Y.; Lee, S.Y.; Kim, K.-J. Rational Protein Engineering of Thermo-Stable PETase from Ideonella sakaiensis for Highly Efficient PET Degradation. ACS Catal. 2019, 9, 3519–3526. [Google Scholar] [CrossRef]
- Yan, F.; Wei, R.; Cui, Q.; Bornscheuer, U.T.; Liu, Y. Thermophilic Whole-cell Degradation of Polyethylene Terephthalate Using Engineered Clostridium thermocellum. Microb. Biotechnol. 2021, 14, 374–385. [Google Scholar] [CrossRef]
- Tournier, V.; Topham, C.M.; Gilles, A.; David, B.; Folgoas, C.; Moya-Leclair, E.; Kamionka, E.; Desrousseaux, M.-L.; Texier, H.; Gavalda, S.; et al. An Engineered PET Depolymerase to Break down and Recycle Plastic Bottles. Nature 2020, 580, 216–219. [Google Scholar] [CrossRef]
- Sadler, J.C.; Wallace, S. Microbial Synthesis of Vanillin from Waste Poly(Ethylene Terephthalate). Green Chem. 2021, 23, 4665–4672. [Google Scholar] [CrossRef]
- Zhu, B.; Ye, Q.; Seo, Y.; Wei, N. Enzymatic Degradation of Polyethylene Terephthalate Plastics by Bacterial Curli Display PETase. Environ. Sci. Technol. Lett. 2022, 9, 650–657. [Google Scholar] [CrossRef]
- Chen, Y.; Zhang, S.; Zhai, Z.; Zhang, S.; Ma, J.; Liang, X.; Li, Q. Construction of Fusion Protein with Carbohydrate-Binding Module and Leaf-Branch Compost Cutinase to Enhance the Degradation Efficiency of Polyethylene Terephthalate. IJMS 2023, 24, 2780. [Google Scholar] [CrossRef] [PubMed]
- Li, T.; Menegatti, S.; Crook, N. Breakdown of polyethylene therepthalate Microplastics under Saltwater Conditions Using Engineered Vibrio natriegens. AIChE J. 2023, 69, e18228. [Google Scholar] [CrossRef]
- Ellis, L.D.; Rorrer, N.A.; Sullivan, K.P.; Otto, M.; McGeehan, J.E.; Román-Leshkov, Y.; Wierckx, N.; Beckham, G.T. Chemical and Biological Catalysis for Plastics Recycling and Upcycling. Nat. Catal. 2021, 4, 539–556. [Google Scholar] [CrossRef]
- Pang, K.; Kotek, R.; Tonelli, A. Review of Conventional and Novel Polymerization Processes for Polyesters. Prog. Polym. Sci. 2006, 31, 1009–1037. [Google Scholar] [CrossRef]
- Papadopoulou, A.; Hecht, K.; Buller, R. Enzymatic PET Degradation. Chimia 2019, 73, 743. [Google Scholar] [CrossRef]
- Dhandapani, A.; Krishnasamy, S.; Thiagamani, S.M.K.; Periasamy, D.; Muthukumar, C.; Sundaresan, T.K.; Ali, S.; Kurniawan, R. Evolution, Prospects, and Predicaments of Polymers in Marine Applications: A Potential Successor to Traditional Materials. Recycling 2024, 9, 8. [Google Scholar] [CrossRef]
- Muringayil Joseph, T.; Azat, S.; Ahmadi, Z.; Moini Jazani, O.; Esmaeili, A.; Kianfar, E.; Haponiuk, J.; Thomas, S. Polyethylene Terephthalate (PET) Recycling: A Review. Case Stud. Chem. Environ. Eng. 2024, 9, 100673. [Google Scholar] [CrossRef]
- Kushwaha, A.; Goswami, L.; Singhvi, M.; Kim, B.S. Biodegradation of Poly(Ethylene Terephthalate): Mechanistic Insights, Advances, and Future Innovative Strategies. Chem. Eng. J. 2023, 457, 141230. [Google Scholar] [CrossRef]
- Lv, S.; Li, Y.; Zhao, S.; Shao, Z. Biodegradation of Typical Plastics: From Microbial Diversity to Metabolic Mechanisms. IJMS 2024, 25, 593. [Google Scholar] [CrossRef]
- Yoshida, S.; Hiraga, K.; Takehana, T.; Taniguchi, I.; Yamaji, H.; Maeda, Y.; Toyohara, K.; Miyamoto, K.; Kimura, Y.; Oda, K. A Bacterium That Degrades and Assimilates Poly(Ethylene Terephthalate). Science 2016, 351, 1196–1199. [Google Scholar] [CrossRef] [PubMed]
- Magalhães, R.P.; Cunha, J.M.; Sousa, S.F. Perspectives on the Role of Enzymatic Biocatalysis for the Degradation of Plastic PET. IJMS 2021, 22, 11257. [Google Scholar] [CrossRef] [PubMed]
- Li, A.; Sheng, Y.; Cui, H.; Wang, M.; Wu, L.; Song, Y.; Yang, R.; Li, X.; Huang, H. Discovery and Mechanism-Guided Engineering of BHET Hydrolases for Improved PET Recycling and Upcycling. Nat. Commun. 2023, 14, 4169. [Google Scholar] [CrossRef] [PubMed]
- Kalathil, S.; Miller, M.; Reisner, E. Microbial Fermentation of Polyethylene Terephthalate (PET) Plastic Waste for the Production of Chemicals or Electricity. Angew. Chem. Int. Ed. 2022, 61, e202211057. [Google Scholar] [CrossRef] [PubMed]
- Diao, J.; Hu, Y.; Tian, Y.; Carr, R.; Moon, T.S. Upcycling of Poly(Ethylene Terephthalate) to Produce High-Value Bio-Products. Cell Rep. 2023, 42, 111908. [Google Scholar] [CrossRef] [PubMed]
- Matak, M.Y.; Moghaddam, M.E. The Role of Short-Range Cys171–Cys178 Disulfide Bond in Maintaining Cutinase Active Site Integrity: A Molecular Dynamics Simulation. Biochem. Biophys. Res. Commun. 2009, 390, 201–204. [Google Scholar] [CrossRef] [PubMed]
- Han, W.; Zhang, J.; Chen, Q.; Xie, Y.; Zhang, M.; Qu, J.; Tan, Y.; Diao, Y.; Wang, Y.; Zhang, Y. Biodegradation of Poly(Ethylene Terephthalate) through PETase Surface-Display: From Function to Structure. J. Hazard. Mater. 2024, 461, 132632. [Google Scholar] [CrossRef] [PubMed]
- Müller, R.; Schrader, H.; Profe, J.; Dresler, K.; Deckwer, W. Enzymatic Degradation of Poly(Ethylene Terephthalate): Rapid Hydrolyse Using a Hydrolase from T. fusca. Macromol. Rapid Commun. 2005, 26, 1400–1405. [Google Scholar] [CrossRef]
- Kissin, Y.V. Polyethylene: End-Use Properties and Their Physical Meaning; Carl Hanser Verlag GmbH & Co. KG: München, Germany, 2020; ISBN 9781569908310. [Google Scholar]
- Zhang, Y.; Pedersen, J.N.; Eser, B.E.; Guo, Z. Biodegradation of Polyethylene and Polystyrene: From Microbial Deterioration to Enzyme Discovery. Biotechnol. Adv. 2022, 60, 107991. [Google Scholar] [CrossRef]
- Nedi, E.G.; Ebu, S.M.; Somboo, M. Identification and Molecular Characterization of Polyethylene Degrading Bacteria from Garbage Dump Sites in Adama, Ethiopia. Environ. Technol. Innov. 2024, 33, 103441. [Google Scholar] [CrossRef]
- Li, X.; Li, G.; Wang, J.; Li, X.; Yang, Y.; Song, D. Elucidating Polyethylene Microplastic Degradation Mechanisms and Metabolic Pathways via Iron-Enhanced Microbiota Dynamics in Marine Sediments. J. Hazard. Mater. 2024, 466, 133655. [Google Scholar] [CrossRef] [PubMed]
- Kong, D.; Zhang, H.; Yuan, Y.; Wu, J.; Liu, Z.; Chen, S.; Zhang, F.; Wang, L. Enhanced Biodegradation Activity toward Polyethylene by Fusion Protein of Anchor Peptide and Streptomyces Sp. Strain K30 Latex Clearing Protein. Int. J. Biol. Macromol. 2024, 264, 130378. [Google Scholar] [CrossRef] [PubMed]
- Jehanno, C.; Alty, J.W.; Roosen, M.; De Meester, S.; Dove, A.P.; Chen, E.Y.-X.; Leibfarth, F.A.; Sardon, H. Critical Advances and Future Opportunities in Upcycling Commodity Polymers. Nature 2022, 603, 803–814. [Google Scholar] [CrossRef] [PubMed]
- Shah, A.A.; Kato, S.; Shintani, N.; Kamini, N.R.; Nakajima-Kambe, T. Microbial Degradation of Aliphatic and Aliphatic-Aromatic Co-Polyesters. Appl. Microbiol. Biotechnol. 2014, 98, 3437–3447. [Google Scholar] [CrossRef] [PubMed]
- Jian, J.; Xiangbin, Z.; Xianbo, H. An Overview on Synthesis, Properties and Applications of Poly(Butylene-Adipate-Co-Terephthalate)–PBAT. Adv. Ind. Eng. Polym. Res. 2020, 3, 19–26. [Google Scholar] [CrossRef]
- Witt, U.; Yamamoto, M.; Seeliger, U.; Müller, R.-J.; Warzelhan, V. Biodegradable Polymeric Materials—Not the Origin but the Chemical Structure Determines Biodegradability. Angew. Chem. Int. Ed. 1999, 38, 1438–1442. [Google Scholar] [CrossRef]
- Yang, Y.; Min, J.; Xue, T.; Jiang, P.; Liu, X.; Peng, R.; Huang, J.-W.; Qu, Y.; Li, X.; Ma, N.; et al. Complete Bio-Degradation of Poly(Butylene Adipate-Co-Terephthalate) via Engineered Cutinases. Nat. Commun. 2023, 14, 1645. [Google Scholar] [CrossRef] [PubMed]
- Xu, J.; Guo, B. Poly(Butylene Succinate) and Its Copolymers: Research, Development and Industrialization. Biotechnol. J. 2010, 5, 1149–1163. [Google Scholar] [CrossRef]
- Aliotta, L.; Seggiani, M.; Lazzeri, A.; Gigante, V.; Cinelli, P. A Brief Review of Poly (Butylene Succinate) (PBS) and Its Main Copolymers: Synthesis, Blends, Composites, Biodegradability, and Applications. Polymers 2022, 14, 844. [Google Scholar] [CrossRef]
- Taib, N.-A.A.B.; Rahman, M.R.; Huda, D.; Kuok, K.K.; Hamdan, S.; Bakri, M.K.B.; Julaihi, M.R.M.B.; Khan, A. A Review on Poly Lactic Acid (PLA) as a Biodegradable Polymer. Polym. Bull. 2023, 80, 1179–1213. [Google Scholar] [CrossRef]
- Ahankari, S.S.; Mohanty, A.K.; Misra, M. Mechanical Behaviour of Agro-Residue Reinforced Poly(3-Hydroxybutyrate-Co-3-Hydroxyvalerate), (PHBV) Green Composites: A Comparison with Traditional Polypropylene Composites. Compos. Sci. Technol. 2011, 71, 653–657. [Google Scholar] [CrossRef]
- Inamuddin; Altalhi, T. (Eds.) Handbook of Bioplastics and Biocomposites Engineering Applications, 1st ed.; Wiley: Hoboken, NJ, USA, 2023; ISBN 9781119160137. [Google Scholar]
- Liang, X.; Cha, D.K.; Xie, Q. Properties, Production, and Modification of Polyhydroxyalkanoates. Resour. Conserv. Recycl. Adv. 2024, 21, 200206. [Google Scholar] [CrossRef]
- Tanaka, T.; Fujita, M.; Takeuchi, A.; Suzuki, Y.; Uesugi, K.; Ito, K.; Fujisawa, T.; Doi, Y.; Iwata, T. Formation of Highly Ordered Structure in Poly[(R)-3-Hydroxybutyrate-co-(R)-3-Hydroxyvalerate] High-Strength Fibers. Macromolecules 2006, 39, 2940–2946. [Google Scholar] [CrossRef]
- Park, H.; He, H.; Yan, X.; Liu, X.; Scrutton, N.S.; Chen, G.-Q. PHA Is Not Just a Bioplastic! Biotechnol. Adv. 2024, 71, 108320. [Google Scholar] [CrossRef] [PubMed]
- Pieters, K.; Mekonnen, T.H. Stable Aqueous Dispersions of Poly(3-Hydroxybutyrate-Co-3-Hydroxyvalerate) (PHBV) Polymer for Barrier Paper Coating. Prog. Org. Coat. 2024, 187, 108101. [Google Scholar] [CrossRef]
- Dai, Z.; Li, B.; He, M.; Li, J.; Zou, X.; Wang, Y.; Shan, Y. Biodegradable and High-Performance Composites of Poly (Butylene Adipate-Co-Terephthalate) with PHBV Chain-Functionalized Nanocellulose. Prog. Org. Coat. 2024, 187, 108136. [Google Scholar] [CrossRef]
- Jahangiri, F.; Mohanty, A.K.; Pal, A.K.; Shankar, S.; Rodriguez-Uribe, A.; Clemmer, R.; Gregori, S.; Misra, M. PHBV Coating on Biodegradable Plastic Sheet: Effect of Coating on Morphological, Mechanical and Barrier Properties. Prog. Org. Coat. 2024, 189, 108270. [Google Scholar] [CrossRef]
- Kovalcik, A. Recent Advances in 3D Printing of Polyhydroxyalkanoates: A Review. EuroBiotech J. 2021, 5, 48–55. [Google Scholar] [CrossRef]
- Uddin, M.d.K.; Novembre, L.; Greco, A.; Sannino, A. Polyhydroxyalkanoates, A Prospective Solution in the Textile Industry—A Review. Polym. Degrad. Stab. 2024, 219, 110619. [Google Scholar] [CrossRef]
- You, X.; Zhou, Y.; Jin, X.; Xiang, S.; Pei, X.; Zhou, H.; Liao, Z.; Tan, Y. Green Fabrication of PHBV Microbeads Using a Dimethyl Isosorbide Solvent for Skin Exfoliators. Green Chem. 2023, 25, 9948–9958. [Google Scholar] [CrossRef]
- Patel, R.; Gómez-Cerezo, M.N.; Huang, H.; Grøndahl, L.; Lu, M. Degradation Behaviour of Porous Poly(Hydroxybutyrate-Co-Hydroxyvalerate) (PHBV) Scaffolds in Cell Culture. Int. J. Biol. Macromol. 2024, 257, 128644. [Google Scholar] [CrossRef] [PubMed]
- Kalva, S.N.; Dalvi, Y.B.; Khanam, N.; Varghese, R.; Ahammed, I.; Augustine, R.; Hasan, A. Air-Jet Spun PHBV/PCL Blend Tissue Engineering Scaffolds Exhibit Improved Mechanical Properties and Cell Proliferation. Results Mater. 2023, 19, 100415. [Google Scholar] [CrossRef]
- Bayrami, S.; Chamani, M.; JamaliMoghadamSiahkali, S.; SeyedAlinaghi, S.; Shirmard, L.R.; Bayrami, S.; Javar, H.A.; Ghahremani, M.H.; Amini, M.; Tehrani, M.R.; et al. Preparation, Characterization and in Vitro Evaluation of Insulin-PHBV Nanoparticles/Alginate Hydrogel Composite System for Prolonged Delivery of Insulin. J. Pharm. Sci. 2024; in press. [Google Scholar] [CrossRef]
- Tebaldi, M.L.; Maia, A.L.C.; Poletto, F.; De Andrade, F.V.; Soares, D.C.F. Poly(-3-Hydroxybutyrate-Co-3-Hydroxyvalerate) (PHBV): Current Advances in Synthesis Methodologies, Antitumor Applications and Biocompatibility. J. Drug Deliv. Sci. Technol. 2019, 51, 115–126. [Google Scholar] [CrossRef]
- Meng, D.-C.; Shen, R.; Yao, H.; Chen, J.-C.; Wu, Q.; Chen, G.-Q. Engineering the Diversity of Polyesters. Curr. Opin. Biotechnol. 2014, 29, 24–33. [Google Scholar] [CrossRef]
- Rabello, L.G.; Ribeiro, R.C.D.C.; Pinto, J.C.C.D.S.; Thiré, R.M.D.S.M. Chemical Recycling of Green Poly(3-Hydroxybutyrate-Co-3-Hydroxyvalerate) (PHBV)-Based Air Filters through Hydrolysis. J. Environ. Chem. Eng. 2024, 12, 111816. [Google Scholar] [CrossRef]
- Lyshtva, P.; Voronova, V.; Barbir, J.; Leal Filho, W.; Kröger, S.D.; Witt, G.; Miksch, L.; Saborowski, R.; Gutow, L.; Frank, C.; et al. Degradation of a Poly(3-Hydroxybutyrate-Co-3-Hydroxyvalerate) (PHBV) Compound in Different Environments. Heliyon 2024, 10, e24770. [Google Scholar] [CrossRef] [PubMed]
- Ho, Y.-H.; Gan, S.-N.; Tan, I.K.P. Biodegradation of a Medium-Chain-Length Polyhydroxyalkanoate in Tropical River Water. ABAB 2002, 102–103, 337–348. [Google Scholar] [CrossRef] [PubMed]
- Arcos-Hernandez, M.V.; Laycock, B.; Pratt, S.; Donose, B.C.; Nikolić, M.A.L.; Luckman, P.; Werker, A.; Lant, P.A. Biodegradation in a Soil Environment of Activated Sludge Derived Polyhydroxyalkanoate (PHBV). Polym. Degrad. Stab. 2012, 97, 2301–2312. [Google Scholar] [CrossRef]
- Weng, Y.-X.; Wang, X.-L.; Wang, Y.-Z. Biodegradation Behavior of PHAs with Different Chemical Structures under Controlled Composting Conditions. Polym. Test. 2011, 30, 372–380. [Google Scholar] [CrossRef]
- Salomez, M.; George, M.; Fabre, P.; Touchaleaume, F.; Cesar, G.; Lajarrige, A.; Gastaldi, E. A Comparative Study of Degradation Mechanisms of PHBV and PBSA under Laboratory-Scale Composting Conditions. Polym. Degrad. Stab. 2019, 167, 102–113. [Google Scholar] [CrossRef]
- Shah, A.A.; Hasan, F.; Hameed, A. Degradation of Poly(3-Hydroxybutyrate-Co-3-Hydroxyvalerate) by a Newly Isolated Actinomadura Sp. AF-555, from Soil. Int. Biodeterior. Biodegrad. 2010, 64, 281–285. [Google Scholar] [CrossRef]
- Calabia, B.P.; Tokiwa, Y. A Novel PHB Depolymerase from a Thermophilic Streptomyces sp. Biotechnol. Lett. 2006, 28, 383–388. [Google Scholar] [CrossRef] [PubMed]
- Kolter, K.; Dashevsky, A.; Irfan, M.; Bodmeier, R. Polyvinyl acetate-based film coatings. Int J Pharm. 2013, 457, 470–479. [Google Scholar] [CrossRef] [PubMed]
- Rathi, V.; Brajpuriya, R.; Gupta, R.; Parmar, K.P.S.; Kumar, A. Graphene-Derived Composites: A New Frontier in Thermoelectric Energy Conversion. Energy Adv. 2024, 3, 389–412. [Google Scholar] [CrossRef]
- Amann, M.; Minge, O. Biodegradability of Poly(Vinyl Acetate) and Related Polymers. In Synthetic Biodegradable Polymers; Rieger, B., Künkel, A., Coates, G.W., Reichardt, R., Dinjus, E., Zevaco, T.A., Eds.; Springer: Berlin/Heidelberg, Germany, 2011; Volume 245, pp. 137–172. ISBN 9783642271533. [Google Scholar]
- Kricheldorf, H.R.; Nuyken, O.; Swift, G. (Eds.) Handbook of Polymer Synthesis: Second Edition; CRC Press: Boca Raton, FL, USA, 2004; ISBN 9780429117008. [Google Scholar]
- Cappitelli, F.; Sorlini, C. Microorganisms Attack Synthetic Polymers in Items Representing Our Cultural Heritage. Appl. Environ. Microbiol. 2008, 74, 564–569. [Google Scholar] [CrossRef] [PubMed]
- Liu, Z.; Li, G.; Zhang, F.; Wu, J. Enhanced Biodegradation Activity towards Poly(Ethyl Acrylate) and Poly(Vinyl Acetate) by Anchor Peptide Assistant Targeting. J. Biotechnol. 2022, 349, 47–52. [Google Scholar] [CrossRef] [PubMed]
- Dhanasekaran, N.P.D.; Muthuvelu, K.S.; Arumugasamy, S.K. Recent Advancement in Biomedical Applications of Polycaprolactone and Polycaprolactone-Based Materials. In Encyclopedia of Materials: Plastics and Polymers; Elsevier: Amsterdam, The Netherlands, 2022; pp. 795–809. ISBN 9780128232910. [Google Scholar]
- Patra, S.; Singh, M.; Pareek, D.; Wasnik, K.; Gupta, P.S.; Paik, P. Advances in the Development of Biodegradable Polymeric Materials for Biomedical Applications. In Encyclopedia of Materials: Plastics and Polymers; Elsevier: Amsterdam, The Netherlands, 2022; pp. 532–566. ISBN 9780128232910. [Google Scholar]
- Kumar, S.; Singh, R. Bio-Compatible Polymer Matrix for 3D Printing: A Review. In Encyclopedia of Materials: Plastics and Polymers; Elsevier: Amsterdam, The Netherlands, 2022; pp. 39–46. ISBN 9780128232910. [Google Scholar]
- Gupta, D.; Dogra, V.; Verma, D.; Chaudhary, A.K.; Tewari, M. PCL-Based Composites and Their Utilizations in the Medical Sector. In Bioresorbable Polymers and Their Composites; Elsevier: Amsterdam, The Netherlands, 2024; pp. 63–83. ISBN 9780443189159. [Google Scholar]
- Hou, Y.; Wang, W.; Bartolo, P. Investigation of Polycaprolactone for Bone Tissue Engineering Scaffolds: In Vitro Degradation and Biological Studies. Mater. Des. 2022, 216, 110582. [Google Scholar] [CrossRef]
- Yadav, A.L.; Gurave, P.M.; Gadkari, R.R.; Wazed Ali, S. PCL-Based Bionanocomposites in Tissue Engineering and Regenerative Medicine. In Bionanocomposites in Tissue Engineering and Regenerative Medicine; Elsevier: Amsterdam, The Netherlands, 2021; pp. 465–480. ISBN 9780128212806. [Google Scholar]
- Wypych, G. PCL Poly(ɛ-Caprolactone). In Handbook of Polymers; Elsevier: Amsterdam, The Netherlands, 2016; pp. 323–325. ISBN 9781895198928. [Google Scholar]
- Chen, D.R.; Bei, J.Z.; Wang, S.G. Polycaprolactone Microparticles and Their Biodegradation. Polym. Degrad. Stab. 2000, 67, 455–459. [Google Scholar] [CrossRef]
- Richert, A.; Dąbrowska, G.B. Enzymatic Degradation and Biofilm Formation during Biodegradation of Polylactide and Polycaprolactone Polymers in Various Environments. Int. J. Biol. Macromol. 2021, 176, 226–232. [Google Scholar] [CrossRef]
- Yagi, H.; Ninomiya, F.; Funabashi, M.; Kunioka, M. Anaerobic Biodegradation Tests of Poly(Lactic Acid) and Polycaprolactone Using New Evaluation System for Methane Fermentation in Anaerobic Sludge. Polym. Degrad. Stab. 2009, 94, 1397–1404. [Google Scholar] [CrossRef]
- Al Hosni, A.S.; Pittman, J.K.; Robson, G.D. Microbial Degradation of Four Biodegradable Polymers in Soil and Compost Demonstrating Polycaprolactone as an Ideal Compostable Plastic. Waste Manag. 2019, 97, 105–114. [Google Scholar] [CrossRef] [PubMed]
- Lefebvre, F.; David, C.; Vander Wauven, C. Biodegradation of Polycaprolactone by Micro-Organisms from an Industrial Compost of Household Refuse. Polym. Degrad. Stab. 1994, 45, 347–353. [Google Scholar] [CrossRef]
- Eling, B.; Tomović, Ž.; Schädler, V. Current and Future Trends in Polyurethanes: An Industrial Perspective. Macro Chem. Phys. 2020, 221, 2000114. [Google Scholar] [CrossRef]
- Santos-Beneit, F.; Chen, L.M.; Bordel, S.; Frutos de la Flor, R.; García-Depraect, O.; Lebrero, R.; Rodriguez-Vega, S.; Muñoz, R.; Börner, R.A.; Börner, T. Screening Enzymes That Can Depolymerize Commercial Biodegradable Polymers: Heterologous Expression of Fusarium solani Cutinase in Escherichia coli. Microorganisms 2023, 11, 328. [Google Scholar] [CrossRef]
- Garrido, S.M.; Kitamoto, N.; Watanabe, A.; Shintani, T.; Gomi, K. Functional Analysis of FarA Transcription Factor in the Regulation of the Genes Encoding Lipolytic Enzymes and Hydrophobic Surface Binding Protein for the Degradation of Biodegradable Plastics in Aspergillus oryzae. J. Biosci. Bioeng. 2012, 113, 549–555. [Google Scholar] [CrossRef] [PubMed]




| Host | Plastic | Enzyme | Origin Species | Ref. |
|---|---|---|---|---|
| E. coli BL21 (DE3) | PLA | Protease (Plasmid: pET26b(+)) | Thermus sp. Rt41A | [48] |
| E. coli BL21-Gold (DE3) | PBAT | Esterases Cbotu_EstA and Cbotu_EstB | Clostridium botulinum | [49] |
| E. coli DH5α | PVAC, PCL | Cutinase (Cut) and lipase (Lip) (Plasmid: pPICZαA) | Thermomyces lanuginosus (Lip); Thielavia terrestris NRRL 8126 (Cut) | [50] |
| E. coli XL-10 | PET, PBS, PHBV | Cutinase 1 (Thc_Cut1) (Plasmid: pMK-T; pPICZαB) | Thermofida cellulosilytica | [51] |
| E. coli XL10-Gold | PU | Polyamidase (PA) (Plasmid: pET26b(+)) | Nocardia farcinica IMA 10152A (PA) | [52] |
| E. coli BL21 Gold (DE3) | PU | Polyamidase (PA) (Plasmid: pET26b(+)) | Nocardia farcinica IMA 10152A (PA) | [52] |
| E. coli BL21 | LMWPE | Alkane hydroxylase (Plasmid: pUC19) | Pseudomonas sp. E4 | [53] |
| E. coli BL21-CodonPlus (DE3) | PET, PCL | Cutinase | Metagenomical library | [54] |
| Host | Plastic | Enzyme | Origin Species | Ref. |
|---|---|---|---|---|
| E. coli BL21 (DE3) | PET | Cutinase (Plasmid: pET25b(+)) | Fusarium solani pisi | [55] |
| E. coli BL21 (DE3) | PET | Cutinase Tfu_0883 (Plasmid: pET20b) | Thermobifida fusca | [56] |
| E. coli BL21-Gold (DE3) | PET | Cutinase Thc_Cut2 (Plasmid: pET26b(+)) | Thermobifida cellulosilytica DSM44535 | [57] |
| E. coli DH5α | PET | Cutinase-type polyesterase (Cut190) (Plasmid: pGEM-T; pQE80L) | Saccharomonospora viridis AHK190 | [58] |
| E. coli Rosetta-gami B (DE3) | PET | Cutinase-type polyesterase (Cut190) (Plasmid: pGEM-T; pQE80L) | Saccharomonospora viridis AHK190 | [58] |
| E. coli BL21 (DE3) | PET | Cutinase TfCut2 | Thermobifida fusca KW3 | [59] |
| E. coli BL21 (DE3) | PET | Cutinase TfCut2, LC-Cutinase, carboxyl esterase TfCa (Plasmid: pET-20b(+)) | Thermobifida fusca KW3 | [60] |
| E. coli XL1-Blue | PET | PETase (Plasmid: pET32a) | Ideonella sakaiensis 201-F6 | [61] |
| E. coli BL21 DE3 | PET | LC-cutinase (Plasmid: PET28; PJ912) | Plant compost metagenome | [62] |
| E. coli Rosetta-gami B | PET | PETase (Plasmid: pET15b; pET15a) | Ideonella sakaiensis | [63] |
| E. coli BL21-CodonPlus (DE3) RIPL | PET | PETase (Plasmid: pET-21b) | Ideonella sakaiensis | [64] |
| E. coli C41 (DE3) | PET | PETase (Plasmid: pET-21b(+)) | Ideonella sakaiensis 201-F6 | [65] |
| E. coli BL21 (DE3) | PET | PETase (Plasmid: pET28a) | Ideonella sakaiensis | [66] |
| E. coli Rosetta-gami B | PET | Multiple modified IsPETase (IsPETaseS121E/D186H/R280A) | Ideonella sakaiensis | [67] |
| E. coli DH5α | PET | LC cutinase (Plasmid: pHK-LCC) | Plant compost metagenome | [68] |
| E. coli BL21 (DE3) | PET | LC cutinase (Plasmid: pHK-LCC) | Plant compost metagenome | [68] |
| Clostridium thermocellum DSM1313 | PET | LC cutinase (Plasmid: pHK-LCC) | Plant compost metagenome | [68] |
| E. coli BL21 (DE3) | PET | Hydrolases 1 and 2 (BTA1 and BTA2); cutinase (FsC); IsPETase; leaf-branch compost cutinase (LCC) | Thermobifida fusca (BTA1 and BTA2); Fusarium solani pisi (FsC); Ideonella sakaiensis 201-F6 (IsPETase); leaf compost metagenome (LCC) | [69] |
| E. coli MG1655 RARE | PET | Terephthalate 1,2-dioxygenase, dihydroxy-3,5-cyclohexadiene-1,4-dicarboxylic acid dehydrogenase, carboxylic acid reductase, catechol O-methyltransferase | Ideonella sakaiensis | [70] |
| E. coli PHL628 | PET | PETase bound to BIND platform | Ideonella sakaiensis | [71] |
| E. coli TOP10 | PET | PETase bound to BIND platform | Ideonella sakaiensis | [71] |
| E. coli BL21 (DE3) | PET | Leaf-branch compost, cutinase (LCC) and variants | Leaf compost metagenome | [72] |
| E. coli DH5α | PET | Leaf-branch compost, cutinase (LCC) and variants | Leaf compost metagenome | [72] |
| E. coli NEB5α | PET | IsPETase; IsPETase-MHETase chimera | Ideonella sakaiensis | [73] |
| Vibrio natriegens | PET | IsPETase; IsPETase-MHETase chimera | Ideonella sakaiensis | [73] |
Disclaimer/Publisher’s Note: The statements, opinions and data contained in all publications are solely those of the individual author(s) and contributor(s) and not of MDPI and/or the editor(s). MDPI and/or the editor(s) disclaim responsibility for any injury to people or property resulting from any ideas, methods, instructions or products referred to in the content. |
© 2024 by the authors. Licensee MDPI, Basel, Switzerland. This article is an open access article distributed under the terms and conditions of the Creative Commons Attribution (CC BY) license (https://creativecommons.org/licenses/by/4.0/).
Share and Cite
Martín-González, D.; de la Fuente Tagarro, C.; De Lucas, A.; Bordel, S.; Santos-Beneit, F. Genetic Modifications in Bacteria for the Degradation of Synthetic Polymers: A Review. Int. J. Mol. Sci. 2024, 25, 5536. https://doi.org/10.3390/ijms25105536
Martín-González D, de la Fuente Tagarro C, De Lucas A, Bordel S, Santos-Beneit F. Genetic Modifications in Bacteria for the Degradation of Synthetic Polymers: A Review. International Journal of Molecular Sciences. 2024; 25(10):5536. https://doi.org/10.3390/ijms25105536
Chicago/Turabian StyleMartín-González, Diego, Carlos de la Fuente Tagarro, Andrea De Lucas, Sergio Bordel, and Fernando Santos-Beneit. 2024. "Genetic Modifications in Bacteria for the Degradation of Synthetic Polymers: A Review" International Journal of Molecular Sciences 25, no. 10: 5536. https://doi.org/10.3390/ijms25105536
APA StyleMartín-González, D., de la Fuente Tagarro, C., De Lucas, A., Bordel, S., & Santos-Beneit, F. (2024). Genetic Modifications in Bacteria for the Degradation of Synthetic Polymers: A Review. International Journal of Molecular Sciences, 25(10), 5536. https://doi.org/10.3390/ijms25105536

