Abstract
Progressive cognitive decline in Alzheimer’s disease (AD) is a growing challenge. Present therapies are based on acetylcholinesterase inhibition providing only temporary relief. Promising alternatives include butyrylcholinesterase (BuChE) inhibitors, multi-target ligands (MTDLs) that address the multi-factorial nature of AD, and compounds that target oxidative stress and inflammation. Cinnamate derivatives, known for their neuroprotective properties, show potential when combined with established AD agents, demonstrating improved efficacy. They are being positioned as potential AD therapeutic leads due to their ability to inhibit Aβ accumulation and provide neuroprotection. This article highlights the remarkable potential of cinnamic acid as a basic structure that is easily adaptable and combinable to different active groups in the struggle against Alzheimer’s disease. Compounds with a methoxy substitution at the para-position of cinnamic acid display increased efficacy, whereas electron-withdrawing groups are generally more effective. The effect of the molecular volume is worthy of further investigation.
1. Introduction
Alzheimer’s disease (AD), a neurodegenerative disorder characterized by progressive cognitive decline, is expected to become increasingly prevalent in the coming years, according to researchers [1,2,3,4]. It is also worth noting that Alzheimer’s disease is recognized as the most common late-life mental disorder [5]. The fundamental pathology of the disease involves the loss of nerve cell function, primarily impacting areas of the brain linked to memory and cognition [6]. Despite extensive research, a definitive cause or etiology for the disease remains elusive. However, several common features are associated with Alzheimer’s disease, including reduced levels of acetylcholine (ACh), aggregation of amyloid-β (Aβ) deposits and increased oxidative stress. Extensive hyperphosphorylation of tau tangles and disorders in the homeostasis of certain biometallic ions are also hallmarks of the disease [7,8,9,10,11,12,13,14,15,16]. The condition is also associated with brain-derived neurotrophic factor, cell cycle and mitochondrial dysfunction hypotheses [17,18,19,20].
The pathogenic effects of Aβ accumulation are closely linked to lipid membrane permeability, oxidative stress and mitochondrial and endoplasmic reticulum dysfunction. In addition, excessive phosphorylation of the tau protein can disrupt both microtubule function and intercellular transport processes, while extracellular Aβ accumulation can lead to neuroinflammation by triggering the activation of microglia and astrocytes [21,22,23,24,25]. Treatments targeting this mode of pathophysiology typically involve secretase inhibitors or Aβ antibodies. Secretases are enzymes responsible for processing the amyloid precursor protein (APP) into both non-amyloidogenic and amyloidogenic fragments, making them critical for Aβ generation. However, these therapeutic approaches have not been as effective, often due to side effects or difficulties in reaching their intended targets [26,27,28,29].
Up to now, the treatment of the disease has mainly revolved around drugs that aim to increase acetylcholine levels by inhibiting the enzyme acetylcholinesterase (AChE). This is due to the association of AD with the loss of cholinergic function. There are several drugs that have been used for this purpose, including rivastigmine, donepezil, galantamine and tacrine (Figure 1) [30,31,32,33,34,35,36,37,38,39,40]. Except for tacrine, all of these agents are still in active use within clinical settings. Tacrine was withdrawn from the market due to hepatotoxicity [41,42,43]. In some cases, N-methyl-D-aspartate (NMDA) antagonists, which regulate glutamate activity by inhibiting NMDA receptors, have been used to relieve some of the disease’s symptoms [44]. While these drugs provide relief from the symptoms of the disease and improve the patient’s general condition, including cognitive function and memory, it is important to note that their effectiveness is temporary [30,31,32,33,34,35,36,37,38,39,40,45,46].
Figure 1.
Chemical structures of the following compounds: rivastigmine, donepezil, galantamine and tacrine.
It is important to distinguish between the two types of cholinesterase (ChE) associated with Alzheimer’s disease (AD): acetylcholinesterase (AChE) and butyrylcholinesterase (BuChE). Under normal conditions, the metabolism of acetylcholine is mainly controlled by AchE. However, in advanced Alzheimer’s disease, AchE activity in the brain decreases dramatically, sometimes by as much as 90%, while BuChE activity remains relatively stable [47,48,49,50]. In addition, a number of research studies have shown that BuChE inhibitors have a longer duration of action, increased stability and several other advantages in the treatment of Alzheimer’s disease [51]. Consequently, inhibition of BuChE has emerged as a promising therapeutic strategy and has been extensively investigated. Simultaneous inhibition of both enzymes also appears to be a potential strategy in the quest for Alzheimer’s disease (AD) therapies [52,53].
It is worth noting that the two enzymes share 65% amino acid homology and have two binding sites for inhibitors: the catalytic active site (CAS), located at the base of the enzyme, and the peripheral anionic site (PAS), located near the gorge entrance (Figure 2). Designing molecules that target both sites has been a widely investigated approach in recent years [54,55].
Figure 2.
Two-dimensional representation of acetylcholinesterase showing the catalytic active site (CAS) located at the base of the enzyme and the peripheral anionic site (PAS) [56].
Another enzyme that has been identified playing an important role in the pathophysiology of Alzheimer’s disease (AD) is monoamine oxidase B (MAO-B). Recent studies suggest increased MAO-B expression in Alzheimer’s patients in brain regions such as the hippocampus and cerebral cortex [57]. MAO-B is involved in the generation of hydroxyl radicals in the brain, which promote the accumulation of Aβ, a hallmark of AD pathology. Therefore, inhibition of MAO-B is considered a promising avenue for the treatment of AD. Selegiline (Figure 3), a known MAO-B inhibitor, has been demonstrated to improve cognition for people with AD [58,59].
Figure 3.
Chemical structure of selegiline.
Certain cellular processes occur before the onset of other features of Alzheimer’s disease (AD). Microglia and resident astrocytes trigger the production of pro-inflammatory cytokines such as NO, TNFα and ROS, which are a critical aspect of the inflammatory response associated with AD [60,61,62]. This phenomenon takes place before the appearance of amyloid beta plaques and neurofibrillary tangles. Evidence from many studies suggests that substances with antioxidant and anti-inflammatory properties may alleviate Alzheimer’s symptoms and inhibit disease progression. As a result, carefully designed drugs with antioxidant and anti-inflammatory properties may prove essential in both the prevention and treatment of Alzheimer’s disease [63,64].
To improve the treatment of Alzheimer’s disease (AD), recent research has focused on the design and synthesis of multi-target-directed ligands (MTDLs), which have shown considerable promise [65,66,67,68,69,70,71,72]. This is due to the multifactorial nature of Alzheimer’s disease. Single-target therapeutics for the treatment of Alzheimer’s disease have been rejected from clinical trials in recent years due to the complex and numerous molecular processes involved in the disease [72,73,74,75]. It is noteworthy that many therapeutic agents have been synthesized to target multiple biological entities simultaneously, including AChE inhibitors, inhibitors of Aβ (amyloid-beta) and tau protein accumulation, monoamine oxidase inhibitors and compounds with antioxidant activity [72,76,77,78,79,80,81,82,83,84,85]. The mentioned approach also improves patient compliance by minimizing the necessity of taking a combination of drugs [71].
Cinnamic acid and its derivatives, found in many plants, have been extensively researched for their antioxidant, anti-inflammatory and neuroprotective properties [86,87,88]. Given the established link between Alzheimer’s disease (AD) and oxidative stress, the administration of antioxidants would appear to be beneficial. However, studies have shown that the efficacy of antioxidants alone is significantly lower than their efficacy when in hybrids with recognized AD agents [89,90,91,92]. In addition, molecular hybridization has emerged as a prominent strategy in recent years, involving the combination of different bioactive groups in one single molecule to optimize therapeutic action and efficacy [93]. Moreover, research suggests that certain cinnamic acid derivatives have the ability to inhibit Aβ accumulation in vitro and have neuroprotective properties [94]. As a result, cinnamic acid is considered a potential lead compound for the development of agents for the management of neurodegenerative diseases such as Alzheimer’s disease [95].
The main objective of this review is to summarize recent advances in the use of cinnamic acid derivatives synthesized by hybridization with established bioactive moieties for the treatment of Alzheimer’s disease (AD). Furthermore, this review aims to analyze the results of these studies and to highlight the multifaceted activities of these compounds as multi-target agents.
2. Results
2.1. Tacrine Derivatives
Chen, Y. et al. [96] conducted a study involving the synthesis of tacrine (Figure 1) analogs fused to cinnamic acid derivatives. The compounds were designed on the basis that cinnamic acid derivatives have previously shown activity against Alzheimer’s disease. It was hypothesized that these compounds could access the narrow pocket within the active site of the AChE enzyme and develop interactions with the peripheral anionic site (PAS). The primary objective of this research was to evaluate the inhibitory potential of these compounds against two enzymes, namely AChE (from Electrophorus electricus) and BuChE (from equine serum). The study followed established protocols for in vitro assessment of enzymatic activity using Ellman’s method [66,97]. In addition, enzyme kinetics [98] and inhibitory effects on self-induced Ab1-42 aggregation [99] were investigated.
To achieve this, a series of tacrine-based molecules were synthesized, each attached to cinnamic acid via a diamine linker chain, varying in the number of intermediate carbons. Compounds with a higher number of intermediate carbons, especially those with six and eight carbon atoms, showed greater efficacy against AChE, which is confirmed by biological experiments. Among these two compounds, the one with a 6-carbon linker was the most favorable due to its comparable activity and lower molecular weight.
Having established the general structure (Figure 4) of the compounds, the researchers investigated different substituents on cinnamic acid in different positions. Methyl substitution increased anti-AChE activity when positioned at the para position only. Nitro substitution generally increased activity, with the para-nitro-substituted compound showing the highest activity. The -CF3 substitution increased activity, but only when placed at the para position. In summary, these substitutions were most effective in inhibiting AChE when located at the para position, followed by the meta position, and least effective at the ortho position. The pattern was reversed for the effect on BuChE. Halogen substitution had a stronger effect with 4-chloro substitution, followed by 4-bromo and then the less potent 4-fluoro substitution [65,66,70]. This pattern was consistent for both enzymes. The addition of a 4-OCH3 group increased the activity of both enzymes. The triple substituted 3,4,5-tri-OCH3 molecule displayed significant efficacy, surpassing 2,3,4-tri-OCH3. Compounds with a hydroxy group at positions 3 and 4 exhibited selectivity over AChE. Derivatives with a benzyloxy group in the para position showed reduced activity against AChE, while retaining activity against BuChE. This may be due to the broader binding site of BuChE, allowing these bulkier molecules to bind effectively in contrast to the narrower region of AChE. The compounds featuring 4-nitro, 4-chloro and 4-methoxy substitutions were also tested for their ability to inhibit the human enzymes (AChE and BuChE), to prevent self-induced Ab1-42 aggregation and to improve cognitive performance in the Morris water maze test. These results confirmed the potential of these compounds as promising multi-target therapeutics for the treatment of Alzheimer’s disease.
Figure 4.
The compounds which were synthesized and examined by Chen, Y. et al. [96].
Quintanova, C. and colleagues [100] synthesized and studied tacrine hybrids combined with cinnamic acid and cinnamylidene acetic acid. Their primary aim was to enhance the antioxidant properties by extending the conjugation of the double bond found in cinnamic acid. Each compound was screened for activity against AChE using the Ellman protocol [97]. Three compounds were synthesized for each tested substituent on the cinnamate moiety, with carbon numbers between tacrine and cinnamic acid ranging from two to four. The most promising compounds showed a 3,4-dimethoxy substitution and had a carbon number of two or three in the linker between the tacrine and the cinnamate residue (compounds I and II, Figure 5). Subsequently, compounds containing a methylenedioxy substituent with a linker carbon number of two or three showed considerable potential (compounds III and IV, Figure 5). Previous molecular docking studies by these researchers suggested that non-polar substituents facilitate hydrophobic interactions, thereby increasing the stability of their binding to the enzyme. Conversely, compounds with polar substituents, such as hydroxyl, showed reduced activity.
Figure 5.
The compounds synthesized by Quintanova, C. et al. [100] being identified as the most promising.
In addition, these compounds were subjected to an antioxidant capacity test involving interaction with the stable free radical 2,2-diphenyl-1-picrylhydrazyl (DPPH) [101]. It was observed that compounds containing hydroxyl groups exhibited higher antioxidant capabilities compared to the others, which showed moderate effects. In addition, these compounds were screened for inhibition of Aβ accumulation in vitro using thioflavin T (ThT). They were also tested in neuronal cells subjected to Aβ-induced stress and hydrogen peroxide (H2O2) to evaluate their potential neuroprotective role. These results indicate that derivatives similar to these compounds may be used as multipotent agents to halt Alzheimer’s disease (AD).
2.2. Isoquinoline and Quinoline Derivatives
Building on their previous research, Wang K. and colleagues [102], who had previously demonstrated the inhibitory potential of the 1,2,3,4-tetrahydroisoquinoline group against the BuChE enzyme [103,104,105], developed hybrid compounds by combining this group with various cinnamic acids. These compounds were screened as inhibitors of AChE and BuChE enzymes using the Ellman method [97] with donepezil as the reference compound.
The results showed that the synthesized hybrid compounds were not effective against AChE, but some demonstrated significant inhibitory activity against BuChE. In particular, the unsubstituted cinnamic acid-derived molecule (compound V—Figure 6) exhibited potent activity against BuChE, and this activity was significantly enhanced when the molecule was substituted with a hydroxy group (compound VI—Figure 6). Similarly, when the benzene ring of the acid was replaced with thiophene, the activity increased significantly (compound VII—Figure 6). However, the introduction of fluorine or the replacement of the benzene ring by naphthalene, pyridine or other acids such as (E)-2-methyl-3-phenylacrylic acid, 3-phenylpropiolic acid or methacrylic acid resulted in reduced activity against the BuChE enzyme. Reducing the double bond also decreased the activity of the compounds. Compound VII significantly inhibited human BuChE making it a potent and reversible inhibitor of the enzyme, which was proven through kinetic studies. In addition, both compounds VI and VII exhibited a remarkable inhibitory activity against monoamine oxidase B (MAO-B) and was shown to have antioxidant properties through the oxygen radical absorbance capacity fluorescein (ORAC-FL) assay [106], applying Trolox as a reference compound. Compound VII also displayed anti-inflammatory properties on LPS-induced PC12 cell injury (via the MTT assay [107]) and neuroprotective properties against SH-SY5Y cell injury induced by Aβ, via the MTT assay [108]. Furthermore, compound VII improved dyskinesia recovery rates and response efficiency in an AlCl3-induced zebrafish model. It further ameliorated scopolamine-induced memory impairment.
Figure 6.
Compounds synthesized by Wang Κ. and colleagues [102]. Compound V is the unsubstituted skeleton of their molecules.
Quinoline, a pharmacophore group, has been extensively used in the synthesis of bioactive compounds against neurodegenerative diseases. In addition, certain quinoline derivatives have been proposed as potential anti-AD agents [109,110]. Ge, Y.X. et al. [111] undertook the synthesis and evaluation of hybrid quinoline derivative molecules combined with cinnamic acids. They evaluated the efficacy of the compounds in inhibiting Aβ accumulation using the thioflavin T (ThT) fluorescence method [112]. In this study, resveratrol was used as a positive control and galantamine as a negative control. Compounds VIII, IX and X (Figure 7) showed similar activity to resveratrol and this activity was found to be dose dependent. Interestingly, the addition of substituents that are electron withdrawing groups, such as halogens, to the cinnamic acid moiety resulted in decreased activity or increased accumulation of Aβ.
Figure 7.
Compounds presenting most potential synthesized by Ge, Y-X. et al. [111].
In addition, promising compounds were evaluated for cytotoxicity against SHSY5Y cells using the MTT method [113]. All compounds exhibited IC50 values greater than 50 μM. Toxicity against the human hepatocyte cell line (LO2) was also evaluated, with IC50 values between 40 and 60 μM. The compounds were also evaluated for their activity against Aβ42-induced neurotoxicity in SH-SY5Y cells, using EGCG as a positive reference compound. The results showed a dose-dependent increase in the viability of SH-SY5Y cells. Based on these observations, it was concluded that these compounds have potential as neuroprotective agents and could serve as therapeutic candidates against Alzheimer’s disease.
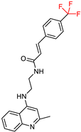
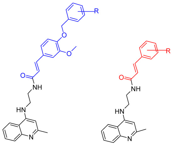
Building on their previous research [99,114] on the synthesis of cinnamate derivatives of tacrine [15,16], Mo, J. et al. [115] started to develop new molecules by removing the cyclohexane ring from tacrine. These efforts led to the synthesis of quinoline derivatives hybridized with ferulic acid (Figure 8), which allowed further investigation of the structure–activity relationship. Interestingly, these new compounds exhibited a reduced molecular weight.
Figure 8.
The basic molecular structure of the compounds synthesized by Mo, J. et al. [115]. The residual ferulic acid is shown in blue and the cinnamic acid in red.
In this case, the substituents are located on the terminal benzene ring of the ferulic acid, rather than on the benzene moiety of the cinnamic acid. Following the Ellman [97] protocol, the synthesized compounds were screened for their inhibitory activity against AChE and BuChE. Comparative analysis showed that the compound with a methyl group at the para position had activity similar to that of the unsubstituted compound. The compound with fluorine in the para position showed selectivity against BuChE, whereas the chloro substitution in the same position showed selectivity against AChE. Increased activity against both enzymes was observed for the compound with boron in the para position. Similarly, other electron withdrawing substituents such as 4-CF3 and 4-CN consistently demonstrated improved activity.
They subsequently synthesized quinoline derivatives with cinnamic acid (Figure 8), which gave comparable results in terms of substituents. The fluorine-substituted derivative also showed reduced activity, while the molecule with the highest activity against AChE had a nitro substitution. In general, electron-withdrawing substituents increased the activity of these molecules.
The two most promising compounds (Figure 9) underwent kinetic studies using Lineweaver–Burk plots [97], demonstrating a competitive type of inhibition. In addition, MTT assays performed on the HepG2 cell line [116] revealed hepatotoxicity, with compound XI showing higher toxicity compared to tacrine, while compound XII showed lower toxicity. A neuroprotective effect against H2O2-induced cell death was also detected in PC12 neurons, with compound XI showing a better neuroprotective effect. However, neither compound showed antioxidant properties in a 1,1-diphenyl-2-picrylhydrazyl (DPPH) [117] radical scavenging assay. They also failed to inhibit Aβ amyloid accumulation in a thioflavin T-based fluorimetric assay. Notably, compound XII showed a low antioxidant capacity of 27%. Consequently, the study suggests further investigation into ring replacement with alternative heterocycles.
Figure 9.
Compounds XI and XII are the most promising compounds synthesized by Mo, J. et al. [115].
2.3. Benzylpiperidine Derivatives
The N-benzylpiperidine group, present in established AChE inhibitors such as donepezil (Figure 1) [118,119], served as the basis for hybrid molecules synthesized by Martín Estrada et al. [120]. These hybrids incorporated N-benzylpiperidine and cinnamic acid. The compounds were evaluated for their inhibitory activity on human cholinesterases (hAChE and hBuChE) using the Ellman method [97], with donepezil as the reference compound. The most active compound, illustrated in Figure 10, showed greater selectivity towards BuChE than other synthesized derivatives. In particular, the methoxy group on the benzene ring of cinnamate was found to contribute significantly to the activity of the compound.
Figure 10.
Compound XIII: the most active derivative synthesized by Estrada, Μ. et al. [120].
However, this methoxy group contribution did not extend to inhibition of human MAO-A and MAO-B enzymes. In this context, the methoxy derivatives were almost inactive, whereas the p-hydroxy derivatives showed better inhibition. Interestingly, the di-hydroxy derivatives were the most effective. The compound with the most potential also showed good antioxidant properties in the ORAC assay. It also demonstrated neuroprotective properties, as it was able to protect the human neuroblastoma cell line SH-SY5Y against damage by free radicals in the mitochondria.
Based on their previous research, Wang, K. [102] and colleagues, previously demonstrated the BuChE inhibitory potential of the benzylpiperidine group which was synthesized from a series of cinnamic acid hybrids. These compounds were evaluated for their ability to inhibit both AChE and BuChE enzymes using the Ellman method with donepezil as the reference compound. These hybrids, which combine benzylpiperidine with various cinnamic acids, did not show any significant activity against AChE. However, some of these hybrids showed potent inhibitory effects against BuChE.
The core structure of cinnamic acid derivative (compound XIV—Figure 11) showed a moderate activity against BuChE, while the replacement of cinnamic acid with various other acids did not have a significant effect on the activity. In contrast, substitution with ferulic acid, methacrylic acid and 3-phenylpropionic acid resulted in increased inhibitory activity. Reduction of the double bond within the acid structure resulted in decreased activity for all compounds except compound XVI. Removal of the olefin group also resulted in lower activity. Compounds XV and XVI were also evaluated for their inhibitory effects on human BuChE. They were identified as potent inhibitors. In addition, these compounds showed moderate to strong inhibition of MAO-B. Compound XVI exhibited antioxidant properties, while compound XV was able to inhibit self-mediated Aβ1-42 aggregation and showed anti-inflammatory properties.
Figure 11.
Compounds that have been synthesized by Wang, K. et al. [102]. Compound XIV is unsubstituted and acts as a reference compound while XV and XVI are the most active.
2.4. β-Carboline Analogs
β-Carboline analogues have shown activity against Alzheimer’s disease (AD) through various mechanisms, including cholinesterase and monoamine oxidase (MAO) inhibition, anti-inflammatory activity and anti-Aβ accumulation activity [121,122,123,124,125]. However, the physicochemical properties of the bivalent β-carboline group are particularly poor. To address this, Liao, Q. et al. [126] synthesized and evaluated bivalent β-carboline molecules with cinnamic acids to improve their properties while retaining the beneficial anti-AD effects of both groups.
The compounds that showed greater inhibition of Aβ accumulation are shown in Figure 12. The inhibition assay used a thioflavin T (ThT) fluorescence assay with resveratrol as the reference compound [127,128]. These compounds showed robust inhibitory activity against the enzyme BuChE and high selectivity for this enzyme over AChE. In addition, these molecules showed excellent neuroprotective effects with low neurotoxicity. Importantly, oral administration of these compounds was able to restore cognitive function in Alzheimer’s mouse models.
Figure 12.
The most promising compounds synthesized by Liao, Q. et al. [126].
2.5. Tryptamine Derivatives
Tryptamine, a chemical group that has proven to be an effective scaffold for the synthesis of anticholinergic agents [129], was used by Ghafary, S. et al. [130] to create hybrid molecules with cinnamic acid. The anticholinergic activity of these compounds was evaluated by AChE and BuChE inhibition using Ellman’s method [97], with donepezil as the reference substance. The simplest unsubstituted compound exhibited moderate activity against both enzymes. The introduction of chlorine as a substituent on the benzoyl ring of cinnamate at different positions influenced the activity against AChE, with the ortho position showing the highest activity, whereas fluorine substitution decreased it. Notably, the compound with chlorine substitution at the ortho position showed the highest activity against BuChE (compound XX—Figure 13). Compounds with fluorine substitution showed increased activity against BuChE. Methyl substitution at each of the three positions slightly increased activity against AChE and more significantly against BuChE. Nitro substitution at all three positions significantly decreased activity against AChE. Significantly, increased anti-AChE activity seems to result from methoxy substitution, whereas double methoxy substitution at meta and ortho positions gives the most active AChE inhibitor (compound XXI—Figure 13). This compound is ineffective at inhibiting BuChE and exhibiting selectivity for AChE. A neuroprotective assay was then performed on compound XXI by exposing the PC12 cell line to H2O2-induced damage. The ability of the compound to inhibit beta-secretase 1 was also tested using the reference compound OM99-2, a hexapeptide derivative (CAS number 314266-76-7). Compound XXI showed no significant neuroprotective activity and inhibited beta-secretase 1 less than the reference compound. The compound was also evaluated for inhibition of self-induced Aβ aggregation using the thioflavin T (ThT) fluorescence method, with donepezil and curcumin as a reference. The compound was shown to inhibit Aβ aggregation to a level comparable to donepezil.
Figure 13.
Compound XIX represents the general structure of compounds synthesized by Ghafary, S. et al. [130]. Among them, compound XX exhibited the highest activity as a BuChE inhibitor, whereas compound XXI demonstrated superior activity as an AChE inhibitor.
2.6. Rivastigmine Derivatives
Chen, Z. et al. [131] carried out a synthesis and evaluation of cinnamate derivatives of rivastigmine (Figure 1), producing eight derivatives of hydroxycinnamic acids. The aim was to exploit the properties associated with this group, which is known for its demonstrated antioxidant, neuroprotective and Aβ accumulation inhibitory properties. The synthesized compounds were tested for their activity against AChE and BuChE enzymes, using donepezil and rivastigmine as reference compounds. Most of the compounds exhibited more potent inhibition of BuChE compared to rivastigmine, while maintaining or enhancing activity against AChE. Furthermore, all compounds were subjected to a DPPH radical scavenging assay, which demonstrated antioxidant properties for almost all derivatives. In addition, these compounds were evaluated to determine the rate of inhibition of Aβ1-42 self-aggregation. Of the eight compounds, three showed significant activity in this assay (Figure 14).
Figure 14.
Three compounds that showed significant inhibition of Aβ accumulation [131].
3. Discussion
Alzheimer’s disease is a multifactorial disease with a complex nature and an elusive etiology, posing significant challenges in the development of novel therapeutic interventions. Recent research efforts have focused on the synthesis of hybrid molecules that target multiple facets of the disease. This article highlights the considerable promise of cinnamic acid as a basic structure that can be combined with various groups that show activity against Alzheimer’s disease. Table 1 briefly outlines the most potential compound hybrids synthesized and their relevant activities. Each compound contains a cinnamic acid moiety and an additional different group, demonstrating the significant influence of cinnamic acid on their efficacy.
Table 1.
Summary of the most promising compounds and their activities.
Furthermore, these compounds exhibit multifunctional activities in line with the multi-target strategy. In addition to their inhibition of AChE and BuChE enzymes, the majority exhibit Aβ accumulation inhibition, antioxidant, and neuroprotective properties. In addition, some compounds show selectivity against BuChE, a key criterion in the development of new therapeutics.
Analysis of the compounds shows that, regardless of the group attached to the cinnamic acid moiety, a methoxy substitution at the benzene para position of cinnamic acid contributes significantly to increased potency. In general, electron-withdrawing substituents show increased activity, as exemplified by -CF3, with the exception of fluorine, which has shown reduced activity against AChE in specific studies.
The data suggest that the selectivity of the enzymes depends on the volume of the molecule, due to different spatial requirements in their active sites. However, this aspect requires further investigation.
Overall, there is an urgent need for extensive research into cinnamic acid hybrids for the prevention and treatment of Alzheimer’s disease. Given their promise, in-depth structural analysis would greatly advance our understanding and application of these compounds.
Author Contributions
A.D. contributed to the writing and preparation of the manuscript. E.P. contributed to the supervision, writing—review and editing of this manuscript. All authors have read and agreed to the published version of the manuscript.
Funding
This research received no external funding.
Institutional Review Board Statement
Not applicable.
Informed Consent Statement
Not applicable.
Data Availability Statement
There is no data to be reported in this study.
Acknowledgments
E. Pontiki would like to acknowledge D. Hadjipavlou-Litina, School of Pharmacy, Aristotle University of Thessaloniki for her guidance and useful advice.
Conflicts of Interest
The authors declare no conflicts of interest.
References
- Alzheimer’s Disease International. World Alzheimer Report 2019: Attitudes to dementia. London: Alzheimer’s Disease International. 2019. Available online: https://www.alzint.org/resource/world-alzheimer-report-2019/ (accessed on 25 December 2023).
- Tang, H.; Zhao, H.-T.; Zhong, S.-M.; Wang, Z.-Y.; Chen, Z.-F.; Liang, H. Novel oxoisoaporphine-based inhibitors of acetyl- and butyrylcholinesterase and acetylcholinesterase-induced beta-amyloid aggregation. Bioorg. Med. Chem. Lett. 2012, 22, 2257–2261. [Google Scholar] [CrossRef] [PubMed]
- Finder, V.H. Alzheimer’s Disease: A General Introduction and Pathomechanism. J. Alzheimer’s Dis. 2010, 22, S5–S19. [Google Scholar] [CrossRef] [PubMed]
- Thal, D.R.; Rüb, U.; Orantes, M.; Braak, H. Phases of Aβ-deposition in the human brain and its relevance for the development of AD. Neurology 2002, 58, 1791–1800. [Google Scholar] [CrossRef] [PubMed]
- Tumiatti, V.; Minarini, A.; Bolognesi, M.; Milelli, A.; Rosini, M.; Melchiorre, C. Tacrine Derivatives and Alzheimers Disease. Curr. Med. Chem. 2010, 17, 1825–1838. [Google Scholar] [CrossRef]
- Mo, S.; Gomathi, V.; Uma Maheswari, D.; Justin, A.; Venkateswarlu, B.S. Examining Novel Treatment Approaches and Problems in Alzheimer’s: An Overview. Lat. Am. J. Pharm. 2023, 42, 554–564. [Google Scholar]
- Jomova, K.; Valko, M. Advances in metal-induced oxidative stress and human disease. Toxicology 2011, 283, 65–87. [Google Scholar] [CrossRef]
- Barnham, K.J.; Masters, C.L.; Bush, A.I. Neurodegenerative diseases and oxidative stress. Nat. Rev. Drug Discov. 2004, 3, 205–214. [Google Scholar] [CrossRef]
- Su, B.; Wang, X.; Nunomura, A.; Moreira, P.I.; Lee, H.-G.; Perry, G.; Smith, M.A.; Zhu, X. Oxidative Stress Signaling in Alzheimers Disease. Curr. Alzheimer Res. 2008, 5, 525–532. [Google Scholar] [CrossRef]
- Ballatore, C.; Lee, V.M.-Y.; Trojanowski, J.Q. Tau-mediated neurodegeneration in Alzheimer’s disease and related disorders. Nat. Rev. Neurosci. 2007, 8, 663–672. [Google Scholar] [CrossRef]
- Karran, E.; Mercken, M.; De Strooper, B. The amyloid cascade hypothesis for Alzheimer’s disease: An appraisal for the development of therapeutics. Nat. Rev. Drug Discov. 2011, 10, 698–712. [Google Scholar] [CrossRef]
- Francis, P.T.; Palmer, A.M.; Snape, M.; Wilcock, G.K. The cholinergic hypothesis of Alzheimer’s disease: A review of progress. J. Neurol. Neurosurg. Psychiatry 1999, 66, 137–147. [Google Scholar] [CrossRef] [PubMed]
- Perrin, R.J.; Fagan, A.M.; Holtzman, D.M. Multimodal techniques for diagnosis and prognosis of Alzheimer’s disease. Nature 2009, 461, 916–922. [Google Scholar] [CrossRef] [PubMed]
- Jagust, W. Imaging the evolution and pathophysiology of Alzheimer disease. Nat. Rev. Neurosci. 2018, 19, 687–700. [Google Scholar] [CrossRef] [PubMed]
- Hampel, H.; Mesulam, M.-M.; Cuello, A.C.; Farlow, M.R.; Giacobini, E.; Grossberg, G.T.; Khachaturian, A.S.; Vergallo, A.; Cavedo, E.; Snyder, P.J.; et al. The cholinergic system in the pathophysiology and treatment of Alzheimer’s disease. Brain 2018, 141, 1917–1933. [Google Scholar] [CrossRef] [PubMed]
- De Benedictis, C.A.; Vilella, A.; Grabrucker, A.M. The Role of Trace Metals in Alzheimer’s Disease. In Alzheimer’s Disease; Codon Publications: New York, NY, USA, 2019; pp. 85–106. [Google Scholar]
- Devi, L.; Anandatheerthavarada, H.K. Mitochondrial trafficking of APP and alpha synuclein: Relevance to mitochondrial dysfunction in Alzheimer’s and Parkinson’s diseases. Biochim. Biophys. Acta (BBA) Mol. Basis Dis. 2010, 1802, 11–19. [Google Scholar] [CrossRef] [PubMed]
- Tapia-Arancibia, L.; Aliaga, E.; Silhol, M.; Arancibia, S. New insights into brain BDNF function in normal aging and Alzheimer disease. Brain Res. Rev. 2008, 59, 201–220. [Google Scholar] [CrossRef]
- Webber, K.M.; Raina, A.K.; Marlatt, M.W.; Zhu, X.; Prat, M.I.; Morelli, L.; Casadesus, G.; Perry, G.; Smith, M.A. The cell cycle in Alzheimer disease: A unique target for neuropharmacology. Mech. Ageing Dev. 2005, 126, 1019–1025. [Google Scholar] [CrossRef]
- Hamzeh, O.; Rabiei, F.; Shakeri, M.; Parsian, H.; Saadat, P.; Rostami-Mansoor, S. Mitochondrial dysfunction and inflammasome activation in neurodegenerative diseases: Mechanisms and therapeutic implications. Mitochondrion 2023, 73, 72–83. [Google Scholar] [CrossRef]
- Zhang, F.; Jiang, L. Neuroinflammation in Alzheimer’s disease. Lancet Neurol. 2015, 11, 243–256. [Google Scholar]
- Ramberg, V. Neuroinflammation in Alzheimer’s Disease: Focus on NF-κB and C/EBP Transcription Factors. Ph.D. Thesis, Stockholm University, Stockholm, Sweden, 2011. [Google Scholar]
- Hardy, J. The amyloid hypothesis for Alzheimer’s disease: A critical reappraisal. J. Neurochem. 2009, 110, 1129–1134. [Google Scholar] [CrossRef]
- Wenk, G.L.; Quack, G.; Moebius, H.-J.; Danysz, W. No interaction of memantine with acetylcholinesterase inhibitors approved for clinical use. Life Sci. 2000, 66, 1079–1083. [Google Scholar] [CrossRef] [PubMed]
- Stancu, I.-C.; Cremers, N.; Vanrusselt, H.; Couturier, J.; Vanoosthuyse, A.; Kessels, S.; Lodder, C.; Brône, B.; Huaux, F.; Octave, J.-N.; et al. Aggregated Tau activates NLRP3–ASC inflammasome exacerbating exogenously seeded and non-exogenously seeded Tau pathology in vivo. Acta Neuropathol. 2019, 137, 599–617. [Google Scholar] [CrossRef]
- Madav, Y.; Wairkar, S.; Prabhakar, B. Recent therapeutic strategies targeting beta amyloid and tauopathies in Alzheimer’s disease. Brain Res. Bull. 2019, 146, 171–184. [Google Scholar] [CrossRef]
- Berk, C.; Sabbagh, M.N. Successes and Failures for Drugs in Late-Stage Development for Alzheimer’s Disease. Drugs Aging 2013, 30, 783–792. [Google Scholar] [CrossRef]
- De Strooper, B. Lessons from a Failed γ-Secretase Alzheimer Trial. Cell 2014, 159, 721–726. [Google Scholar] [CrossRef]
- Yu, Y.J.; Watts, R.J. Developing Therapeutic Antibodies for Neurodegenerative Disease. Neurotherapeutics 2013, 10, 459–472. [Google Scholar] [CrossRef]
- Munoz-Torrero, D. Acetylcholinesterase Inhibitors as Disease-Modifying Therapies for Alzheimers Disease. Curr. Med. Chem. 2008, 15, 2433–2455. [Google Scholar] [CrossRef]
- Lemes, L.F.N.; Ramos, G.d.A.; de Oliveira, A.S.; da Silva, F.M.R.; Couto, G.d.C.; Boni, M.d.S.; Guimarães, M.J.R.; Souza, I.N.O.; Bartolini, M.; Andrisano, V.; et al. Cardanol-derived AChE inhibitors: Towards the development of dual binding derivatives for Alzheimer’s disease. Eur. J. Med. Chem. 2016, 108, 687–700. [Google Scholar] [CrossRef]
- Zemek, F.; Drtinova, L.; Nepovimova, E.; Sepsova, V.; Korabecny, J.; Klimes, J.; Kuca, K. Outcomes of Alzheimer’s disease therapy with acetylcholinesterase inhibitors and memantine. Expert Opin. Drug Saf. 2014, 13, 759–774. [Google Scholar] [CrossRef]
- De Jaeger, X.; Cammarota, M.; Prado, M.A.; Izquierdo, I.; Prado, V.F.; Pereira, G.S. Decreased acetylcholine release delays the consolidation of object recognition memory. Behav. Brain Res. 2013, 238, 62–68. [Google Scholar] [CrossRef] [PubMed]
- Viña, J.; Sanz-Ros, J. Alzheimer’s disease: Only prevention makes sense. Eur. J. Clin. Investig. 2018, 48, e13005. [Google Scholar] [CrossRef]
- Cummings, J.; Lee, G.; Mortsdorf, T.; Ritter, A.; Zhong, K. Alzheimer’s disease drug development pipeline: 2017. Alzheimer’s Dement. Transl. Res. Clin. Interv. 2017, 3, 367–384. [Google Scholar] [CrossRef]
- Desmarais, J.E.; Gauthier, S. Clinical use of cholinergic drugs in Alzheimer disease. Nat. Rev. Neurol. 2010, 6, 418–420. [Google Scholar] [CrossRef]
- Terry, A.V.; Buccafusco, J.J. The Cholinergic Hypothesis of Age and Alzheimer’s Disease-Related Cognitive Deficits: Recent Challenges and Their Implications for Novel Drug Development. J. Pharmacol. Exp. Ther. 2003, 306, 821–827. [Google Scholar] [CrossRef]
- Greig, N.H.; Utsuki, T.; Ingram, D.K.; Wang, Y.; Pepeu, G.; Scali, C.; Yu, Q.-S.; Mamczarz, J.; Holloway, H.W.; Giordano, T.; et al. Selective butyrylcholinesterase inhibition elevates brain acetylcholine, augments learning and lowers Alzheimer β-amyloid peptide in rodent. Proc. Natl. Acad. Sci. USA 2005, 102, 17213–17218. [Google Scholar] [CrossRef]
- Buss, S.S.; Fried, P.J.; Pascual-Leone, A. Therapeutic noninvasive brain stimulation in Alzheimer’s disease and related dementias. Curr. Opin. Neurol. 2019, 32, 292–304. [Google Scholar] [CrossRef]
- Makhaeva, G.F.; Shevtsova, E.F.; Kovaleva, N.V.; Rudakova, E.V.; Neganova, M.E.; Dubova, L.G.; Bachurin, S.O. Aminoadamantane conjugates with carbazole derivatives as potential multitarget agents for the treatment of Alzheimer’s disease. Effect of the spacer structure. Russ. Chem. Bull. 2018, 67, 2121–2126. [Google Scholar] [CrossRef]
- Liu, W.; Wu, L.; Li, D.; Huang, Y.; Liu, M.; Liu, W.; Tian, C.; Liu, X.; Jiang, X.; Hu, X.; et al. Discovery of novel tacrine derivatives as potent antiproliferative agents with CDKs inhibitory property. Bioorg. Chem. 2022, 126, 105875. [Google Scholar] [CrossRef]
- Watkins, P.B. Hepatotoxic Effects of Tacrine Administration in Patients With Alzheimer’s Disease. Jama 1994, 271, 992. [Google Scholar] [CrossRef] [PubMed]
- Qizilbash, N.; Birks, J.; López Arrieta, J.; Lewington, S.; Szeto, S. Tacrine for Alzheimer’s Disease; John Wiley & Sons, Inc.: Hoboken, NJ, USA, 1999. [Google Scholar]
- Parvathy Dharshini, S.A.; Sneha, N.P.; Yesudhas, D.; Kulandaisamy, A.; Rangaswamy, U.; Shanmugam, A.; Gromiha, M.M. Exploring Plausible Therapeutic Targets for Alzheimer’s Disease using Multi-omics Approach, Machine Learning and Docking. Curr. Top. Med. Chem. 2022, 22, 1868–1879. [Google Scholar] [CrossRef] [PubMed]
- Sanabria-Castro, A.; Alvarado-Echeverría, I.; Monge-Bonilla, C. Molecular Pathogenesis of Alzheimer’s Disease: An Update. Ann. Neurosci. 2017, 24, 46–54. [Google Scholar] [CrossRef]
- Khan, S.S.; Khatik, G.L.; Datusalia, A.K. Strategies for Treatment of Disease-Associated Dementia Beyond Alzheimer’s Disease: An Update. Curr. Neuropharmacol. 2022, 21, 309–339. [Google Scholar] [CrossRef]
- Greig, N.H.; Lahiri, D.K.; Sambamurti, K. Butyrylcholinesterase: An Important New Target in Alzheimer’s Disease Therapy. Int. Psychogeriatr. 2002, 14, 77–91. [Google Scholar] [CrossRef]
- Giacobini, E. Cholinesterases: New Roles in Brain Function and in Alzheimer’s Disease. Neurochem. Res. 2003, 28, 515–522. [Google Scholar] [CrossRef]
- Li, Q.; Yang, H.; Chen, Y.; Sun, H. Recent progress in the identification of selective butyrylcholinesterase inhibitors for Alzheimer’s disease. Eur. J. Med. Chem. 2017, 132, 294–309. [Google Scholar] [CrossRef]
- Perry, E.K.; Perry, R.H.; Blessed, G.; Tomlinson, B.E. Changes in Brain Cholinesterases in Senile Dementia of Alzheimer Type. Neuropathol. Appl. Neurobiol. 1978, 4, 273–277. [Google Scholar] [CrossRef]
- Shao, Z.; Liu, J. Spatio-temporal Hybrid Automata for Cyber-Physical Systems. In Proceedings of the Theoretical Aspects of Computing–ICTAC 2013: 10th International Colloquium, Shanghai, China, 4–6 September 2013; pp. 337–354. [Google Scholar]
- Khoobi, M.; Alipour, M.; Sakhteman, A.; Nadri, H.; Moradi, A.; Ghandi, M.; Shafiee, A. Design, synthesis, biological evaluation and docking study of 5-oxo-4,5-dihydropyrano[3,2-c]chromene derivatives as acetylcholinesterase and butyrylcholinesterase inhibitors. Eur. J. Med. Chem. 2013, 68, 260–269. [Google Scholar] [CrossRef]
- Bullock, R.; Lane, R. Executive Dyscontrol in Dementia, with Emphasis on Subcortical Pathology and the Role of Butyrylcholinesterase. Curr. Alzheimer Res. 2007, 4, 277–293. [Google Scholar] [CrossRef] [PubMed]
- Nordberg, A.; Ballard, C.; Bullock, R.; Darreh-Shori, T.; Somogyi, M. A Review of Butyrylcholinesterase as a Therapeutic Target in the Treatment of Alzheimer’s Disease. Prim. Care Companion J. Clin. Psychiatry 2013, 15, 26731. [Google Scholar] [CrossRef] [PubMed]
- Bourne, Y.; Taylor, P.; Radić, Z.; Marchot, P. Structural insights into ligand interactions at the acetylcholinesterase peripheral anionic site. EMBO J. 2003, 22, 1–12. [Google Scholar] [CrossRef] [PubMed]
- Peitzika, S.-C.; Pontiki, E. A Review on Recent Approaches on Molecular Docking Studies of Novel Compounds Targeting Acetylcholinesterase in Alzheimer Disease. Molecules 2023, 28, 1084. [Google Scholar] [CrossRef] [PubMed]
- Santin, Y.; Resta, J.; Parini, A.; Mialet-Perez, J. Monoamine oxidases in age-associated diseases: New perspectives for old enzymes. Ageing Res. Rev. 2021, 66, 101256. [Google Scholar] [CrossRef] [PubMed]
- Jost, W.H. A critical appraisal of MAO-B inhibitors in the treatment of Parkinson’s disease. J. Neural Transm. 2022, 129, 723–736. [Google Scholar] [CrossRef] [PubMed]
- Schedin-Weiss, S.; Inoue, M.; Hromadkova, L.; Teranishi, Y.; Yamamoto, N.G.; Wiehager, B.; Tjernberg, L.O. Monoamine oxidase B is elevated in Alzheimer disease neurons, is associated with γ-secretase and regulates neuronal amyloid β-peptide levels. Alzheimer’s Res. Ther. 2017, 9, 57. [Google Scholar] [CrossRef]
- Good, P.F.; Werner, P.; Hsu, A.; Olanow, C.W.; Perl, D.P. Evidence of neuronal oxidative damage in Alzheimer’s disease. Am. J. Pathol. 1996, 149, 21–28. [Google Scholar]
- Masters, C.L.; Cappai, R.; Barnham, K.J.; Villemagne, V.L. Molecular mechanisms for Alzheimer’s disease: Implications for neuroimaging and therapeutics. J. Neurochem. 2006, 97, 1700–1725. [Google Scholar] [CrossRef]
- Salim, S. Oxidative Stress and the Central Nervous System. J. Pharmacol. Exp. Ther. 2017, 360, 201–205. [Google Scholar] [CrossRef]
- Mullard, A. Alzheimer amyloid hypothesis lives on. Nat. Rev. Drug Discov. 2017, 16, 3–5. [Google Scholar] [CrossRef]
- Butini, S.; Brindisi, M.; Brogi, S.; Maramai, S.; Guarino, E.; Panico, A.; Saxena, A.; Chauhan, V.; Colombo, R.; Verga, L.; et al. Multifunctional Cholinesterase and Amyloid Beta Fibrillization Modulators. Synthesis and Biological Investigation. ACS Med. Chem. Lett. 2013, 4, 1178–1182. [Google Scholar] [CrossRef][Green Version]
- Bajda, M.; Guzior, N.; Ignasik, M.; Malawska, B. Multi-Target-Directed Ligands in Alzheimer’s Disease Treatment. Curr. Med. Chem. 2011, 18, 4949–4975. [Google Scholar] [CrossRef]
- Bolognesi, M.L.; Rosini, M.; Andrisano, V.; Bartolini, M.; Minarini, A.; Tumiatti, V.; Melchiorre, C. MTDL Design Strategy in the Context of Alzheimers Disease: From Lipocrine to Memoquin and Beyond. Curr. Pharm. Des. 2009, 15, 601–613. [Google Scholar] [CrossRef]
- Spilovska, K.; Korabecny, J.; Sepsova, V.; Jun, D.; Hrabinova, M.; Jost, P.; Muckova, L.; Soukup, O.; Janockova, J.; Kucera, T.; et al. Novel Tacrine-Scutellarin Hybrids as Multipotent Anti-Alzheimer’s Agents: Design, Synthesis and Biological Evaluation. Molecules 2017, 22, 1006. [Google Scholar] [CrossRef]
- Bolognesi, M.L.; Minarini, A.; Rosini, M.; Tumiatti, V.; Melchiorre, C. From dual binding site acetylcholinesterase inhibitors to multi-target-directed ligands (MTDLs): A step forward in the treatment of Alzheimer’s disease. Mini-Rev. Med. Chem. 2008, 8, 960–967. [Google Scholar] [CrossRef]
- Cavalli, A.; Bolognesi, M.L.; Minarini, A.; Rosini, M.; Tumiatti, V.; Recanatini, M.; Melchiorre, C. Multi-target-Directed Ligands To Combat Neurodegenerative Diseases. J. Med. Chem. 2008, 51, 347–372. [Google Scholar] [CrossRef]
- Wang, Y.; Wang, H.; Chen, H. AChE Inhibition-based Multi-target-directed Ligands, a Novel Pharmacological Approach for the Symptomatic and Disease-modifying Therapy of Alzheimer’s Disease. Curr. Neuropharmacol. 2016, 14, 364–375. [Google Scholar] [CrossRef]
- Benek, O.; Korabecny, J.; Soukup, O. A Perspective on Multi-target Drugs for Alzheimer’s Disease. Trends Pharmacol. Sci. 2020, 41, 434–445. [Google Scholar] [CrossRef]
- Knez, D.; Sova, M.; Košak, U.; Gobec, S. Dual inhibitors of cholinesterases and monoamine oxidases for Alzheimer’s disease. Futur. Med. Chem. 2017, 9, 811–832. [Google Scholar] [CrossRef]
- Lu, J.; Pan, W.; Hu, Y.-J.; Wang, Y.-T. Multi-Target Drugs: The Trend of Drug Research and Development. PLoS ONE 2012, 7, e40262. [Google Scholar] [CrossRef]
- Prati, F.; Uliassi, E.; Bolognesi, M.L. Two diseases, one approach: Multitarget drug discovery in Alzheimer’s and neglected tropical diseases. MedChemComm 2014, 5, 853–861. [Google Scholar] [CrossRef]
- Melchiorre, C.; Bolognesi, M.L.; Minarini, A.; Rosini, M.; Tumiatti, V. Polyamines in Drug Discovery: From the Universal Template Approach to the Multitarget-Directed Ligand Design Strategy. J. Med. Chem. 2010, 53, 5906–5914. [Google Scholar] [CrossRef]
- Sang, Z.; Li, Y.; Qiang, X.; Xiao, G.; Liu, Q.; Tan, Z.; Deng, Y. Multifunctional scutellarin–rivastigmine hybrids with cholinergic, antioxidant, biometal chelating and neuroprotective properties for the treatment of Alzheimer’s disease. Bioorg. Med. Chem. 2015, 23, 668–680. [Google Scholar] [CrossRef]
- Xie, S.S.; Lan, J.S.; Wang, X.; Wang, Z.M.; Jiang, N.; Li, F.; Kong, L.Y. Design, synthesis and biological evaluation of novel donepezil–coumarin hybrids as multi-target agents for the treatment of Alzheimer’s disease. Bioorg. Med. Chem. 2016, 24, 1528–1539. [Google Scholar] [CrossRef]
- Dias, K.S.T.; Viegas, C. Multi-Target Directed Drugs: A Modern Approach for Design of New Drugs for the treatment of Alzheimer’s Disease. Curr. Neuropharmacol. 2014, 12, 239–255. [Google Scholar] [CrossRef]
- Keri, R.S.; Quintanova, C.; Chaves, S.; Silva, D.F.; Cardoso, S.M.; Santos, M.A. New Tacrine Hybrids with Natural-Based Cysteine Derivatives as Multitargeted Drugs for Potential Treatment of Alzheimer’s Disease. Chem. Biol. Drug Des. 2016, 87, 101–111. [Google Scholar] [CrossRef]
- Leon, R.; Marco-Contelles, J. A Step Further Towards Multitarget Drugs for Alzheimer and Neuronal Vascular Diseases: Targeting the Cholinergic System, Amyloid-β Aggregation and Ca2++ Dyshomeostasis. Curr. Med. Chem. 2011, 18, 552–576. [Google Scholar] [CrossRef]
- Simoni, E.; Daniele, S.; Bottegoni, G.; Pizzirani, D.; Trincavelli, M.L.; Goldoni, L.; Cavalli, A. Combining galantamine and memantine in multitargeted, new chemical entities potentially useful in Alzheimer’s disease. J. Med. Chem. 2012, 55, 9708–9721. [Google Scholar] [CrossRef]
- Cavalli, A.; Bolognesi, M.L.; Capsoni, S.; Andrisano, V.; Bartolini, M.; Margotti, E.; Cattaneo, A.; Recanatini, M.; Melchiorre, C. A Small Molecule Targeting the Multifactorial Nature of Alzheimer’s Disease. Angew. Chem. Int. Ed. 2007, 46, 3689–3692. [Google Scholar] [CrossRef]
- Cummings, J.; Ritter, A.; Zhong, K. Clinical Trials for Disease-Modifying Therapies in Alzheimer’s Disease: A Primer, Lessons Learned, and a Blueprint for the Future. J. Alzheimer’s Dis. 2018, 64, S3-22. [Google Scholar] [CrossRef]
- Cummings, J.L.; Tong, G.; Ballard, C. Treatment Combinations for Alzheimer’s Disease: Current and Future Pharmacotherapy Options. J. Alzheimer’s Dis. 2019, 67, 779–794. [Google Scholar] [CrossRef]
- Atri, A. Current and Future Treatments in Alzheimer’s Disease. Semin. Neurol. 2019, 39, 227–240. [Google Scholar] [CrossRef]
- Al Maruf, A.; Lip, H.; Wong, H.; O’brien, P.J. Protective effects of ferulic acid and related polyphenols against glyoxal- or methylglyoxal-induced cytotoxicity and oxidative stress in isolated rat hepatocytes. Chem. Interact. 2015, 234, 96–104. [Google Scholar] [CrossRef]
- Villareal, M.O.; Sasaki, K.; Margout, D.; Savry, C.; Almaksour, Z.; Larroque, M.; Isoda, H. Neuroprotective effect of Picholine virgin olive oil and its hydroxycinnamic acids component against β-amyloid-induced toxicity in SH-SY5Y neurotypic cells. Cytotechnology 2016, 68, 2567–2578. [Google Scholar] [CrossRef]
- Zhang, X.; He, X.; Chen, Q.; Lu, J.; Rapposelli, S.; Pi, R. A review on the hybrids of hydroxycinnamic acid as multi-target-directed ligands against Alzheimer’s disease. Bioorg. Med. Chem. 2018, 26, 543–550. [Google Scholar] [CrossRef]
- Weinreb, O.; Amit, T.; Bar-Am, O.; Youdim, M.B. Induction of Neurotrophic Factors GDNF and BDNF Associated with the Mechanism of Neurorescue Action of Rasagiline and Ladostigil. Ann. N. Y. Acad. Sci. 2007, 1122, 155–168. [Google Scholar] [CrossRef]
- Luo, X.-T.; Wang, C.-M.; Liu, Y.; Huang, Z.-G. New multifunctional melatonin-derived benzylpyridinium bromides with potent cholinergic, antioxidant, and neuroprotective properties as innovative drugs for Alzheimer’s disease. Eur. J. Med. Chem. 2015, 103, 302–311. [Google Scholar] [CrossRef]
- Xie, S.S.; Lan, J.S.; Wang, X.B.; Jiang, N.; Dong, G.; Li, Z.R.; Kong, L.Y. Multifunctional tacrine–trolox hybrids for the treatment of Alzheimer’s disease with cholinergic, antioxidant, neuroprotective and hepatoprotective properties. Eur. J. Med. Chem. 2015, 93, 42–50. [Google Scholar] [CrossRef]
- Mecocci, P.; Polidori, M.C. Antioxidant clinical trials in mild cognitive impairment and Alzheimer’s disease. Biochim. Biophys. Acta (BBA) Mol. Basis Dis. 2012, 1822, 631–638. [Google Scholar] [CrossRef]
- Ivasiv, V.; Albertini, C.; Goncalves, A.E.; Rossi, M.; Bolognesi, M.L. Molecular Hybridization as a Tool for Designing Multitarget Drug Candidates for Complex Diseases. Curr. Top. Med. Chem. 2019, 19, 1694–1711. [Google Scholar] [CrossRef] [PubMed]
- Lan, J.-S.; Hou, J.-W.; Liu, Y.; Ding, Y.; Zhang, Y.; Li, L.; Zhang, T. Design, synthesis and evaluation of novel cinnamic acid derivatives bearing N-benzyl pyridinium moiety as multifunctional cholinesterase inhibitors for Alzheimer’s disease. J. Enzym. Inhib. Med. Chem. 2017, 32, 776–788. [Google Scholar] [CrossRef] [PubMed]
- Ruwizhi, N.; Aderibigbe, B.A. Cinnamic Acid Derivatives and Their Biological Efficacy. Int. J. Mol. Sci. 2020, 21, 5712. [Google Scholar] [CrossRef] [PubMed]
- Chen, Y.; Zhu, J.; Mo, J.; Yang, H.; Jiang, X.; Lin, H.; Gu, K.; Pei, Y.; Wu, L.; Tan, R.; et al. Synthesis and bioevaluation of new tacrine-cinnamic acid hybrids as cholinesterase inhibitors against Alzheimer’s disease. J. Enzym. Inhib. Med. Chem. 2018, 33, 290–302. [Google Scholar] [CrossRef] [PubMed]
- Ellman, G.L.; Courtney, K.D.; Andres, V., Jr.; Featherstone, R.M. A new and rapid colorimetric determination of acetylcholinesterase activity. Biochem. Pharmacol. 1961, 7, 88–95. [Google Scholar] [CrossRef] [PubMed]
- Chen, Y.; Lin, H.; Yang, H.; Tan, R.; Bian, Y.; Fu, T.; Li, W.; Wu, L.; Pei, Y.; Sun, H. Discovery of new acetylcholinesterase and butyrylcholinesterase inhibitors through structure-based virtual screening. RSC Adv. 2017, 7, 3429–3438. [Google Scholar] [CrossRef]
- Chen, Y.; Lin, H.; Zhu, J.; Gu, K.; Li, Q.; He, S.; Sun, H. Design, synthesis, in vitro and in vivo evaluation of tacrine–cinnamic acid hybrids as multi-target acetyl- and butyrylcholinesterase inhibitors against Alzheimer’s disease. RSC Adv. 2017, 7, 33851–33867. [Google Scholar] [CrossRef]
- Quintanova, C.; Keri, R.S.; Marques, S.M.; G-Fernandes, M.; Cardoso, S.M.; Serralheiro, M.L.; Santos, M.A. Design, synthesis and bioevaluation of tacrine hybrids with cinnamate and cinnamylidene acetate derivatives as potential anti-Alzheimer drugs. MedChemComm 2015, 6, 1969–1977. [Google Scholar] [CrossRef]
- Tepe, B.; Daferera, D.; Sokmen, A.; Sokmen, M.; Polissiou, M. Antimicrobial and antioxidant activities of the essential oil and various extracts of Salvia tomentosa Miller (Lamiaceae). Food Chem. 2005, 90, 333–340. [Google Scholar] [CrossRef]
- Wang, K.; Shi, J.; Zhou, Y.; He, Y.; Mi, J.; Yang, J.; Liu, S.; Tang, X.; Liu, W.; Tan, Z.; et al. Design, synthesis and evaluation of cinnamic acid hybrids as multi-target-directed agents for the treatment of Alzheimer’s disease. Bioorg. Chem. 2021, 112, 104879. [Google Scholar] [CrossRef]
- Li, T.; Pan, W.; Wang, K.; Liu, W.; Ma, Q.; Sang, Z. Novel Ferulic Acid-donepezil Hybrids as Multifunctional Agents for th e Treatment of Alzheimer’s Disease with Butyrylcholinesterase, Amyloid-β, Antioxidant and Neuroprotective Properties. Lett. Drug Des. Discov. 2017, 14, 918–929. [Google Scholar] [CrossRef]
- Sang, Z.; Wang, K.; Han, X.; Cao, M.; Tan, Z.; Liu, W. Design, Synthesis, and Evaluation of Novel Ferulic Acid Derivatives as Multi-Target-Directed Ligands for the Treatment of Alzheimer’s Disease. ACS Chem. Neurosci. 2019, 10, 1008–1024. [Google Scholar] [CrossRef]
- Sang, Z.; Pan, W.; Wang, K.; Ma, Q.; Yu, L.; Yang, Y.; Bai, P.; Leng, C.; Xu, Q.; Li, X.; et al. Design, synthesis and evaluation of novel ferulic acid- O -alkylamine derivatives as potential multifunctional agents for the treatment of Alzheimer’s disease. Eur. J. Med. Chem. 2017, 130, 379–392. [Google Scholar] [CrossRef]
- Sang, Z.; Wang, K.; Shi, J.; Cheng, X.; Zhu, G.; Wei, R.; Ma, Q.; Yu, L.; Zhao, Y.; Tan, Z.; et al. Apigenin-rivastigmine hybrids as multi-target-directed liagnds for the treatment of Alzheimer’s disease. Eur. J. Med. Chem. 2020, 187, 111958. [Google Scholar] [CrossRef] [PubMed]
- Zhang, G.; Liu, Y.; Xu, L.; Sha, C.; Zhang, H.; Xu, W. Resveratrol alleviates lipopolysaccharide-induced inflammation in PC-12 cells and in rat model. BMC Biotechnol. 2019, 19, 1–9. [Google Scholar] [CrossRef] [PubMed]
- Xiao, Z.; Huang, C.; Wu, J.; Sun, L.; Hao, W.; Leung, L.K.; Huang, J. The neuroprotective effects of ipriflavone against H2O2 and amyloid beta induced toxicity in human neuroblastoma SH-SY5Y cells. Eur. J. Pharmacol. 2013, 721, 286–293. [Google Scholar] [CrossRef] [PubMed]
- Umar, T.; Shalini, S.; Raza, M.K.; Gusain, S.; Kumar, J.; Ahmed, W.; Hoda, N. New amyloid beta-disaggregating agents: Synthesis, pharmacological evaluation, crystal structure and molecular docking of N-(4-((7-chloroquinolin-4-yl)oxy)-3-ethoxybenzyl)amines. MedChemComm 2018, 9, 1891–1904. [Google Scholar] [CrossRef] [PubMed]
- Pavlidis, N.; Kofinas, A.; Papanikolaou, M.G.; Miras, H.N.; Drouza, C.; Kalampounias, A.G.; Leondaritis, G. Synthesis, characterization and pharmacological evaluation of quinoline derivatives and their complexes with copper(ΙΙ) in in vitro cell models of Alzheimer’s disease. J. Inorg. Biochem. 2021, 217, 111393. [Google Scholar] [CrossRef] [PubMed]
- Ge, Y.-X.; Cheng, Z.-Q.; Zhou, L.; Xie, H.-X.; Wang, Y.-Y.; Zhu, K.; Jiao, Y.; Liu, G.; Jiang, C.-S. Synthesis and biological evaluation of quinoline/cinnamic acid hybrids as amyloid-beta aggregation inhibitors. Monatshefte Für Chem. Chem. Mon. 2020, 151, 845–852. [Google Scholar] [CrossRef]
- Guzior, N.; Wieckowska, A.; Panek, D.; Malawska, B. Recent Development of Multifunctional Agents as Potential Drug Candidates for the Treatment of Alzheimer’s Disease. Curr. Med. Chem. 2014, 22, 373–404. [Google Scholar] [CrossRef]
- Jiang, C.-S.; Ge, Y.-X.; Cheng, Z.-Q.; Wang, Y.-Y.; Tao, H.-R.; Zhu, K.; Zhang, H. Discovery of New Selective Butyrylcholinesterase (BChE) Inhibitors with Anti-Aβ Aggregation Activity: Structure-Based Virtual Screening, Hit Optimization and Biological Evaluation. Molecules 2019, 24, 2568. [Google Scholar] [CrossRef]
- Zhu, J.; Yang, H.; Chen, Y.; Lin, H.; Li, Q.; Mo, J.; Bian, Y.; Pei, Y.; Sun, H. Synthesis, pharmacology and molecular docking on multifunctional tacrine-ferulic acid hybrids as cholinesterase inhibitors against Alzheimer’s disease. J. Enzym. Inhib. Med. Chem. 2018, 33, 496–506. [Google Scholar] [CrossRef]
- Mo, J.; Yang, H.; Chen, T.; Li, Q.; Lin, H.; Feng, F.; Sun, H. Design, synthesis, biological evaluation, and molecular modeling studies of quinoline-ferulic acid hybrids as cholinesterase inhibitors. Bioorg. Chem. 2019, 93, 103310. [Google Scholar] [CrossRef]
- Pourabdi, L.; Khoobi, M.; Nadri, H.; Moradi, A.; Moghadam, F.H.; Emami, S.; Mojtahedi, M.M.; Haririan, I.; Forootanfar, H.; Ameri, A.; et al. Synthesis and structure-activity relationship study of tacrine-based pyrano[2,3-c]pyrazoles targeting AChE/BuChE and 15-LOX. Eur. J. Med. Chem. 2016, 123, 298–308. [Google Scholar] [CrossRef] [PubMed]
- Xie, S.-S.; Wang, X.-B.; Li, J.-Y.; Yang, L.; Kong, L.-Y. Design, synthesis and evaluation of novel tacrine–coumarin hybrids as multifunctional cholinesterase inhibitors against Alzheimer’s disease. Eur. J. Med. Chem. 2013, 64, 540–553. [Google Scholar] [CrossRef] [PubMed]
- Montanari, S.; Bartolini, M.; Neviani, P.; Belluti, F.; Gobbi, S.; Pruccoli, L.; Rampa, A. Multitarget Strategy to Address Alzheimer’s Disease: Design, Synthesis, Biological Evaluation, and Computational Studies of Coumarin-Based Derivatives. ChemMedChem 2016, 11, 1296–1308. [Google Scholar] [CrossRef] [PubMed]
- Tarozzi, A.; Bartolini, M.; Piazzi, L.; Valgimigli, L.; Amorati, R.; Bolondi, C.; Rampa, A. From the dual function lead AP2238 to AP2469, a multi-target-directed ligand for the treatment of Alzheimer’s disease. Pharmacol. Res. Perspect. 2014, 2, 23. [Google Scholar] [CrossRef] [PubMed]
- Estrada, M.; Herrera-Arozamena, C.; Pérez, C.; Viña, D.; Romero, A.; Morales-García, J.A.; Pérez-Castillo, A.; Rodríguez-Franco, M.I. New cinnamic–N-benzylpiperidine and cinnamic–N,N-dibenzyl(N-methyl)amine hybrids as Alzheimer-directed multitarget drugs with antioxidant, cholinergic, neuroprotective and neurogenic properties. Eur. J. Med. Chem. 2016, 121, 376–386. [Google Scholar] [CrossRef] [PubMed]
- Horton, W.; Sood, A.; Peerannawar, S.; Kugyela, N.; Kulkarni, A.; Tulsan, R.; Török, M. Synthesis and application of β-carbolines as novel multi-functional anti-Alzheimer’s disease agents. Bioorg. Med. Chem. Lett. 2017, 27, 232–236. [Google Scholar] [CrossRef] [PubMed]
- Hamann, J.; Wernicke, C.; Lehmann, J.; Reichmann, H.; Rommelspacher, H.; Gille, G. 9-Methyl-β-carboline up-regulates the appearance of differentiated dopaminergic neurones in primary mesencephalic culture. Neurochem. Int. 2008, 52, 688–700. [Google Scholar] [CrossRef]
- Gruss, M.; Appenroth, D.; Flubacher, A.; Enzensperger, C.; Bock, J.; Fleck, C.; Braun, K. 9-Methyl-β-carboline-induced cognitive enhancement is associated with elevated hippocampal dopamine levels and dendritic and synaptic proliferation. J. Neurochem. 2012, 121, 924–931. [Google Scholar] [CrossRef]
- Francik, R.; Kazek, G.; Cegła, M.; Stepniewski, M. Antioxidant activity of beta-carboline derivatives. Acta Pol. Pharmaceut. Drug Res. 2011, 68, 185–189. [Google Scholar]
- Sanchez-Ramos, J.R. Banisterine and Parkinson’s Disease. Clin. Neuropharmacol. 1991, 14, 391–402. [Google Scholar] [CrossRef]
- Liao, Q.; Li, Q.; Zhao, Y.; Jiang, P.; Yan, Y.; Sun, H.; Liu, W.; Feng, F.; Qu, W. Design, synthesis and biological evaluation of novel carboline-cinnamic acid hybrids as multifunctional agents for treatment of Aslzheimer’s disease. Bioorg. Chem. 2020, 99, 103844. [Google Scholar] [CrossRef] [PubMed]
- Lu, C.; Guo, Y.; Yan, J.; Luo, Z.; Luo, H.B.; Yan, M.; Li, X. Design, synthesis, and evaluation of multitarget-directed resveratrol derivatives for the treatment of Alzheimer’s disease. J. Med. Chem. 2013, 56, 5843–5859. [Google Scholar] [CrossRef] [PubMed]
- Rosini, M.; Simoni, E.; Bartolini, M.; Cavalli, A.; Ceccarini, L.; Pascu, N.; Melchiorre, C. Inhibition of acetylcholinesterase, β-amyloid aggregation, and NMDA receptors in Alzheimer’s disease: A promising direction for the multi-target-directed ligands gold rush. J. Med. Chem. 2008, 51, 4381–4384. [Google Scholar] [CrossRef] [PubMed]
- Ghanei-Nasab, S.; Khoobi, M.; Hadizadeh, F.; Marjani, A.; Moradi, A.; Nadri, H.; Emami, S.; Foroumadi, A.; Shafiee, A. Synthesis and anticholinesterase activity of coumarin-3-carboxamides bearing tryptamine moiety. Eur. J. Med. Chem. 2016, 121, 40–46. [Google Scholar] [CrossRef] [PubMed]
- Ghafary, S.; Ghobadian, R.; Mahdavi, M.; Nadri, H.; Moradi, A.; Akbarzadeh, T.; Najafi, Z.; Sharifzadeh, M.; Edraki, N.; Moghadam, F.H.; et al. Design, synthesis, and evaluation of novel cinnamic acid-tryptamine hybrid for inhibition of acetylcholinesterase and butyrylcholinesterase. DARU J. Pharm. Sci. 2020, 28, 463–477. [Google Scholar] [CrossRef]
- Chen, Z.; Digiacomo, M.; Tu, Y.; Gu, Q.; Wang, S.; Yang, X.; Chu, J.; Chen, Q.; Han, Y.; Chen, J.; et al. Discovery of novel rivastigmine-hydroxycinnamic acid hybrids as multi-targeted agents for Alzheimer’s disease. Eur. J. Med. Chem. 2017, 125, 784–792. [Google Scholar] [CrossRef]
Disclaimer/Publisher’s Note: The statements, opinions and data contained in all publications are solely those of the individual author(s) and contributor(s) and not of MDPI and/or the editor(s). MDPI and/or the editor(s) disclaim responsibility for any injury to people or property resulting from any ideas, methods, instructions or products referred to in the content. |
© 2024 by the authors. Licensee MDPI, Basel, Switzerland. This article is an open access article distributed under the terms and conditions of the Creative Commons Attribution (CC BY) license (https://creativecommons.org/licenses/by/4.0/).




























