A Novel Hybrid Platform for Live/Dead Bacteria Accurate Sorting by On-Chip DEP Device
Abstract
1. Introduction
2. Results and Discussions
2.1. Design of the Proposed Platform
2.2. Design of the Micromixer
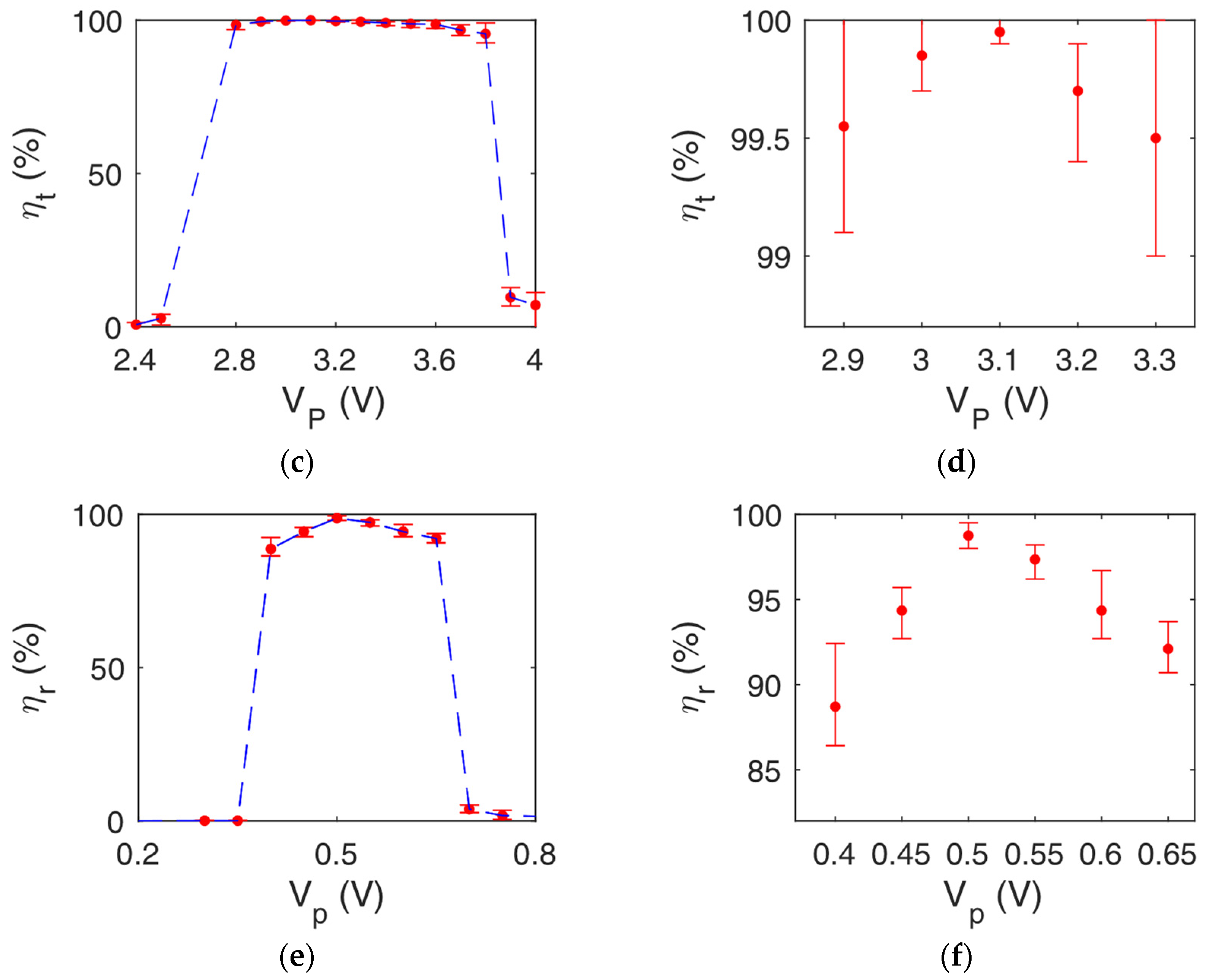
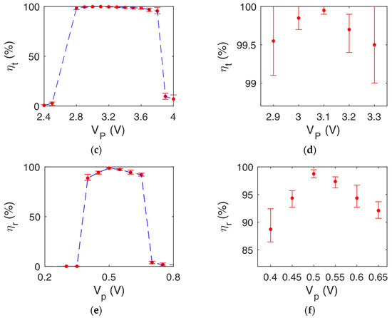
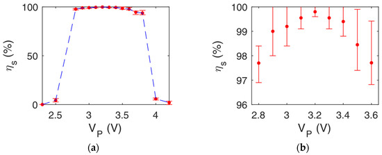
2.3. Design of the Microfluidic Channel
3. Materials and Methods
4. Conclusions
Author Contributions
Funding
Data Availability Statement
Conflicts of Interest
References
- Brunetti, G.; Conteduca, D.; Armenise, M.N.; Ciminelli, C. Novel Micro-Nano Optoelectronic Biosensor for Label-Free Real-Time Biofilm Monitoring. Biosensors 2021, 11, 361. [Google Scholar] [CrossRef] [PubMed]
- Stewart, P.S.; Costerton, J.W. Antibiotic resistance of bacteria in biofilm. Lancet 2001, 358, 135–138. [Google Scholar] [CrossRef] [PubMed]
- Andersson, D.I.; Hughes, D. Antibiotic resistance and its cost: Is it possible to reverse resistance? Nat. Rev. Microbiol. 2010, 8, 260–271. [Google Scholar] [CrossRef] [PubMed]
- Menolascina, F.; Bellomo, D.; Maiwald, T.; Bevilacqua, V.; Ciminelli, C.; Paradiso, A.; Tommasi, S. Developing optimal input design strategies in cancer systems biology with applications to microfluidic device engineering. BMC Bioinform. 2009, 10, S4. [Google Scholar] [CrossRef] [PubMed]
- Ericsson, H.M.; Sherris, J.C. Antibiotic sensitivity testing. Report of an international collaborative study. Acta Path. Micro. Scan. 1971, 217, 90. [Google Scholar]
- Jorgensen, J.H.; Ferraro, M.J.; McElmeel, M.L.; Spargo, J.; Swenson, J.M.; Tenover, F.C. Detection of penicillin and extended-spectrum cephalosporin resistance among Streptococcus pneumoniae clinical isolates by use of the E test. J. Clin. Microbiol. 1994, 32, 159–163. [Google Scholar] [CrossRef]
- Citron, D.M.; Ostovari, M.I.; Karlsson, A.; Goldstein, E.J.C. Evaluation of the E test for susceptibility testing of anaerobic bacteria. J. Clin. Microbiol. 1991, 29, 2197–2203. [Google Scholar] [CrossRef]
- Huang, M.B.; Baker, C.N.; Banerjee, S.; Tenover, F.C. Accuracy of the E test for determining antimicrobial susceptibilities of staphylococci, enterococci, Campylobacter jejuni, and gram-negative bacteria resistant to antimicrobial agents. J. Clin. Microbiol. 1992, 30, 3243–3248. [Google Scholar] [CrossRef]
- Rennie, R.; Turnbull, L.; Brosnikoff, C. Comparison of Oxoid MIC Evaluator device with broth microdilution and E test device from AB Biodisk for antimicrobial susceptibility testing of Enterobacteriaceae. In Proceedings of the Program and abstracts of the 18th Annual Meeting of the European Congress on Clinical Microbiology and Infectious Diseases, Barcelona, Spain, 19–22 April 2008. [Google Scholar]
- Baker, C.N.; Stocker, S.A.; Culver, D.M.; Thornsberry, C. Comparison of the E-test to agar dilution, broth microdilution, and agar diffusion susceptibility testing techniques by using a special challenge set of bacteria. J. Clin. Microbiol. 1991, 29, 533–538. [Google Scholar] [CrossRef]
- Bauer, A.W.; Kirby, W.M.M.; Sherris, J.C.; Turk, M. Antibiotic susceptibility testing by a standardized single disk method. Am. J. Clin. Pathol. 1966, 45, 493–496. [Google Scholar] [CrossRef]
- Approved Standard M2–A10; Performance Standards for Antimicrobial Disk Susceptibility Tests. Clinical and Laboratory Standards Institute: Wayne, PA, USA, 2009.
- Reller, L.B.; Weinstein, M.; Jorgensen, J.H.; Ferraro, M.J. Antimicrobial susceptibility testing: A review of general principles and contemporary practices. Clin. Infect. Dis. 2009, 49, 1749–1755. [Google Scholar]
- Delcour, A.H. Outer membrane Permeability and Antibiotic Resistance. Biochim. Biophys. Acta 2009, 1794, 808–816. [Google Scholar] [CrossRef] [PubMed]
- David, F.; Hebeisen, M.; Schade, G.; Franco-Lara, E.; Di Berardino, M. Viability and membrane potential analysis of bacillus megaterium cells by impedance flow cytometry. Biotechnol. Bioeng. 2012, 109, 483–492. [Google Scholar] [CrossRef] [PubMed]
- Conteduca, D.; Brunetti, G.; Dell’Olio, F.; Armenise, M.N.; Krauss, T.F.; Ciminelli, C. Monitoring of individual bacteria using electro-photonic traps. Bio. Opt. Exp. 2019, 10, 3463–3471. [Google Scholar] [CrossRef] [PubMed]
- Petrovszki, D.; Valkai, S.; Gora, E.; Tanner, M.; Bányai, A.; Fürjes, P.; Dér, A. An integrated electro-optical biosensor system for rapid, low-cost detection of bacteria. Micro. Eng. 2021, 239, 111523. [Google Scholar] [CrossRef]
- Zoupanou, S.; Chiriacò, M.S.; Tarantini, I.; Ferrara, F. Innovative 3D microfluidic tools for on-chip fluids and particles manipulation: From design to experimental validation. Micromachines 2021, 12, 104. [Google Scholar] [CrossRef]
- Ferrara, F.; Zoupanou, S.; Primiceri, E.; Ali, Z.; Chiriacò, M.S. Beyond liquid biopsy: Toward non-invasive assays for distanced cancer diagnostics in pandemics. Biosen. Bioele. 2022, 196, 113698. [Google Scholar] [CrossRef]
- Pohl, H.A. The motion and precipitation of suspensoids in divergent electric fields. J. Appl. Phys. 1951, 22, 869–871. [Google Scholar] [CrossRef]
- Pethig, R.; Menachery, A.; Pells, S.; De Sousa, P. Dielectrophoresis: A review of applications for stem cell research. J. Biom. Biotech. 2010, 2010, 182581. [Google Scholar] [CrossRef]
- Abd Rahman, N.; Ibrahim, F.; Yafouz, B. Dielectrophoresis for biomedical sciences applications: A review. Sensors 2017, 17, 449. [Google Scholar] [CrossRef]
- Pethig, R. Review article dielectrophoresis: Status of the theory. Biomicrofluidics 2010, 4, 022811. [Google Scholar] [CrossRef] [PubMed]
- Jones, P.V.; De Michele, A.F.; Kemp, L.; Hayes, M.A. Differentiation of Escherichia coli serotypes using DC gradient insulator dielectrophoresis. Anal. Bioanal. Chem. 2014, 406, 183–192. [Google Scholar] [CrossRef] [PubMed]
- Bai, W.; Zhao, K.S.; Asami, K. Dielectric properties of E. coli cell as simulated by the three-shell spheroidal model. Biophys. Chem. 2006, 122, 136–142. [Google Scholar] [CrossRef]
- Subramanian, S.; Tolstaya, E.I.; Winkler, T.; Bentley, W.E.; Ghodssi, R. An Integrated Microsystem for Real-Time Detection and Threshold-Activated Treatment of Bacterial Biofilms. ACS Appl. Mater. Interfaces 2017, 9, 31362–31371. [Google Scholar] [CrossRef]
- Kim, D.; Sonker, M.; Ros, A. Dielectrophoresis: From Molecular to Micrometer-Scale Analytes. Anal. Chem. 2018, 91, 277–295. [Google Scholar] [CrossRef] [PubMed]
- Hoettges, K.F.; Dale, J.W.; Hughes, M.P. Rapid determination of antibiotic resistance in E. coli using dielectrophoresis. Phys. Med. Biol. 2007, 52, 6001. [Google Scholar] [CrossRef] [PubMed]
- Lyu, C.; Wang, J.; Powell-Palm, M.; Rubinsky, B. Simultaneous electroporation and dielectrophoresis in non-electrolytic micro/nano-electroporation. Sci. Rep. 2018, 8, 2481. [Google Scholar] [CrossRef]
- Li, Y.; Niu, J.; Zhang, W.; Zhang, L.; Shang, E. Influence of aqueous media on the ROS-mediated toxicity of ZnO nanoparticles toward green fluorescent protein-expressing Escherichia coli under UV-365 irradiation. Langmuir 2014, 30, 2852–2862. [Google Scholar] [CrossRef]
- Chung, C.C.; Cheng, F.; Chen, H.M.; Kan, H.C.; Yang, W.H.; Chang, H.C. Screening of Antibiotic Susceptibility to β-Lactam-Induced Elongation of Gram-Negative Bacteria Based on Dielectrophoresis. Anal. Chem. 2012, 84, 3347–3354. [Google Scholar] [CrossRef]
- Pitruzzello, G.; Thorpe, S.; Johnson, S.; Evans, A.; Gadêlha, H.; Krauss, T.F. Multiparameter antibiotic resistance detection based on hydrodynamic trapping of individual E. coli. Lab A Chip 2019, 19, 1417–1426. [Google Scholar] [CrossRef]
- Pitruzzello, G.; Baumann, C.G.; Johnson, S.; Krauss, T.F. Single-Cell Motility Rapidly Quantifying Heteroresistance in Populations of Escherichia coli and Salmonella typhimurium. Small Sci. 2022, 2, 2100123. [Google Scholar] [CrossRef]
- Altun, E.; Yuca, E.; Ekren, N.; Kalaskar, D.M.; Ficai, D.; Dolete, G.; Gunduz, O. Kinetic release studies of antibiotic patches for local transdermal delivery. Pharmaceutics 2021, 13, 613. [Google Scholar] [CrossRef] [PubMed]
- Stewart, P.S. Theoretical aspects of antibiotic diffusion into microbial biofilms. Antimicrob. Agents Chemother. 1996, 40, 2517–2522. [Google Scholar] [CrossRef] [PubMed]
- Phillips, R.; Kondev, J.; Theriot, J.; Garcia, H. Physical Biology of the Cell, 2nd ed.; Garland Science: New York, NY, USA, 2012. [Google Scholar]
- Berg, H.C.; Turner, L. Chemotaxis of bacteria in glass capillary arrays. Escherichia coli, motility, microchannel plate, and light scattering. Biophys. J. 1990, 58, 919–930. [Google Scholar] [CrossRef]
- Squires, T.M.; Quake, S.R. Microfluidics: Fluid physics at the nanoliter scale. Rev. Mod. Phys. 2005, 77, 977–1026. [Google Scholar] [CrossRef]
- Piacentini, N.; Mernier, G.; Tornay, R.; Renaud, P. Separation of platelets from other blood cells in continuous-flow by dielectrophoresis field-flow-fractionation. Biomicrofluidics 2011, 5, 034122. [Google Scholar] [CrossRef]
- Ramachandraiah, H.; Ardabili, S.; Faridi, A.M.; Gantelius, J.; Kowalewski, J.M.; Mårtensson, G.; Russom, A. Dean flow-coupled inertial focusing in curved channels. Biomicrofluidics 2014, 8, 034117. [Google Scholar] [CrossRef]
- Mortadi, A.; El, M.A.; Chahid, E.G.; El, M.R.; Cherkaoui, O. Studies of the Clausius-Mossotti factor. Журнал фізичних дoсліджень 2016, 20, 4001–1–4001–4. [Google Scholar] [CrossRef]
- Ghallab, Y.; Badawy, W. Sensing methods for dielectrophoresis phenomenon: From bulky instruments to lab-on-a-chip. IEEE Circ. Sys. Mag. 2004, 4, 5–15. [Google Scholar] [CrossRef]
- Pethig, R. Dielectrophoresis: Theory, Methodology and Biological Applications, 1st ed.; John Wiley & Sons: Chichester, UK, 2017. [Google Scholar]
- Takahashi, Y.; Miyata, S. Continuous ES/feeder cell-sorting device using dielectrophoresis and controlled fluid flow. Micromachines 2020, 11, 734. [Google Scholar] [CrossRef]
- Cheng, I.F.; Chang, H.C.; Hou, D.; Chang, H.C. An integrated dielectrophoretic chip for continuous bioparticle filtering, focusing, sorting, trapping, and detecting. Biomicrofluidics 2007, 1, 021503. [Google Scholar] [CrossRef]
- Wu, L.; Lanry Yung, L.Y.; Lim, K.M. Dielectrophoretic capture voltage spectrum for measurement of dielectric properties and separation of cancer cells. Biomicrofluidics 2012, 6, 014113. [Google Scholar] [CrossRef] [PubMed]
- Price, J.A.; Burt, J.P.; Pethig, R. Applications of a new optical technique for measuring the dielectrophoretic behaviour of micro-organisms. Biochim. Et. Biophys. Acta-Gen. Subj. 1988, 964, 221–230. [Google Scholar] [CrossRef] [PubMed]
- Yasukawa, T.; Suzuki, M.; Shiku, H.; Matsue, T. Control of the microparticle position in the channel based on dielectrophoresis. Sens. Act. B Chem. 2009, 142, 400–403. [Google Scholar] [CrossRef]
- Kurgan, E.; Gas, P. An influence of electrode geometry on particle forces in AC dielectrophoresis. Prz. Elektrotechniczny 2010, 86, 103–105. [Google Scholar]










| Property | Live EC | Dead EC | ||
|---|---|---|---|---|
| Density (kg/m3) | 1116.6 | [26] | 1184.3 | [26] |
| Outer membrane dielectric constant (a.u.) | 10 | [31] | - | |
| Inner membrane dielectric constant (a.u.) | 5.5 | [31] | 5.5 | [31] |
| Periplasm dielectric constant (a.u.) | 60 | [31] | - | |
| Cytoplasm dielectric constant (a.u.) | 108 | [31] | 60 | [1] |
| Outer membrane conductivity (S/m) | 10−6 | [31] | - | |
| Inner membrane conductivity (S/m) | 10−12 | [31] | 10−12 | [31] |
| Periplasm conductivity (S/m) | 3.2 | [31] | - | |
| Cytoplasm conductivity (S/m) | 0.22 | [31] | 0.09 | [1] |
| Radius (μm) | 0.5 | [31] | 0.5 | [31] |
| Outer membrane dielectric constant (a.u.) | 10 | [31] | ||
| Inner membrane dielectric constant (a.u.) | 5.5 | [31] |
| Parameter | Value [µm] |
|---|---|
| Channel width (d) | 5 |
| Total length of mixer (ls,tot//) | 9755 |
| Total width of mixer (ws,tot//) | 8220 |
| Length of inlets (ls,1) | 200 |
| Length of straight segment (ls,2) | 2000 |
| Length of arm (larm) | 4000 |
| Inner radius (rs1) | 500 |
| Outer radius (rs2) | 505 |
Disclaimer/Publisher’s Note: The statements, opinions and data contained in all publications are solely those of the individual author(s) and contributor(s) and not of MDPI and/or the editor(s). MDPI and/or the editor(s) disclaim responsibility for any injury to people or property resulting from any ideas, methods, instructions or products referred to in the content. |
© 2023 by the authors. Licensee MDPI, Basel, Switzerland. This article is an open access article distributed under the terms and conditions of the Creative Commons Attribution (CC BY) license (https://creativecommons.org/licenses/by/4.0/).
Share and Cite
di Toma, A.; Brunetti, G.; Chiriacò, M.S.; Ferrara, F.; Ciminelli, C. A Novel Hybrid Platform for Live/Dead Bacteria Accurate Sorting by On-Chip DEP Device. Int. J. Mol. Sci. 2023, 24, 7077. https://doi.org/10.3390/ijms24087077
di Toma A, Brunetti G, Chiriacò MS, Ferrara F, Ciminelli C. A Novel Hybrid Platform for Live/Dead Bacteria Accurate Sorting by On-Chip DEP Device. International Journal of Molecular Sciences. 2023; 24(8):7077. https://doi.org/10.3390/ijms24087077
Chicago/Turabian Styledi Toma, Annarita, Giuseppe Brunetti, Maria Serena Chiriacò, Francesco Ferrara, and Caterina Ciminelli. 2023. "A Novel Hybrid Platform for Live/Dead Bacteria Accurate Sorting by On-Chip DEP Device" International Journal of Molecular Sciences 24, no. 8: 7077. https://doi.org/10.3390/ijms24087077
APA Styledi Toma, A., Brunetti, G., Chiriacò, M. S., Ferrara, F., & Ciminelli, C. (2023). A Novel Hybrid Platform for Live/Dead Bacteria Accurate Sorting by On-Chip DEP Device. International Journal of Molecular Sciences, 24(8), 7077. https://doi.org/10.3390/ijms24087077

